The Impacts of Low-Carbon Incentives and Carbon-Reduction Awareness on Airport Ground Access Mode Choice under Travel Time Uncertainty: A Hybrid CPT-MNL Model
Abstract
:1. Introduction
2. Survey and Experiment Design
2.1. Attribute and Attribute Levels
2.2. Experiment Design
3. Data Collection
3.1. The Procedure of Data Collection
3.2. Socio-Demographics of the Sample
4. Methodology
4.1. Uncertain Attributes under the CPT Model
4.2. Hybrid CPT-MNL Model
5. Results and Analysis
5.1. Ground Access Mode Choice Behavir under Different Number of Carry-on Luggage
5.2. Estimation Results of the MNL Model Part
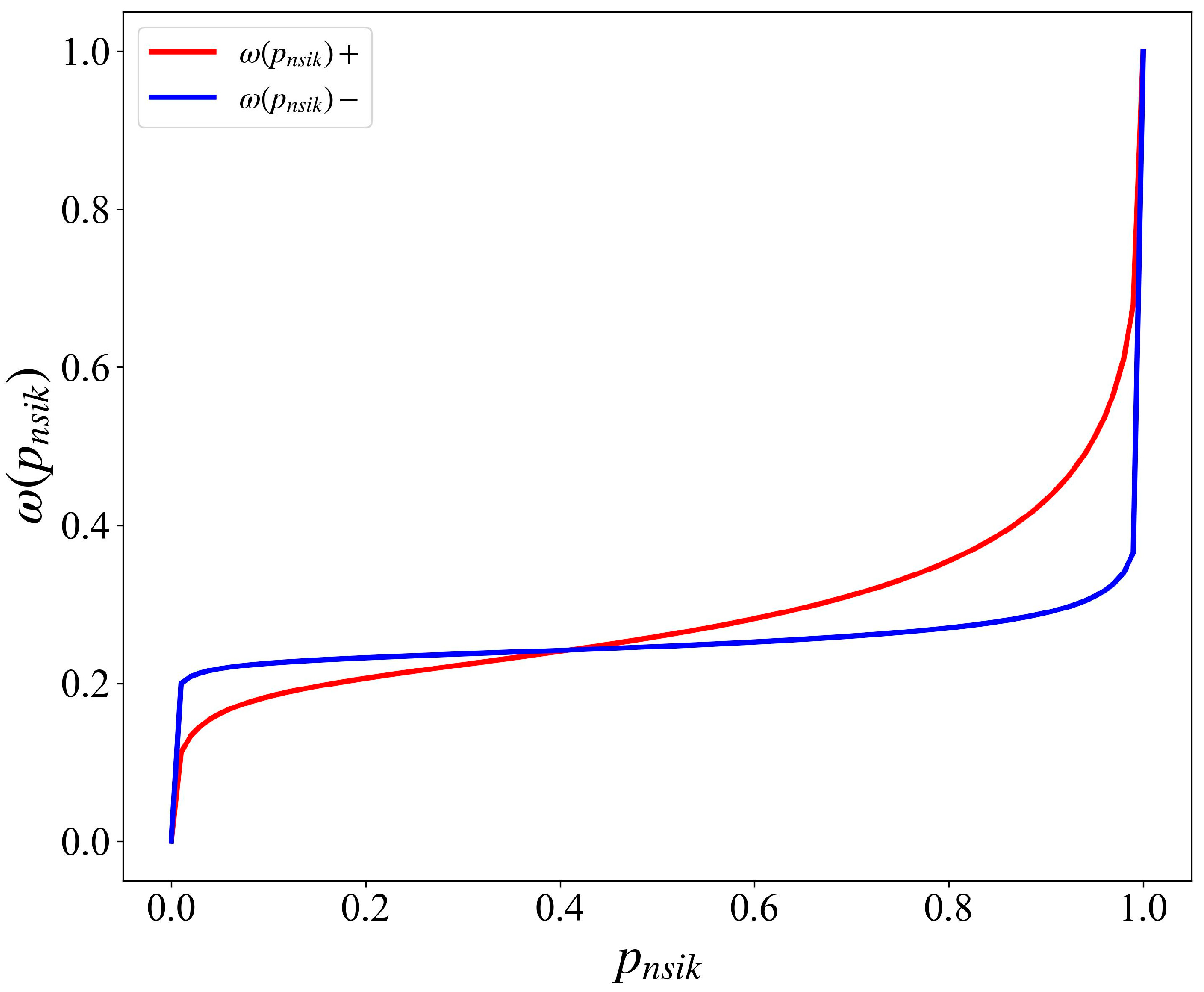
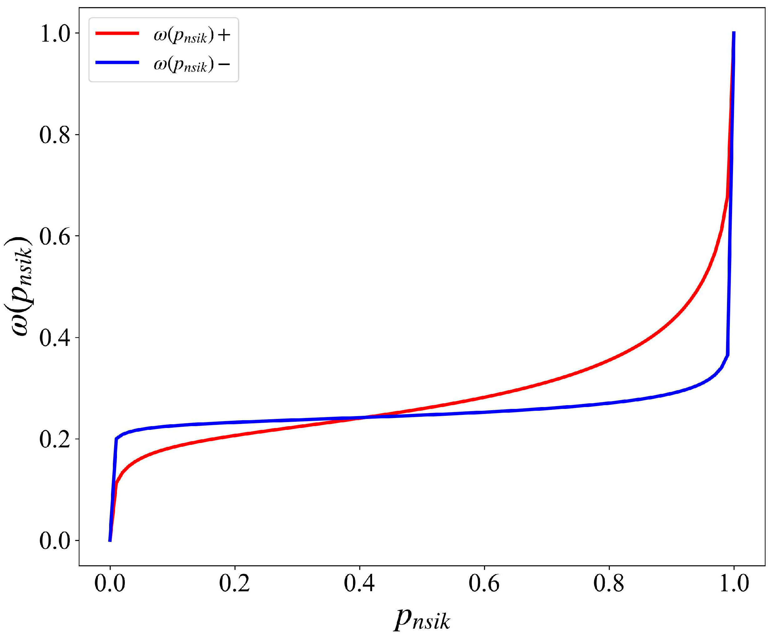
5.3. Estimation Results of the CPT Model Part
6. Conclusions
Author Contributions
Funding
Institutional Review Board Statement
Informed Consent Statement
Data Availability Statement
Acknowledgments
Conflicts of Interest
References
- Deng, F.; Lv, Z.; Qi, L.; Wang, X.; Shi, M.; Liu, H. A big data approach to improving the vehicle emission inventory in China. Nat. Commun. 2020, 11, 2801. [Google Scholar] [CrossRef]
- Jia, S. Economic, environmental, social, and health benefits of urban traffic emission reduction management strategies: Case study of Beijing, China. Sustain. Cities Soc. 2021, 67, 102737. [Google Scholar] [CrossRef]
- Fujii, S.; Taniguchi, A. Reducing family car-use by providing travel advice or requesting behavioral plans: An experimental analysis of travel feedback programs. Transp. Res. Part D Transp. Environ. 2005, 10, 385–393. [Google Scholar] [CrossRef]
- Hamidi, Z.; Zhao, C. Shaping sustainable travel behaviour: Attitude, skills, and access all matter. Transp. Res. Part D Transp. Environ. 2020, 88, 102566. [Google Scholar] [CrossRef]
- Cheng, L.; Chen, X.; De Vos, J.; Lai, X.; Witlox, F. Applying a random forest method approach to model travel mode choice behavior. Travel Behav. Soc. 2018, 14, 1–10. [Google Scholar] [CrossRef]
- Jou, R.-C.; Hensher, D.A.; Hsu, T.-L. Airport ground access mode choice behavior after the introduction of a new mode: A case study of Taoyuan International Airport in Taiwan. Transp. Res. Part E Logist. Transp. Rev. 2011, 47, 371–381. [Google Scholar] [CrossRef]
- Chang, Y.-C. Factors affecting airport access mode choice for elderly air passengers. Transp. Res. Part E Logist. Transp. Rev. 2013, 57, 105–112. [Google Scholar] [CrossRef]
- Gokasar, I.; Gunay, G. Mode choice behavior modeling of ground access to airports: A case study in Istanbul, Turkey. J. Air Transp. Manag. 2017, 59, 1–7. [Google Scholar] [CrossRef]
- Carr, C.; Hesse, M. Mobility policy through the lens of policy mobility: The post-political case of introducing free transit in Luxembourg. J. Transp. Geogr. 2020, 83, 102634. [Google Scholar] [CrossRef]
- Thaller, A.; Posch, A.; Dugan, A.; Steininger, K. How to design policy packages for sustainable transport: Balancing disruptiveness and implementability. Transp. Res. Part D Transp. Environ. 2021, 91, 102714. [Google Scholar] [CrossRef]
- Dütschke, E.; Engel, L.; Theis, A.; Hanss, D. Car driving, air travel or more sustainable transport? Socio-psychological factors in everyday mobility and long-distance leisure travel. Travel Behav. Soc. 2022, 28, 115–127. [Google Scholar] [CrossRef]
- Wu, X.-H.; He, M.-L.; Cao, S.-C.; Shi, Y.-J. Evolution trend analysis of urban residents’ low-carbon travel development based on multidimensional game theory. J. Cent. South Univ. 2019, 26, 3388–3396. [Google Scholar] [CrossRef]
- Liu, D.; Du, H.; Southworth, F.; Ma, S. The influence of social-psychological factors on the intention to choose low-carbon travel modes in Tianjin, China. Transp. Res. Part A Policy Pract. 2017, 105, 42–53. [Google Scholar] [CrossRef]
- Huang, Y.; Gao, L. Influence mechanism of commuter’s low-carbon literacy on the intention of mode choice: A case study in Shanghai, China. Int. J. Sustain. Transp. 2022, 16, 1131–1143. [Google Scholar] [CrossRef]
- Geng, J.; Long, R.; Chen, H. Impact of information intervention on travel mode choice of urban residents with different goal frames: A controlled trial in Xuzhou, China. Transp. Res. Part A Policy Pract. 2016, 91, 134–147. [Google Scholar] [CrossRef]
- Lo, S.H.; van Breukelen, G.J.; Peters GJ, Y.; Kok, G. Commuting travel mode choice among office workers: Comparing an Extended Theory of Planned Behavior model between regions and organizational sectors. Travel Behav. Soc. 2016, 4, 1–10. [Google Scholar] [CrossRef]
- Murtagh, N.; Gatersleben, B.; Uzzell, D. Multiple identities and travel mode choice for regular journeys. Transp. Res. Part F Traffic Psychol. Behav. 2012, 15, 514–524. [Google Scholar] [CrossRef]
- Fujii, S.; Kitamura, R. What does a one-month free bus ticket do to habitual drivers? An experimental analysis of habit and attitude change. Transportation 2003, 30, 81–95. [Google Scholar] [CrossRef]
- Hensher, D.A. Future bus transport contracts under a mobility as a service (MaaS) regime in the digital age: Are they likely to change? Transp. Res. Part A Policy Pract. 2017, 98, 86–96. [Google Scholar] [CrossRef]
- Riggs, W. The role of behavioral economics and social nudges in sustainable travel behavior. In Transportation, Land Use, and Environmental Planning; Elsevier: Amsterdam, The Netherlands, 2020; pp. 263–277. [Google Scholar]
- Zhang, Z.; Fujii, H.; Managi, S. How does commuting behavior change due to incentives? An empirical study of the Beijing Subway System. Transp. Res. Part F Traffic Psychol. Behav. 2014, 24, 17–26. [Google Scholar] [CrossRef]
- Basili, M.; Rossi, M.A. Platform-mediated reputation systems in the sharing economy and incentives to provide service quality: The case of ridesharing services. Electron. Commer. Res. Appl. 2019, 39, 100835. [Google Scholar] [CrossRef]
- Wang, L.; Jin, Y.; Wang, L.; Ma, W.; Li, T. Incentive-Based Approach to Control Demands for Operation of One-Way Carsharing System. Transp. Res. Rec. J. Transp. Res. Board 2019, 2673, 427–438. [Google Scholar] [CrossRef]
- Wang, L.; Ma, W.; Wang, M.; Qu, X. Demand control model with combinatorial incentives and surcharges for one-way carsharing operation. Transp. Res. Part C Emerg. Technol. 2021, 125, 102999. [Google Scholar] [CrossRef]
- Yu, Z.; Huang, P. Local governments’ incentives and governing practices in low-carbon transition: A comparative study of solar water heater governance in four Chinese cities. Cities 2020, 96, 102477. [Google Scholar] [CrossRef]
- Wang, L.; Li, W.; Weng, J.; Zhang, D.; Ma, W. Do low-carbon rewards incentivize people to ridesplitting? Evidence from structural analysis. Transportation 2022, 1–33. [Google Scholar] [CrossRef]
- Zhang, Q.; Wang, Y.; Liu, L. Carbon Tax or Low-Carbon Subsidy? Carbon Reduction Policy Options under CCUS Investment. Sustainability 2023, 15, 5301. [Google Scholar] [CrossRef]
- Wei, J.; Zhang, L.; Yang, R.; Song, M. A new perspective to promote sustainable low-carbon consumption: The influence of informational incentive and social influence. J. Environ. Manag. 2023, 327, 116848. [Google Scholar] [CrossRef]
- Brand, C.; Anable, J.; Tran, M. Accelerating the transformation to a low carbon passenger transport system: The role of car purchase taxes, feebates, road taxes and scrappage incentives in the UK. Transp. Res. Part A Policy Pract. 2013, 49, 132–148. [Google Scholar] [CrossRef]
- Dällenbach, N. Low-carbon travel mode choices: The role of time perceptions and familiarity. Transp. Res. Part D Transp. Environ. 2020, 86, 102378. [Google Scholar] [CrossRef]
- Storch, D.-M.; Timme, M.; Schröder, M. Incentive-driven transition to high ride-sharing adoption. Nat. Commun. 2021, 12, 3003. [Google Scholar] [CrossRef]
- Zhou, L.; Zhong, S.; Ma, S.; Jia, N. Prospect theory based estimation of drivers’ risk attitudes in route choice behaviors. Accid. Anal. Prev. 2014, 73, 1–11. [Google Scholar] [CrossRef]
- Jou, R.-C.; Chen, K.-H. An application of cumulative prospect theory to freeway drivers’ route choice behaviours. Transp. Res. Part A Policy Pract. 2013, 49, 123–131. [Google Scholar] [CrossRef]
- Avineri, E.; Prashker, J.N. Violations of Expected Utility Theory in Route-Choice Stated Preferences: Certainty Effect and Inflation of Small Probabilities. Transp. Res. Rec. J. Transp. Res. Board 2004, 1894, 222–229. [Google Scholar] [CrossRef]
- Ghader, S.; Darzi, A.; Zhang, L. Modeling effects of travel time reliability on mode choice using cumulative prospect theory. Transp. Res. Part C Emerg. Technol. 2019, 108, 245–254. [Google Scholar] [CrossRef]
- Nam, D.; Park, D.; Khamkongkhun, A. Estimation of value of travel time reliability. J. Adv. Transp. 2005, 39, 39–61. [Google Scholar] [CrossRef]
- Kim, J.; Rasouli, S.; Timmermans, H.J. The effects of activity-travel context and individual attitudes on car-sharing decisions under travel time uncertainty: A hybrid choice modeling approach. Transp. Res. Part D Transp. Environ. 2017, 56, 189–202. [Google Scholar] [CrossRef]
- Tam, M.-L.; Lam, W.H.; Lo, H.-P. The Impact of Travel Time Reliability and Perceived Service Quality on Airport Ground Access Mode Choice. J. Choice Model. 2011, 4, 49–69. [Google Scholar] [CrossRef]
- Senna, L.A.D.S. The influence of travel time variability on the value of time. Transportation 1994, 21, 203–228. [Google Scholar] [CrossRef]
- Bates, J.; Polak, J.; Jones, P.; Cook, A. The valuation of reliability for personal travel. Transp. Res. Part E Logist. Transp. Rev. 2001, 37, 191–229. [Google Scholar] [CrossRef]
- Akar, G. Ground access to airports, case study: Port Columbus International Airport. J. Air Transp. Manag. 2013, 30, 25–31. [Google Scholar] [CrossRef]
- Colovic, A.; Pilone, S.G.; Kukić, K.; Kalić, M.; Dožić, S.; Babić, D.; Ottomanelli, M. Airport Access Mode Choice: Analysis of Passengers’ Behavior in European Countries. Sustainability 2022, 14, 9267. [Google Scholar] [CrossRef]
- Qin, H.; Gao, J.; Zhang, G.; Chen, Y.; Wu, S. Nested logit model formation to analyze airport parking behavior based on stated preference survey studies. J. Air Transp. Manag. 2017, 58, 164–175. [Google Scholar] [CrossRef]
- Donners, B.; Van Genugten, W. Landzijdige Bereikbaarheid Eindhoven Airport Themarapport Analysefase. 2018. Available online: https://api1.ibabs.eu/publicdownload.aspx?site=Waalre&id=321e246d-b895-4aed-9b2d-3a2343552564 (accessed on 9 August 2023).
- Xi’an People’s Government. Notice from the People’s Government of Xi’an on the Issuance of the ‘14th Five-Year’ Comprehensive Transportation Development Plan. 28 October 2021. Available online: http://www.gaoling.gov.cn/zwgk/qzfxxgkml/ghjh/bmndjh/62465376f8fd1c0bdc8ada3f.html (accessed on 8 August 2023). (In Chinese)
- China Civil Airports Association. Notice Regarding the Public Announcement of the Assessment Results for Dual-Carbon Airports in 2022. 13 February 2023. Available online: http://www.chinaairports.org.cn/Notices/46905.jhtml (accessed on 8 August 2023). (In Chinese).
- Molin, E.J.; Timmermans, H.J. Context Dependent Stated Choice Experiments: The Case of Train Egress Mode Choice. J. Choice Model. 2010, 3, 39–56. [Google Scholar] [CrossRef]
- Beijing Green Exchange. A Reduction of 10,000 Metric Tons of Carbon Dioxide Is Achieved Daily by Public Transit Passengers. 11 August 2022. Available online: https://finance.sina.com.cn/jjxw/2022-08-11/doc-imizmscv5745383.shtml (accessed on 8 August 2023). (In Chinese).
- Naing, L.; Winn TB, N.R.; Rusli, B.N. Practical issues in calculating the sample size for prevalence studies. Arch. Orofac. Sci. 2006, 1, 9–14. [Google Scholar]
- Jiang, Y.; Timmermans, H.J.; Chen, C.; Sun, J.; Yao, B. Determinants of air-rail integration service of Shijiazhuang airport, China: Analysis of historical data and stated preferences. Transp. B Transp. Dyn. 2019, 7, 1572–1587. [Google Scholar] [CrossRef]
- Tversky, A.; Kahneman, D. Advances in prospect theory: Cumulative representation of uncertainty. J. Risk Uncertain. 1992, 5, 297–323. [Google Scholar] [CrossRef]
- Kahneman, D.; Tversky, A. Prospect theory: An analysis of decision under risk. In Handbook of the Fundamentals of Financial Decision Making: Part I; World Scientific: Singapore, 2013; pp. 99–127. [Google Scholar]
- Quiggin, J. A theory of anticipated utility. J. Econ. Behav. Organ. 1982, 3, 323–343. [Google Scholar] [CrossRef]
- Luce, R.D.; Fishburn, P.C. Rank- and sign-dependent linear utility models for finite first-order gambles. J. Risk Uncertain. 1991, 4, 29–59. [Google Scholar] [CrossRef]
- Hensher, D.; Rose, J.M.; Greene, W.H. Applied Choice Analysis: A Primer Cambridge University Press; Cambridge University Press: Cambridge, UK, 2005. [Google Scholar]
- Alhussein, S.N. Analysis of ground access modes choice King Khaled International Airport, Riyadh, Saudi Arabia. J. Transp. Geogr. 2011, 19, 1361–1367. [Google Scholar] [CrossRef]
- Gokasar, I.; Gunay, G. Modeling and Implications of Airport Ground Egress Mode Choice. KSCE J. Civ. Eng. 2021, 25, 669–679. [Google Scholar] [CrossRef]
- Becker, N.; Carmi, N. Changing trip behavior in a higher education institution: The role of parking fees. Int. J. Sustain. Transp. 2019, 13, 268–277. [Google Scholar] [CrossRef]
- Guo, J.; Feng, T.; Timmermans, H.J.P. Modeling co-dependent choice of workplace, residence and commuting mode using an error component mixed logit model. Transportation 2020, 47, 911–933. [Google Scholar] [CrossRef]
- Asitha, K.S.; Khoo, H.L. Incentivised Travel and Mobile Application as Multiple Policy Intervention for Mode Shift. KSCE J. Civ. Eng. 2020, 24, 3074–3091. [Google Scholar] [CrossRef]
- Raux, C.; Chevalier, A.; Bougna, E.; Hilton, D. Mobility choices and climate change: Assessing the effects of social norms, emissions information and economic incentives. Res. Transp. Econ. 2021, 90, 101007. [Google Scholar] [CrossRef]
- Indriany, S.; Sjafruddin, A.; Kusumawati, A.; Weningtyas, W. Identification of cumulative prospect theory parameters for mode choice model. MATEC Web Conf. 2019, 270, 03012. [Google Scholar] [CrossRef]
- Li, Z.; Hensher, D.A.; Zeng, J. Travel choice behaviour under uncertainty in real-market settings: A source-dependent utility approach. Transp. Res. Part E Logist. Transp. Rev. 2022, 168, 102962. [Google Scholar] [CrossRef]




| Categories | Attributes | Levels |
|---|---|---|
| Contexts | Travel distance (km) | fixed (30 km) |
| Carry-on baggage number | 0; 1; 2 | |
| Private Car (including self-driving, kiss and ride) | Average travel time (min) | fixed (50) |
| Possible advance or delay (min) | (−2, 10, 22); (−6, +5, +16); (−10, 0, +10) | |
| Probability of advance or delay | (5%, 40%, 55%); (10%, 60%, 30%); (25%, 30%, 45%) | |
| Travel cost (CNY) | 30; 40; 50 | |
| Parking cost (CNY/h) | 0; 6; 12 | |
| Taxi (including ride-hailing service) | Average Travel time (min) | fixed (50) |
| Possible advance or delay (min) | (−2, 10, 22); (−6, +5, +16); (10, 0, 10) | |
| Probability of advance or delay | (5%, 40%, 55%); (10%, 60%, 30%); (25%, 30%, 45%) | |
| Travel cost (CNY) | 80; 95; 110 | |
| CO2 reduction | 0%; −20%; −40% | |
| Public transport (including regular, customized shuttle buses, and metro) | Average Travel time (min) | fixed (80) |
| Possible advance or delay (min) | (−3, +5, +13); (−8, 0, +8); (−13, −5, +2) | |
| Probability of advance or delay | (10%, 70%, 20%); (10%, 75%, 15%); (10%, 80%, 10%) | |
| Travel cost (CNY) | 20; 25; 30 | |
| Number of transfers | 0; 1; 2 | |
| Incentive (CNY) | 0; 5; 10 | |
| CO2 reduction | −50%; −70%; −90% |
| Characteristic | Level | Percent (%) | Xi’an Census (%) |
|---|---|---|---|
| Gender | Male | 44 | 48.83 |
| Female | 56 | 51.17 | |
| Age | ≤25 | 28.1 | [0,14]: 7.33 [15–59]: 63.46 ≥60: 13.32 |
| [26,40] | 41.3 | ||
| [41,55] | 28.4 | ||
| ≥56 | 2.2 | ||
| Education level | Bachelor’s degree of above | 60.5 | 18.4 |
| Others | 39.5 | 81.6 | |
| Income | <4000 | 34.2 | - |
| [4000, 8000) | 26.2 | - | |
| [8000, 10,000) | 11.5 | - | |
| ≥10,000 | 28.1 | - | |
| Driving license | Yes | 83.1 | - |
| No | 16.9 | - | |
| Transport mode for the last trip to the airport | Public transport | 39.6 | - |
| Taxi | 23.7 | - | |
| Private car | 16.4 | - | |
| Kiss and ride | 13.7 | - | |
| Others | 6.6 | - |
| Attribute | Transport Mode | Parameter | t-Value | ||
|---|---|---|---|---|---|
| Context variables | Carry-on baggage number | Public transport | −0.676 *** | −7.91 | |
| Socio-demographic variables | Gender | Private Car/Taxi | 0.149 ** | 2.41 | |
| Income (CNY/Month) | <4000 | Private Car/Taxi | −0.271 | - | |
| [4000–8000) | Private Car/Taxi | 0.389 *** | 3.54 | ||
| [8000–10,000) | Private Car/Taxi | −0.0198 | −0.141 | ||
| >=10,000 | Private Car/Taxi | 0.00217 | 0.0203 | ||
| Advance arrival time | [1–1.5) h in advance | Private Car/Taxi | 0.2724 | - | |
| [1.5–2) h in advance | Private Car/Taxi | −0.821 ** | −2.07 | ||
| [2–2.5) h in advance | Private Car/Taxi | 0.0766 | 0.337 | ||
| [2.5–3) h in advance | Private Car/Taxi | 0.472 *** | 2.82 | ||
| Alternative-specific attributes | Travel cost (CNY) | Private Car | −0.0239 *** | −2.84 | |
| Taxi | −0.00158 | −0.319 | |||
| Public transport | 0.0175 | 1.17 | |||
| Parking cost (CNY/h) | Private Car | −0.0284 ** | −2.07 | ||
| Number of transfers | Public transport | −0.0472 | −0.64 | ||
| Average Travel time (min) | All modes | −0.00233 | −0.0994 | ||
| Possible travel time advance or delay (min) | Private Car | −0.0481 ** | −2.16 | ||
| Taxi | −0.00996 | −0.628 | |||
| Public transport | −0.0125 | −0.627 | |||
| Carbon-reduction | Taxi | 0.188 * | −1.711 | ||
| Public transport | 0.0445 | −0.118 | |||
| Low-carbon incentives | Public transport | 0.191 * | 1.818 | ||
| Alternative-specific constant | Private Car | 0.264 ** | 2.417 | ||
| Goodness-of-fit | Log-likelihood value at zero | −1347.997 | |||
| Log-likelihood value at convergence | −1042.569 | ||||
| 0.226 | |||||
| 0.211 | |||||
Disclaimer/Publisher’s Note: The statements, opinions and data contained in all publications are solely those of the individual author(s) and contributor(s) and not of MDPI and/or the editor(s). MDPI and/or the editor(s) disclaim responsibility for any injury to people or property resulting from any ideas, methods, instructions or products referred to in the content. |
© 2023 by the authors. Licensee MDPI, Basel, Switzerland. This article is an open access article distributed under the terms and conditions of the Creative Commons Attribution (CC BY) license (https://creativecommons.org/licenses/by/4.0/).
Share and Cite
Shao, M.; Chen, C.; Lu, Q.; Zuo, X.; Liu, X.; Gu, X. The Impacts of Low-Carbon Incentives and Carbon-Reduction Awareness on Airport Ground Access Mode Choice under Travel Time Uncertainty: A Hybrid CPT-MNL Model. Sustainability 2023, 15, 12610. https://doi.org/10.3390/su151612610
Shao M, Chen C, Lu Q, Zuo X, Liu X, Gu X. The Impacts of Low-Carbon Incentives and Carbon-Reduction Awareness on Airport Ground Access Mode Choice under Travel Time Uncertainty: A Hybrid CPT-MNL Model. Sustainability. 2023; 15(16):12610. https://doi.org/10.3390/su151612610
Chicago/Turabian StyleShao, Mengru, Chao Chen, Qingchang Lu, Xinyu Zuo, Xueling Liu, and Xiaoning Gu. 2023. "The Impacts of Low-Carbon Incentives and Carbon-Reduction Awareness on Airport Ground Access Mode Choice under Travel Time Uncertainty: A Hybrid CPT-MNL Model" Sustainability 15, no. 16: 12610. https://doi.org/10.3390/su151612610
APA StyleShao, M., Chen, C., Lu, Q., Zuo, X., Liu, X., & Gu, X. (2023). The Impacts of Low-Carbon Incentives and Carbon-Reduction Awareness on Airport Ground Access Mode Choice under Travel Time Uncertainty: A Hybrid CPT-MNL Model. Sustainability, 15(16), 12610. https://doi.org/10.3390/su151612610
