Effects of Fertilizers and Conditioners on Chromium Uptake of Maize in Chromium-Polluted Farmland
Abstract
:1. Introduction
2. Materials and Methods
2.1. Study Area Overview
2.2. Experimental Materials and Design
2.3. Sample Collection and Determination
2.4. Statistical Data Analysis
3. Results
3.1. Effect of Fertilizers and Conditioners on Maize Yield
3.2. Differences in Cr Content of Various Parts of Maize by Fertilizers and Conditioners
3.2.1. Cr Content in Maize Grains
3.2.2. Cr Content in Maize Roots and Straws
3.3. Effect of Fertilizers and Conditioners on Bioconcentration and Translocation Factor of Maize
3.4. Effect of Fertilizers and Conditioners on Available Content of Cr
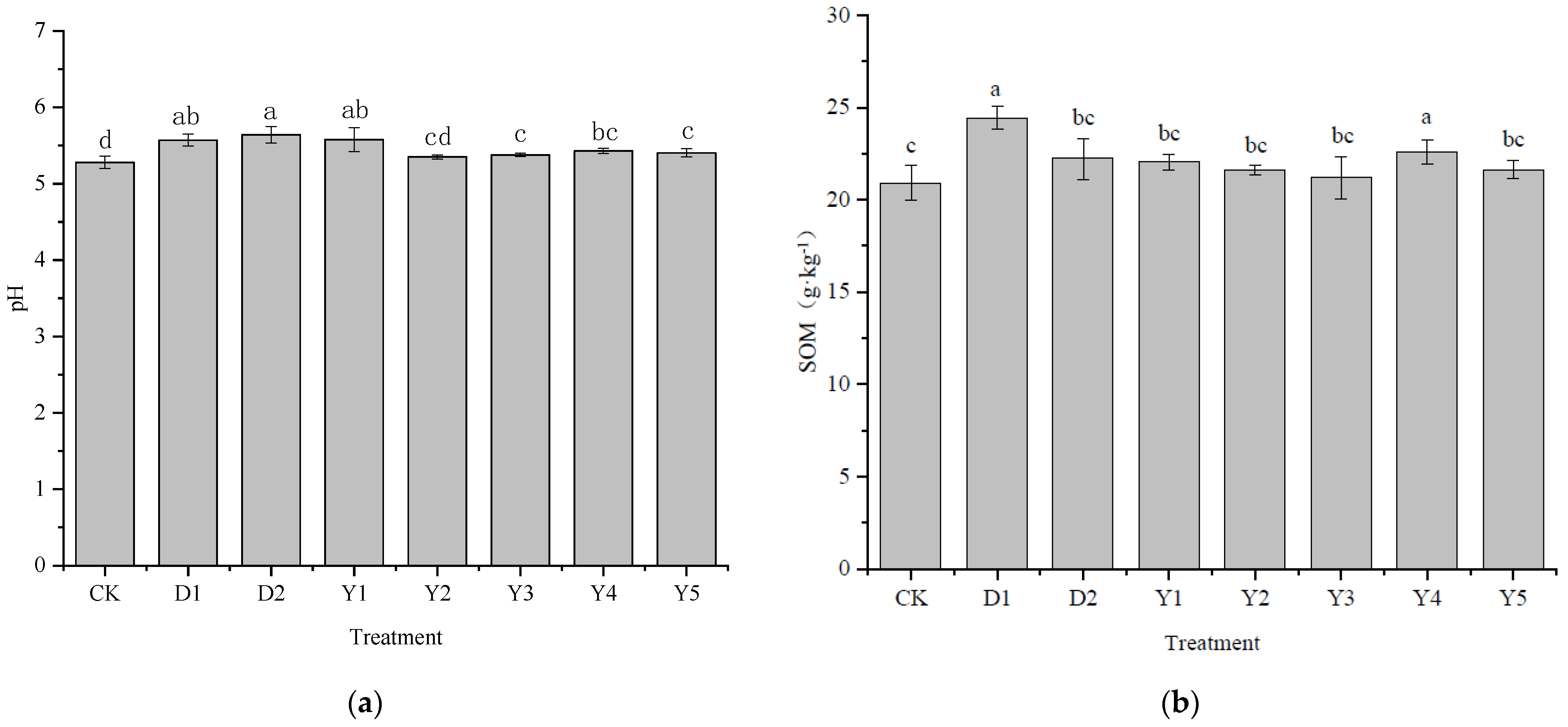
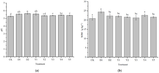
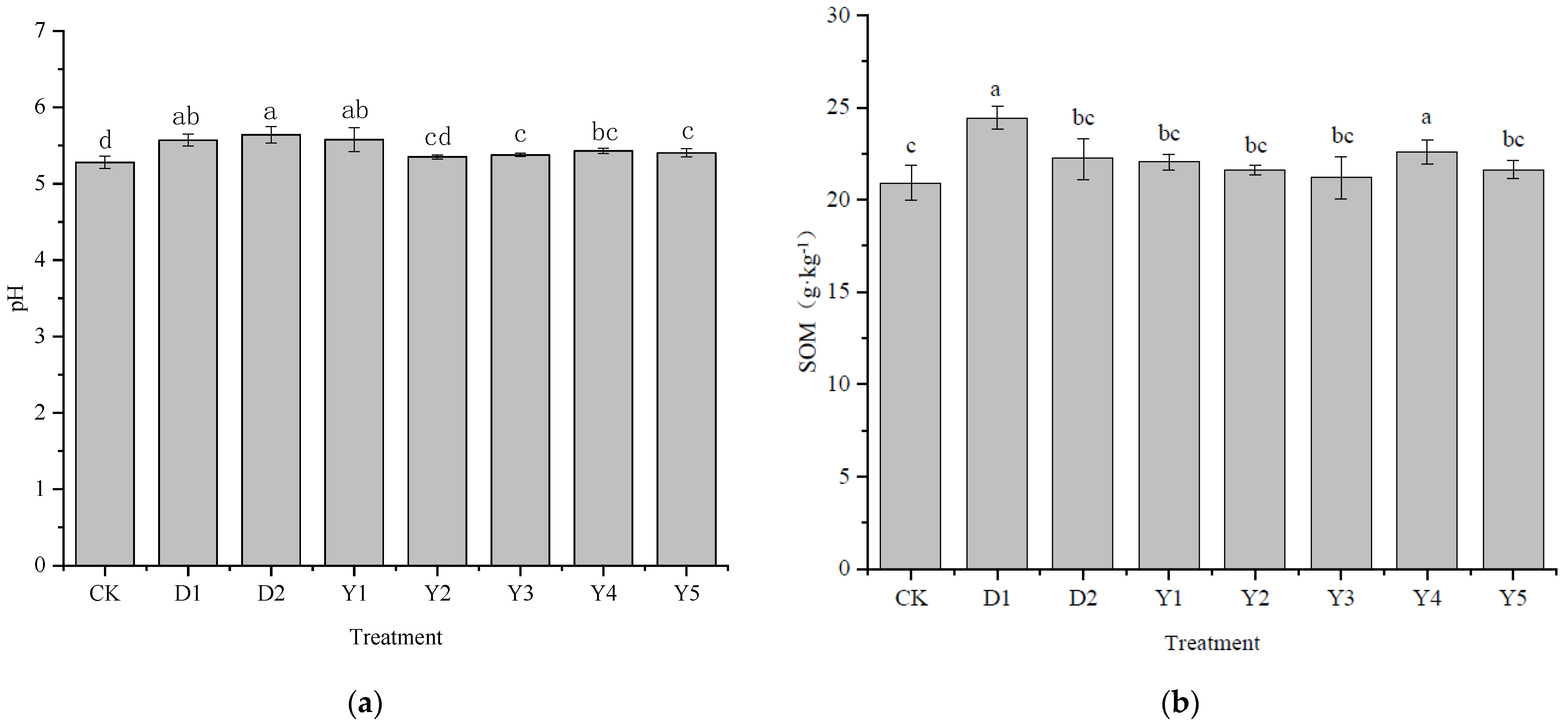
3.5. Effect of Fertilizers and Conditioners on pH and Soil Organic Matter
3.6. Effect of Fertilizers and Conditioners on Soil Nutrient Content
4. Discussion
4.1. Effect of Different Fertilizers on Cr Content, Bioconcentration, and Translocation Factor of Various Parts of Maize
4.2. Changes in Effective State Cr Content and pH and Organic Matter of Soils
5. Conclusions
Author Contributions
Funding
Institutional Review Board Statement
Informed Consent Statement
Data Availability Statement
Conflicts of Interest
References
- Prasad, S.; Yadav, K.K.; Kumar, S.; Gupta, N.; Cabral-Pinto, M.M.S.; Rezania, S.; Radwan, N.; Alam, J. Chromium contamination and effect on environmental health and its remediation: A sustainable approaches. J. Environ. Manag. 2021, 285, 112174. [Google Scholar] [CrossRef]
- Zhang, H.; Ma, X.; Shi, X.; Sui, H.; Su, H.; Yang, H. Influential factors of spatial distribution of Cd and Cr in regional soils. Soils 2018, 50, 989–998. [Google Scholar] [CrossRef]
- Shahid, M.; Shamshad, S.; Rafiq, M.; Khalid, S.; Bibi, I.; Niazi, N.K.; Dumat, C.; Rashid, M.I. Chromium speciation, bioavailability, uptake, toxicity and detoxification in soil-plant system: A review. Chemosphere 2017, 178, 513–533. [Google Scholar] [CrossRef]
- Ashraf, A.; Bibi, I.; Niazi, N.K.; Ok, Y.S.; Murtaza, G.; Shahid, M.; Kunhikrishnan, A.; Li, D.; Mahmood, T. Chromium(VI) sorption efficiency of acid-activated banana peel over organo-montmorillonite in aqueous solutions. Int. J. Phytoremediation 2017, 19, 605–613. [Google Scholar] [CrossRef]
- Wittbrodt, P.R.; Palmer, C.D. Reduction of Cr(VI) in the Presence of Excess Soil Fulvic Acid. Environ. Sci. Technol. 1995, 29, 255–263. [Google Scholar] [CrossRef]
- Chung, J.B.; Sa, T.M. Chromium oxidation potential and related soil characteristics in arable upland soils. Commun. Soil Sci. Plant Anal. 2001, 32, 1719–1733. [Google Scholar] [CrossRef]
- Genchi, G.; Lauria, G.; Catalano, A.; Carocci, A.; Sinicropi, M.S. The Double Face of Metals: The Intriguing Case of Chromium. Appl. Sci. 2021, 11, 638. [Google Scholar] [CrossRef]
- He, C.; Gu, L.; Xu, Z.; He, H.; Fu, G.; Han, F.; Huang, B.; Pan, X. Cleaning chromium pollution in aquatic environments by bioremediation, photocatalytic remediation, electrochemical remediation and coupled remediation systems. Environ. Chem. Lett. 2020, 18, 561–576. [Google Scholar] [CrossRef]
- Alahmad, W.; Varanusupakul, P.; Kaneta, T.; Varanusupakul, P. Chromium speciation using paper-based analytical devices by direct determination and with electromembrane microextraction. Anal. Chim. Acta 2019, 1085, 98–106. [Google Scholar] [CrossRef]
- Oyetibo, G.O.; Ilori, M.O.; Obayori, O.S.; Amund, O.O. Chromium (VI) biosorption properties of multiple resistant bacteria isolated from industrial sewerage. Environ. Monit. Assess. 2013, 185, 6809–6818. [Google Scholar] [CrossRef]
- Dubey, S.; Shri, M.; Gupta, A.; Rani, V.; Chakrabarty, D. Toxicity and detoxification of heavy metals during plant growth and metabolism. Environ. Chem. Lett. 2018, 16, 1169–1192. [Google Scholar] [CrossRef]
- Liu, D.; Zou, J.; Wang, M.; Jiang, W. Hexavalent chromium uptake and its effects on mineral uptake, antioxidant defence system and photosynthesis in Amaranthus viridis L. Bioresour. Technol. 2008, 99, 2628–2636. [Google Scholar] [CrossRef]
- Choudhury, S.; Panda, S.K. Toxic effects, oxidative stress and ultrastructural changes in moss Taxithelium nepalense (Schwaegr.) Broth. Under chromium and lead phytotoxicity. Water Air Soil Pollut. 2005, 167, 73–90. [Google Scholar] [CrossRef]
- Volland, S.; Luetz, C.; Michalke, B.; Luetz-Meindl, U. Intracellular chromium localization and cell physiological response in the unicellular alga Micrasterias. Aquat. Toxicol. 2012, 109, 59–69. [Google Scholar] [CrossRef]
- Mukhopadhyay, N.; Aery, N.C. Effect of Cr (III) and Cr (VI) on the growth and physiology of Triticum aestivum plants during early seedling growth. Biologia 2000, 55, 403–408. [Google Scholar]
- Gorbi, G.; Corradi, M.G.; Invidia, M.; Rivara, L.; Bassi, M. Is Cr(VI) toxicity to Daphnia magna modified by food availability or algal exudates? The hypothesis of a specific chromium/algae/exudates interaction. Water Res. 2002, 36, 1917–1926. [Google Scholar] [CrossRef]
- Rai, V.; Vajpayee, P.; Singh, S.N.; Mehrotra, S. Effect of chromium accumulation on photosynthetic pigments, oxidative stress defense system, nitrate reduction, proline level and eugenol content of Ocimum tenuiflorum L. Plant Sci. 2004, 167, 1159–1169. [Google Scholar] [CrossRef]
- Peralta-Videa, J.R.; Lopez, M.L.; Narayan, M.; Saupe, G.; Gardea-Torresdey, J. The biochemistry of environmental heavy metal uptake by plants: Implications for the food chain. Int. J. Biochem. Cell Biol. 2009, 41, 1665–1677. [Google Scholar] [CrossRef]
- Saud, S.; Wang, D.; Fahad, S.; Javed, T.; Jaremko, M.; Abdelsalam, N.R.; Ghareeb, R.Y. The impact of chromium ion stress on plant growth, developmental physiology, and molecular regulation. Front. Plant Sci. 2022, 13, 994785. [Google Scholar] [CrossRef]
- Cara, I.G.; Topa, D.; Calistru, A.E.; Motrescu, I.; Bulgariu, L.; Jitareanu, G. Agri-wastes as a low-cost adsorbent for nicosulfuron herbicide. Environ. Eng. Manag. J. 2020, 19, 335–343. [Google Scholar]
- Li, B.; Wang, P.; Wu, X.; Li, Z.; Zhou, D. Effect of long-term fertilization experiment on concentration of micronutrients and heavy metals in soil and brown rice. Acta Pedol. Sin. 2009, 46, 281–288. [Google Scholar] [CrossRef]
- Xue, T.; Liao, X.; Wang, L.; Zhang, Y. Evaluation on effect of strengthening agronomic measures in cadmium-contaminated paddy field. J. Agro-Environ. Sci. 2018, 37, 1537–1544. [Google Scholar]
- Tu, C.; Zheng, C.R.; Chen, H.M. Effect of applying chemical fertilizers on forms of lead and cadmium in red soil. Chemosphere 2000, 41, 133–138. [Google Scholar] [CrossRef]
- Liu, J.; Duan, C.; Zhu, Y.; Zhang, X.; Wang, C. Effect of chemical fertilizers on the fractionation of Cu, Cr and Ni in contaminated soil. Environ. Geol. 2007, 52, 1601–1606. [Google Scholar] [CrossRef]
- Li, Q.; Zhang, L.; Ji, W.; Chang, Z.; Chong, R.; Li, D.; Li, J. Feasibility of using ammonium iron (II) sulphate to passivate hexavalent chromium in polluted soil. Environ. Technol. 2022, 43, 1522–1531. [Google Scholar] [CrossRef]
- Gao, J.; Kang, L.; Yan, Z.; Qu, M.; Liu, Z.; Zhang, C.; Chen, Q. Effects of biogas manure replacing chemical fertilizer on accumulation of nutrient and heavy metal in greenhouse vegetable soil. Trans. Chin. Soc. Agric. Eng. 2017, 33, 200–207. [Google Scholar] [CrossRef]
- Xu, M.; Liu, P.; Song, Z.; Zhang, Q. Progress in Fertilization on Behavior of Heavy Metals in Contaminated Soils. J. Agro-Environ. Sci. 2006, 25, 328–333. [Google Scholar]
- Qiu, Z.; Shen, W.; Lin, X. Chemical fertilizer reduction technology and its agronomic and ecological environment effects. Soil Fertil. Sci. China 2022, 4, 237–248. [Google Scholar] [CrossRef]
- Li, G.J. Effect of Macronutrient on Chromium Absorption and Physiological Characteristics of Maize Seedlings. Master’s Thesis, Shanxi University, Taiyuan, China, 2010. [Google Scholar]
- Symanowicz, B.; Kalembasa, S.; Jaremko, D.; Niedbala, M. Effect of nitrogen application and year on concentration of Cu, Zn, Ni, Cr, Pb and Cd in herbage of Galega orientalis Lam. Plant Soil Environ. 2015, 61, 11–16. [Google Scholar] [CrossRef]
- Seshadri, B.; Bolan, N.S.; Choppala, G.; Kunhikrishnan, A.; Sanderson, P.; Wang, H.; Currie, L.D.; Tsang, D.C.W.; Ok, Y.S.; Kim, G. Potential value of phosphate compounds in enhancing immobilization and reducing bioavailability of mixed heavy metal contaminants in shooting range soil. Chemosphere 2017, 184, 197–206. [Google Scholar] [CrossRef]
- Valipour, M.; Shahbazi, K.; Khanmirzaei, A. Chemical Immobilization of Lead, Cadmium, Copper, and Nickel in Contaminated Soils by Phosphate Amendments. Clean-Soil Air Water 2016, 44, 572–578. [Google Scholar] [CrossRef]
- Zhuang, Z.; Wang, Q.; Mi, Z.; Wan, Y.; Wang, Q.; Li, H. Effect of fertilizers containing phosphorus on the remediation of heavy metals contamination in soil-plant system. Phosphate Compd. Fertil. 2020, 35, 16–20. [Google Scholar] [CrossRef]
- Hong, Y.; Li, D.; Xie, C.; Zheng, X.; Yin, J.; Li, Z.; Zhang, K.; Jiao, Y.; Wang, B.; Hu, Y.; et al. Combined apatite, biochar, and organic fertilizer application for heavy metal co-contaminated soil remediation reduces heavy metal transport and alters soil microbial community structure. Sci. Total Environ. 2022, 851, 158033. [Google Scholar] [CrossRef] [PubMed]
- Wang, Y.; Peng, W.; Chen, R.; Zhong, Y.; Zhong, Z.; Nong, Y.; Luo, J.; Zhang, X. Types of phosphorus fertilizers and their influences on cadmium and phosphorus interactions in soil-plant systems. Soils Crops 2019, 8, 139–149. [Google Scholar]
- Badescu, I.S.; Bulgariu, D.; Bulgariu, L. Alternative utilization of algal biomass (Ulva sp.) loaded with Zn(II) ions for improving of soil quality. J. Appl. Phycol. 2017, 29, 1069–1079. [Google Scholar] [CrossRef]
- Chen, L.; Ni, Q.; Wu, Y.; Fu, C.; Ping, W.; Bai, H.; Li, M.; Huang, H.; Liu, H. Passivation and remediation of Pb and Cr in contaminated soil by sewage sludge biochar tubule. Environ. Sci. Pollut. Res. 2021, 28, 49102–49111. [Google Scholar] [CrossRef]
- Chen, X.; Li, X.; Xu, D.; Yang, W.; Bai, S. Application of nanoscale zero-valent iron in hexavalent chromium-contaminated soil: A review. Nanotechnol. Rev. 2020, 9, 736–750. [Google Scholar] [CrossRef]
- Zhang, T.; Xia, B.; Lu, Y.; Zhang, X.; Chen, H.; Ying, R.; Jin, S. Assessment of the Effects of Heavy Metals in Soils after Removal by Nanoscale Zero-Valent Iron with Three Methods. Sustainability 2022, 14, 2273. [Google Scholar] [CrossRef]
- Hu, Y.; Wang, X.; Dang, X. Research progress on remediation of heavy metal cadmium in farmland soil with amendments. Jiangsu Agric. Sci. 2020, 48, 17–23. [Google Scholar] [CrossRef]
- Liu, X.; Jin, Q.; Tan, J. Effects of Water Stress and Nitrogen Levels on Grapes Heavy Metal Absorption. Southwest China J. Agric. Sci. 2017, 30, 2031–2034. [Google Scholar] [CrossRef]
- Bao, S.D. Soil and Agricultural Chemistry Analysis; CSIRO Publishing: Clayton, Australia, 2000. [Google Scholar]
- Yan, C.; Guo, J. Effects of Nitrogen Fertilizer Management on Cadmium Uptake in Plants. Ecol. Environ. Sci. 2020, 29, 1466–1474. [Google Scholar] [CrossRef]
- Anjum, S.A.; Ashraf, U.; Khan, I.; Saleem, M.F.; Wang, L.C. Chromium Toxicity Induced Alterations In Growth, Photosynthesis, Gas Exchange Attributes And Yield Formation In Maize. Pak. J. Agric. Sci. 2016, 53, 751–757. [Google Scholar] [CrossRef]
- Kulczycki, G.; Sacala, E. Sulfur application alleviates chromium stress in maize and wheat. Open Chem. 2020, 18, 1093–1104. [Google Scholar] [CrossRef]
- Zhao, Y.; Li, R.; Huang, Y.; Sun, X.; Qin, W.; Wei, F.; Ye, Y. Effects of various phosphorus fertilizers on maize yield and phosphorus uptake in soils with different pH values. Arch. Agron. Soil Sci. 2022, 68, 1746–1754. [Google Scholar] [CrossRef]
- Liang, Y.; Zhang, X.; Zhu, Y.; Liu, J.; Huang, H.T. Effect of different fertilizers on Cr uptake and distribution in paddy plant. In Proceedings of the Symposium of the 2012 Academic Annual Meeting of the Chinese Society of Plant Nutrition and Fertilizers, Guangzhou, China, 1 November 2012; pp. 154–161. [Google Scholar]
- Ben Salah, Y.; Oudadesse, H.; Lefeuvre, B.; Tounsi, S.; El Feki, H. Purified monoammonium phosphate fertilizer promotes the yield and reduces heavy metals accumulation in tomato (Lycopersicon esculentum L.). Int. J. Environ. Sci. Technol. 2022, 19, 1753–1764. [Google Scholar] [CrossRef]
- Tepecik, M.; Esetlili, B.C.; Ozturk, B.; Anac, D. Effect of different fertilizers on peppermint—Essential and non-essential nutrients, essential oils and yield. Ital. J. Agron. 2022, 17, 1125–4718. [Google Scholar] [CrossRef]
- Zhang, Y.; Zhang, M. Inactivation effect of mixed amendments on heavy metals in complex polluted vegetable soil. Acta Agric. Jiangxi 2020, 32, 121–124,130. [Google Scholar] [CrossRef]
- Dong, C.; Wang, K.; Deng, Q.; Ren, L.; Li, J.; Zhang, C.; Zhang, N.; Bao, L. Effect of calcium-magnesium-phosphate fertilizer on Cd and As absorption of maize in compound polluted farmland. Soil Fertil. Sci. China 2022, 45–50. [Google Scholar]
- Sheng, Z.; Hou, W.; Xu, D.; WU, J.; Ji, T. Effects of different immobilization materials on heavy metal migration in contaminated soil-rape. J. Agro-Environ. Sci. 2020, 39, 2779–2788. [Google Scholar]
- Li, D.; Cheng, H.; Wang, X.; Hao, Q.; Chang, J.; Huang, F.; Yan, M.; Zhang, G. Effects of wood vinegar of fungus chaff on physiological and biochemistry index and heavy metal enrichment and transfer of maize in Cu and Cr contaminated soil. J. Henan Agric. Sci. 2019, 48, 65–72. [Google Scholar] [CrossRef]
- Zhou, X.; Hu, H.; Ying, C.; Zheng, J.; Zhou, F.; Jiang, H.; Ma, Y. Study on Chromium Uptake and Transfer of Different Maize Varieties in Chromium-Polluted Farmland. Sustainability 2022, 14, 14311. [Google Scholar] [CrossRef]
- Anjum, S.A.; Ashraf, U.; Khan, I.; Tanveer, M.; Ali, M.; Hussain, I.; Wang, L.C. Chromium and Aluminum Phytotoxicity in Maize: Morpho-Physiological Responses and Metal Uptake. Clean-Soil Air Water 2016, 44, 1075–1084. [Google Scholar] [CrossRef]
- Zha, Y.; Zhao, L.; Niu, T.; Yue, E.; Wang, X.; Shi, J. Multi-Target Element-Based Screening of Maize Varieties with Low Accumulation of Heavy Metals (HMs) and Metalloids: Uptake, Transport, and Health Risks. Agriculture 2023, 13, 1123. [Google Scholar] [CrossRef]
- Sundaramoorthy, P.; Chidambaram, A.; Ganesh, K.S.; Unnikannan, P.; Baskaran, L. Chromium stress in paddy: (i) Nutrient status of paddy under chromium stress; (ii) Phytoremediation of chromium by aquatic and terrestrial weeds. Comptes Rendus Biol. 2010, 333, 597–607. [Google Scholar] [CrossRef] [PubMed]
- Sarwar, N.; Imran, M.; Shaheen, M.R.; Ishaque, W.; Kamran, M.A.; Matloob, A.; Rehim, A.; Hussain, S. Phytoremediation strategies for soils contaminated with heavy metals: Modifications and future perspectives. Chemosphere 2017, 171, 710–721. [Google Scholar] [CrossRef] [PubMed]
- Zayed, A.; Lytle, C.M.; Qian, J.H.; Terry, N. Chromium accumulation, translocation and chemical speciation in vegetable crops. Planta 1998, 206, 293–299. [Google Scholar] [CrossRef]
- Wang, M.; Zou, J.; Duan, X.; Jiang, W.; Liu, D. Cadmium accumulation and its effects on metal uptake in maize (Zea mays L.). Bioresour. Technol. 2007, 98, 82–88. [Google Scholar] [CrossRef]
- da Conceicao Gomes, M.A.; Hauser-Davis, R.A.; Suzuki, M.S.; Vitoria, A.P. Plant chromium uptake and transport, physiological effects and recent advances in molecular investigations. Ecotoxicol. Environ. Saf. 2017, 140, 55–64. [Google Scholar] [CrossRef]
- Zhao, Y. Mechanism of Phosphate Fertilizer Inhibiting Cadmium Accumulation in Rice. Doctor’s Thesis, Chinese Academy of Agricultural Sciences, Beijing, China, 2021. [Google Scholar]
- Ren, J.; Zhang, G.; Wang, D.; Cai, D.; Wu, Z. Honeycomb-like magnetic cornstalk for Cr(VI) removal and ammonium release. Bioresour. Technol. 2019, 291, 121856. [Google Scholar] [CrossRef]
- Zeng, F.; Ali, S.; Zhang, H.; Ouyang, Y.; Qiu, B.; Wu, F.; Zhang, G. The influence of pH and organic matter content in paddy soil on heavy metal availability and their uptake by rice plants. Environ. Pollut. 2011, 159, 84–91. [Google Scholar] [CrossRef]
- Zhou, C. Study on Soil Amendment Inhibition Heavy Mentals Absorption by Afalfa. Master’s Thesis, Guizhou University, Guiyang, China, 2010. [Google Scholar]
- Zhou, Y.; Liang, C.; Du, L.; Wei, Q. Evaluation on passivation effect of cadmium in soil under different phosphate fertilizers levels. Bull. Soil Water Conserv. 2014, 34, 68–72. [Google Scholar] [CrossRef]
- Chen, S.; Zhou, J.; Liu, H.; Luo, Y.; Wu, L.; Xin, Z. Effects of amendments on the alleviation of aluminum toxicity and cadmium and zinc uptake by Sedum plumbizincicola in acid soils. Chin. J. Biotechnol. 2020, 36, 529–540. [Google Scholar] [CrossRef]
- Zhao, J.; Feng, W.; Qing, Y.; Yu, H.; Liao, M.; Jia, K.; Cheng, Y.; Wang, C.; Tu, S. Eeffects of application of nitrogen, phosphorus and potssium fertilizers on soil pH and cadmium availability. Acta Pedol. Sin. 2010, 47, 953–961. [Google Scholar]
- Kang, H.; Zhou, Y.; Li, J. Study on oxidation of ammonium sulfite. Guangzhou Chem. Ind. 2009, 37, 132–133,138. [Google Scholar] [CrossRef]
- Cheng, Q.; Wang, C.; Doudrick, K.; Chan, C. Hexavalent chromium removal using metal oxide photocatalysts. Appl. Catal. B-Environ. 2015, 176, 740–748. [Google Scholar] [CrossRef]
- Fan, Q.; Feng, J.; Zou, D.; Jiu, Y.; Wu, X.; Su, C.; Zhao, M. Effects of alkaline liquid fertilizer on bioavailability, accumulation and migration of heavy metals in Sauropus androgynus-soil. J. South. Agric. 2022, 53, 3336–3345. [Google Scholar] [CrossRef]






| Detection Indicators | Concentration | Unit |
|---|---|---|
| pH | 5.23 | / |
| Soil organic matter | 18.81 | g·kg−1 |
| Total nitrogen (N) | 1.31 | g·kg−1 |
| Hydrolytic nitrogen (N) | 154.82 | mg·kg−1 |
| Available phosphorus (P) | 10.57 | mg·kg−1 |
| Available potassium (K) | 164.00 | mg·kg−1 |
| Total Cr | 255.73 | mg·kg−1 |
| Treatment | Application Materials | Material Usage (kg·hm−2) | ||||
|---|---|---|---|---|---|---|
| Fertilizer | Conditioner | N | P | K | Conditioner | |
| CK | Formulated fertilizer (urea–ammonium phosphate–potassium chloride) | / | 81.00 | 54.00 | 67.50 | / |
| D1 | Formulated fertilizer (urea–ammonium phosphate–potassium chloride) | Biochar | 4500.00 | |||
| D2 | Formulated fertilizer (urea–ammonium phosphate–potassium chloride) | Conditioner PX5B | 4500.00 | |||
| Y1 | Urea–calcium magnesium phosphate–potassium chloride | / | / | |||
| Y2 | Urea–diammonium phosphate–potassium chloride | / | / | |||
| Y3 | Urea–calcium magnesium phosphate, diammonium phosphate–potassium chloride | / | / | |||
| Y4 | Ammonium sulfite–calcium magnesium phosphate–potassium chloride | / | / | |||
| Y5 | Ammonium sulfite, urea–calcium magnesium phosphate–potassium chloride | / | / | |||
| Treatment | Total N (g·kg−1) | Hydrolytic N (mg·kg−1) | Available P (mg·kg−1) | Available K (mg·kg−1) |
|---|---|---|---|---|
| CK | 1.50 ± 0.05 a | 162.86 ± 5.17 b | 12.02 ± 0.59 bc | 253.33 ± 22.50 a |
| D1 | 1.43 ± 0.04 ab | 185.88 ± 7.08 a | 14.23 ± 0.31 a | 219.67 ± 3.21 c |
| D2 | 1.46 ± 0.12 a | 163.07 ± 2.74 b | 10.99 ± 0.55 cd | 245.33 ± 9.24 ab |
| Y1 | 1.32 ± 0.02 bc | 143.96 ± 5.97 c | 12.24 ± 0.33 b | 160.33 ± 7.23 e |
| Y2 | 1.32 ± 0.11 bc | 137.59 ± 8.70 c | 8.79 ± 0.94 e | 228.33 ± 3.51 bc |
| Y3 | 1.30 ± 0.1 bc | 133.62 ± 6.46 c | 10.02 ± 0.62 d | 217.33 ± 1.15 c |
| Y4 | 1.23 ± 0.0 6c | 134.58 ± 5.22 c | 12.28 ± 0.56 b | 230.33 ± 4.16 bc |
| Y5 | 1.23 ± 0.04 c | 137.59 ± 4.75 c | 12.67 ± 0.84 b | 186.00 ± 8.54 d |
Disclaimer/Publisher’s Note: The statements, opinions and data contained in all publications are solely those of the individual author(s) and contributor(s) and not of MDPI and/or the editor(s). MDPI and/or the editor(s) disclaim responsibility for any injury to people or property resulting from any ideas, methods, instructions or products referred to in the content. |
© 2023 by the authors. Licensee MDPI, Basel, Switzerland. This article is an open access article distributed under the terms and conditions of the Creative Commons Attribution (CC BY) license (https://creativecommons.org/licenses/by/4.0/).
Share and Cite
Zheng, J.; Zhou, X.; Gao, Y.; Cao, C.; Hu, H.; Ye, W.; Ma, Y. Effects of Fertilizers and Conditioners on Chromium Uptake of Maize in Chromium-Polluted Farmland. Sustainability 2023, 15, 13011. https://doi.org/10.3390/su151713011
Zheng J, Zhou X, Gao Y, Cao C, Hu H, Ye W, Ma Y. Effects of Fertilizers and Conditioners on Chromium Uptake of Maize in Chromium-Polluted Farmland. Sustainability. 2023; 15(17):13011. https://doi.org/10.3390/su151713011
Chicago/Turabian StyleZheng, Jing, Xiaotian Zhou, Yuxin Gao, Chi Cao, Hanxiu Hu, Wenling Ye, and Youhua Ma. 2023. "Effects of Fertilizers and Conditioners on Chromium Uptake of Maize in Chromium-Polluted Farmland" Sustainability 15, no. 17: 13011. https://doi.org/10.3390/su151713011
APA StyleZheng, J., Zhou, X., Gao, Y., Cao, C., Hu, H., Ye, W., & Ma, Y. (2023). Effects of Fertilizers and Conditioners on Chromium Uptake of Maize in Chromium-Polluted Farmland. Sustainability, 15(17), 13011. https://doi.org/10.3390/su151713011

