Heat Transfer Model and Thermal Insulation Characteristics of Surrounding Rock of Thermal Insulation Roadway in a High-Temperature Mine
Abstract
:1. Introduction
2. Modeling
2.1. Physical Model of Heat Transfer Process of Thermal Insulation Roadway
- (1)
- The roadway cross-sectional shape is round, and the roadway surface is dry.
- (2)
- The heat flow direction in the thermal insulation roadway is radial, and heat radiation is not considered.
- (3)
- The contact thermal resistances between the surrounding rock and thermal insulation layer and between thermal insulation and shotcrete layers are ignored.
- (4)
- The surrounding rock, thermal insulation layer, and shotcrete layer of the roadway are isotropic, homogeneous, stable solids with thermophysical properties.
- (5)
- The heat exchange situation is consistent on the roadway surface circumference, and the air temperature on the same cross-section is uniform.
2.2. Mathematical Model of Heat Transfer Process of Thermal Insulation Roadway
2.2.1. Control Equation for Heat Transfer in Surrounding Rock
2.2.2. Mathematical Model of Heat Transfer of Thermal Insulation Roadway
3. Analysis of Influencing Factors on the Thermal Insulation Performance of Roadway
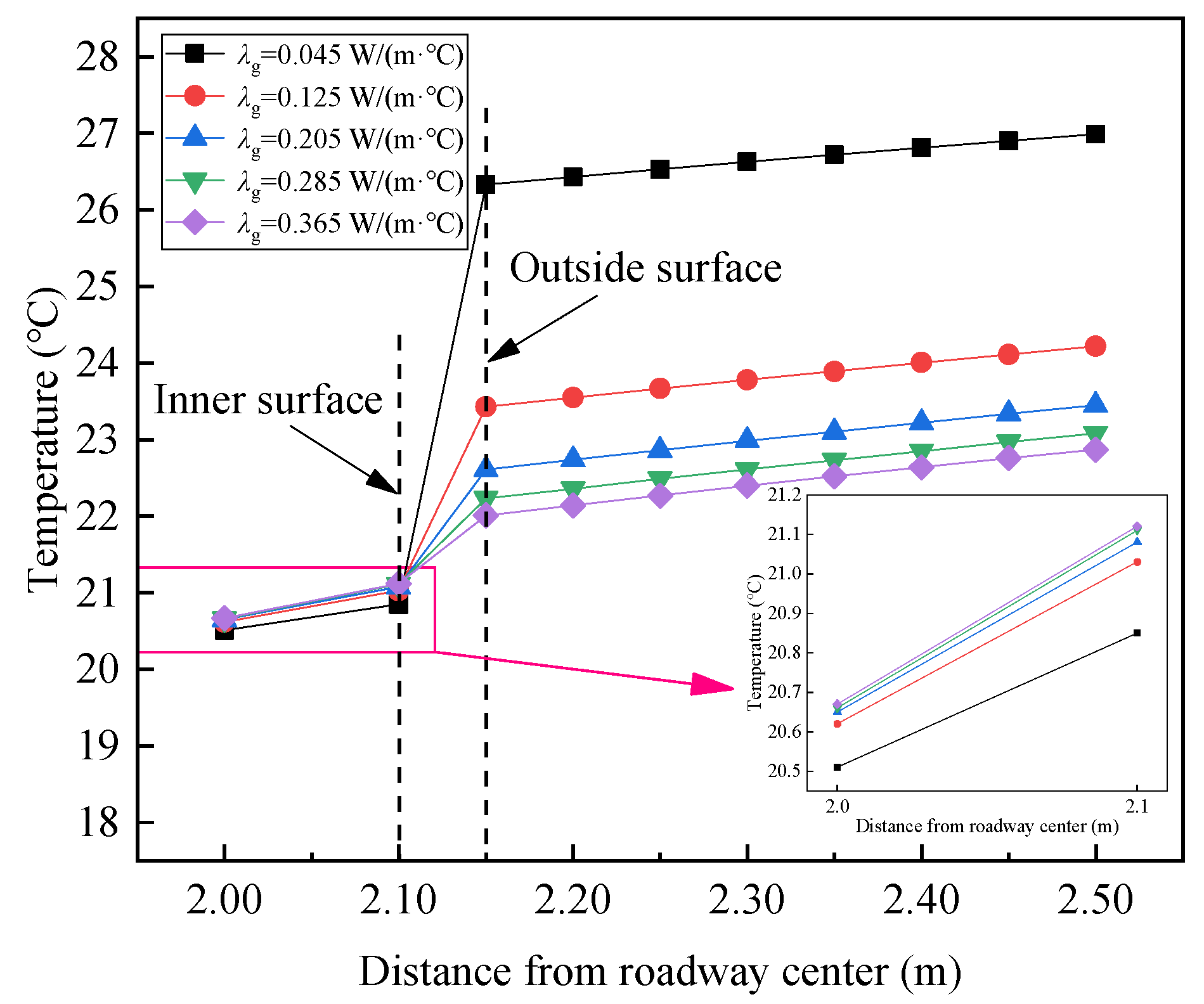
3.1. Temperature Distribution of Surrounding Rock of Roadway with Thermal Insulation Layer
3.2. The Influence of Thermal Insulation Layer Thickness on the Thermal Insulation Performance of Roadway
3.3. The Influence of Thermal Conductivity of Thermal Insulation Layer on the Thermal Insulation Performance of Roadway
3.4. The Influence of Convective Thermal Transfer Coefficient between Roadway Wall and Airflow on the Thermal Insulation Performance of Roadway
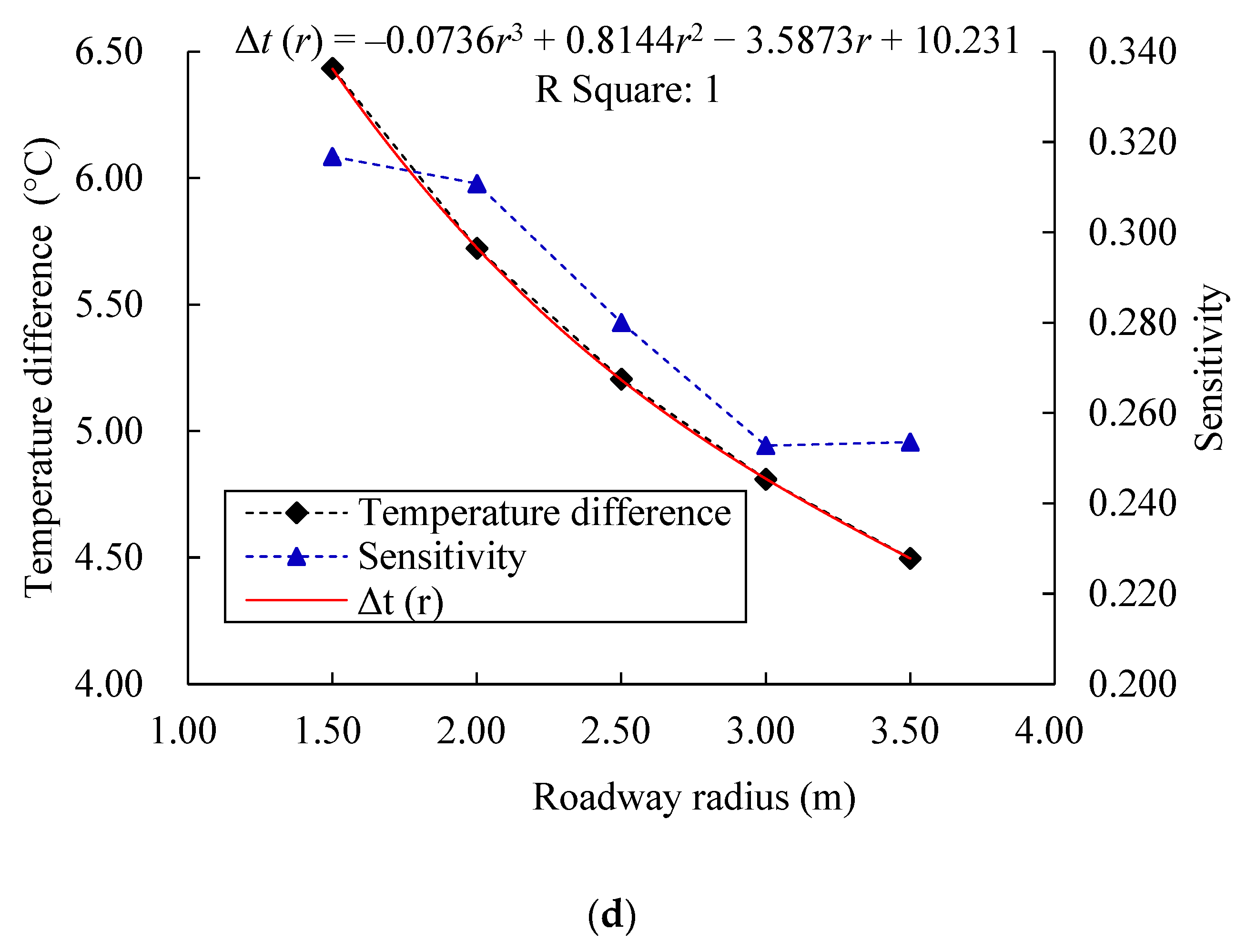
3.5. The Influence of Equivalent Radius of Roadway on the Thermal Insulation Performance of Roadway
4. Sensitivity Analysis of Different Factors on the Thermal Insulation Performance of Thermal Insulation Layers
4.1. Sensitivity Analysis Method
4.2. Sensitivity Analysis
5. Conclusions
- (1)
- Compared with the roadway without a thermal insulation layer, the thermal insulation layer of the thermal insulation roadway reduces the temperature of its inner surface (the contact surface between the thermal insulation layer and the shotcrete layer) and increases the temperature of its outside surface (the contact surface between the insulation layer and the surrounding rock). The temperature gradient inside the thermal insulation layer is greater than that inside the surrounding rock. The thermal insulation layer of the thermal insulation roadway reduces the heat dissipation of the surrounding rock by reducing the temperature difference between the original rock and the outside surface of the thermal insulation layer.
- (2)
- As the thickness of the thermal insulation layer increases, the temperature difference between the inner and outside surfaces of the thermal insulation layer gradually increases and its rate of increase gradually decreases. As a result, the thermal insulation capacity of the thermal insulation roadway increases, but its enhancement rate gradually weakens; As the thermal conductivity of the thermal insulation layer or the roadway radius increases, the temperature difference between the inner and outside surfaces of the thermal insulation layer gradually decreases and its decreasing rate gradually decreases. Therefore, the thermal insulation capacity of the thermal insulation roadway decreases and its rate of decreasing rate gradually weakens; As the convective heat transfer coefficient between the roadway wall and the airflow increases, the temperature difference between the inner and outside surfaces of the thermal insulation layer gradually increases, but its rate of increase is very small. When the convective heat transfer coefficient increases to a certain value, the temperature difference between the inner and outside surfaces of the thermal insulation layer remains almost unchanged, and the change in the convective heat transfer coefficient has almost no effect on the thermal insulation ability of the thermal insulation roadway.
- (3)
- The sensitivity of the thermal insulation performance of thermal insulation roadway decreases with the increase in thermal insulation layer thickness or roadway radius, and overall increases with the increase in thermal conductivity of the thermal insulation layer. The thermal insulation performance of thermal insulation roadway is highly sensitive or above to the thickness and thermal conductivity of the thermal insulation layer, as well as the roadway radius. If different benchmark values are selected in the analysis, the sensitivity factor values will be different. However, the influence of the thickness and thermal conductivity of the thermal insulation layer on thermal insulation performance is greater than the influence of roadway radius, and the influence of the convective heat transfer coefficient between the roadway wall and the airflow can be ignored.
Author Contributions
Funding
Data Availability Statement
Conflicts of Interest
References
- Xie, H.P.; Konietzky, H.; Zhou, H.W. Special Issue ‘Deep Mining’. Rock. Mech. Rock. Eng. 2019, 52, 1415–1416. [Google Scholar] [CrossRef]
- Li, J.; Yang, L.; Song, T.B.; Qi, R.K. Research on the Effects of the High Temperature and Humidity Environment on Human Comfort in Coal Mine Emergency Refuge System. Safety 2019, 5, 28. [Google Scholar] [CrossRef]
- He, M.C.; Guo, P.Y. Deep Rock Mass Thermodynamic Effect and Temperature Control Measures. Chin. J. Rock. Mech. Eng. 2013, 32, 2377–2393. (In Chinese) [Google Scholar]
- Xie, Z.P. Distribution Law of High Temperature Mine’s Thermal Environment Parameters and Study of Heat Damage’s Causes. Procedia Eng. 2012, 43, 588–593. [Google Scholar]
- Li, Z.J.; Wang, J.J.; Xu, Y.; Li, G.; Yuan, T.H.; Zhang, M.S. Heat Hazard Control in Excavation Engineering: Numerical Simulation of Heat Transfer Characteristics of High Temperature Tunnel with Movable Thermal Insulation Layer. Therm. Sci. Eng. Prog. 2022, 34, 101393. [Google Scholar] [CrossRef]
- Zhang, W.; Wang, T.Y.; Zhang, D.S.; Tang, J.J.; Xu, P.; Duan, X. A Comprehensive Set of Cooling Measures for the Overall Control and Reduction of High Temperature-Induced Thermal Damage in Oversize Deep Mines: A Case Study. Sustainability 2020, 12, 2498. [Google Scholar] [CrossRef]
- Dhillon, B.S. Mining Equipment Safety: A Review, Analysis Methods and Improvement Strategies. Int. J. Min. Reclam. Environ. 2009, 23, 168–179. [Google Scholar] [CrossRef]
- Li, J.L.; Yu, X.L.; Huang, C.H.; Zhou, K.P. Research on the Mobile Refrigeration System at a High Temperature Working Face of an Underground Mine. Energies 2022, 15, 4035. [Google Scholar] [CrossRef]
- Tu, R.; Huang, L.J.; Jin, A.B.; Zhang, M.F.; Hai, X. Characteristic Studies of Heat Sources and Performance Analysis of Free-cooling Assisted Air Conditioning and Ventilation Systems for Working Faces of Mineral Mines. Build. Simul. 2021, 14, 1725–1736. [Google Scholar] [CrossRef]
- Xu, Y.; Li, Z.J.; Chen, Y.; Jia, M.T.; Zhang, M.S.; Li, R.R. Synergetic Mining of Geothermal Energy in Deep Mines: An Innovative Method for Heat Hazard Control. Appl. Therm. Eng. 2022, 210, 118398. [Google Scholar] [CrossRef]
- Wang, Y.J.; Wang, C.C.; Gao, S.; Zheng, X.F.; Darkwa, J. The Impact of Thermal Insulation on Cooling Energy Consumption and Optimal Insulation Thickness for Underground Tunnel. Sustain. Energy Technol. 2021, 47, 101495. [Google Scholar] [CrossRef]
- Xiao, Y.G.; Deng, H.W.; Xie, Z.M.; He, W. Application of Nanoporous Super Thermal Insulation Material in the Prevention and Control of Thermal Hazards in Deep Mining of Metal Mines. J. Nanomater. 2022, 2022, 2390616. [Google Scholar] [CrossRef]
- Hou, C.B.; Xin, S.; Zhang, L.; Liu, S.X.; Zhang, X. Foundation Research on Physicochemical Properties of Mine Insulation Materials. Coatings 2020, 10, 355. [Google Scholar] [CrossRef]
- Liu, G.C.; Yao, W.J.; Pang, J.Y. Study on the Mechanical Properties and Thermal Conductivity of Cotton Stalk Fiber Heat-Insulating Shotcrete. Adv. Mater. Sci. Eng. 2022, 2022, 3130276. [Google Scholar] [CrossRef]
- Huang, J.K.; Pang, J.Y.; Liu, G.C.; Mo, Y.X.; Jiang, P.W.; Su, Q. A New Heat Insulation Shotcrete Mixed with Basalt and Plant Fibers. Adv. Civ. Eng. 2019, 2019, 6376807. [Google Scholar] [CrossRef]
- Wang, J.H.; Wan, Z.J.; Zhang, H.W.; Wu, D.; Zhang, Y.; Wang, Y.; Xiong, L.C.; Wang, G.L. Application of Thermal Insulation Gunite Material to the High Geo-temperature Roadway. Adv. Civ. Eng. 2020, 2020, 8853870. [Google Scholar] [CrossRef]
- Liu, W.V.; Apel, D.B.; Bindiganavile, V.S.; Szymanski, J.K. Analytical and Numerical Modeling for the Effects of Thermal Insulation in Underground Tunnels. Int. J. Min. Sci. Technol. 2016, 26, 267–276. [Google Scholar] [CrossRef]
- Yao, W.J.; Lyimo, H.; Pang, J.Y. Evolution Regularity of Temperature Field of Active Heat Insulation Roadway Considering Thermal Insulation Spraying and Grouting: A Case Study of Zhujidong Coal Mine, China. High Temp. Mater. Process. 2021, 40, 151–170. [Google Scholar] [CrossRef]
- Wang, H.; Zhou, Q.Y. Finite Element Analysis of Surrounding Rock with a Thermal Insulation Layer in a Deep Mine. Math. Probl. Eng. 2020, 2020, 5021853. [Google Scholar] [CrossRef]
- Zhang, S.G.; Lu, P.P.; Wang, H.W. Numerical Simulation Analysis of Unsteady Temperature in Thermal Insulation Supporting Roadway. Math. Probl. Eng. 2019, 2019, 6279164. [Google Scholar] [CrossRef]




















| Name | Density (kg·m−3) | Thermal Conductivity (W·m−1·°C−1) | Specific Heat Capacity (J·kg−1·°C−1) |
|---|---|---|---|
| Shotcrete layer | 2400 | 1.500 | 1000 |
| Thermal insulation layer | 140 | 0.045 | 1200 |
| Surrounding rock | 2346 | 2.415 | 896 |
| Operating Conditions | Thickness of Thermal Insulation Layer, (m) | Thermal Conductivity of Thermal Insulation Layer, (W·m−1·°C−1) | Convective Heat Transfer Coefficient between Roadway Wall and Airflow, (W·m−2·°C−1) | Roadway Radius, (m) |
|---|---|---|---|---|
| 1 | 0.05, 0.10, 0.15, 0.20, 0.25 | 0.125 | 8.3 | 2.5 |
| 2 | 0.15 | 0.045, 0.085, 0.125, 0.165, 0.205 | 8.3 | 2.5 |
| 3 | 0.15 | 0.125 | 4.3, 6.3, 8.3, 10.3, 12.3 | 2.5 |
| 4 | 0.15 | 0.125 | 8.3 | 1.5, 2.0, 2.5, 3.0, 3.5 |
Disclaimer/Publisher’s Note: The statements, opinions and data contained in all publications are solely those of the individual author(s) and contributor(s) and not of MDPI and/or the editor(s). MDPI and/or the editor(s) disclaim responsibility for any injury to people or property resulting from any ideas, methods, instructions or products referred to in the content. |
© 2023 by the authors. Licensee MDPI, Basel, Switzerland. This article is an open access article distributed under the terms and conditions of the Creative Commons Attribution (CC BY) license (https://creativecommons.org/licenses/by/4.0/).
Share and Cite
Gao, J.; Li, S.; Wu, F.; Ma, L. Heat Transfer Model and Thermal Insulation Characteristics of Surrounding Rock of Thermal Insulation Roadway in a High-Temperature Mine. Sustainability 2023, 15, 12555. https://doi.org/10.3390/su151612555
Gao J, Li S, Wu F, Ma L. Heat Transfer Model and Thermal Insulation Characteristics of Surrounding Rock of Thermal Insulation Roadway in a High-Temperature Mine. Sustainability. 2023; 15(16):12555. https://doi.org/10.3390/su151612555
Chicago/Turabian StyleGao, Jianan, Shugang Li, Fengliang Wu, and Li Ma. 2023. "Heat Transfer Model and Thermal Insulation Characteristics of Surrounding Rock of Thermal Insulation Roadway in a High-Temperature Mine" Sustainability 15, no. 16: 12555. https://doi.org/10.3390/su151612555
APA StyleGao, J., Li, S., Wu, F., & Ma, L. (2023). Heat Transfer Model and Thermal Insulation Characteristics of Surrounding Rock of Thermal Insulation Roadway in a High-Temperature Mine. Sustainability, 15(16), 12555. https://doi.org/10.3390/su151612555
