An Overview of Sandbox Experiment on Ground Heat Exchangers
Abstract
1. Introduction
2. Borehole Sandbox Experiment
2.1. Single Borehole Experiment
2.2. Borehole Group Experiment
2.3. Seepage Experiment
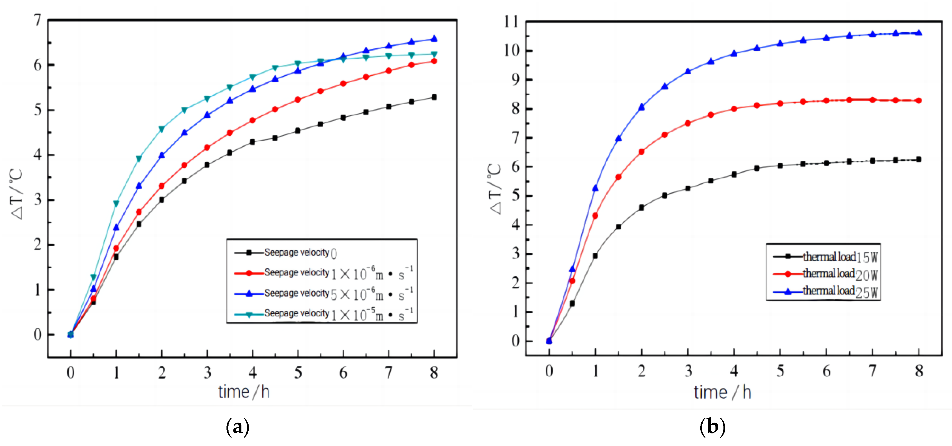
2.3.1. Sandbox Experiments with Vertical Seepage
2.3.2. Sandbox Experiments with Horizontal Seepage
2.4. Multi-Layer Soil Experiment
2.5. Summary
3. Energy-Pile Sandbox Experiment
3.1. Mechanical Performance Testing of Energy Piles
3.2. Thermal Performance Testing of Energy Piles
3.3. Thermal-Mechanical Coupled Performance Testing of Energy Piles
3.4. Summary
4. Summary and Outlook
4.1. Summary
- (1)
- Briefly, the borehole sandbox experiments can be categorized into single-tube and tube group experiments, with a significant focus on single-tube experiments, particularly those without seepage. Single-tube experiments are straightforward and primarily investigate the impact of heat exchange tube form, circulating water temperature, and flow rate on the borehole’s heat transfer capacity and the distribution of soil temperature. Tube group experiments, on the other hand, typically utilize heating wires or metal tubes with circulating water as heat exchange elements. The use of electric heating wires allows for the emulation of heating and cooling conditions with constant powers, resulting in simple experimental devices and operations. Metal tubes with internal circulating water can replicate the actual internal heat transfer conditions of boreholes, thereby reflecting the influence of circulating water temperature and flow rate on the heat transfer within the borehole group. However, the necessity for a water-circulating system introduces a relatively complex experimental setup. Tube group experiments aim to study the soil temperature distribution around the tube group under constant heat flow and seepage conditions, as well as the impact of heat disturbance from the tube group with known circulating water temperature on the soil temperature field of the tube group without seepage;
- (2)
- Seepage experiments and layered soil experiments are conducted to study the heat transfer effect of boreholes in actual complex environments. Seepage experiments are mainly categorized into vertical seepage and horizontal seepage. In the vertical seepage test, the flow of water in the soil occurs naturally due to gravity, making it a relatively straightforward setup. The horizontal seepage test creates seepage pressure by utilizing a height difference between high and low water tanks. These seepage experiments mainly focus on examining the impact of seepage velocity on the heat transfer of a single tube, the thermal disturbance within the tube group, and the distribution of soil temperature. Those layered soil experiments study the influence of the thermal conductivity of geotechnical materials in different layers on the overall heat transfer;
- (3)
- Energy piles are building pile foundations embedded with heat exchange tubes, of which mechanical performance, thermal performance, and thermal-mechanical coupled performance are the three main research directions. In addition, most of the studies did not consider the seepage factor. Related studies are mainly concerned with sedimentation due to load and thermal cycle. The effect of the heat medium in the tube, the structure of the pile body, and the operating parameters are also discussed to investigate the heat transfer rate and temperature distribution of energy piles under different operation conditions.
4.2. Existing Problems
- (1)
- Establishing similarity experiments for practical projects is difficult due to the long depth and small diameter of vertical boreholes. As a result, the experimental data may not accurately depict the heat transfer characteristics of ground heat exchangers (GHEs) in real-world applications;
- (2)
- The measurement accuracy of sandbox experiments is limited. The small size of the sandboxes used in model experiments restricts the heat duty of GHEs and hampers accurate temperature measurements. Consequently, the temperature changes and heat duty obtained from sandbox experiments may not be directly applicable to practical projects;
- (3)
- Controlling the boundary conditions in a sandbox experiment is challenging. Adiabatic boundaries are typically achieved by covering the outer surface of the sandbox with thermal insulation materials, while isothermal boundaries are realized using constant temperature water baths or controlled indoor air temperatures. However, these methods have limitations in precisely maintaining idealized adiabatic and isothermal boundaries;
- (4)
- Soil thermophysical property tests suffer from low accuracy. The sampling process can introduce unavoidable errors as soil thermophysical properties are influenced by soil compactness.
4.3. Perspectives
- (1)
- Complex environmental conditions, such as three-dimensional seepage and multi-layered soil, pose challenges to current seepage experiments. Most current seepage experiments investigate the horizontal seepage process, while there is a lack of seepage experiments for shallow boreholes, including both horizontal seepage and vertical seepage caused by rainfall. Current layered soil experiments are mainly performed with two to three layers of soil, while the multi-layered soil and inclined-layered soil experiments in practical projects have not been considered;
- (2)
- Novel composite energy geostructures: Emerging energy geostructures, such as energy piles, energy walls, and energy tunnels, incorporate heat exchange tubes within building infrastructures, offering the advantage of reducing initial investment costs and occupying less space compared to traditional vertical boreholes. While some types of energy geostructures have been widely adopted globally, current research primarily focuses on vertical boreholes, with a limited investigation into energy geostructures and composite energy geostructures combined with boreholes. Future studies should aim to bridge this research gap and explore the potential of these innovative composite energy geostructures;
- (3)
- The integration of new materials and new technologies presents opportunities for further enhancing the performance of energy geostructures. For example, the use of nanofluids can enhance heat transfer within the heat exchange tubes, while incorporating phase change materials between the heat exchange tube and the soil can mitigate soil temperature variations and improve heat exchange efficiency. To ensure the practical application of these new materials and technologies, relevant sandbox experiments focusing on nanofluids and phase change materials are necessary to verify the feasibility and characterize the performance. These experiments will provide valuable insights into the potential benefits and challenges associated with these advancements.
Author Contributions
Funding
Data Availability Statement
Conflicts of Interest
References
- Pomianowski, M.; Johra, H.; Marszal-Pomianowska, A.; Zhang, C. Sustainable and energy-efficient domestic hot water systems: A review. Renew. Sustain. Energy Rev. 2020, 128, 109900. [Google Scholar] [CrossRef]
- Wu, W.; Skye, H.M. Residential net-zero energy buildings: Review and perspective. Renew. Sustain. Energy Rev. 2021, 142, 110859. [Google Scholar] [CrossRef]
- Amasyali, K.; El-Gohary, N.M. A review of data-driven building energy consumption prediction studies. Renew. Sustain. Energy Rev. 2018, 81, 1192–1205. [Google Scholar] [CrossRef]
- Soltani, M.; Kashkooli, F.M.; Dehghani-Sanij, A.; Kazemi, A.; Bordbar, N.; Farshchi, M.; Elmi, M.; Gharali, K.; Dusseault, M.B. A comprehensive study of geothermal heating and cooling systems. Sustain. Cities Soc. 2019, 44, 793–818. [Google Scholar] [CrossRef]
- Li, B.; Hu, P.; Zhu, N.; Lei, F.; Xing, L. Performance analysis and optimization of a CCHP-GSHP coupling system based on quantum genetic algorithm. Sustain. Cities Soc. 2019, 46, 101408. [Google Scholar] [CrossRef]
- Yang, W.; Ju, L.; Zhang, L.; Wang, F. Experimental investigations of the thermo-mechanical behaviour of an energy pile with groundwater seepage. Sustain. Cities Soc. 2022, 77, 103588. [Google Scholar] [CrossRef]
- Mui, K.; Tsang, T.W.; Wong, L. Bayesian updates for indoor thermal comfort models. J. Build. Eng. 2020, 29, 101117. [Google Scholar] [CrossRef]
- Cao, X.; Dai, X.; Liu, J. Building energy-consumption status worldwide and the state-of-the-art technologies for zero-energy buildings during the past decade. Energy Build. 2016, 128, 198–213. [Google Scholar] [CrossRef]
- Yang, L.; Yan, H.; Lam, J.C. Thermal comfort and building energy consumption implications–a review. Appl. Energy 2014, 115, 164–173. [Google Scholar] [CrossRef]
- Kwong, Q.J.; Adam, N.M.; Sahari, B. Thermal comfort assessment and potential for energy efficiency enhancement in modern tropical buildings: A review. Energy Build. 2014, 68, 547–557. [Google Scholar] [CrossRef]
- Spitler, J.D.; Gehlin, S.E. Thermal response testing for ground source heat pump systems—An historical review. Renew. Sustain. Energy Rev. 2015, 50, 1125–1137. [Google Scholar] [CrossRef]
- Self, S.J.; Reddy, B.V.; Rosen, M.A. Geothermal heat pump systems: Status review and comparison with other heating options. Appl. Energy 2013, 101, 341–348. [Google Scholar] [CrossRef]
- Liang, B.; Chen, M.; Orooji, Y. Effective parameters on the performance of ground heat exchangers: A review of latest advances. Geothermics 2022, 98, 102283. [Google Scholar] [CrossRef]
- Menegazzo, D.; Lombardo, G.; Bobbo, S.; De Carli, M.; Fedele, L. State of the art, perspective and obstacles of ground-source heat pump technology in the European building sector: A review. Energies 2022, 15, 2685. [Google Scholar] [CrossRef]
- Karytsas, S.; Choropanitis, I. Barriers against and actions towards renewable energy technologies diffusion: A Principal Component Analysis for residential ground source heat pump (GSHP) systems. Renew. Sustain. Energy Rev. 2017, 78, 252–271. [Google Scholar] [CrossRef]
- Omer, A.M. Ground-source heat pumps systems and applications. Renew. Sustain. Energy Rev. 2008, 12, 344–371. [Google Scholar] [CrossRef]
- Sanner, B.; Karytsas, C.; Mendrinos, D.; Rybach, L. Current status of ground source heat pumps and underground thermal energy storage in Europe. Geothermics 2003, 32, 579–588. [Google Scholar] [CrossRef]
- Fang, L.; Diao, N.; Shao, Z.; Zhu, K.; Fang, Z. A computationally efficient numerical model for heat transfer simulation of deep borehole heat exchangers. Energy Build. 2018, 167, 79–88. [Google Scholar] [CrossRef]
- You, T.; Wu, W.; Yang, H.; Liu, J.; Li, X. Hybrid photovoltaic/thermal and ground source heat pump: Review and perspective. Renew. Sustain. Energy Rev. 2021, 151, 111569. [Google Scholar] [CrossRef]
- Cui, Y.; Zhu, J.; Twaha, S.; Chu, J.; Bai, H.; Huang, K.; Chen, X.; Zoras, S.; Soleimani, Z. Techno-economic assessment of the horizontal geothermal heat pump systems: A comprehensive review. Energy Convers. Manag. 2019, 191, 208–236. [Google Scholar] [CrossRef]
- Sarbu, I.; Sebarchievici, C. General review of ground-source heat pump systems for heating and cooling of buildings. Energy Build. 2014, 70, 441–454. [Google Scholar] [CrossRef]
- Luo, J.; Rohn, J.; Xiang, W.; Bertermann, D.; Blum, P. A review of ground investigations for ground source heat pump (GSHP) systems. Energy Build. 2016, 117, 160–175. [Google Scholar] [CrossRef]
- Gaur, A.S.; Fitiwi, D.Z.; Curtis, J. Heat pumps and our low-carbon future: A comprehensive review. Energy Res. Soc. Sci. 2021, 71, 101764. [Google Scholar] [CrossRef]
- Boban, L.; Miše, D.; Herceg, S.; Soldo, V. Application and design aspects of ground heat exchangers. Energies 2021, 14, 2134. [Google Scholar] [CrossRef]
- Estrada, E.; Labat, M.; Lorente, S.; Rocha, L.A. The impact of latent heat exchanges on the design of earth air heat exchangers. Appl. Therm. Eng. 2018, 129, 306–317. [Google Scholar] [CrossRef]
- Aresti, L.; Christodoulides, P.; Florides, G. A review of the design aspects of ground heat exchangers. Renew. Sustain. Energy Rev. 2018, 92, 757–773. [Google Scholar] [CrossRef]
- Yuan, Y.; Cao, X.; Sun, L.; Lei, B.; Yu, N. Ground source heat pump system: A review of simulation in China. Renew. Sustain. Energy Rev. 2012, 16, 6814–6822. [Google Scholar] [CrossRef]
- Yuan, Y.; Lei, B.; Yu, N.; Cao, X. Heat transfer of ground heat exchanger for GSHP (1): A review. Heat. Vent. Air Cond. 2008, 38, 25–32. [Google Scholar]
- Aranzabal, N.; Martos, J.; Steger, H.; Blum, P.; Soret, J. Temperature measurements along a vertical borehole heat exchanger: A method comparison. Renew. Energy 2019, 143, 1247–1258. [Google Scholar] [CrossRef]
- Spitler, J.; Bernier, M. Vertical borehole ground heat exchanger design methods. In Advances in Ground-Source Heat Pump Systems; Elsevier: Amsterdam, The Netherlands, 2016; pp. 29–61. [Google Scholar]
- Liu, X.; Spitler, J.D.; Qu, M.; Shi, L. Recent developments in the design of vertical borehole ground heat exchangers for cost reduction and thermal energy storage. J. Energy Resour. Technol. 2021, 143, 100803. [Google Scholar] [CrossRef]
- Rammal, D.; Mroueh, H.; Burlon, S. Impact of thermal solicitations on the design of energy piles. Renew. Sustain. Energy Rev. 2018, 92, 111–120. [Google Scholar] [CrossRef]
- Mohamad, Z.; Fardoun, F.; Meftah, F. A review on energy piles design, evaluation, and optimization. J. Clean. Prod. 2021, 292, 125802. [Google Scholar] [CrossRef]
- Cunha, R.; Bourne-Webb, P. A critical review on the current knowledge of geothermal energy piles to sustainably climatize buildings. Renew. Sustain. Energy Rev. 2022, 158, 112072. [Google Scholar] [CrossRef]
- Rotta Loria, A.; Laloui, L. Thermally induced group effects among energy piles. Géotechnique 2017, 67, 374–393. [Google Scholar] [CrossRef]
- Li, M.; Lai, A.C. Review of analytical models for heat transfer by vertical ground heat exchangers (GHEs): A perspective of time and space scales. Appl. Energy 2015, 151, 178–191. [Google Scholar] [CrossRef]
- Li, C.; Guan, Y.; Jiang, C.; Deng, S.; Lu, Z. Numerical study on the heat transfer, extraction, and storage in a deep-buried pipe. Renew. Energy 2020, 152, 1055–1066. [Google Scholar] [CrossRef]
- Zhu, L.; Chen, S.; Yang, Y.; Sun, Y. Transient heat transfer performance of a vertical double U-tube borehole heat exchanger under different operation conditions. Renew. Energy 2019, 131, 494–505. [Google Scholar] [CrossRef]
- Ma, Z.; Kong, Q.; Xu, K.; Wang, P.; Liu, S.; Jin, L. Numerical simulation on heat transfer inside and outside of vertical buried pipes based on two-model order reduction methods. Numer. Heat Transf. Part A Appl. 2021, 79, 631–655. [Google Scholar] [CrossRef]
- Saeidi, R.; Noorollahi, Y.; Esfahanian, V. Numerical simulation of a novel spiral type ground heat exchanger for enhancing heat transfer performance of geothermal heat pump. Energy Convers. Manag. 2018, 168, 296–307. [Google Scholar] [CrossRef]
- Guan, Y.; Zhao, X.; Wang, G.; Dai, J.; Zhang, H. 3D dynamic numerical programming and calculation of vertical buried tube heat exchanger performance of ground-source heat pumps under coupled heat transfer inside and outside of tube. Energy Build. 2017, 139, 186–196. [Google Scholar] [CrossRef]
- Li, C.; Jiang, C.; Guan, Y.; Tan, Z.; Zhao, Z.; Zhou, Y. Development and applicability of heat transfer analytical model for coaxial-type deep-buried pipes. Energy 2022, 255, 124533. [Google Scholar] [CrossRef]
- Li, M.; Lai, A.C.K. Analytical model for short-time responses of ground heat exchangers with U-shaped tubes: Model development and validation. Appl. Energy 2013, 104, 510–516. [Google Scholar] [CrossRef]
- Li, C.; Jiang, C.; Guan, Y. An analytical model for heat transfer characteristics of a deep-buried U-bend pipe and its heat transfer performance under different deflecting angles. Energy 2022, 244, 122682. [Google Scholar] [CrossRef]
- Huang, X.; Yao, Z.; Cai, H.; Li, X.; Chen, H. Performance evaluation of coaxial borehole heat exchangers considering ground non-uniformity based on analytical solutions. Int. J. Therm. Sci. 2021, 170, 107162. [Google Scholar] [CrossRef]
- Cui, P.; Li, X.; Man, Y.; Fang, Z. Heat transfer analysis of pile geothermal heat exchangers with spiral coils. Appl. Energy 2011, 88, 4113–4119. [Google Scholar] [CrossRef]
- Wang, P. Research on the Double-Spiral Heat Exchanger in Ground Heat. Master’s Thesis, Southwest Jiaotong University, Chengdu, China, 2012. (In Chinese). [Google Scholar]
- Diao, N. Heat Transfer Analyses of Ground Heat Exchangers and Their Engineering Applications. Ph.D. Thesis, Tsinghua University, Beijing, China, 2005. (In Chinese). [Google Scholar]
- Xu, B.; Zhang, H.; Chen, Z. Study on heat transfer performance of geothermal pile-foundation heat exchanger with 3-U pipe configuration. Int. J. Heat Mass Transf. 2020, 147, 119020. [Google Scholar] [CrossRef]
- Tian, X.; Mao, R.; Pei, P. Experimental study on temperature control optimization of ground source heat pump horizontal headers. Energy Build. 2022, 277, 112541. [Google Scholar] [CrossRef]
- Amatya, B.L.; Soga, K.; Bourne-Webb, P.J.; Amis, T.; Laloui, L. Thermo-mechanical behaviour of energy piles. Géotechnique 2012, 62, 503–519. [Google Scholar] [CrossRef]
- Chen, Z.; Yao, J.; Pan, P.; Xiao, H.; Ma, Q. Research on the heat exchange characteristics of the deeply buried pipe type of energy pile. Case Stud. Therm. Eng. 2021, 27, 101268. [Google Scholar] [CrossRef]
- Mimouni, T.; Laloui, L. Behaviour of a group of energy piles. Can. Geotech. J. 2015, 52, 1913–1929. [Google Scholar] [CrossRef]
- You, S.; Cheng, X.; Yu, C.; Dang, Z. Effects of groundwater flow on the heat transfer performance of energy piles: Experimental and numerical analysis. Energy Build. 2017, 155, 249–259. [Google Scholar] [CrossRef]
- Lee, S.; Park, S.; Ahn, D.; Choi, H. Thermal performance of novel cast-in-place energy piles equipped with multipurpose steel pipe heat exchangers (SPHXs). Geothermics 2022, 102, 102389. [Google Scholar] [CrossRef]
- Nguyen, V.T.; Tang, A.M.; Pereira, J.-M. Long-term thermo-mechanical behavior of energy pile in dry sand. Acta Geotech. 2017, 12, 729–737. [Google Scholar] [CrossRef]
- Kalantidou, A.; Tang, A.; Pereira, J.-M.; Hassen, G. Preliminary study on the mechanical behaviour of heat exchanger pile in physical model. Géotechnique 2012, 62, 1047–1051. [Google Scholar] [CrossRef]
- Qian, F.; Liu, G.; Tang, Y.; Xiong, Y.; Fan, G.; Qi, C.; Zhen, M. Study on energy pile-soil mechanical characteristics under cyclic temperature and load. Build. Struct. 2020, 50, 136–142. [Google Scholar]
- Zhang, L. Theoretical and Experimental Explorations on Heat Transfer Performance of Vertical Ground Heat Exchanger in Soils with Groundwater Advection. Ph.D. Thesis, Xi’an University of Architecture and Technology, Xi’an, China, 2016. [Google Scholar]
- Liu, F. Experimental Study on Temperature Filed of Underground Heat Exchanger of Ground-Coupled Heat Pump. Master’s Thesis, Harbin Institute of Technology, Harbin, China, 2008. [Google Scholar]
- Wang, W. Heat Transfer Performance and Heat Transfer Efficiency of Vertical Ground Heat Exchanger in Layered Subsurface. Ph.D. Thesis, China University of Geosciences, Wuhan, China, 2019. [Google Scholar]
- You, T.; Wang, B.; Li, X.; Shi, W.; Yang, H. A general distributed parameter model for ground heat exchangers with arbitrary shape and type of heat sources. Energy Convers. Manag. 2018, 164, 667–679. [Google Scholar] [CrossRef]
- Du, R.; Jiang, D.; Wang, Y.; Shah, K.W. An experimental investigation of CuO/water nanofluid heat transfer in geothermal heat exchanger. Energy Build. 2020, 227, 110402. [Google Scholar] [CrossRef]
- Li, W.; Li, X.; Du, R.; Wang, Y.; Tu, J. Experimental investigations of the heat load effect on heat transfer of ground heat exchangers in a layered subsurface. Geothermics 2019, 77, 75–82. [Google Scholar] [CrossRef]
- Li, C.; Guan, Y.; Wang, X.; Zhou, C.; Xun, Y.; Gui, L. Experimental and numerical studies on heat transfer characteristics of vertical deep-buried U-bend pipe in intermittent heating mode. Geothermics 2019, 79, 14–25. [Google Scholar] [CrossRef]
- Chen, J.; Xia, L.; Li, B.; Mmereki, D. Simulation and experimental analysis of optimal buried depth of the vertical U-tube ground heat exchanger for a ground-coupled heat pump system. Renew. Energy 2015, 73, 46–54. [Google Scholar] [CrossRef]
- Aydın, M.; Sisman, A. Experimental and computational investigation of multi U-tube boreholes. Appl. Energy 2015, 145, 163–171. [Google Scholar] [CrossRef]
- Jia, Y.; Wang, Y. Comparative analyses on 2D and 3D buried tube-group heat transfer models in GCHP system. J. Grad. Univ. Chin. Acad. Sci. 2013, 30, 311–316. [Google Scholar]
- Beier, R.A.; Smith, M.D.; Spitler, J.D. Reference data sets for vertical borehole ground heat exchanger models and thermal response test analysis. Geothermics 2011, 40, 79–85. [Google Scholar] [CrossRef]
- You, T.; Li, X.; Cao, S.; Yang, H. Soil thermal imbalance of ground source heat pump systems with spiral-coil energy pile groups under seepage conditions and various influential factors. Energy Convers. Manag. 2018, 178, 123–136. [Google Scholar] [CrossRef]
- Li, L. Experimental Study of Heat Transfer Process of Vertical U Type Buried Pipe under Seepage Condition. Master’s Thesis, Taiyuan University of Technology, Taiyuan, China, 2017. (In Chinese). [Google Scholar]
- Wang, R.; Yang, C.; Ni, L.; Yao, Y. Experimental study on heat transfer of soil with different moisture contents and seepage for ground source heat pump. Indoor Built Environ. 2020, 29, 1238–1248. [Google Scholar] [CrossRef]
- Sani, A.; Singh, R.; Amis, T.; Cavarretta, I. A review on the performance of geothermal energy pile foundation, its design process and applications. Renew. Sustain. Energy Rev. 2019, 106, 54–78. [Google Scholar] [CrossRef]
- Jiang, Q.; Jiao, Y.; Luo, J.; Wang, H. Review and prospect on heat transfer and bearing performance of energy piles. Rock Soil Mech. 2019, 40, 3351–3362. [Google Scholar]
- Li, Q.; Chen, L.; Ma, H.; Huang, C.-H. Enhanced heat transfer characteristics of graphite concrete and its application in energy piles. Adv. Mater. Sci. Eng. 2018, 2018, 8142392. [Google Scholar] [CrossRef]
- Kong, L.-P.; Qiao, L.; Xiao, Y.-Y.; Li, Q.-W. A study on heat transfer characteristics and pile group influence of enhanced heat transfer energy piles. J. Build. Eng. 2019, 24, 100768. [Google Scholar] [CrossRef]
- Kramer, C.A.; Ghasemi-Fare, O.; Basu, P. Laboratory thermal performance tests on a model heat exchanger pile in sand. Geotech. Geol. Eng. 2015, 33, 253–271. [Google Scholar] [CrossRef]
- Cui, H.; Zou, H.; Bao, X.; Qi, X.; Qi, H. Heat exchange behavior of the phase change energy pile under cooling condition. J. Tsinghua Univ. (Sci. Technol.) 2020, 60, 715–725. [Google Scholar]
- Yang, W.; Lu, P.; Chen, Y. Laboratory investigations of the thermal performance of an energy pile with spiral coil ground heat exchanger. Energy Build. 2016, 128, 491–502. [Google Scholar] [CrossRef]
- Liu, H.; Huang, X.; Kong, G.; Peng, H.; Che, P. Influence of pile core medium on heat transfer efficiency of tubular energy pile. China J. Highw. Transp. 2019, 32, 1–11. [Google Scholar]
- Faizal, M.; Bouazza, A.; McCartney, J.S. Thermohydraulic responses of unsaturated sand around a model energy pile. J. Geotech. Geoenvironmental Eng. 2021, 147, 04021105. [Google Scholar] [CrossRef]
- Wang, C.; Liu, H.; Kong, G.; Wu, D. Model tests on thermal mechanical behavior of energy piles influenced with heat exchangers types. Eng. Mech. 2017, 34, 85–91. [Google Scholar]
- Bao, X.; Li, Y.; Feng, T.; Cui, H.; Chen, X. Investigation on thermo-mechanical behavior of reinforced concrete energy pile with large cross-section in saturated sandy soil by model experiments. Undergr. Space 2020, 5, 229–241. [Google Scholar] [CrossRef]
- Kramer, C.A.; Basu, P. Performance of a model geothermal pile in sand. In Proceedings of the 8th International Conference on Physical Modelling in Geotechnics 2014 (ICPMG), Perth, Australia, 14–17 January 2014; CRC Press/Balkema: Leiden, The Nethersland, 2014; pp. 771–777. [Google Scholar]
- Wu, D.; Liu, H.; Kong, G.; Ng, C.W.W.; Cheng, X.-H. Displacement response of an energy pile in saturated clay. Proc. Inst. Civ. Eng.-Geotech. Eng. 2018, 171, 285–294. [Google Scholar] [CrossRef]










































| Type of Study | Years | Researchers | Sandbox Form | Borehole Form | Research Results |
|---|---|---|---|---|---|
| Single borehole experiments | 2012 | Wang et al. [47] | A stainless steel cylindrical sandbox, diameter: 0.8 m, length: 5 m, isothermal boundary, no seepage | Horizontally arranged U-shaped tubes with two different diameters | (1) The heat transfer performance of the spiral tube is better than that of the single U-shaped tube. (2) A larger leg space of the U tube and a smaller tube pitch of the double spiral tube can enhance the heat transfer performance. |
| 2004 | Diao et al. [48] | Two cuboid sandboxes of 2 × 1.2 × 0.8 m and 4 × 1 × 1 m, isothermal boundaries, no seepage | A single horizontally arranged U-shaped tube | (1) The temperature variation near the U-shaped tube is large. As the distance from the U-shaped tube increases, the soil temperature growth rate decreases. (2) The temperature gradient of soil closer to the U-shaped tube is larger. | |
| 2018 | You et al. [62] | A cube sandbox of 1 × 1 × 1 m, adiabatic boundary, no seepage | A single vertically arranged U-shaped tube | After 24 h continuous cooling, the soil temperature decrease is about 5 °C and 0.5 °C at positions 0 mm and 500 mm away from the U-shaped tube, respectively. | |
| 2011 | Beier et al. [69] | An 18 × 1.8 × 1.8 m cuboid wooden frame sandbox, isothermal boundary, no seepage | A single horizontally arranged U-shaped tube | (1)The soil temperature at positions 0 cm, 24 cm, 44 cm, 65 cm, and 85 cm away from the borehole wall are obtained. (2) The test data can be used for model validation. | |
| Borehole group experiments | 2016 | Zhang et al. [59] | A cuboid sandbox of 0.6 × 0.6 × 1 m, adiabatic boundary, seepage | 4 horizontally arranged electric heating rod groups | (1) The soil temperature rise in the saturated sand condition is lower than that of the dry sand condition, but the heat storage capacity is improved. (2) The increase of seepage velocity accelerates the process to reach a stable state, and the stable temperature is lower. (3) Under the influence of seepage, the heat accumulation phenomenon downstream of the tube group is more obvious. |
| 2018 | You et al. [70] | A 1 × 1 × 1 m cube sandbox (adiabatic boundary), no seepage | 5 horizontally arranged U-shaped tubes | (1) After 24 h of cooling, the soil temperature decreases at positions 0 mm and 25 mm away from the heat exchange tube are about 6 °C and 1.5 °C, respectively. Experimental results are used to verify the borehole group model. | |
| Vertical seepage experiments | 2008 | Liu et al. [60] | A 0.8 × 0.6 × 0.77 m cuboid sandbox (adiabatic boundary) | A single horizontally arranged electric heating rod | (1) Seepage can improve the heat transfer of the borehole, and the soil temperature change is smaller than that in the saturated condition. (2) The temperature field is no longer distributed in a circular shape under the seepage condition. The heat transmission distance increases in the seepage direction. (3) The greater the seepage velocity, the smaller the soil temperature variation and the greater the heat transmission distance. |
| 2016 | Zhang et al. [59] | A 0.6 × 0.6 × 1 m cuboid sandbox, adiabatic boundary | A single horizontally arranged electric heating rod | (1) The water carries heat to move in the seepage direction. (2) A higher seepage velocity brings better soil thermal stability. (3) The larger power of the heating rod leads to faster and higher soil temperature variations. | |
| Horizontal seepage experiments | 2017 | Li et al. [71] | A 2.5 × 2.5 × 1 m cuboid sandbox, isothermal boundary | A single horizontally arranged U-shaped tube | (1) There is seepage in saturated soil, and the temperature change downstream is larger. (2) The faster seepage velocity will lead to a larger dense area and downstream offset of isotherms. |
| 2019 | Wang et al. [72] | A 1.5 × 1.5 × 1 m cuboid sandbox (adiabatic boundary) | A single longitudinally arranged electric heating rod | (1) The soil with a higher water content has a higher heat dissipation capacity, especially when seepage occurs. (2) The heat transfer rate decreases from unsaturated soil to saturated soil and dry soil. | |
| Multi-layer soil experiments | 2019 | Wang et al. [61] | A 2 × 1.5 × 2 m cuboid sandbox (isothermal boundary) | A single longitudinally arranged U-shaped tube group | The thermal conductivities of the upper, middle, and lower layers have different effects on the heat transfer of each layer; the lower layer has the most significant effect on the heat transfer performance. |
| Type of Study | Year | Researchers | Sandbox Form | Buried Form | Research Result |
|---|---|---|---|---|---|
| Mechanical performance experiments of energy pile | 2017 | Nguyen et al. [56] | A diameter of 0.548 m, height of 0.9 m cylindrical sandbox | Single U-shaped energy pile | (1) The energy pile with head load will undergo irreversible settlement after thermal cycling. (2) The greater the head load, the larger the irreversible settlement. (3) The irreversible settlement caused by the first thermal cycle is the largest. (4) The axial force along the pile body increases with the growth of the number of thermal cycles. |
| 2012 | Kalantidou et at. [57] | A cylindrical steel sandbox with a diameter of 0.57 m and a height of 1 m | Single U-shaped energy pile | (1) The settlement of the pile gets reduced with the decline of the load. (2) When the mechanical load is less than 40% of the maximum load, the energy pile performs a normal thermal response. (3) Once the mechanical load is greater than 40% of the maximum load, the irreversible settlement of the energy pile will gradually accumulate. | |
| 2020 | Qian et al. [58] | 2 × 2 × 1.5 m cuboid sandbox | Single U-shaped energy pile | (1) The excess static pore water pressure in the soil increases with the growth of temperature within a certain range. (2) After thermal cycling, the soil will settle due to the thermal consolidation effect. (3) During the thermal cycle, the total settlement of the pile body is less than that of the soil around the pile, so the soil will produce negative frictional resistance to the pile body. | |
| Thermal performance experiments of energy pile | 2015 | Kramer et al. [77] | 1.83 × 1.83 × 2.13 m cuboid wooden sandbox | Single U-shaped energy pile | (1) The heat transfer of a single U-shaped energy pile is approximately an axisymmetric process. (2) The heat transfer rate of the energy pile increases with the growth of the water flow velocity. |
| 2016 | Yang et al. [79] | 0.8 × 0.8 × 1.2 m cuboid wooden sandbox | Spiral energy pile | (1) Increasing the inlet water temperature and velocity improve the heat transfer rate of the heat exchange tube. (2) The heat transfer rate of the energy pile is higher under intermittent operating conditions. (3) Total heat transfer of the heat exchange tube increases with the decline of the pitch. | |
| 2021 | Faizal et al. [81] | 0.56 × 0.56 × 0.3 m rectangular glass sandbox | Single U-shaped energy pile | (1) The moisture content and temperature of soil within 20 mm from the pile body change significantly under the influence of the thermal cycle, and the change is more obvious for the soil closer to the pile. (2) The soil around the pile is dry and wet under the heating and cooling cycles, respectively. | |
| Thermal-mechanical coupled performance experiments of energy piles | 2017 | Wang et al. [82] | 3.0 × 2.0 × 1.75 m cuboid sandbox | Single U-shaped, W-shaped, spiral energy pile | The thermal strain change, pile top displacement, and heat exchange rate of the W-shaped energy pile are the largest, while those of the single U-shaped energy pile are the lowest. |
| 2020 | Bao et al. [83] | 2.5 × 2.5 × 2.0 m cuboid steel sandbox | Double U-shaped energy pile | (1) The heat exchange rate of the energy pile is inversely proportional to the water flow velocity and temperature difference between the tube inlet and outlet. (2) The temperature of the soil around the pile changes mainly during the first 24 h of the operation. (3) The pressure on the soil is mainly affected by the temperature and is positively related to the temperature. | |
| 2014 | Kramer et al. [84] | 1.83 × 1.83 × 2.13 m rectangular steel sandbox | Single U-shaped energy pile | (1) The soil far from the energy pile needs a long time to get thermal interaction. (2) The heat transfer distance in the radial direction is three times that in the vertical direction. (3) The ultimate load of the energy pile increased slightly, and the pile head stiffness at the initial stage of load application decreased after thermal applying loading for seven days. | |
| 2018 | Wu et al. [85] | 0.8 × 0.4 × 0.75 m cuboid sandbox | Single U-shaped energy pile | (1) The pore water pressure is proportional to the temperature. (2) The displacement of the pile top during the heating process is less than that during the cooling process. (3) The shielding effect of the unheated energy pile and the pile cap both restrict the displacement of the energy pile. |
Disclaimer/Publisher’s Note: The statements, opinions and data contained in all publications are solely those of the individual author(s) and contributor(s) and not of MDPI and/or the editor(s). MDPI and/or the editor(s) disclaim responsibility for any injury to people or property resulting from any ideas, methods, instructions or products referred to in the content. |
© 2023 by the authors. Licensee MDPI, Basel, Switzerland. This article is an open access article distributed under the terms and conditions of the Creative Commons Attribution (CC BY) license (https://creativecommons.org/licenses/by/4.0/).
Share and Cite
Zhou, S.; Zhu, L.; Wan, R.; Zhang, T.; Zhang, Y.; Zhan, Y.; Wang, F.; Zhang, L.; You, T. An Overview of Sandbox Experiment on Ground Heat Exchangers. Sustainability 2023, 15, 11095. https://doi.org/10.3390/su151411095
Zhou S, Zhu L, Wan R, Zhang T, Zhang Y, Zhan Y, Wang F, Zhang L, You T. An Overview of Sandbox Experiment on Ground Heat Exchangers. Sustainability. 2023; 15(14):11095. https://doi.org/10.3390/su151411095
Chicago/Turabian StyleZhou, Sihan, Lijie Zhu, Runan Wan, Tao Zhang, Yongzheng Zhang, Yi Zhan, Fang Wang, Linfeng Zhang, and Tian You. 2023. "An Overview of Sandbox Experiment on Ground Heat Exchangers" Sustainability 15, no. 14: 11095. https://doi.org/10.3390/su151411095
APA StyleZhou, S., Zhu, L., Wan, R., Zhang, T., Zhang, Y., Zhan, Y., Wang, F., Zhang, L., & You, T. (2023). An Overview of Sandbox Experiment on Ground Heat Exchangers. Sustainability, 15(14), 11095. https://doi.org/10.3390/su151411095

