Bearing Characteristics of Rock Joints under Different Bolts Installation Angles and Their Underlying Mechanism
Abstract
:1. Introduction
2. Establishment of a Numerical Model and Simulation Scheme
2.1. Establishment of a Numerical Model
2.2. Model Parameters and Validation
3. Analysis of Numerical Simulation Results
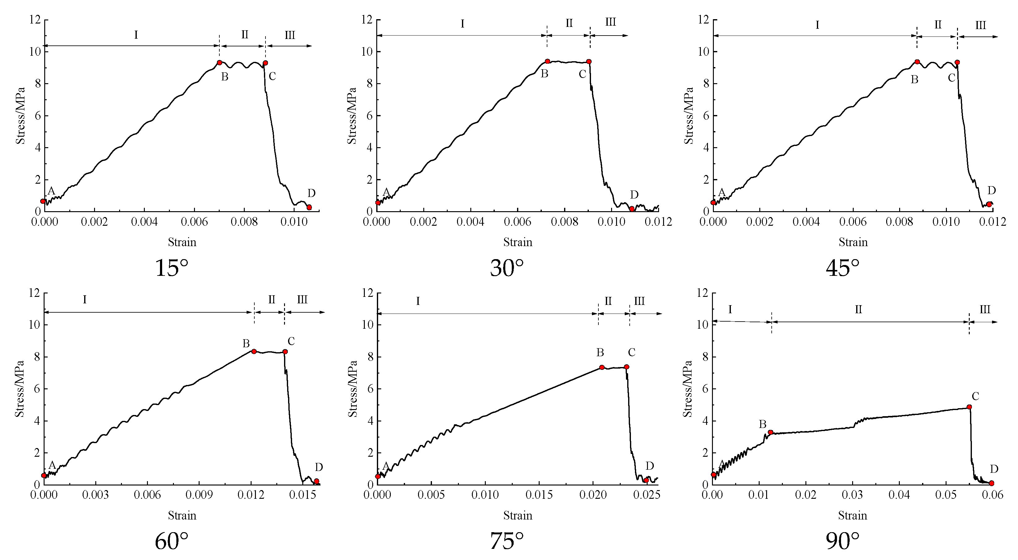
3.1. Analysis of the Deformation and Strength Characteristics of the Specimen
3.2. Analysis of Interaction Characteristics of Bolt-Surrounding Rock
4. Analysis of Anchoring Mechanisms
4.1. Shear Resistance Mechanism of the Bolt
4.2. Evolutionary Characteristics of Shear Resistance of Bolt
4.3. Discussion on Selecting the Optimal Bolt Installation Angle
5. Conclusions
Author Contributions
Funding
Institutional Review Board Statement
Informed Consent Statement
Data Availability Statement
Conflicts of Interest
References
- Kang, H.P.; Wang, J.H.; Lin, J. Study and applications of roadway support techniques for coal mines. J. China Coal Soc. 2010, 35, 1809–1814. [Google Scholar]
- Yang, R.S.; Li, Y.L.; Wang, M.S. Experimental study of shear mechanical properties of prestressed cable bolts. J. China Univ. Min. Technol. 2018, 47, 1166–1174. [Google Scholar]
- Wu, B.W. Research on Crack Evolution Mechanism and Large Deformation Control of Surrounding Rock in Soft Rock Roadway; China University of Mining and Technology: Xuzhou, China, 2021. [Google Scholar]
- Chen, N.; Zhang, X.B.; Jiang, Q.H. Shear behavior of rough rock joints reinforced by bolts. Int. J. Geomech. 2018, 18, 4017130. [Google Scholar] [CrossRef]
- Wang, G.; Zhang, Y.Z.; Jiang, Y.J. Shear behaviour and acoustic emission characteristics of bolted rock joints with different roughnesses. Rock Mech. Rock Eng. 2018, 51, 1885–1906. [Google Scholar] [CrossRef]
- Wang, G.H.; Wang, X.Y.; Yang, J.X. Mechanism analysis of pre-stressed bonded rock bolt controlling the deformation in joint surrounding rocks. J. China Univ. Min. Technol. 2021, 50, 60–68. [Google Scholar]
- Wang, L.Q.; Zhu, L.F.; Zheng, L.B. Shear test of bolted joint rock masses considering joint roughness. China J. Highw. Transp. 2021, 34, 38–47. [Google Scholar]
- Liu, Q.S.; Lei, G.F.; Peng, X. Shearing mechanical model and experimental verification of bolts in jointed rock mass. Chin. J. Geotech. Eng. 2018, 40, 794–801. [Google Scholar]
- Hai, B.L.; Han, H.T.; Wei, Y. The anchorage mechanism under the coplanar condition of shear direction and bolt inclination. Rock Soil Mech. 2020, S2, 1–11. [Google Scholar] [CrossRef]
- Yang, B.Y.; Xiao, M.; Luo, N. Research on mechanical characteristic of anchor bolt in process of shearing. J. Huazhong Univ. Sci. Technol. 2019, 47, 127–132. [Google Scholar]
- Cui, G.J.; Zhang, C.Q.; Chen, J.L. Effect of bolt inclination angle on shear behavior of bolted joints under CNL and CNS conditions. J. Cent. South Univ. 2020, 27, 937–950. [Google Scholar] [CrossRef]
- Hui, Z.; Rong, C.X.; Chuan, Q.Z. Experimental study of crack prevention effect of pre-stressed bolt anchoring. Chin. J. Rock Mech. Eng. 2015, 34, 2027–2037. [Google Scholar]
- Srivastava, L.P.; Singh, M. Empirical estimation of strength of jointed rocks traversed by rock bolts based on experimental observation. Eng. Geol. 2015, 197, 103–111. [Google Scholar] [CrossRef]
- Tong, B.Z.; Kang, K.C.; Ping, W. Study on slip failure of rock with weak plane and anchorage control mechanism. J. Min. Saf. Eng. 2017, 34, 1081–1087. [Google Scholar]
- Yang, S.Q.; Chen, M.; Tao, Y. Experimental study on anchorage mechanical behavior and surface cracking characteristics of a non-persistent jointed rock mass. Rock Mech. Rock Eng. 2021, 54, 1193–1221. [Google Scholar] [CrossRef]
- He, D.L.; Yang, W.J.; Lin, H. Numerical analysis for direct shear test of bolted joint based on particle flow code. J. Eng. Geol. 2019, 27, 302–310. [Google Scholar]
- Wu, D.Y.; Yu, L.Y.; Su, H.J. Experimental study and PFC3D simulation on crack propagation of fractured rock-like specimens with bolts under uniaxial compression. Rock Soil Mech. 2021, 42, 1681–1692. [Google Scholar]
- Chen, M. Study on the Mechanical Failure Behavior and Anchoring Control Effect of Non-Persistent Jointed Rock; China University of Mining and Technology: Xuzhou, China, 2019. [Google Scholar]
- Yang, Z.; Zhu, W.C.; Guan, K. Experimental and numerical study on the anchorage effect of bolted jointed rock masses. Front. Earth Sci. 2022, 10, 861912. [Google Scholar] [CrossRef]
- Guo, D.M.; Zuo, J.P.; Zhang, Y. Research on strength and failure mechanism of deep coal-rock combination bodies of different inclined angles. Rock Soil Mech. 2011, 32, 1333–1339. [Google Scholar]
- Mao, M.G.; Xue, G.S.; Xian, J.D. Experimental study on active anchorage mechanism of prestressed anchor cable in inclined bedding rock mas. Min. Res. Dev. 2022, 42, 89–94. [Google Scholar]
- Jiang, Y.J.; Zhang, S.H.; Luan, H.J. Numerical modelling of the performance of bolted rough joint subjected to shear load. Geomech. Geophys. Geo-Energy Geo-Resour. 2022, 8, 140. [Google Scholar] [CrossRef]
- Pellet, F.; Egger, P. Analytical model for the mechanical behaviour of bolted rock joints subjected to shearing. Rock Mech. Rock Eng. 1996, 29, 73–97. [Google Scholar] [CrossRef]
- Ma, S.; Zhao, Z.Y.; Peng, J. Analytical modeling of shear behaviors of rock bolts perpendicular to joints. Constr. Build. Mater. 2018, 175, 286–295. [Google Scholar] [CrossRef]
- Song, Y.B.; Yan, S.; Bai, J.B. Implementation of shear broken failure of bolts in FLAC3D and its application. Chin. J. Rock Mech. Eng. 2017, 36, 1899–1909. [Google Scholar]
- Wang, X.Q. Analysis for bearing characteristics and reinforcement effect of counter-pulled bolts and cables. J. China Coal Soc. 2019, 44, 430–438. [Google Scholar]
- Cai, H.L.; Yu, Z.L. Research progress in bolting mechanism and theories of fully grouted bolts in jointed rock masses. Chin. J. Rock Mech. Eng. 2018, 37, 1856–1872. [Google Scholar]
- Jalalifar, H.; Aziz, N. Analytical behaviour of bolt–joint intersection under lateral loading conditions. Rock Mech. Rock Eng. 2010, 43, 89–94. [Google Scholar] [CrossRef]
- Grasselli, G. 3D behaviour of bolted rock joints: Experimental and numerical study. Int. J. Rock Mech. Min. Sci. 2005, 42, 13–24. [Google Scholar] [CrossRef]
- Spang, K.; Egger, P. Action of fully-grouted bolts in jointed rock and factors of influence. Rock Mech. Rock Eng. 1990, 23, 201–229. [Google Scholar] [CrossRef]
- Xiu, R.G.; Jian, W.L. Study on the shear resistance behaviour of bolted rock Joints. Chin. J. Geotech. Eng. 1988, 10, 8–19. [Google Scholar]
- Egger, P.; Fernandez, H. A novel triaxial press-study of anchored jointed models. Proc. 5th Int. Congr. Rock Mech. 1983, 38, 171–175. [Google Scholar]
- Liu, S.G.; Huang, Z.X.; Zhang, H. Study of shearing tests of bolted frictionless joints with different bolt installation angles. Chin. J. Undergr. Space Eng. 2022, 18, 824–831. [Google Scholar] [CrossRef]
- Azuar, J.J. Stabilization of fissured rock masses by grouted steel bar. Rapp. De Rech. LPC 1977, 73, 56–83. [Google Scholar]













| Parameter | Unit | Value | Parameter | Unit | Value | |
|---|---|---|---|---|---|---|
| Rock | Density | g/cm3 | 2500 | Tensile strength | MPa | 10 |
| Young’s modulus | GPa | 6.22 | Cohesion | MPa | 20 | |
| Dilatancy angle | MPa | 0 | Friction angle | ° | 42 | |
| Shear modulus | GPa | 3.52 | ||||
| Bolt | Modulus of elasticity | GPa | 200 | Tangential friction angle | ° | 45 |
| Poisson’s ratio | - | 0.2 | Normal bonding force | MN·m−1 | 200 | |
| Moment of inertia | 10−11 m4 | 6.36 | Normal bond stiffness | GN·m−2 | 10 | |
| Polar moment of inertia | 10−11 m4 | 12.7 | Normal friction angle | ° | 0 | |
| Tangential bonding force | MN·m−1 | 2 | Breaking force | kN | 42 | |
| Tangential bond stiffness | MN·m−2 | 20 | Normal stiffness | GPa/m | 16 | |
| Joint | Cohesion | MPa | 0 | Shear stiffness | GPa/m | 16 |
| Friction angle | ° | 21 | ||||
| Gasket | Modulus of elasticity | GPa | 150 | Normal stiffness | GN·m−3 | 0.8 |
| Poisson’s ratio | - | 0.2 | Shear stiffness | GN·m−3 | 0.8 | |
| Thickness | m | 0.01 |
Disclaimer/Publisher’s Note: The statements, opinions and data contained in all publications are solely those of the individual author(s) and contributor(s) and not of MDPI and/or the editor(s). MDPI and/or the editor(s) disclaim responsibility for any injury to people or property resulting from any ideas, methods, instructions or products referred to in the content. |
© 2023 by the authors. Licensee MDPI, Basel, Switzerland. This article is an open access article distributed under the terms and conditions of the Creative Commons Attribution (CC BY) license (https://creativecommons.org/licenses/by/4.0/).
Share and Cite
Liu, J.; Wang, R.; Luan, H.; Zuo, H.; Jiang, Y.; Zhang, S.; Li, X. Bearing Characteristics of Rock Joints under Different Bolts Installation Angles and Their Underlying Mechanism. Sustainability 2023, 15, 12876. https://doi.org/10.3390/su151712876
Liu J, Wang R, Luan H, Zuo H, Jiang Y, Zhang S, Li X. Bearing Characteristics of Rock Joints under Different Bolts Installation Angles and Their Underlying Mechanism. Sustainability. 2023; 15(17):12876. https://doi.org/10.3390/su151712876
Chicago/Turabian StyleLiu, Jianrong, Rongchao Wang, Hengjie Luan, Haifeng Zuo, Yujing Jiang, Sunhao Zhang, and Xinpeng Li. 2023. "Bearing Characteristics of Rock Joints under Different Bolts Installation Angles and Their Underlying Mechanism" Sustainability 15, no. 17: 12876. https://doi.org/10.3390/su151712876
APA StyleLiu, J., Wang, R., Luan, H., Zuo, H., Jiang, Y., Zhang, S., & Li, X. (2023). Bearing Characteristics of Rock Joints under Different Bolts Installation Angles and Their Underlying Mechanism. Sustainability, 15(17), 12876. https://doi.org/10.3390/su151712876

