A Current Selective Tripping Protection Scheme for the Distribution Network with PV
Abstract
:1. Introduction
2. Conventional Protection Schemes of DNs
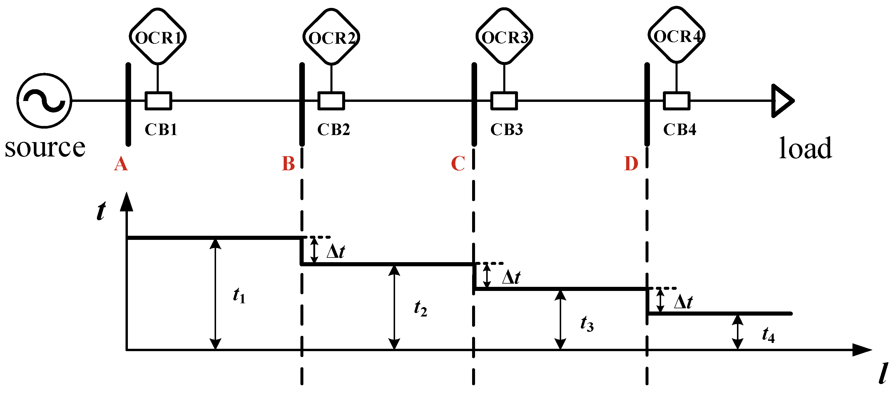
2.1. The Overcurrent Protection
2.2. Applicability Analysis of a Conventional Protection Scheme
3. The Proposed Current Selective Tripping Protection Scheme
3.1. Working Principle of the Current Selective Tripping Protection
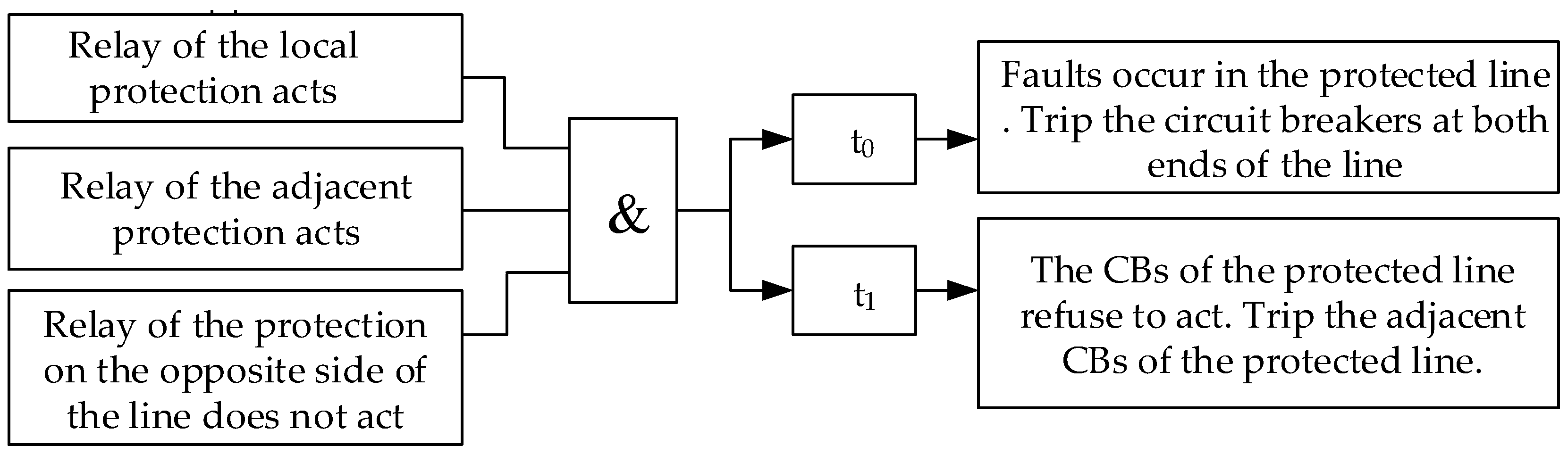
3.1.1. A short Circuit Fault at the Feeder Line
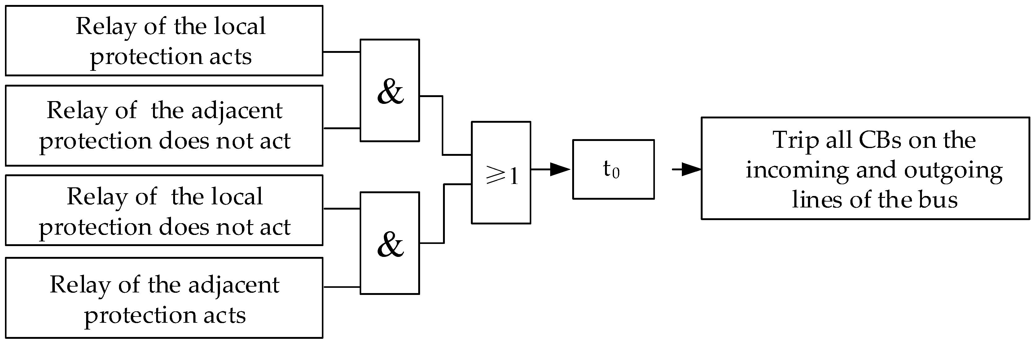
3.1.2. A Short Circuit Fault at the Bus
3.2. Protection Scheme for DNs with PV Systems Penetration
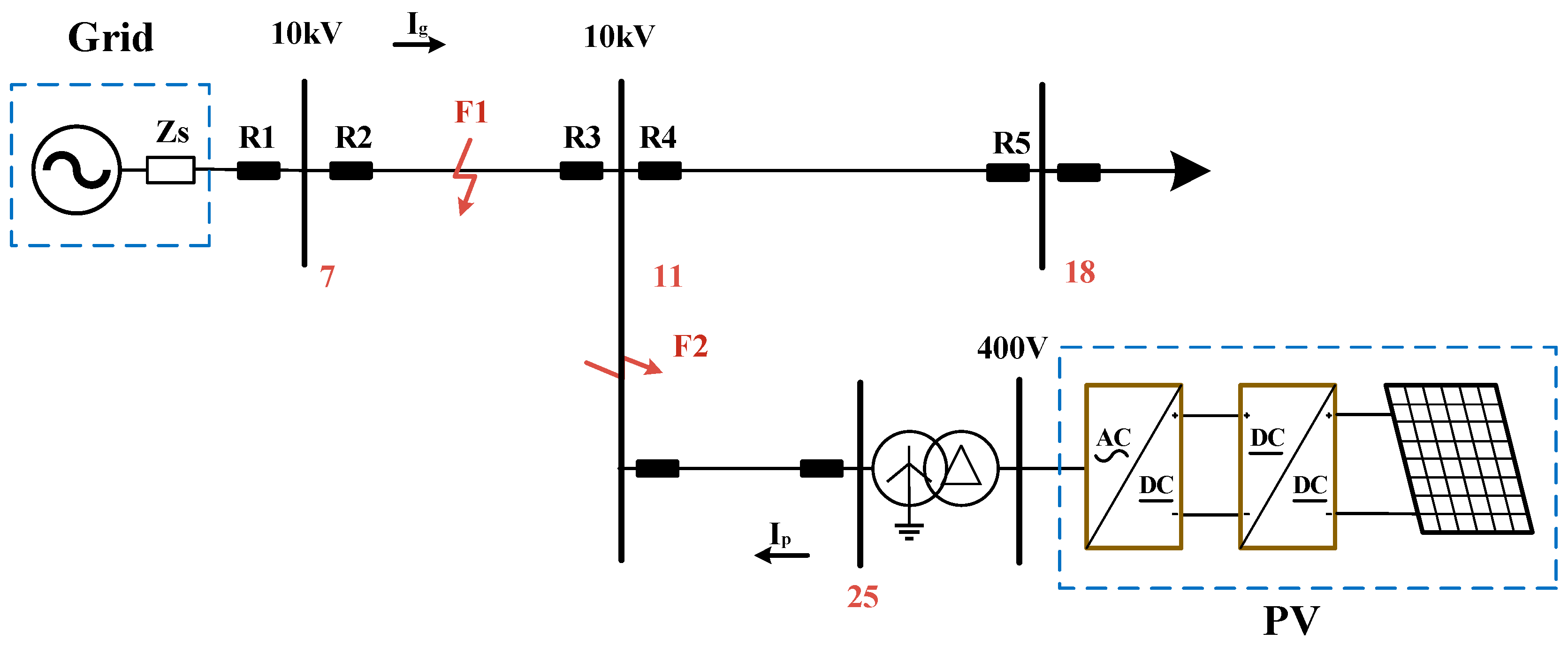
3.2.1. A Short Circuit Fault (F1) at the Feeder Line
3.2.2. A Short Circuit Fault (F2) at the Bus
4. Case Studies
4.1. Modeling of a DN with Distributed PV Systems Penetration
4.2. The Performance of the Proposed Selective Tripping Protection Scheme
4.2.1. The Performance under the Phase-to-Phase Fault
- (1)
- A short circuit fault in the line 7–11 (F1 fault)
- (2)
- A short circuit fault in the bus 11 (F2 fault)
4.2.2. The Performance under the Single-Phase Ground Fault
- (1)
- A short circuit fault in the line 7–11 (F1 fault)
- (2)
- A short circuit fault in the bus 11 (F2 fault)
4.2.3. The Performance under the Three-Phase Ground Fault
- (1)
- A short circuit fault in the line 7–11 (F1 fault)
- (2)
- A short circuit fault in the bus 11 (F2 fault)
4.3. Effect of Distributed PV Output Timing on Protection
5. Conclusions
Author Contributions
Funding
Institutional Review Board Statement
Informed Consent Statement
Data Availability Statement
Acknowledgments
Conflicts of Interest
Abbreviations
| CBs | circuit breakers |
| DNs | distribution networks |
| DG | distributed generation |
| DOCRs | directional overcurrent relays |
| DERs | distributed energy resources |
| OCRs | overcurrent relays |
| PV | photovoltaic |
| RGSs | renewable generation sources |
References
- Han, H.; Park, J.; Kim, S.; Lee, S.; Choi, M.I.; Park, S. Carbon Reduction Method for Intelligent Energy Transformation Based on Energy Data Analysis. In Proceedings of the 2022 IEEE 5th Student Conference on Electric Machines and Systems (SCEMS), Busan, Republic of Korea, 24–26 November 2022; pp. 1–4. [Google Scholar]
- Shaji, K.M.; Dudhe, R.; Alex, A.F. Review on Contemporary Constraints And Resolutions Regarding Electric Vehicles and Battery Technology. In Proceedings of the 2023 International Conference on Computational Intelligence and Knowledge Economy (ICCIKE), Dubai, United Arab Emirates, 9–10 March 2023; pp. 299–304. [Google Scholar]
- Wang, W.; Huang, S.; Zhang, G.; Liu, J.; Chen, Z. Optimal operation of an integrated electricity-heat energy system considering flexible resources dispatch for renewable integration. J. Mod. Power Syst. Clean Energy 2021, 9, 699–710. [Google Scholar]
- Oad, A.; Ahmad, H.G.; Talpur, M.S.H.; Zhao, C.; Pervez, A. Green smart grid predictive analysis to integrate sustainable energy of emerging V2G in smart city technologies. Optik 2023, 272, 170146. [Google Scholar]
- Nehrir, M.H.; Wang, C.; Strunz, K.; Aki, H.; Ramakumar, R.; Bing, J.; Miao, Z.; Salameh, Z. A review of hybrid renewable/alternative energy systems for electric power generation: Configurations, control, and applications. IEEE Trans. Sustain. Energy 2011, 2, 392–403. [Google Scholar] [CrossRef]
- Qazi, A.; Hussain, F.; Rahim, N.A.; Hardaker, G.; Alghazzawi, D.; Shaban, K.; Haruna, K. Towards sustainable energy: A systematic review of renewable energy sources, technologies, and public opinions. IEEE Access 2019, 7, 63837–63851. [Google Scholar] [CrossRef]
- Haegel, N.M.; Kurtz, S.R. Global progress toward renewable rlectricity: Tracking the role of solar. IEEE J. Photovolt. 2021, 11, 1335–1342. [Google Scholar] [CrossRef]
- Shah, R.; Mithulananthan, N.; Bansal, R.C.; Ramachandaramurthy, V.K. A review of key power system stability challenges for large-scale PV integration. Renew. Sustain. Energy Rev. 2015, 41, 1423–1436. [Google Scholar] [CrossRef]
- Ymeri, A.; Dervishi, L.; Qorolli, A. Impacts of Distributed Generation in Energy Losses and voltage drop in 10 kV line in the Distribution System. In Proceedings of the 2014 IEEE International Energy Conference (ENERGYCON), Dubrovnik, Croatia, 13–16 May 2014; pp. 1315–1319. [Google Scholar]
- Karimi, M.; Mokhlis, H.; Naidu, K.; Uddin, S.; Bakar, A.H.A. Photovoltaic penetration issues and impacts in distribution network—A review. Renew. Sustain. Energy Rev. 2016, 53, 594–605. [Google Scholar] [CrossRef]
- Wang, P.Y.; Liang, F.Y.; Song, J.Y.; Guo, L.; Zhang, J.F.; Xie, Y.Y.; Wang, S.Z. Fault current characteristics in active distribution networks with integrations of multiple PVs. In Proceedings of the 2019 IEEE 8th International Conference on Advanced Power System Automation and Protection (APAP), Xi’an, China, 21–24 October 2019; pp. 1403–1407. [Google Scholar]
- Shafiullah, M.; Ahmed, S.D.; Al-Sulaiman, F.A. Grid Integration Challenges and Solution Strategies for Solar PV Systems: A Review. IEEE Access 2022, 10, 52233–52257. [Google Scholar] [CrossRef]
- Alam, M.N.; Chakrabarti, S.; Tiwari, V.K. Protection Coordination with High Penetration of Solar Power to Distribution Networks. In Proceedings of the 2020 2nd International Conference on Smart Power & Internet Energy Systems (SPIES), Bangkok, Thailand, 15–18 September 2020; pp. 132–137. [Google Scholar]
- Kavi, M.; Mishra, Y.; Vilathgamuwa, M. Morphological Fault Detector for Adaptive Overcurrent Protection in Distribution Networks With Increasing Photovoltaic Penetration. IEEE Trans. Sustain. Energy 2018, 9, 1021–1029. [Google Scholar] [CrossRef]
- Pujiantara, M.; Hafidz, I.; Setiawan, A.; Priyadi, A.; Purnomo, M.H.; Anggriawan, D.O.; Tjahjono, A. Optimization technique based adaptive overcurrent protection in radial system with DG using genetic algorithm. In Proceedings of the 2016 International Seminar on Intelligent Technology and Its Applications (ISITIA), Lombok, Indonesia, 28–30 July 2016; pp. 83–88. [Google Scholar]
- Bagherzadeh, H.; Abedini, M.; Davarpanah, M.; Azizi, S. A novel protection scheme to detect, discriminate, and locate electric faults in photovoltaic arrays using a minimal number of measurements. Int. J. Electr. Power Energy Syst. 2022, 141, 108172. [Google Scholar] [CrossRef]
- Saleh, K.A.; Hooshyar, A.; El-Saadany, E.F.; Zeineldin, H.H. Voltage-Based Protection Scheme for Faults within Utility-Scale Photovoltaic Arrays. IEEE Trans. Smart Grid 2018, 9, 4367–4382. [Google Scholar] [CrossRef]
- Noghabi, A.S.; Mashhadi, H.R.; Sadeh, J. Optimal coordination of directional overcurrent relays considering different network topologies using interval linear programming. IEEE Trans. Power Deliv. 2010, 25, 1348–1354. [Google Scholar] [CrossRef]
- Saber, A.; Zeineldin, H.H.; El-Fouly, T.H.M.; Al-Durra, A. Overcurrent protection coordination with flexible partitioning of active distribution systems into multiple microgrids. Int. J. Electr. Power Energy Syst. 2023, 151, 109205. [Google Scholar] [CrossRef]
- Dorosti, P.; Moazzami, M.; Fani, B.; Siano, P. An adaptive protection coordination scheme for microgrids with optimum PV resources. J. Clean. Prod. 2022, 340, 130723. [Google Scholar] [CrossRef]
- Jones, D.; Kumm, J.J. Future Distribution Feeder Protection Using Directional Overcurrent Elements. IEEE Trans. Ind. Appl. 2014, 50, 1385–1390. [Google Scholar] [CrossRef]
- Nikolaidis, V.C.; Papanikolaou, E.; Safigianni, A.S. A Communication-Assisted Overcurrent Protection Scheme for Radial Distribution Systems With Distributed Generation. IEEE Trans. Smart Grid 2016, 7, 114–123. [Google Scholar] [CrossRef]










| Mode of Operation | Rated Capacity (MVA) | Rated Voltage (kV) | System Positive Sequence Impedance (Ω) |
|---|---|---|---|
| Maximum operating mode | 50 | 10 | 0.797 |
| Minimum mode of operation | 50 | 10 | 2.686 |
| Voltage Level (kV) | Rated Capacity (MVA) | Percentage of Reactance (%) | Reference Capacity (MVA) | Equivalent Reactance (Per Unit) |
|---|---|---|---|---|
| 10/0.4 | 1.2 | 6 | 1.2 | 0.06 |
| Starting Point | End Point | Length (m) |
|---|---|---|
| Bus 1 | Bus 3 | 450 |
| Bus3 | Bus 7 | 547 |
| Bus 7 | Bus 11 | 847 |
| Bus 11 | Bus 25 | 1788 |
| Bus 11 | Bus 18 | 1147 |
| Bus 18 | Bus 26 | 147 |
| Bus 18 | Bus 27 | 500 |
| Bus 26 | Bus 32 | 2006 |
| Bus 32 | Bus 33 | 760 |
| Position | Active Power Calculation Load (kW) | Reactive Power Calculation Load (kVar) |
|---|---|---|
| Bus 7 | 420 | 0.001 |
| Bus 18 | 5950 | 0.001 |
| Bus 26 | 1190 | 0.001 |
| Bus 27 | 3115 | 0.001 |
| Bus 32 | 140 | 0.001 |
| Bus 33 | 1070 | 0.001 |
| System Parameter | Numerical Value | PI Parameter | Numerical Value |
|---|---|---|---|
| DC voltage | 0.7 kV | kpod/kiod | 2.0/100.0 |
| Line voltage (rms) | 0.4 kV | kpoq/kioq | 0.1/2.0 |
| Rated active/reactive power | 1000 kW/0 kVar | kpid(1)/kiid(1) | 5.0/0.1 |
| System-side filter inductor | 0.2 mH | kpiq(1)/kiiq(1) | 10.0/1.0 |
| Inverter filter inductance | 0.2 mH | kpid(2)/kiid(2) | 8.0/1.0 |
| Filter capacitance | 30 μF | kpiq(2)/kiiq(2) | 8.0/1.0 |
| Relay Name | Operating Current Setting Value (kA) |
|---|---|
| 1 | 1.0413 |
| 2 | 1.0028 |
| 3 | 1.0106 |
| 4 | 1.0118 |
| Fault Resistance/Ω | Fault Location/% | Relay Name | Fault Current/kA | Whether the Operating Current Is Reached |
|---|---|---|---|---|
| 1 | 15 | R1 | 5.782 | Y |
| R2 | 5.766 | Y | ||
| R3 | 0.422 | N | ||
| 50 | R1 | 5.283 | Y | |
| R2 | 5.266 | Y | ||
| R3 | 0.415 | N | ||
| 95 | R1 | 4.722 | Y | |
| R2 | 4.704 | Y | ||
| R3 | 0.403 | N | ||
| 10 | 15 | R1 | 1.391 | Y |
| R2 | 1.370 | Y | ||
| R3 | 0.535 | N | ||
| 50 | R1 | 1.378 | Y | |
| R2 | 1.356 | Y | ||
| R3 | 0.534 | N | ||
| 95 | R1 | 1.361 | Y | |
| R2 | 1.339 | Y | ||
| R3 | 0.533 | N |
| Different Protection Schemes | Fault Resistance/Ω | Fault Location/% | Relay Operation Condition | |
|---|---|---|---|---|
| R2 | R3 | |||
| The proposed selective tripping protection | 1 | 15 | True | True |
| 50 | True | True | ||
| 95 | True | True | ||
| 10 | 15 | True | True | |
| 50 | True | True | ||
| 95 | True | True | ||
| Directional overcurrent protection | 1 | 15 | True | False |
| 50 | True | False | ||
| 95 | True | False | ||
| 10 | 15 | True | False | |
| 50 | True | False | ||
| 95 | True | False | ||
| Fault Resistance/Ω | Relay Name | Fault Current/kA | Whether the Operating Current Is Reached |
|---|---|---|---|
| 1 | R2 | 3.758 | Y |
| R3 | 3.758 | Y | |
| R4 | 0.446 | N | |
| 10 | R2 | 1.318 | Y |
| R3 | 1.318 | Y | |
| R4 | 0.593 | N |
| Different Protection Schemes | Fault Resistance/Ω | Relay Operation Condition | |
|---|---|---|---|
| R3 | R4 | ||
| The proposed selective tripping protection | 1 | True | True |
| 10 | True | True | |
| Directional overcurrent protection | 1 | False | False |
| 10 | False | False | |
| Different Protection Schemes | Fault Resistance/Ω | Fault Location/% | Relay Operation Condition | |
|---|---|---|---|---|
| R2 | R3 | |||
| The proposed selective tripping protection | 1 | 15 | True | True |
| 50 | True | True | ||
| 95 | True | True | ||
| 10 | 15 | True | True | |
| 50 | True | True | ||
| 95 | True | True | ||
| Directional overcurrent protection | 1 | 15 | True | False |
| 50 | True | False | ||
| 95 | True | False | ||
| 10 | 15 | True | False | |
| 50 | True | False | ||
| 95 | True | False | ||
| Different Protection Schemes | Fault Resistance/Ω | Relay Operation Condition | |
|---|---|---|---|
| R3 | R4 | ||
| The proposed selective tripping protection | 1 | True | True |
| 10 | True | True | |
| Directional overcurrent protection | 1 | False | False |
| 10 | False | False | |
| Different Protection Schemes | Fault Resistance/Ω | Fault Location/% | Relay Operation Condition | |
|---|---|---|---|---|
| R2 | R3 | |||
| The proposed selective tripping protection | 1 | 15 | True | True |
| 50 | True | True | ||
| 95 | True | True | ||
| 10 | 15 | True | True | |
| 50 | True | True | ||
| 95 | True | True | ||
| Directional overcurrent protection | 1 | 15 | True | False |
| 50 | True | False | ||
| 95 | True | False | ||
| 10 | 15 | True | False | |
| 50 | True | False | ||
| 95 | True | False | ||
| Different Protection Schemes | Fault Resistance/Ω | Relay Operation Condition | |
|---|---|---|---|
| R3 | R4 | ||
| The proposed selective tripping protection | 1 | True | True |
| 10 | True | True | |
| Directional overcurrent protection | 1 | False | False |
| 10 | False | False | |
| Photovoltaic Output/MW | Fault Type | Fault Location/% | Relay Name | Fault Current/kA | Whether the Operating Current Is Reached | Fault Determination |
|---|---|---|---|---|---|---|
| 0 | AB | 15 | R1 | 5.818 | Y | a fault in line 7–11 |
| R2 | 5.802 | Y | ||||
| R3 | 0.479 | N | ||||
| R4 | 0.489 | N | ||||
| 50 | R1 | 5.318 | Y | a fault in line 7–11 | ||
| R2 | 5.301 | Y | ||||
| R3 | 0.469 | N | ||||
| R4 | 0.481 | N | ||||
| 95 | R1 | 4.767 | Y | a fault in line 7–11 | ||
| R2 | 4.749 | Y | ||||
| R3 | 0.455 | N | ||||
| R4 | 0.470 | N | ||||
| ABG | 15 | R1 | 3.739 | Y | a fault in line 7–11 | |
| R2 | 3.724 | Y | ||||
| R3 | 0.394 | N | ||||
| R4 | 0.394 | N | ||||
| 50 | R1 | 3.461 | Y | a fault in line 7–11 | ||
| R2 | 3.445 | Y | ||||
| R3 | 0.369 | N | ||||
| R4 | 0.369 | N | ||||
| 95 | R1 | 3.207 | Y | a fault in line 7–11 | ||
| R2 | 3.190 | Y | ||||
| R3 | 0.343 | N | ||||
| R4 | 0.342 | N | ||||
| AG | 15 | R1 | 4.061 | Y | a fault in line 7–11 | |
| R2 | 4.045 | Y | ||||
| R3 | 0.374 | N | ||||
| R4 | 0.374 | N | ||||
| 50 | R1 | 3.621 | Y | a fault in line 7–11 | ||
| R2 | 3.606 | Y | ||||
| R3 | 0.317 | N | ||||
| R4 | 0.331 | N | ||||
| 95 | R1 | 3.163 | Y | a fault in line 7–11 | ||
| R2 | 3.148 | Y | ||||
| R3 | 0.282 | N | ||||
| R4 | 0.289 | N | ||||
| 0.5 | AB | 15 | R1 | 5.792 | Y | a fault in line 7–11 |
| R2 | 5.776 | Y | ||||
| R3 | 0.455 | N | ||||
| R4 | 0.489 | N | ||||
| 50 | R1 | 5.292 | Y | a fault in line 7–11 | ||
| R2 | 5.275 | Y | ||||
| R3 | 0.447 | N | ||||
| R4 | 0.482 | N | ||||
| 95 | R1 | 4.741 | Y | a fault in line 7–11 | ||
| R2 | 4.723 | Y | ||||
| R3 | 0.436 | N | ||||
| R4 | 0.471 | N | ||||
| ABG | 15 | R1 | 3.713 | Y | a fault in line 7–11 | |
| R2 | 3.698 | Y | ||||
| R3 | 0.362 | N | ||||
| R4 | 0.395 | N | ||||
| 50 | R1 | 3.435 | Y | a fault in line 7–11 | ||
| R2 | 3.419 | Y | ||||
| R3 | 0.337 | N | ||||
| R4 | 0.369 | N | ||||
| 95 | R1 | 3.182 | Y | a fault in line 7–11 | ||
| R2 | 3.165 | Y | ||||
| R3 | 0.312 | N | ||||
| R4 | 0.343 | N | ||||
| AG | 15 | R1 | 4.040 | Y | a fault in line 7–11 | |
| R2 | 4.024 | Y | ||||
| R3 | 0.345 | N | ||||
| R4 | 0.375 | N | ||||
| 50 | R1 | 3.609 | Y | a fault in line 7–11 | ||
| R2 | 3.594 | Y | ||||
| R3 | 0.302 | N | ||||
| R4 | 0.332 | N | ||||
| 95 | R1 | 3.144 | Y | a fault in line 7–11 | ||
| R2 | 3.130 | Y | ||||
| R3 | 0.256 | N | ||||
| R4 | 0.290 | N |
Disclaimer/Publisher’s Note: The statements, opinions and data contained in all publications are solely those of the individual author(s) and contributor(s) and not of MDPI and/or the editor(s). MDPI and/or the editor(s) disclaim responsibility for any injury to people or property resulting from any ideas, methods, instructions or products referred to in the content. |
© 2023 by the authors. Licensee MDPI, Basel, Switzerland. This article is an open access article distributed under the terms and conditions of the Creative Commons Attribution (CC BY) license (https://creativecommons.org/licenses/by/4.0/).
Share and Cite
Liang, Y.; Li, L.; He, J.; Niu, J.; Liu, H.; Li, C.; Li, B. A Current Selective Tripping Protection Scheme for the Distribution Network with PV. Sustainability 2023, 15, 13109. https://doi.org/10.3390/su151713109
Liang Y, Li L, He J, Niu J, Liu H, Li C, Li B. A Current Selective Tripping Protection Scheme for the Distribution Network with PV. Sustainability. 2023; 15(17):13109. https://doi.org/10.3390/su151713109
Chicago/Turabian StyleLiang, Yabo, Lei Li, Jianan He, Jian Niu, Haitao Liu, Chao Li, and Borui Li. 2023. "A Current Selective Tripping Protection Scheme for the Distribution Network with PV" Sustainability 15, no. 17: 13109. https://doi.org/10.3390/su151713109
APA StyleLiang, Y., Li, L., He, J., Niu, J., Liu, H., Li, C., & Li, B. (2023). A Current Selective Tripping Protection Scheme for the Distribution Network with PV. Sustainability, 15(17), 13109. https://doi.org/10.3390/su151713109
