Developing an Integration of Smart-Inverter-Based Hosting-Capacity Enhancement in Dynamic Expansion Planning of PV-Penetrated LV Distribution Networks
Abstract
1. Introduction
1.1. Background
1.2. Literature Review
1.3. Scientific Gaps and Contributions
- The importance of the power-quality issue in the LV network is much higher than in the MV distribution network.
- Major energy losses in the distribution network are related to the LV network.
- Distributed loads and resources located in the LV network are scattered at different points of the network unlike in the MV network, which is centralized.
- Renewable resources based on LV networks are developing with significant growth in response to technical, economic, and environmental benefits as well as government support.
- The widespread integration of small-scale solar resources into LV networks has created significant technical challenges for customers and distribution network planners.
- Dynamic planning of the LV distribution network under the conditions of the widespread penetration of small-scale domestic solar energy resources over a multi-year time horizon;
- Integration of the optimal loading model of the transformers in a dynamic planning problem of the expansion of the distribution network with cost minimization;
- Integrating the model of smart inverters in the dynamic planning problem of the distribution network to respond to the over-voltage challenge of customers and improve the hosting capacity for the maximum penetration of DERs.
2. Smart-Inverter-Based Hosting-Capacity Enhancement
2.1. The Concept of Hosting-Capacity Enhancement
2.2. Voltage Regulation in Active Distribution Networks
2.3. Smart Inverters as a Means to Control Reactive Power
2.4. Control Scheme of the PV Inverters
3. The Methodology
3.1. The Proposed Expansion Planning Model
3.1.1. Cost Functions
3.1.2. Operational Constraints
3.1.3. Logical Constraints
3.2. Two-Stage Reactive Power Allocation
3.2.1. Stage One ()
- The minimum voltage level of the load points is considered to be 380 V, i.e., the maximum allowable voltage drop is considered to be 5% (20 V).
- To analyze the impact of yearly penetration of PV units on the voltage level of the load points and the hosting capacity, no constraint is considered for the maximum voltage level of the load points.
- In this stage, the smart inverter has no contribution to the control of the reactive power and the voltage level of the load points and is operated with a unity power factor.
3.2.2. Stage Two ()
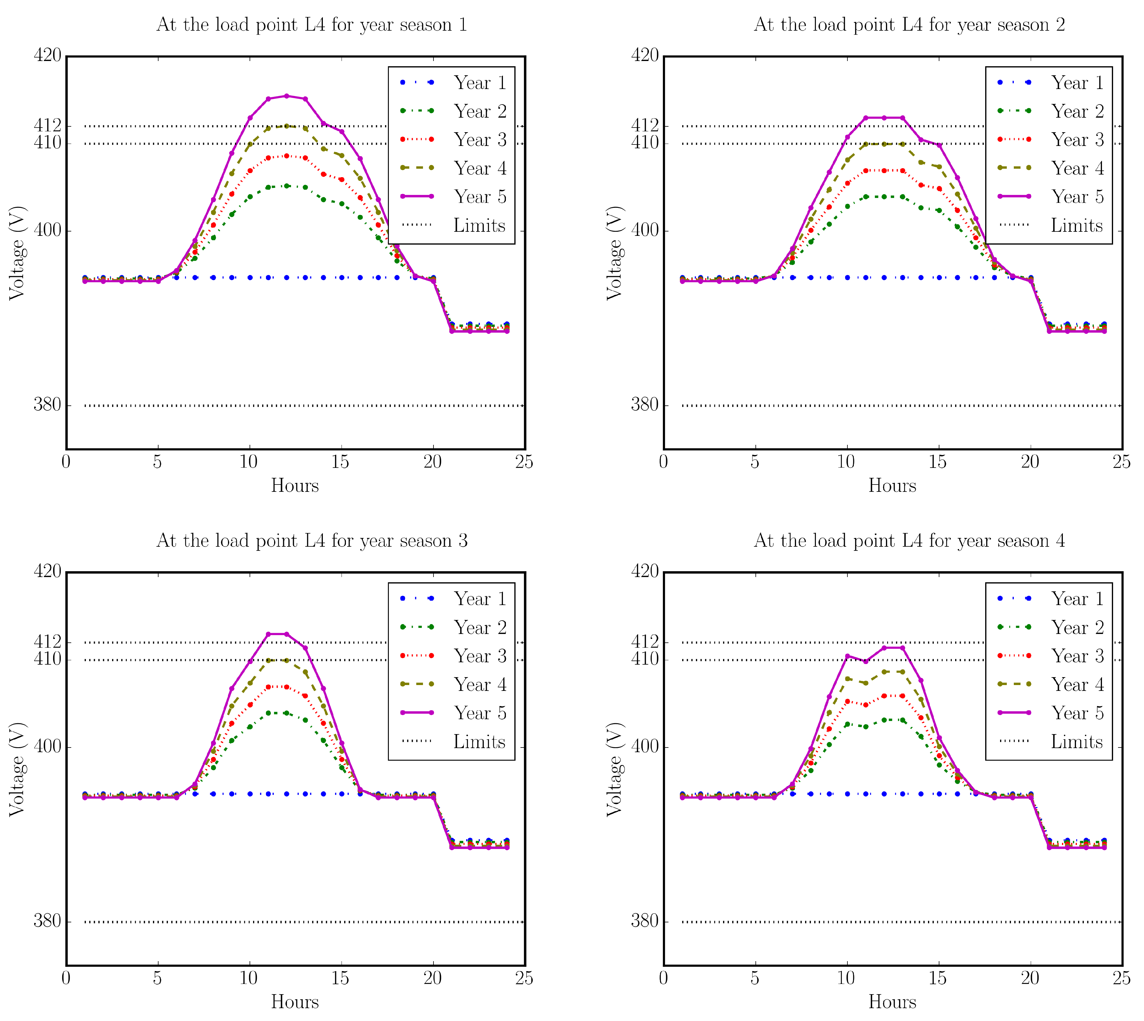
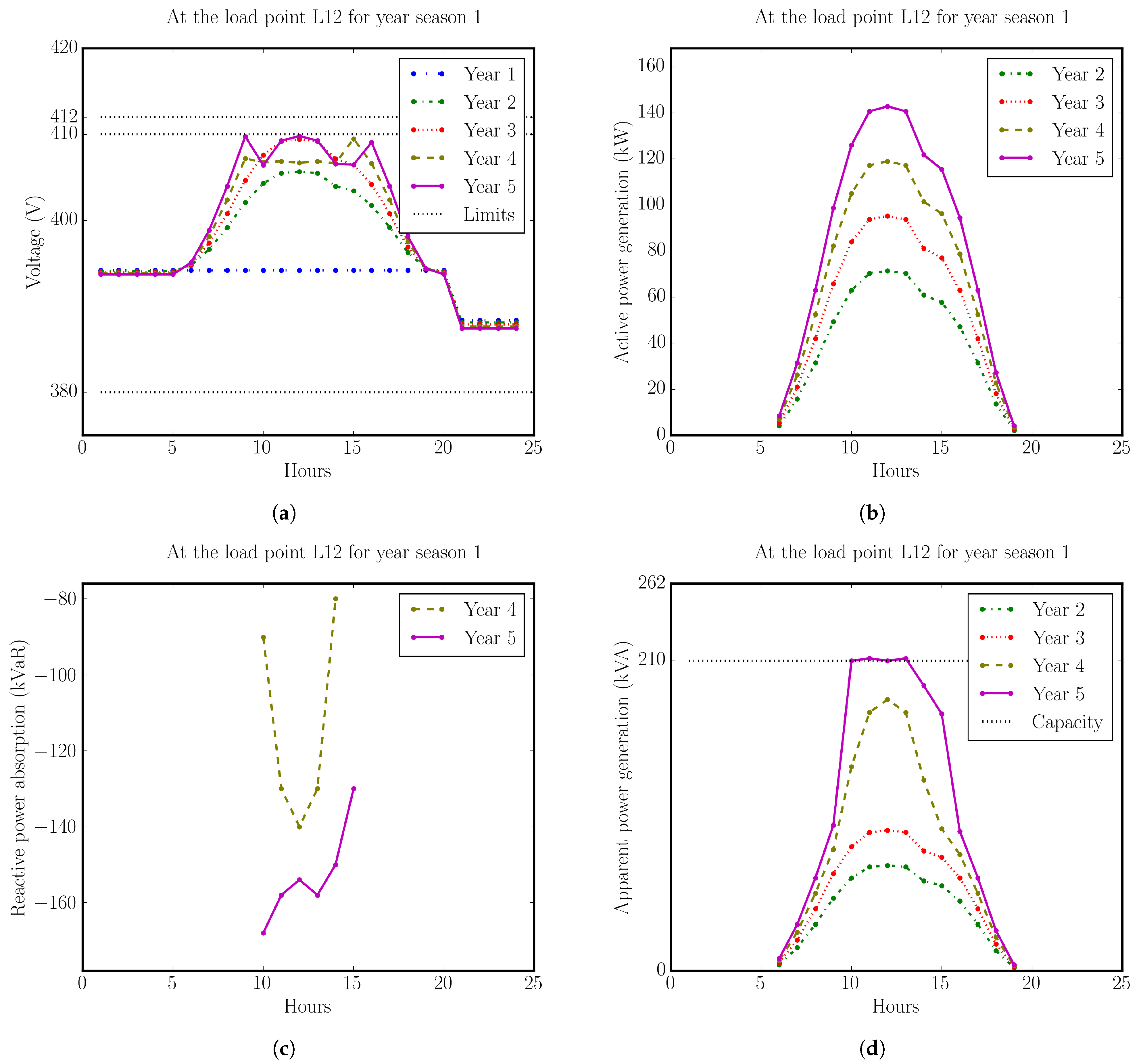
- The maximum allowable voltage increase percentage on the PCC points is considered to be (12 V). Thus, the voltage of PCC points must not be greater than 412 V. However, due to some uncertainties in load or generation, the maximum voltage is considered to be 410 V.
- For all the PCC points with a voltage higher than 410 V, the optimal reactive power is calculated using Equations (24) and (31), so that the voltage of these load points become less than 410 V for all hours, seasons and planning years. For the PCC points with a voltage level lower than 410 V, due to being less than the standard limits, the reactive power absorption is considered to be zero.
- At this stage, to control the voltage level of the load points and enhance the hosting capacity, the smart inverter will absorb the reactive power (negative value) of the PCC point with a non-unity power factor. The reactive power absorption is directly related to the nominal capacity of the smart inverter and the needs of the network.
4. Simulations and Results
4.1. Test System
4.2. Analysis on the Expansion Results
4.3. Analyzing the Most Challenging Voltage Scenarios
4.4. Analysis on the Reactive Power Allocation with Smart-Inverter-Based PVs
4.4.1. Stage One ()
4.4.2. Stage Two ()
4.5. Analysis of the Impact of Load/Generation Uncertainty on the Voltage
5. Discussion
- One of the challenges facing electricity distribution companies is what incentive policies should be implemented to encourage building owners to use smart inverters to provide additional services such as voltage control because smart inverters are more expensive than regular inverters and they have a shorter life cycle and higher losses. To solve this problem, one can seek help from discount policies in the electricity tariff delivered to customers [37]. It is also necessary to change or update the network connection requirements or the grid codes that can force building owners to provide additional services and voltage control.
- It should be noted that it is not necessary for the local electricity distribution company, as the network planner, to use smart inverters in all the load points. Case-specific studies can find the required capacity and number of smart inverters according to the penetration level of renewable energies. Overall, the optimal use of smart inverters will have more technical and economic justification.
- As stated in IEEE 1547 [38], by integration of smart inverters in the Active Distribution Networks, some compatibility issues are solved, such as improving the immunity of DERs to grid disturbances; and some new incompatibilities are raised such as generation of harmonics. Therefore, a trade-off study is required to justify the use of smart inverters. In our opinion, the benefits of smart inverters will outweigh the costs of their integration.
- According to [1], to manage the voltage of the load points outside the standard permissible range caused by the widespread penetration of small-scale solar resources, it is possible to use both capabilities of the smart inverter, including the reduction of active power, if there are limitations in the capacity of the inverter and the control (absorption or injection) of reactive power. The use of energy storage devices can also greatly help to control the voltage and increase the hosting capacity of the network. Also, strengthening the conductors of the distribution network can control the voltage and increase the hosting capacity of the network for the presence of more renewable resources.
- One drawback of the proposed model is the time of the optimization, which, for this study (on an LV network with 16 nodes), is about two hours. By increasing the size of the network, the simulation time will be increased. This shows the requirements for computers with high CPU and RAM.
- It is assumed that the smart inverters are provided by the customers and their costs are neglected in the model. A new model can be developed to incorporate the operational decision variables of the smart inverters and therefore, their costs in the optimization model.
- The major drawback of the increased penetration of DERs is their intermittent behavior, which imposes severe threats on the power system. Some of the effects are the diversity of the output power and the variation in the power produced by DERs. It should be noted that the integration of the smart inverter in the dynamic expansion planning of the distribution network alone cannot solve the problems caused by the increased penetration of renewable resources, and to improve the stability of the network, it is necessary to use smart inverters along with storage devices. This issue can be considered to be a study for the future, which can solve issues pertaining to power quality, hosting capacity, and network stability.
- As mentioned earlier, there are lots of smart technologies that need to be considered in the expansion-planning models of LV networks. In this study, the capability of the smart inverters, as a new technology, in the reactive power allocation is considered, which results in the change in the voltage of the load points and therefore hosting-capacity enhancement.
- This work can be further developed considering other types of distributed energy resources and the other strategies to enhance the hosting capacity.
- Also, other control schemes of the smart inverters for the active and reactive power-modulation capabilities can be considered in the proposed model.
6. Conclusions
- A mathematical optimization model is proposed for the dynamic planning of an active LV distribution while considering the reactive power allocation of the smart inverters.
- Using the reactive power absorption capability of smart inverters, and without a decrease in active power generation, issues related to voltage violation can be relieved, which results in hosting-capacity enhancement.
- Despite no changes in expansion results, the presence of PVs influences operation costs, specifically the reduction in loss costs.
- The uncertainty in the load/generation of the network has a negligible impact on the voltage level of load points.
Author Contributions
Funding
Institutional Review Board Statement
Informed Consent Statement
Data Availability Statement
Conflicts of Interest
Abbreviations and Nomenclature
Abbreviations
| ADN | Active Distribution Network |
| CRU | Component placement, reinforcement, and upgrade |
| DER | Distributed Energy Resource |
| DISCO | Distribution company |
| DT | Distribution transformer |
| LV | Low voltage |
| MG | Microgrid |
| MILP | Mixed-integer linear programming problem |
| MINLP | Mixed-integer nonlinear programming |
| MV | Medium voltage |
| PCC | Points of common coupling |
Nomenclature
| Indices | |
| y | Planning years |
| t | Candidate transformer locations |
| n | Typical transformer sizes |
| l | Load points |
| h | Hours |
| i | Off-peak hours |
| j | Peak hours |
| p | Patterns of load profiles or solar irradiation |
| Superscripts | |
| Absorption | |
| Copper | |
| Electricity | |
| Inflation rate | |
| Interest rate | |
| Investment | |
| Iron | |
| Transformer | |
| Low-voltage feeder | |
| Maximum | |
| Operation | |
| Peak and off-peak hours | |
| Pollution gas production | |
| Pollution | |
| Peak reduction | |
| Production | |
| Total | |
| Off-peak hours | |
| Optimal | |
| Peak hours | |
| Parameters | |
| Inflation rate | |
| Interest rate | |
| Yearly loss factor | |
| Net present value factor | |
| Maximum allowable voltage drop/increase (%) | |
| Price ($ per km, kVA, kWh, or kg) | |
| D | Distance from the distribution transformer to the load point (km) |
| E | The amount of pollution gas production (kg/kWh) |
| N | Number |
| Number of days with pattern p | |
| Power factor | |
| Minimum loading of transformer | |
| Maximum loading of transformer | |
| A | Binary value indicating non-zero load |
| Copper loss of the transformer (kW) | |
| Iron loss of the transformer (kW) | |
| R | Resistance of LV line (/km) |
| Apparent load of a load point | |
| V | Nominal voltage of LV feeder (kV) |
| Alternative sizes of a distribution transformer (kVA) | |
| Coefficients of the transformer loading | |
| Constant coefficients for optimal transformer loading | |
| Binary Variables | |
| u | Decision variable for selection of size for the transformer |
| r | Decision variable for utilization of a line |
| z | Decision variable for investment of a line |
| Continuous Variables | |
| C | Cost |
| Apparent power dispatched from distribution transformer t duringHour h at Year y | |
| Size of transformer t at Year y (kVA) | |
| Active and reactive power (kW, kVaR) |
References
- Wankhede, S.K.; Paliwal, P.; Kirar, M.K. Increasing Penetration of DERs in Smart Grid Framework: A State-of-the-Art Review on Challenges, Mitigation Techniques and Role of Smart Inverters. J. Circuits, Syst. Comput. 2020, 29, 2030014. [Google Scholar] [CrossRef]
- Ghiani, E.; Pilo, F. Smart inverter operation in distribution networks with high penetration of photovoltaic systems. J. Mod. Power Syst. Clean Energy 2015, 3, 504–511. [Google Scholar] [CrossRef]
- Ghiani, E.; Di Gregorio, R. Intelligent Low Voltage Regulator for Solving PV Overvoltages Problems in Power Distribution Systems. In Proceedings of the 2022 20th International Conference on Harmonics & Quality of Power (ICHQP), Naples, Italy, 29 May–1 June 2022; pp. 1–6. [Google Scholar] [CrossRef]
- Feng, C.; Liu, W.; Wen, F.; Li, Z.; Shahidehpour, M.; Shen, X. Expansion planning for active distribution networks considering deployment of smart management technologies. IET Gener. Transm. Distrib. 2018, 12, 4605–4614. [Google Scholar] [CrossRef]
- Zhou, Y.; Cao, S.; Hensen, J.L.; Lund, P.D. Energy integration and interaction between buildings and vehicles: A state-of-the-art review. Renew. Sustain. Energy Rev. 2019, 114, 109337. [Google Scholar] [CrossRef]
- Pradeep Reddy, G.; Pavan Kumar, Y. Internet of Things Based Communication Architecture for Switchport Security and Energy Management in Interoperable Smart Microgrids. Arab. J. Sci. Eng. 2023, 48, 5809–5827. [Google Scholar] [CrossRef]
- Chen, B.; Wang, J.; Lu, X.; Chen, C.; Zhao, S. Networked Microgrids for Grid Resilience, Robustness, and Efficiency: A Review. IEEE Trans. Smart Grid 2021, 12, 18–32. [Google Scholar] [CrossRef]
- Zhou, Y.; Cao, S. Energy flexibility investigation of advanced grid-responsive energy control strategies with the static battery and electric vehicles: A case study of a high-rise office building in Hong Kong. Energy Convers. Manag. 2019, 199, 111888. [Google Scholar] [CrossRef]
- Zhou, Y.; Cao, S.; Hensen, J.L. An energy paradigm transition framework from negative towards positive district energy sharing networks—Battery cycling aging, advanced battery management strategies, flexible vehicles-to-buildings interactions, uncertainty and sensitivity analysis. Appl. Energy 2021, 288, 116606. [Google Scholar] [CrossRef]
- AlKaabi, S.S.; Khadkikar, V.; Zeineldin, H.H. Incorporating PV Inverter Control Schemes for Planning Active Distribution Networks. IEEE Trans. Sustain. Energy 2015, 6, 1224–1233. [Google Scholar] [CrossRef]
- Mahmoud, K.; Lehtonen, M. Three-level control strategy for minimizing voltage deviation and flicker in PV-rich distribution systems. Int. J. Electr. Power Energy Syst. 2020, 120, 105997. [Google Scholar] [CrossRef]
- Vijayan, V.; Mohapatra, A.; Singh, S. Demand Response with Volt/Var Optimization for unbalanced active distribution systems. Appl. Energy 2021, 300, 117361. [Google Scholar] [CrossRef]
- Lee, Y.D.; Lin, W.C.; Jiang, J.L.; Cai, J.H.; Huang, W.T.; Yao, K.C. Optimal Individual Phase Voltage Regulation Strategies in Active Distribution Networks with High PV Penetration Using the Sparrow Search Algorithm. Energies 2021, 14, 8370. [Google Scholar] [CrossRef]
- Dutta, A.; Ganguly, S.; Kumar, C. MPC-Based Coordinated Voltage Control in Active Distribution Networks Incorporating CVR and DR. IEEE Trans. Ind. Appl. 2022, 58, 4309–4318. [Google Scholar] [CrossRef]
- Sun, X.; Qiu, J.; Tao, Y.; Ma, Y.; Zhao, J. A Multi-Mode Data-Driven Volt/Var Control Strategy With Conservation Voltage Reduction in Active Distribution Networks. IEEE Trans. Sustain. Energy 2022, 13, 1073–1085. [Google Scholar] [CrossRef]
- Wang, R.; Li, P.; Yu, H.; Ji, H.; Xi, W.; Wang, C. Identification of critical uncertain factors of distribution networks with high penetration of photovoltaics and electric vehicles. Appl. Energy 2023, 329, 120260. [Google Scholar] [CrossRef]
- Hassan, S.J.U.; Gush, T.; Kim, C.H. Maximum Hosting Capacity Assessment of Distribution Systems with Multitype DERs Using Analytical OPF Method. IEEE Access 2022, 10, 100665–100674. [Google Scholar] [CrossRef]
- Rajabi, A.; Elphick, S.; David, J.; Pors, A.; Robinson, D. Innovative approaches for assessing and enhancing the hosting capacity of PV-rich distribution networks: An Australian perspective. Renew. Sustain. Energy Rev. 2022, 161, 112365. [Google Scholar] [CrossRef]
- Kazmi, S.A.A.; Shahzad, M.K.; Shin, D.R. Multi-Objective Planning Techniques in Distribution Networks: A Composite Review. Energies 2017, 10, 208. [Google Scholar] [CrossRef]
- Ghiani, E.; Pisano, G. Chapter 2—Impact of Renewable Energy Sources and Energy Storage Technologies on the Operation and Planning of Smart Distribution Networks. In Operation of Distributed Energy Resources in Smart Distribution Networks; Zare, K., Nojavan, S., Eds.; Academic Press: Cambridge, MA, USA, 2018; pp. 25–48. [Google Scholar] [CrossRef]
- Chihota, M.J.; Bekker, B. New Planning Principles for Distribution Networks with Penetration of Distributed Energy Resources. In Proceedings of the 2020 6th IEEE International Energy Conference (ENERGYCon), Gammarth, Tunisia, 28 September–1 October 2020; pp. 643–648. [Google Scholar] [CrossRef]
- Ali Dashtaki, A.; Mehdi Hakimi, S.; Hasankhani, A.; Derakhshani, G.; Abdi, B. Optimal management algorithm of microgrid connected to the distribution network considering renewable energy system uncertainties. Int. J. Electr. Power Energy Syst. 2023, 145, 108633. [Google Scholar] [CrossRef]
- Esmaeeli, M.; Kazemi, A.; Shayanfar, H.A.; Haghifam, M.R. Sizing and placement of distribution substations considering optimal loading of transformers. Int. Trans. Electr. Energy Syst. 2015, 25, 2897–2908. [Google Scholar] [CrossRef]
- Karagiannopoulos, S.; Aristidou, P.; Hug, G. Co-optimisation of planning and operation for active distribution grids. In Proceedings of the IEEE Manchester PowerTech, Manchester, UK, 18–22 June 2016; pp. 1–6. [Google Scholar] [CrossRef]
- Gholizadeh-Roshanagh, R.; Najafi-Ravadanegh, S.; Hosseinian, S.H. On Optimal Cost Planning of Low Voltage Direct Current Power Distribution Networks. Electr. Power Components Syst. 2018, 46, 1019–1028. [Google Scholar] [CrossRef]
- Sangob, S.; Sirisumrannukul, S. Optimal Sequential Distribution Planning for Low-Voltage Network with Electric Vehicle Loads. Front. Energy Res. 2021, 9, 1–22. [Google Scholar] [CrossRef]
- Wruk, J.; Cibis, K.; Resch, M.; Sæle, H.; Zdrallek, M. Optimized Strategic Planning of Future Norwegian Low-Voltage Networks with a Genetic Algorithm Applying Empirical Electric Vehicle Charging Data. Electricity 2021, 2, 91–109. [Google Scholar] [CrossRef]
- Valencia, A.; Hincapie, R.A.; Gallego, R.A. Optimal location, selection, and operation of battery energy storage systems and renewable distributed generation in medium–low voltage distribution networks. J. Energy Storage 2021, 34, 102158. [Google Scholar] [CrossRef]
- Vincent Palaguachi, D.E.; Vasquez Miranda, P.F. Optimal Distribution Transformer Placement by Exploiting Graph Theory and Clustering Techniques. IEEE Lat. Am. Trans. 2022, 20, 2096–2105. [Google Scholar] [CrossRef]
- Valencia D., A.; Hincapie I., R.A.; Gallego, R.R.A. Expansion planning of joint medium- and low-voltage three-phase distribution networks considering the optimal integration of distributed energy resources. Energy Rep. 2023, 9, 1183–1200. [Google Scholar] [CrossRef]
- Fawzy, T.; Premm, D.; Bletterie, B.; Gorsek, A. Active contribution of PV inverters to voltage control – from a smart grid vision to full-scale implementation. E I Elektrotechnik Und Informationstechnik 2011, 128, 110–115. [Google Scholar] [CrossRef]
- Nour, A.M.; Hatata, A.Y.; Helal, A.A.; El-Saadawi, M.M. Review on voltage-violation mitigation techniques of distribution networks with distributed rooftop PV systems. IET Gener. Transm. Distrib. 2020, 14, 349–361. [Google Scholar] [CrossRef]
- IEC 60076-7; Power Transformers-Part 7, Loading Guide for Oil-immersed Power Transformers (Revision of IEC 60354-1991). International Electrotechnical Commission: Geneva, Switzerland, 2005.
- IEEE Std C57.91-2011 (Revision of IEEE Std C57.91-1995); IEEE Guide for Loading Mineral-Oil-Immersed Transformers and Step-Voltage Regulators. IEEE: New York, NY, USA, 2012; pp. 1–123. [CrossRef]
- Ustun, T.S.; Aoto, Y. Analysis of Smart Inverter’s Impact on the Distribution Network Operation. IEEE Access 2019, 7, 9790–9804. [Google Scholar] [CrossRef]
- Pazouki, S.; Haghifam, M.R. Effect of distributed energy resources on load and loss factors of energy distribution networks. In Proceedings of the 2015 20th Conference on Electrical Power Distribution Networks Conference (EPDC), Zahedan, Iran, 28–29 April 2015; pp. 107–112. [Google Scholar] [CrossRef]
- Dewangan, C.L.; Chakrabarti, S.; Singh, S.N.; Sharma, M. A Fair Incentive Scheme for Participation of Smart Inverters in Voltage Control. IEEE Trans. Ind. Informatics 2022, 18, 656–665. [Google Scholar] [CrossRef]
- IEEE PES Industry Technical Support Leadership Committee. Impact of IEEE 1547 Standard on Smart Inverters and the Applications in Power Systems; Technical Report; IEEE: New York, NY, USA, 2020. [Google Scholar]












| Ref. | Year | Ins. | O&M | Loss | Pollution | Network | Period | OF | DDG | WDG | SDG | SI | Algorithm |
|---|---|---|---|---|---|---|---|---|---|---|---|---|---|
| [23] | 2015 | √ | √ | √ | LV | Static | SO | MINLP | |||||
| [24] | 2017 | √ | √ | LV | Static | SO | √ | MILP | |||||
| [25] | 2018 | √ | √ | √ | LV | Static | SO | √ | √ | √ | ICA | ||
| [26] | 2021 | √ | √ | √ | LV | Dynamic | SO | PSO/MCS | |||||
| [27] | 2021 | √ | LV | Static | SO | GA | |||||||
| [28] | 2021 | √ | √ | √ | LV-MV | Static | SO | √ | MINLP | ||||
| [29] | 2022 | √ | √ | √ | LV | Static | SO | CT/GT | |||||
| [30] | 2023 | √ | √ | √ | LV-MV | Static | SO | √ | √ | ILS | |||
| Proposed | 2023 | √ | √ | √ | √ | LV | Dynamic | SO | √ | √ | MINLP |
| Node | LL1 * | LL2 * | Node | LL1 | LL2 |
|---|---|---|---|---|---|
| L1 | 80 | 40 | L9 | 70 | 35 |
| L2 | 40 | 20 | L10 | 70 | 35 |
| L3 | 80 | 40 | L11 | 80 | 40 |
| L4 | 80 | 40 | L12 | 70 | 35 |
| L5 | 40 | 20 | L13 | 80 | 40 |
| L6 | 60 | 30 | L14 | 60 | 30 |
| L7 | 68 | 34 | L15 | 80 | 40 |
| L8 | 80 | 40 | L16 | 70 | 35 |
| Types | Capacity | Cost ($) | Iron Loss | Copper Loss |
|---|---|---|---|---|
| (kVA) | (kW) | (kW) | ||
| Type1 | 250 | 32,000 | 0.53 | 3.25 |
| Type2 | 315 | 40,000 | 0.72 | 5.4 |
| Type3 | 500 | 64,000 | 1 | 7.8 |
| PV Names | Location | Years | ||||
|---|---|---|---|---|---|---|
| 1 | 2 | 3 | 4 | 5 | ||
| PV1 | L2 | 0 | 60 | 80 | 100 | 120 |
| PV2 | L4 | 0 | 120 | 160 | 200 | 240 |
| PV3 | L8 | 0 | 120 | 160 | 200 | 240 |
| PV4 | L12 | 0 | 105 | 140 | 175 | 210 |
| Item | Value |
|---|---|
| Installation cost of LV lines ($ per km) | 6000 |
| Interest and inflation rates | 0.18 and 0.15 |
| Cost of energy loss ($ per kWh) | 0.2 |
| Cost of power saving ($ per kW) | 168 |
| Resistance and reactance of LV lines (ohm per km) | 0.26 + j 0.074 |
| Voltage rating of LV distribution network (kV) | 0.4 |
| Max and min transformer loading | 0.8, 0.1 |
| Coefficient a of IEC curve | 1.2135 |
| Coefficient b of IEC curve | 0.0902 |
| Coefficient c of IEC curve | 0.8102 |
| Production of gas pollution (kg per kWh) | 0.05 |
| Cost of pollution ($ per kg) | 0.01 |
| Cost of electricity ($ per kWh) | 0.2 |
| Power factor () | 0.9 |
| Loss factors over the 5 years | 0.4, 0.3, 0.29, 0.27, 0.26 |
| Variables | 10,163 | Continuous | 9608 |
|---|---|---|---|
| Binary | 555 | ||
| Equations | 10,959 | Linear | 10,149 |
| Nonconvex nonlinear | 810 | ||
| Nonlinear terms | 640 | Bilinear/Quadratic | 480 |
| Logarithmic | 160 |
| DT Location | Years | ||||
|---|---|---|---|---|---|
| 1 | 2 | 3 | 4 | 5 | |
| T1 | - | - | - | - | - |
| T2 | 250 kVA | - | - | 315 kVA | - |
| T3 | 315 kVA | - | - | - | - |
| T4 | - | - | - | - | - |
| T5 | - | - | - | - | - |
| T6 | - | - | - | - | - |
| T7 | 315 kVA | 500 kVA | - | - | - |
| T8 | - | - | - | - | - |
| Costs ($) | Years | Total | ||||
|---|---|---|---|---|---|---|
| 1 | 2 | 3 | 4 | 5 | NPV * | |
| Transformer installation | 112,000 | 24,000 | 0 | 8000 | 0 | 142,795.0 |
| LV feeder installation | 18,000 | 900 | 1200 | 1800 | 1200 | 22,765.6 |
| Loss of LV feeder | 18,903.4 | 16,826.8 | 17,906.9 | 19,885.4 | 21,815.9 | 88,099.6 |
| Iron loss of transformer | 3782.4 | 4320.0 | 4320.0 | 4684.8 | 4684.8 | 20,133.2 |
| CU loss of transformer | 16,406.9 | 16,840.2 | 18,181.6 | 20,852.4 | 21,649.3 | 86,659.4 |
| Pollution | 3180.4 | 3274.2 | 3491.0 | 3766.3 | 3915.1 | 16,280.6 |
| Production | 1,272,153.6 | 1,309,683.5 | 1,396,386.9 | 1,506,520.1 | 1,566,058.1 | 6,512,224.4 |
| total cost | 1,411,009.1 | 1,307,392.8 | 1,334,342.9 | 1,412,504.4 | 1,423,708.6 | 6,888,957.9 |
| Years | |||||
|---|---|---|---|---|---|
| 1 | 2 | 3 | 4 | 5 | |
| Without PVs | 18,903.4 | 21,077.1 | 23,005.8 | 26,932.8 | 30,408.0 |
| With PVs | 18,903.4 | 16,826.8 | 17,906.9 | 19,885.4 | 21,815.9 |
| Years | |||||
|---|---|---|---|---|---|
| 1 | 2 | 3 | 4 | 5 | |
| Consumption (kWh) | 7,067,520 | 7,276,019.4 | 7,757,704.8 | 8,369,556.3 | 8,700,322.9 |
| Generation (kWh) | 0 | 637,875 | 850,500 | 1,063,125 | 1,275,750 |
| Share of generation (%) | 0 | 8.8 | 11 | 12.7 | 14.7 |
| Growth Factor | |||
|---|---|---|---|
| 1.00 | 1.05 | 1.10 | |
| Sensitivity to increase in the generation | |||
| Generation (kW) | 142.8 | 149.9 | 157.0 |
| Voltage of PCC (V) | 409.8 | 410.7 | 411.7 |
| Sensitivity to decrease in the load | |||
| Load (kW) | 31.5 | 30.0 | 28.3 |
| Voltage of PCC (V) | 409.8 | 409.9 | 410.0 |
Disclaimer/Publisher’s Note: The statements, opinions and data contained in all publications are solely those of the individual author(s) and contributor(s) and not of MDPI and/or the editor(s). MDPI and/or the editor(s) disclaim responsibility for any injury to people or property resulting from any ideas, methods, instructions or products referred to in the content. |
© 2023 by the authors. Licensee MDPI, Basel, Switzerland. This article is an open access article distributed under the terms and conditions of the Creative Commons Attribution (CC BY) license (https://creativecommons.org/licenses/by/4.0/).
Share and Cite
Hamedi, M.; Shayeghi, H.; Seyedshenava, S.; Safari, A.; Younesi, A.; Bizon, N.; Iana, V.-G. Developing an Integration of Smart-Inverter-Based Hosting-Capacity Enhancement in Dynamic Expansion Planning of PV-Penetrated LV Distribution Networks. Sustainability 2023, 15, 11183. https://doi.org/10.3390/su151411183
Hamedi M, Shayeghi H, Seyedshenava S, Safari A, Younesi A, Bizon N, Iana V-G. Developing an Integration of Smart-Inverter-Based Hosting-Capacity Enhancement in Dynamic Expansion Planning of PV-Penetrated LV Distribution Networks. Sustainability. 2023; 15(14):11183. https://doi.org/10.3390/su151411183
Chicago/Turabian StyleHamedi, Masoud, Hossein Shayeghi, Seyedjalal Seyedshenava, Amin Safari, Abdollah Younesi, Nicu Bizon, and Vasile-Gabriel Iana. 2023. "Developing an Integration of Smart-Inverter-Based Hosting-Capacity Enhancement in Dynamic Expansion Planning of PV-Penetrated LV Distribution Networks" Sustainability 15, no. 14: 11183. https://doi.org/10.3390/su151411183
APA StyleHamedi, M., Shayeghi, H., Seyedshenava, S., Safari, A., Younesi, A., Bizon, N., & Iana, V.-G. (2023). Developing an Integration of Smart-Inverter-Based Hosting-Capacity Enhancement in Dynamic Expansion Planning of PV-Penetrated LV Distribution Networks. Sustainability, 15(14), 11183. https://doi.org/10.3390/su151411183

