Neighborhood Identity Formation and the Changes in an Urban Regeneration Neighborhood in Gwangju, Korea
Abstract
1. Introduction
- 1.
- Do social media data allow us to capture a certain point in the changing nature of neighborhood identity through AI techniques?
- 2.
- If so, is it possible to capture how changed the neighborhood identity is at the discursive level over time?
2. Literature Review
2.1. Understanding and Measuring Neighborhood Identity
2.2. Understanding the Study Neighborhood
3. Methodology
3.1. Stage 1: Data Collection
3.2. Stage 2: Topic Modeling for All Data
3.3. Stage 3: Topic Changes by Period
4. Results
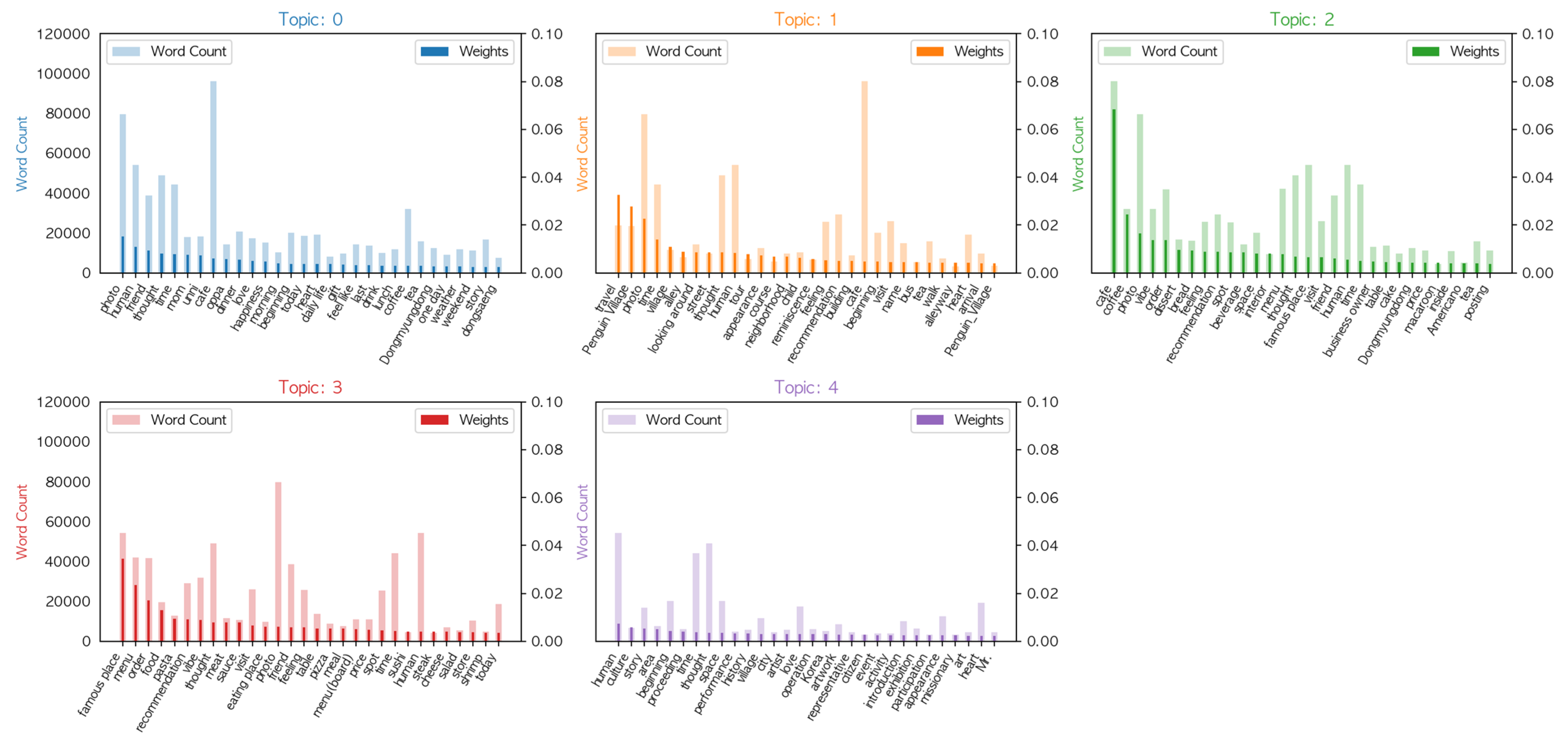
4.1. Topic Modeling for All Data
4.2. Topic Changes by Period
4.2.1. Stage 1: Flourishment (January 2013–October 2016)
4.2.2. Stage 2: Maturation (November 2016–February 2020)
4.2.3. Stage 3: COVID-19 (March 2020–October 2022)
5. Discussion
6. Conclusions and Limitations
Author Contributions
Funding
Institutional Review Board Statement
Informed Consent Statement
Data Availability Statement
Acknowledgments
Conflicts of Interest
Appendix A. Most Important Terms and Blog Posting Numbers by Topic and Year
| T | Keyword1 | Keyword2 | Keyword3 | Keyword4 | Keyword5 | 2013 | 2014 | 2015 | 2016 | 2017 | 2018 | 2019 | 2020 | 2021 | 2022 | Sum | % of tokens |
| 0 | photo | human | friend | thought | time | 42 | 69 | 240 | 515 | 1601 | 1690 | 1758 | 2160 | 3532 | 5085 | 16,692 | 33.2 |
| 1 | travel | Penguin Village | photo | time | village | 47 | 103 | 386 | 859 | 1237 | 933 | 652 | 530 | 743 | 689 | 6179 | 10.3 |
| 2 | café | coffee | photo | vibe | order | 56 | 37 | 124 | 341 | 1649 | 1940 | 2017 | 2071 | 2832 | 2364 | 13,431 | 17.5 |
| 3 | famous place | menu | order | food | pasta | 32 | 101 | 105 | 385 | 1801 | 2658 | 2375 | 2235 | 2805 | 2684 | 15,181 | 18.6 |
| 4 | human | culture | story | area | beginning | 188 | 354 | 781 | 1204 | 1365 | 1178 | 1165 | 1176 | 1476 | 1192 | 10,079 | 20.4 |
Appendix B. Most Important Terms by Topic for All Data
| Topic 0: Daily Life (33.2%) | Topic 1: Tour and Culture (20.4%) | Topic 2: Café and Hot Spot (18.6%) | Topic 3: Food and Hot Spot (17.5%) | Topic 4: Culture and Citizen Participation (10.3%) | |||||
| Keywords | Importance | Keywords | Importance | Keywords | Importance | Keywords | Importance | Keywords | Importance |
| photo | 0.0153 | travel | 0.0326 | café | 0.0684 | famous place | 0.0344 | human | 0.0073 |
| human | 0.0109 | Penguin Village | 0.0278 | coffee | 0.0244 | menu | 0.0234 | culture | 0.0058 |
| friend | 0.0095 | photo | 0.0225 | photo | 0.0165 | order | 0.0170 | story | 0.0054 |
| thought | 0.0080 | time | 0.0139 | vibe | 0.0137 | food | 0.0131 | area | 0.0052 |
| time | 0.0077 | village | 0.0109 | order | 0.0137 | pasta | 0.0093 | beginning | 0.0043 |
| mom | 0.0075 | alley | 0.0088 | dessert | 0.0096 | recommendation | 0.0091 | proceeding | 0.0041 |
| unni | 0.0073 | looking around | 0.0087 | bread | 0.0092 | vibe | 0.0090 | time | 0.0037 |
| café | 0.0060 | street | 0.0086 | feeling | 0.0089 | thought | 0.0080 | thought | 0.0035 |
| oppa | 0.0057 | thought | 0.0085 | recommendation | 0.0087 | meat | 0.0078 | space | 0.0034 |
| dinner | 0.0056 | human | 0.0082 | spot | 0.0085 | sauce | 0.0078 | performance | 0.0034 |
| love | 0.0050 | tour | 0.0079 | beverage | 0.0085 | visit | 0.0067 | history | 0.0033 |
| happiness | 0.0047 | appearance | 0.0073 | space | 0.0082 | eating place | 0.0061 | village | 0.0031 |
| morning | 0.0041 | course | 0.0067 | interior | 0.0081 | photo | 0.0061 | city | 0.0031 |
| beginning | 0.0037 | neighborhood | 0.0067 | menu | 0.0079 | friend | 0.0060 | artist | 0.0030 |
| today | 0.0037 | child | 0.0062 | thought | 0.0067 | feeling | 0.0060 | love | 0.0030 |
| heart | 0.0036 | reminiscence | 0.0059 | famous place | 0.0066 | table | 0.0055 | operation | 0.0030 |
| daily life | 0.0036 | feeling | 0.0053 | visit | 0.0065 | pizza | 0.0054 | Korea | 0.0030 |
| gift | 0.0036 | recommendation | 0.0050 | friend | 0.0060 | meal | 0.0054 | artwork | 0.0028 |
| feel like | 0.0033 | building | 0.0050 | human | 0.0056 | menu(board) | 0.0052 | representative | 0.0027 |
| last | 0.0032 | café | 0.0047 | time | 0.0050 | price | 0.0048 | citizen | 0.0027 |
| drink | 0.0030 | beginning | 0.0046 | business owner | 0.0049 | spot | 0.0047 | event | 0.0026 |
| lunch | 0.0030 | visit | 0.0046 | table | 0.0046 | time | 0.0043 | activity | 0.0026 |
| coffee | 0.0029 | name | 0.0046 | cake | 0.0044 | sushi | 0.0041 | introduction | 0.0025 |
| tea | 0.0029 | bus | 0.0045 | Dongmyungdong | 0.0043 | human | 0.0041 | exhibition | 0.0025 |
| Dongmyungdong | 0.0028 | tea | 0.0043 | price | 0.0042 | steak | 0.0041 | participation | 0.0025 |
| one day | 0.0028 | walk | 0.0043 | macaroon | 0.0042 | cheese | 0.0039 | appearance | 0.0024 |
| weather | 0.0026 | alleyway | 0.0043 | inside | 0.0041 | salad | 0.0039 | missionary | 0.0024 |
| weekend | 0.0026 | heart | 0.0043 | Americano | 0.0040 | store | 0.0039 | art | 0.0024 |
| story | 0.0025 | arrival | 0.0041 | tea | 0.0039 | shrimp | 0.0036 | heart | 0.0023 |
| dongsaeng | 0.0025 | Penguin_Village | 0.0041 | posting | 0.0038 | today | 0.0035 | Mr. | 0.0022 |
Appendix C. Most Important Terms by Topic and Theme for Stage 1
| Theme 1: Culture, Travel, and Area (36.3%) | Theme 3: the Creation of the Neighborhood (20.9%) | ||||||||
| Topic 5 (8.3%) | Topic 6 (12.1%) | Topic 7 (15.9%) | Topic 0 (9.2%) | Topic 3 (11.7%) | |||||
| Keyword | Importance | Keyword | Importance | Keyword | Importance | Keyword | Importance | Keyword | Importance |
| area | 0.0125 | culture | 0.0286 | travel | 0.023 | human | 0.0205 | human | 0.0229 |
| business | 0.0123 | art | 0.0109 | village | 0.0077 | thought | 0.0181 | missionary | 0.012 |
| tourism | 0.0087 | performance | 0.0107 | Seoul | 0.0063 | photo | 0.0179 | church | 0.0116 |
| support | 0.0086 | area | 0.0101 | market | 0.0059 | story | 0.0178 | Mr. | 0.0112 |
| citizen | 0.0074 | artwork | 0.0092 | time | 0.0059 | time | 0.0111 | Korea | 0.0095 |
| operation | 0.0073 | event | 0.0088 | history | 0.0058 | book | 0.0109 | love | 0.0075 |
| city | 0.0072 | proceeding | 0.0087 | course | 0.0054 | heart | 0.0099 | school | 0.0074 |
| resident | 0.0059 | artist | 0.0083 | street | 0.0053 | photographing | 0.0094 | mother | 0.0064 |
| planning | 0.0058 | exhibition | 0.0079 | human | 0.0048 | love | 0.0083 | story | 0.0061 |
| representative | 0.0057 | participation | 0.0079 | beginning | 0.0047 | movie | 0.0082 | God | 0.0061 |
| progress | 0.0056 | space | 0.0076 | bus | 0.0047 | beginning | 0.0079 | heart | 0.006 |
| proceeding | 0.0054 | citizen | 0.0071 | culture | 0.0046 | friend | 0.0058 | pastor | 0.0059 |
| education | 0.0052 | festival | 0.0069 | city | 0.0045 | song | 0.0054 | Jesus | 0.0057 |
| necessity | 0.0045 | program | 0.0061 | area | 0.0045 | preparation | 0.0052 | mission | 0.0053 |
| village | 0.0041 | theme | 0.006 | Mudeungsan | 0.0043 | writing | 0.0052 | life | 0.0053 |
| facility | 0.004 | Biennale | 0.006 | experience | 0.0042 | thanks | 0.0051 | beginning | 0.0051 |
| visit | 0.004 | activity | 0.0059 | Daein_Market | 0.004 | music | 0.0048 | name | 0.0051 |
| development | 0.0039 | Korea | 0.0054 | appearance | 0.0039 | Jeongyulseong | 0.0048 | Christianity | 0.0049 |
| effort | 0.0039 | world | 0.0053 | park | 0.0038 | Dongaebi | 0.0048 | thought | 0.0046 |
| participation | 0.0038 | schedule | 0.0052 | Daegu | 0.0035 | child | 0.0047 | word | 0.0045 |
| evaluation | 0.0037 | afternoon | 0.0051 | nature | 0.0035 | appearance | 0.0047 | hospital | 0.0044 |
| activity | 0.0036 | variety | 0.0045 | tour | 0.0034 | work | 0.0042 | country | 0.004 |
| development | 0.0035 | youth | 0.0042 | spot | 0.0032 | happiness | 0.0041 | history | 0.0038 |
| economy | 0.0033 | culture_art | 0.0042 | Pusan | 0.0032 | study | 0.004 | Father | 0.0037 |
| formation | 0.0031 | operation | 0.0042 | alley | 0.0032 | reason | 0.0038 | global society | 0.0035 |
| management | 0.0031 | representative | 0.0041 | view | 0.003 | gift | 0.0036 | worship | 0.0033 |
| thought | 0.0031 | experience | 0.004 | tourist spot | 0.003 | place | 0.0035 | spirit | 0.0033 |
| result | 0.0031 | opening | 0.004 | museum | 0.003 | global society | 0.0034 | America | 0.0033 |
| woman | 0.003 | music | 0.0039 | country | 0.0029 | memory | 0.0034 | Chosun | 0.003 |
| industry | 0.003 | China | 0.0038 | operation | 0.0028 | Mr. | 0.0033 | prayer | 0.0029 |
| Theme 2: historic and cultural heritages and evolution of Penguin Village (23.8%) | Theme 4: cafés and daily life (19.0%) | ||||||||
| Topic 1 (7.7%) | Topic 4 (9.5%) | Topic 9 (6.6%) | Topic 2 (9.1%) | Topic 8 (9.9%) | |||||
| building | 0.0268 | café | 0.0207 | Penguin Village | 0.0595 | café | 0.0198 | photo | 0.0235 |
| photo | 0.0148 | travel | 0.0199 | photo | 0.0213 | order | 0.015 | friend | 0.0128 |
| House of Jangwoo Yi | 0.0116 | photo | 0.0169 | village | 0.0185 | menu | 0.0134 | time | 0.0113 |
| appearance | 0.0115 | alley | 0.0144 | time | 0.0136 | coffee | 0.0129 | thought | 0.0107 |
| Sajik Park | 0.0099 | neighborhood | 0.0143 | penguin | 0.0128 | famous place | 0.0129 | bread | 0.0098 |
| House_of_Miss-ioary_Wilson | 0.0096 | human | 0.0127 | performance | 0.0111 | price | 0.0102 | human | 0.0095 |
| history | 0.0077 | thought | 0.0111 | Penguin_Village | 0.0102 | meat | 0.0094 | mom | 0.0094 |
| Sajik_Park_ob-servatory | 0.0073 | time | 0.0108 | Yanglim Salon | 0.0089 | business owner | 0.009 | unni | 0.0086 |
| house | 0.0068 | looking around | 0.0105 | experience | 0.0082 | food | 0.0088 | posting | 0.0069 |
| History and Culture Village | 0.0066 | village | 0.0099 | artwork | 0.0081 | Tteokbokki | 0.0087 | oppa | 0.0068 |
| flower shop | 0.0066 | space | 0.0093 | tour | 0.0071 | vibe | 0.008 | today | 0.0065 |
| use | 0.0065 | feeling | 0.009 | Penguin Village_Penguin Village | 0.007 | table | 0.0071 | dinner | 0.0064 |
| architecture | 0.0063 | Penguin Village | 0.0081 | resident | 0.0067 | recommendation | 0.0059 | morning | 0.006 |
| observatory | 0.0062 | heart | 0.008 | reminiscence | 0.0065 | interior | 0.0055 | weekend | 0.0059 |
| Hanok | 0.0061 | map | 0.0078 | child | 0.0061 | eating place | 0.0052 | dongsaeng | 0.0058 |
| tree | 0.0061 | street | 0.0077 | item | 0.0059 | spot | 0.0052 | daily life | 0.0055 |
| space | 0.0059 | painting | 0.0069 | flea_market | 0.0059 | menu (board) | 0.005 | tea | 0.0054 |
| Dahyung Tearoom | 0.0057 | appearance | 0.0066 | looking around | 0.0058 | store | 0.0048 | arrival | 0.0054 |
| modern | 0.0057 | vibe | 0.0065 | clock | 0.0056 | feeling | 0.0048 | Yanglim Bakery | 0.0052 |
| Memorial House of Owen | 0.0057 | tea | 0.0063 | beginning | 0.0056 | beverage | 0.0043 | night | 0.0052 |
| missionary_house | 0.0056 | name | 0.0062 | human | 0.0056 | photo | 0.004 | feel like | 0.0049 |
| Modern_History_ and_Culture_Village | 0.0052 | alleyway | 0.0061 | proceeding | 0.0055 | thought | 0.0039 | weather | 0.0048 |
| inside | 0.0052 | coffee | 0.0053 | appearance | 0.0053 | friend | 0.0038 | hand | 0.0044 |
| Choi Seunghyo_House | 0.0051 | walk | 0.0052 | name | 0.0051 | tea | 0.0037 | rain | 0.0041 |
| Yanglim Church | 0.005 | building | 0.0049 | Penguin_vegetable garden | 0.0051 | side dishes | 0.0037 | hair | 0.004 |
| time | 0.0046 | discovery | 0.0048 | alley | 0.005 | name | 0.0035 | beginning | 0.0039 |
| beginning | 0.0045 | mural | 0.0046 | vegetable garden | 0.0049 | visit | 0.0034 | lunch | 0.0037 |
| night view | 0.0044 | Songjung_Sta-tion_Market | 0.0045 | story | 0.0049 | cheese | 0.0033 | last | 0.0037 |
| name | 0.0044 | friend | 0.0044 | introduction | 0.0048 | taste | 0.0033 | looking around | 0.0036 |
| housing | 0.0043 | art gallery | 0.0044 | thought | 0.0048 | sauce | 0.0033 | memory | 0.0036 |
Appendix D. Most Important Terms by Topic and Theme for Stage 2
| Theme 1: Daily Life (21.8%) | Theme 2: Cultural Activities and Tourism (31.2%) | Theme 3: Hot Spot with Good Eateries and Cafés (47.0%) | |||||||
| Topic 0: Daily Life (21.8%) | Topic 1: Culture and Relevant Activities (12.8%) | Topic 2: Penguin Village and Travel (18.4%) | Topic 3: Famous Eateries (24.5%) | Topic 4: Famous Cafés (22.5%) | |||||
| Keyword | Importance | Keyword | Importance | Keyword | Importance | Keyword | Importance | Keyword | Importance |
| photo | 0.0145 | experience | 0.0084 | Penguin Village | 0.0190 | famous place | 0.0284 | café | 0.0558 |
| human | 0.0096 | story | 0.0069 | travel | 0.0168 | menu | 0.0189 | photo | 0.0217 |
| friend | 0.0095 | culture | 0.0068 | village | 0.0129 | order | 0.0146 | coffee | 0.0177 |
| oppa | 0.0094 | performance | 0.0061 | human | 0.0099 | food | 0.0104 | vibe | 0.0119 |
| time | 0.0088 | proceeding | 0.0061 | photo | 0.0079 | thought | 0.0083 | order | 0.0109 |
| mom | 0.0081 | time | 0.0058 | time | 0.0069 | photo | 0.0081 | bread | 0.0103 |
| unni | 0.0072 | area | 0.0056 | street | 0.0057 | pasta | 0.0080 | recommendation | 0.0076 |
| thought | 0.0066 | beginning | 0.0048 | thought | 0.0056 | vibe | 0.0079 | spot | 0.0073 |
| love | 0.0056 | participation | 0.0047 | alley | 0.0056 | meat | 0.0078 | feeling | 0.0073 |
| dinner | 0.0052 | youth | 0.0047 | appearance | 0.0049 | recommendation | 0.0072 | dessert | 0.0069 |
| happiness | 0.0050 | operation | 0.0046 | name | 0.0048 | sauce | 0.0062 | thought | 0.0065 |
| daily life | 0.0048 | festival | 0.0044 | beginning | 0.0048 | visit | 0.0062 | human | 0.0065 |
| gift | 0.0042 | theme | 0.0043 | tour | 0.0044 | menu (board) | 0.0060 | beverage | 0.0062 |
| morning | 0.0041 | program | 0.0042 | space | 0.0043 | friend | 0.0059 | friend | 0.0059 |
| beginning | 0.0040 | event | 0.0042 | history | 0.0042 | eating place | 0.0057 | menu | 0.0057 |
| Starbucks | 0.0040 | variety | 0.0040 | building | 0.0040 | feeling | 0.0055 | time | 0.0050 |
| feel like | 0.0037 | space | 0.0039 | neighborhood | 0.0037 | table | 0.0055 | visit | 0.0049 |
| drink | 0.0036 | city | 0.0039 | looking around | 0.0035 | pizza | 0.0054 | interior | 0.0047 |
| preparation | 0.0035 | afternoon | 0.0039 | artwork | 0.0035 | human | 0.0050 | space | 0.0046 |
| weekend | 0.0035 | thought | 0.0037 | heart | 0.0032 | time | 0.0048 | famous place | 0.0046 |
| Seoul | 0.0034 | activity | 0.0037 | winter | 0.0031 | meal | 0.0047 | cake | 0.0043 |
| lunch | 0.0034 | representative | 0.0036 | child | 0.0031 | sushi | 0.0044 | posting | 0.0041 |
| heart | 0.0034 | preparation | 0.0036 | missionary | 0.0030 | spot | 0.0044 | price | 0.0037 |
| hand | 0.0033 | charm | 0.0036 | tourist spot | 0.0030 | salad | 0.0040 | Dongmyung-dong | 0.0036 |
| child | 0.0033 | site | 0.0036 | alleyway | 0.0030 | price | 0.0040 | hot spot | 0.0036 |
| Dongmyung-dong | 0.0032 | artist | 0.0035 | course | 0.0029 | today | 0.0034 | business owner | 0.0036 |
| last | 0.0032 | exhibition | 0.0034 | visit | 0.0027 | shrimp | 0.0034 | table | 0.0035 |
| hair | 0.0031 | installation | 0.0032 | reminiscence | 0.0027 | cheese | 0.0033 | inside | 0.0035 |
| dongsaeng | 0.0030 | schedule | 0.0031 | museum | 0.0027 | curry | 0.0032 | macaroon | 0.0033 |
| today | 0.0029 | narrative | 0.0030 | History and Culture Village | 0.0026 | Testa | 0.0031 | sensibility | 0.0033 |
Appendix E. Most Important Terms by Topic and Theme for Stage 3
| Theme 1: Daily Life (52.3%) | Theme 3: Travel, Art, and Local Stories (14.7%) | Theme 2: Cafés and Local Hot Spots (34.0%) | |||||||||
| Topic 0: Loved Ones in the Neighborhood (29.0%) | Topic 1: Activities in the Neighborhood (22.3%) | Topic 2: Travel, Penguin Village, and Art (9.5%) | Topic 3: Local Story and Urban Regeneration (5.2%) | Topic 4: Café and Vibe (16.8%) | Topic 5: Famous Places and the Food (17.2%) | ||||||
| Keyword | Importance | Keyword | Importance | Keyword | Importance | Keyword | Importance | Keyword | Importance | Keyword | Importance |
| friend | 0.0102 | thought | 0.0164 | artwork | 0.0107 | human | 0.0087 | café | 0.0730 | famous place | 0.0343 |
| human | 0.0098 | time | 0.0153 | Penguin Village | 0.0096 | missionary | 0.0074 | coffee | 0.0220 | menu | 0.0233 |
| mom | 0.0094 | human | 0.0136 | village | 0.0091 | thanks | 0.0063 | order | 0.0150 | order | 0.0176 |
| unni | 0.0094 | heart | 0.0097 | travel | 0.0089 | church | 0.0062 | dessert | 0.0146 | food | 0.0122 |
| café | 0.0080 | flower | 0.0056 | space | 0.0080 | Korea | 0.0061 | vibe | 0.0122 | recommendation | 0.0112 |
| dinner | 0.0078 | beginning | 0.0055 | area | 0.0074 | life | 0.0047 | famous place | 0.0115 | visit | 0.0096 |
| oppa | 0.0075 | story | 0.0054 | proceeding | 0.0073 | school | 0.0044 | recommendation | 0.0106 | sauce | 0.0090 |
| happiness | 0.0051 | book | 0.0052 | afternoon | 0.0071 | history | 0.0042 | beverage | 0.0101 | pasta | 0.0089 |
| morning | 0.0049 | looking around | 0.0046 | introduction | 0.0063 | mother | 0.0041 | space | 0.0100 | vibe | 0.0085 |
| drink | 0.0049 | travel | 0.0045 | exhibition | 0.0063 | name | 0.0038 | bread | 0.0100 | thought | 0.0071 |
| lunch | 0.0047 | love | 0.0043 | street | 0.0058 | love | 0.0034 | spot | 0.0096 | feeling | 0.0069 |
| time | 0.0043 | feeling | 0.0041 | artist | 0.0056 | beginning | 0.0031 | feeling | 0.0091 | friend | 0.0064 |
| today | 0.0042 | child | 0.0041 | visit | 0.0054 | Chosun | 0.0031 | visit | 0.0087 | meat | 0.0061 |
| thought | 0.0040 | preparation | 0.0041 | building | 0.0051 | support | 0.0031 | menu | 0.0085 | pizza | 0.0059 |
| coffee | 0.0039 | name | 0.0037 | culture | 0.0051 | pastor | 0.0031 | interior | 0.0071 | table | 0.0058 |
| love | 0.0039 | thanks | 0.0037 | operation | 0.0050 | country | 0.0030 | friend | 0.0058 | meal | 0.0054 |
| Dongmyu-ngdong | 0.0038 | appearance | 0.0036 | alley | 0.0043 | activity | 0.0030 | thought | 0.0055 | eating place | 0.0053 |
| exercise | 0.0035 | friend | 0.0034 | appearance | 0.0042 | story | 0.0030 | human | 0.0055 | spot | 0.0053 |
| gift | 0.0035 | tea | 0.0034 | city | 0.0041 | exercise | 0.0030 | inside | 0.0051 | Menu (board) | 0.0048 |
| getting off work | 0.0034 | memory | 0.0034 | course | 0.0040 | urban _regeneration | 0.0029 | cake | 0.0051 | soup | 0.0043 |
| feel like | 0.0032 | happiness | 0.0030 | representative | 0.0040 | society | 0.0029 | Leeleenam Studio | 0.0046 | time | 0.0042 |
| dad | 0.0032 | recommendation | 0.0029 | art | 0.0038 | progress | 0.0028 | business owner | 0.0043 | store | 0.0041 |
| blog | 0.0032 | today | 0.0028 | use | 0.0037 | real estate | 0.0028 | table | 0.0040 | dish | 0.0036 |
| last | 0.0032 | writing | 0.0028 | place | 0.0037 | earth | 0.0027 | tea | 0.0040 | cheese | 0.0036 |
| best | 0.0031 | necessity | 0.0025 | participation | 0.0036 | China | 0.0027 | Americano | 0.0040 | salad | 0.0035 |
| beginning | 0.0030 | arrival | 0.0025 | experience | 0.0035 | America | 0.0027 | sensibility | 0.0037 | today | 0.0034 |
| daily life | 0.0030 | painting | 0.0024 | site | 0.0034 | Mr. | 0.0026 | latte | 0.0035 | human | 0.0034 |
| hair | 0.0029 | gift | 0.0024 | tour | 0.0033 | spirit | 0.0025 | time | 0.0034 | steak | 0.0033 |
| weather | 0.0029 | feel like | 0.0024 | history | 0.0033 | song | 0.0024 | cup | 0.0033 | waiting | 0.0033 |
| tea | 0.0029 | one day | 0.0023 | making | 0.0033 | spot | 0.0024 | looking around | 0.0032 | shrimp | 0.0032 |
References
- de Oliveira Capela, F.; Ramirez-Marquez, J.E. Detecting urban identity perception via newspaper topic modeling. Cities 2019, 93, 72–83. [Google Scholar] [CrossRef]
- Lynch, K. Good City Form; MIT Press: Cambridge, MA, USA, 1984. [Google Scholar]
- Oktay, D. The quest for urban identity in the changing context of the city: Northern Cyprus. Cities 2002, 19, 261–271. [Google Scholar] [CrossRef]
- Guimarães, P.P.C. An evaluation of urban regeneration: The effectiveness of a retail-led project in Lisbon. Urban Res. Pract. 2017, 10, 350–366. [Google Scholar] [CrossRef]
- Shin, H.; Stevens, Q. Debates around cultural re-imaging and culture-led Urban regeneration: The politics of two festivals in Gwangju and Glasgow. Asian J. Soc. Sci. 2014, 41, 628–652. [Google Scholar] [CrossRef]
- Mbhiza, M.H. Newtown Cultural Precinct as a Tool for Urban Regeneration within the Johannesburg Inner-City. Masters Thesis, University of Johannesburg, Johannesburg, South Africa, 2013. [Google Scholar]
- Bell, D.; Jayne, M. ‘Design-led’ urban regeneration: A critical perspective. Local Econ. 2003, 18, 121–134. [Google Scholar] [CrossRef]
- Ghahramani, M.; Galle, N.J.; Ratti, C.; Pilla, F. Tales of a city: Sentiment analysis of urban green space in Dublin. Cities 2021, 119, 103395. [Google Scholar] [CrossRef]
- Huang, R. Network fields, cultural identities and labor rights communities: Big data analytics with topic model and community detection. Chin. J. Sociol. 2019, 5, 3–28. [Google Scholar] [CrossRef]
- Lynch, K. Image of the City; M.I.T. Press: Cambridge, MA, USA, 1960. [Google Scholar]
- Matlovičová, K.; Kormaníková, J. City brand-image associations detection. Case study of Prague. In Proceedings of the SGEM International Multidisciplinary Scientific Conferences on Social Sciences and Arts, SGEM 2014, Psychology & Psychiatry, Sociology & Healthcare, Education, Conference Proceedings, Albena, Bulgaria, September 2014; pp. 139–146. [Google Scholar]
- Matlovičová, K.; Mocák, P.; Kolesárová, J. Environment of estates and crime prevention through urban environment formation and modification. Geogr. Pannonica 2016, 20, 168–180. [Google Scholar] [CrossRef]
- Olson, A.W.; Calderon-Figueroa, F.; Bidian, O.; Silver, D.; Sanner, S. Reading the city through its neighbourhoods: Deep text embeddings of Yelp reviews as a basis for determining similarity and change. Cities 2021, 110, 103045. [Google Scholar] [CrossRef]
- Suttles, G.D. The Social Construction of Communities; University of Chicago Press: Chicago, IL, USA, 1972. [Google Scholar]
- Phillips, N.E.; Levy, B.L.; Sampson, R.J.; Small, M.L.; Wang, R.Q. The social integration of American cities: Network measures of connectedness based on everyday mobility across neighborhoods. Sociol. Methods Res. 2021, 50, 1110–1149. [Google Scholar] [CrossRef]
- Bernardo, F.; Almeida, J.; Martins, C. Urban identity and tourism: Different looks, one single place. Proc. Inst. Civ. Eng.-Urban Des. Plan. 2017, 170, 205–216. [Google Scholar] [CrossRef]
- Casakin, H.; Hernández, B.; Ruiz, C. Place attachment and place identity in Israeli cities: The influence of city size. Cities 2015, 42, 224–230. [Google Scholar] [CrossRef]
- Ragab, T.S. The crisis of cultural identity in rehabilitating historic Beirut-downtown. Cities 2011, 28, 107–114. [Google Scholar] [CrossRef]
- Riza, M.; Doratli, N.; Fasli, M. City branding and identity. Procedia Soc. Behav. Sci. 2012, 35, 293–300. [Google Scholar] [CrossRef]
- Huovinen, A.; Timonen, E.; Leino, T.; Seppälä, T. Changing urban identities on a discursive map. City Cult. Soc. 2017, 11, 20–28. [Google Scholar] [CrossRef]
- Salesses, P.; Schechtner, K.; Hidalgo, C.A. The collaborative image of the city: Mapping the inequality of urban perception. PLoS ONE 2013, 8, e68400. [Google Scholar] [CrossRef]
- Hwang, J. The social construction of a gentrifying neighborhood: Reifying and redefining identity and boundaries in inequality. Urban Aff. Rev. 2016, 52, 98–128. [Google Scholar] [CrossRef]
- Jenks, M.; Dempsey, N. Defining the neighbourhood: Challenges for empirical research. Town Plan. Rev. 2007, 78, 153–177. [Google Scholar] [CrossRef]
- Filomena, G.; Verstegen, J.A.; Manley, E. A computational approach to ‘The Image of the City’. Cities 2019, 89, 14–25. [Google Scholar] [CrossRef]
- Zhou, B.; Liu, L.; Oliva, A.; Torralba, A. Recognizing city identity via attribute analysis of geo-tagged images. In Computer Vision—ECCV 2014, PT III; Fleet, D., Pajdla, T., Schiele, B., Tuytelaars, T., Eds.; Springer International Publishing: Cham, Switzerland, 2014; Volume 8691, pp. 519–534. [Google Scholar]
- Lansley, G.; Longley, P.A. The geography of Twitter topics in London. Comput. Environ. Urban Syst. 2016, 58, 85–96. [Google Scholar] [CrossRef]
- Fol, S. Urban shrinkage and socio-spatial disparities: Are the remedies worse than the disease? Built Environ. 2012, 38, 259–275. [Google Scholar] [CrossRef]
- KOSIS Area by Administrative Unit. Available online: https://kosis.kr/statHtml/statHtml.do?orgId=101&tblId=DT_1ZGA17 (accessed on 23 March 2023).
- SGIS Registered Population. Available online: https://sgis.kostat.go.kr/view/thematicMap/thematicMapMain?stat_thema_map_id=sI8uqsnppF20160121115806975w5w92MFI5L&theme=CTGR_001&mapType=05&CTGRS=CTGR_001:recommend,CTGR_002:recommend,CTGR_003:recommend,CTGR_004:recommend,CTGR_005:recommend,CTGR_006:recommend (accessed on 23 March 2023).
- Unknown Yanglim History and Culture Village. Available online: https://visityangnim.kr (accessed on 28 February 2023).
- Jung, S.-M.; Kang, S.-K. Stakeholder’s network structure analysis in community tourism development: Based on the Yanglimdong’s urban regeneration process. J. Tour. Stud. 2015, 27, 215–239. [Google Scholar]
- Beak, A.-K. A Study on the Revitalzation of Culture and Tourism for Gwangju Yanglim History and Culture Town; Chonnam National University: Gwangju, Republic of Korea, 2013. [Google Scholar]
- Jung, J.-Y. Gwangju has a plan to develop missionary heritages as historical and cultural village. Christian Newspaper, 7 May 2010. [Google Scholar]
- Choi, Y.H. The White Paper on Nam-Gu District 2016. Available online: https://www.namgu.gwangju.kr/upload/whitePaper/2016_backseo/EBook.htm (accessed on 25 May 2023).
- Park, C.; Kang, S. A nostalgic old time, the memory of Penguine Village, Yanglim, Gwangju. Hansan News, 9 July 2021. [Google Scholar]
- Nam, S.J. White Paper on Urban Regeneration in Gwangju 2022; Gwangju Urban Regeneration Communiy Center: Gwangju, Republic of Korea, 2022. [Google Scholar]
- Sirisuriya, D.S. A Comparative Study on Web Scraping. In Proceedings of the 8th International Research Conference, General Sir John Kotelawala Defence University, Sri Lanka, November 2015; pp. 135–140. Available online: https://scholar.google.com/citations?view_op=view_citation&hl=en&user=6zZ7vcIAAAAJ&citation_for_view=6zZ7vcIAAAAJ:kNdYIx-mwKoC (accessed on 10 April 2023).
- Blei, D.M.; Ng, A.Y.; Jordan, M.I. Latent dirichlet allocation. J. Mach. Learn. Res. 2003, 3, 993–1022. [Google Scholar]
- Unknown Language Corpora. Available online: https://guides.library.uq.edu.au/research-techniques/text-mining-analysis/language-corpora (accessed on 23 May 2023).
- Evison, J. What are the basics of analysing a corpus? In The Routledge Handbook of Corpus Linguistics; Routledge: London, UK, 2010; pp. 122–135. [Google Scholar]
- Park, E.L.; Cho, S. KoNLPy: Korean natural language processing in Python. In Proceedings of the 26th Annual Conference on Human & Cognitive Language Technology, Chuncheon, Republic of Korea, 10–11 October 2014; pp. 133–136. [Google Scholar]
- Mikolov, T.; Sutskever, I.; Chen, K.; Corrado, G.; Dean, J. Distributed Representations of Words and Phrases and their Compositionality; Cornell University Library, arXiv.org: Ithaca, NY, USA, 2013. [Google Scholar]
- Ramos, J. Using TF-IDF to determine word relevance in document queries. In Proceedings of the First Instructional Conference on Machine Learning, Piscataway, NJ, USA, 3 December 2003; pp. 1–4. [Google Scholar]
- Blei, D. Probabilistic Topic Models; ACM: New York, NY, USA, 2012; Volume 55, pp. 77–84. [Google Scholar]
- Moro, S.; Cortez, P.; Rita, P. Business intelligence in banking: A literature analysis from 2002 to 2013 using text mining and Latent Dirichlet Allocation. Expert Syst. Appl. 2015, 42, 1314–1324. [Google Scholar] [CrossRef]
- David Sontag, D.R. Complexity of Inference in Latent Dirichlet Allocation. In Proceedings of the Part of Advances in Neural Information Processing Systems 24, Granada, Spain, 12–15 December 2011; pp. 1–9. [Google Scholar]
- Maskeri, G.; Sarkar, S.; Heafield, K. Mining business topics in source code using latent dirichlet allocation. In Proceedings of the 1st India Software Engineering Conference, Hyderabad, India, 19–22 February 2008; pp. 113–120. [Google Scholar]
- Kullback, S.; Leibler, R.A. On Information and Sufficiency. Ann. Math. Stat. 1951, 22, 79–86. [Google Scholar] [CrossRef]
- Chuang, J.; Manning, C.; Heer, J. Termite: Visualization Techniques for Assessing Textual Topic Models; Tortora, G., Levialdi, S., Tucci, M., Eds.; ACM: New York, NY, USA; pp. 74–77.
- Gillies, M.; Murthy, D.; Brenton, H.; Olaniyan, R. Theme and topic: How qualitative research and topic modeling can be brought together. arXiv 2022, arXiv:2210.00707. [Google Scholar]
- Unknown [COVID-19 Briefing] COVID-19 Report in Gwangju. Available online: https://www.gwangju.go.kr/c19/boardView.do?pageId=corona64&boardId=BD_0000000027&seq=5019&movePage=133&searchTy=T&searchQuery=광주광역시%20코로나19 (accessed on 31 March 2023).
- Park, Y.; Kim, M.; Shin, J.; Heim LaFrombois, M.E. Changing trends in long-term sentiments and neighborhood determinants in a shrinking city. J. Plan. Educ. Res. 2021, 1–14. [Google Scholar] [CrossRef]
- Yun, H.Y.; Kim, J.; Ho, K.C. Spatial capital, cultural consumption and expatriate neighbourhoods in Hanoi, Vietnam. Asia Pac. Viewp. 2022, 63, 426–440. [Google Scholar] [CrossRef]
- Han, S.; Bohannon, C.L.; Kwon, Y. Degentrification? Different aspects of gentrification before and after the COVID-19 pandemic. Land 2021, 10, 1234. [Google Scholar] [CrossRef]
- Zukin, S.; Lindeman, S.; Hurson, L. The omnivore’s neighborhood? Online restaurant reviews, race, and gentrification. J. Consum. Cult. 2017, 17, 459–479. [Google Scholar] [CrossRef]
- Chung, J. Let’s stop gentrification. Convention of reciprocal cooperation between landlords and tenants in Yanglim. Yunhan New, 26 February 2019. [Google Scholar]
- Lee, Y. Craft Street, Penguin Village, Yanglim, September 2020. In Architect; Korea Institute of Registered Architects: Seoul, Republic of Korea, 19 January 2023; Available online: https://kiramonthly.com/871#:~:text=2020년%20현재%20양림동은,한옥이%20자리하고%20있다 (accessed on 10 April 2023).
- Unknown Yanglim Culture Park. Available online: http://craftst.or.kr/html/park_introduction (accessed on 31 March 2023).
- Park, Y. Gwangju district office: Urban regeneration projects face setbacks and reductions... No new projects selected. Nocutnews, 15 January 2023. [Google Scholar]











| All | Stage 1 | Stage 2 | Stage 3 | ||||
|---|---|---|---|---|---|---|---|
| Hot Spot and Tourist Destination | Cultural Heritages and Tourism | Hot Spot and Cultural Tourism | Daily Life and Hot Spot with Loved Ones | ||||
| Keywords | Frequency | Keywords | Frequency | Keywords | Frequency | Keywords | Frequency |
| café | 96,038 | photo | 4927 | café | 37,563 | café | 53,767 |
| photo | 79,606 | human | 4673 | photo | 31,725 | famous place | 29,929 |
| famous place | 54,285 | travel | 3304 | famous place | 20,894 | order | 22,162 |
| time | 44,234 | thought | 3179 | menu | 18,836 | menu | 21,439 |
| menu | 42,083 | culture | 2572 | order | 18,623 | coffee | 17,525 |
| order | 41,758 | Penguin Village | 2550 | friend | 14,871 | recommendation | 16,528 |
| coffee | 32,203 | café | 2289 | vibe | 14,224 | vibe | 15,644 |
| vibe | 31,971 | village | 2150 | coffee | 12,204 | visit | 15,193 |
| recommendation | 29,206 | story | 2049 | recommendation | 11,334 | feeling | 14,186 |
| feeling | 25,778 | area | 1833 | travel | 11,028 | spot | 13,719 |
| travel | 23,915 | space | 1763 | feeling | 10,209 | space | 11,321 |
| Penguin Village | 23,385 | friend | 1671 | visit | 9561 | unni | 11,066 |
| space | 20,242 | artwork | 1274 | food | 8732 | mom | 10,753 |
| food | 19,521 | alley | 1263 | bread | 7552 | dessert | 10,391 |
| unni | 18,183 | proceeding | 1212 | table | 6318 | food | 10,111 |
| mom | 17,958 | looking around | 1173 | dessert | 6148 | oppa | 9090 |
| dessert | 16,834 | Korea | 1160 | pasta | 5917 | travel | 8643 |
| bread | 16,125 | coffee | 1103 | village | 5904 | bread | 8288 |
| beverage | 14,228 | art | 1035 | beverage | 5768 | beverage | 7969 |
| looking around | 14,143 | Mr. | 1003 | meat | 5285 | table | 7053 |
| table | 13,809 | experience | 993 | menu(board) | 5108 | Penguin Village | 6901 |
| pasta | 12,878 | missionary | 941 | oppa | 4852 | pasta | 6251 |
| meat | 11,769 | church | 863 | sauce | 4772 | meat | 6181 |
| village | 11,523 | artist | 856 | eating place | 4451 | sauce | 6059 |
| sauce | 10,743 | order | 799 | cake | 3567 | pizza | 5615 |
| street | 9816 | menu | 690 | pizza | 3393 | artwork | 4725 |
| interior | 9537 | movie | 619 | sushi | 2861 | exhibition | 3736 |
| alley | 7942 | China | 528 | steak | 2349 | village | 3662 |
| tour | 6929 | (musical) performance | 179 | Testa | 2277 | artist | 3235 |
| culture | 6675 | music | 166 | experience | 2222 | soup | 2610 |
| 2013 | 2014 | 2015 | 2016 | 2017 | 2018 | 2019 | 2020 | 2021 | 2022 | |
|---|---|---|---|---|---|---|---|---|---|---|
| N of Businesses closed down (café, bakery, restaurant etc.) | 11 | 8 | 8 | 7 | 11 | 14 | 21 | 23 | 20 | 27 |
Disclaimer/Publisher’s Note: The statements, opinions and data contained in all publications are solely those of the individual author(s) and contributor(s) and not of MDPI and/or the editor(s). MDPI and/or the editor(s) disclaim responsibility for any injury to people or property resulting from any ideas, methods, instructions or products referred to in the content. |
© 2023 by the authors. Licensee MDPI, Basel, Switzerland. This article is an open access article distributed under the terms and conditions of the Creative Commons Attribution (CC BY) license (https://creativecommons.org/licenses/by/4.0/).
Share and Cite
Yun, H.Y.; Kwon, H.-a. Neighborhood Identity Formation and the Changes in an Urban Regeneration Neighborhood in Gwangju, Korea. Sustainability 2023, 15, 11792. https://doi.org/10.3390/su151511792
Yun HY, Kwon H-a. Neighborhood Identity Formation and the Changes in an Urban Regeneration Neighborhood in Gwangju, Korea. Sustainability. 2023; 15(15):11792. https://doi.org/10.3390/su151511792
Chicago/Turabian StyleYun, Hae Young, and Hyun-ah Kwon. 2023. "Neighborhood Identity Formation and the Changes in an Urban Regeneration Neighborhood in Gwangju, Korea" Sustainability 15, no. 15: 11792. https://doi.org/10.3390/su151511792
APA StyleYun, H. Y., & Kwon, H.-a. (2023). Neighborhood Identity Formation and the Changes in an Urban Regeneration Neighborhood in Gwangju, Korea. Sustainability, 15(15), 11792. https://doi.org/10.3390/su151511792

