Next Article in Journal
An Overview of Sandbox Experiment on Ground Heat Exchangers
Next Article in Special Issue
Literature Review on the Indoor Air VOCs Purification Performance of Metal–Organic Frameworks
Previous Article in Journal
A Combined Clustering and Trends Analysis Approach for Characterizing Reference Evapotranspiration in Veneto
Previous Article in Special Issue
Theoretical Study and Experimental Validation on the Applicable Refrigerant for Space Heating Air Source Heat Pump
 
 
Font Type:
Arial Georgia Verdana
Font Size:
Aa Aa Aa
Line Spacing:
Column Width:
Background:
Article

Adaption and Tolerance in Built Environment—An Evaluation of Environmental Sensation, Acceptance and Overall Indoor Environmental Quality (IEQ) in a Subtropical Region

Department of Building Environment and Energy Engineering, The Hong Kong Polytechnic University, Hong Kong, China
*
Author to whom correspondence should be addressed.
Sustainability 2023, 15(14), 11094; https://doi.org/10.3390/su151411094
Submission received: 14 June 2023 / Revised: 14 July 2023 / Accepted: 14 July 2023 / Published: 16 July 2023

Abstract

The relationship between environmental sensations and acceptance in the indoor environment has yet to be fully explored or quantified. This study is the first in the literature that examines these relationships in thermal comfort, indoor air quality, aural comfort, visual comfort, and overall indoor environmental quality (IEQ). Using a regional IEQ database, the relationship between occupants’ sensation and acceptance of individual environmental aspects was investigated. The results suggest that building occupants had high tolerances towards indoor air quality and aural and visual discomforts, while cold sensations tended to elicit environmental discomfort. Furthermore, the study developed machine learning models with imbalanced data treatment to predict overall IEQ acceptance based on both sensation and acceptance of individual IEQ domains. These models accounted for the influence of environmental adaptation and tolerance on overall IEQ satisfaction determination. They accurately predicted unseen data, indicating high model generalizability and robustness. Overall, the study has practical implications for improving building performance and provides insights to better understand the relationship between environmental sensations and occupants’ acceptance, which should be considered in building design and operation.

1. Introduction

Environmental toleration and adaptation are vital concepts in environmental psychology and human–environment interactions [1,2]. The ability of humans to tolerate and adapt to environmental conditions has become increasingly important as the world faces challenges such as climate change, urbanization, and environmental degradation [3]. From a historical point of view, being able to tolerate and adapt to various environmental conditions has played a significant role in human survival and evolution. The interaction between buildings and occupants is intrinsic and complex in the indoor and built environment. However, adapting one’s tolerance to the most comfortable environmental conditions can create a substantial energy-saving potential.
Human environmental adaptation refers to the capacity of humans to modify their behavior and physical surroundings to better suit the environmental conditions they are exposed to [4]. In this sense, it describes the relationship between environmental conditions and comfort sensation. Human adaptation to indoor environment has been a topic of discussion mainly in the field of thermal comfort. On the other hand, human toleration refers to the range of physical and environmental conditions that humans can withstand without experiencing adverse effects on their health and well-being [5]. In the built environment context, it can be interpreted as the conditions one can still accept, even if it may cause mild unpleasant feelings. These conditions may include temperature, air quality, noise levels, lighting, and other factors that influence the indoor environment, and their tolerance of these environmental factors can vary depending on age, gender, activity level, and other individual characteristics [6,7,8].
Although the predicted mean vote (PMV)/predicted percentage dissatisfaction (PPD) model proposed by Fanger [9] is a widely cited indoor thermal comfort model and has been the basis for building standards such as ANSI/ASHRAE 55-1992 and ISO 7730:1994, discrepancies between model predictions and actual thermal sensation and dissatisfaction have been observed in various indoor environments. Humphreys [10] found that outdoor mean temperature strongly influences thermal feeling and neutral temperature in free-running buildings. This indicates that outdoor climate can significantly impact occupants’ thermal sensation and acceptability, especially in buildings with natural ventilation. De Dear and Brager [11] challenged the universal applicability of the PMV/PPD model, which largely ignores the contextual factors that can affect the thermal experience. They proposed an adaptive hypothesis that considers the role of occupants in thermal interaction with the environment through behavioral adjustment, physiological adaptation, and psychological adaptation. This hypothesis recognizes that occupants can modify their behavior, expectations, and perception of thermal conditions to achieve thermal comfort. These findings suggest that the PMV/PPD model may have limitations in accurately predicting thermal comfort in real-world settings. Upon recognizing the involvement of adaptation in thermal comfort determination, several modifications have been made to incorporate field data responses that captured thermal adaptation in thermal comfort prediction models and standards [11,12,13,14,15,16].
While thermal adaptation has been widely discussed, there has only been a handful of studies on the extent of environmental adaptation towards air pollutants and noise levels, despite the significant impact of indoor air quality (IAQ) and noise on occupant comfort and health. Adaptation to air odorant perception has developed gradually over time [17,18,19]. A study by Gunnarsen and Fanger [20] also found that acceptability to IAQ increased through adaptation given prolonged exposure to air pollutants. It was noted that adapting to air pollutants was more significant if the contaminant caused irritation rather than just olfactory offense. Regarding the aural aspect, people were found to adapt to noisy environments and concentrate on conversations by filtering out irrelevant sounds and focusing on the speech acoustic features through neural responses [21].
Understanding the relationship between occupant sensation and acceptance is crucial for maintaining occupant comfort and well-being and designing and operating buildings that meet their occupants’ needs while promoting energy efficiency. One of the approaches is to utilize post-occupancy evaluation (POE) to collect feedback from building users to determine occupant comfort and satisfaction level. Qualitative assessments of indoor environmental quality (IEQ) parameters provided by occupants, sometimes supplemented with in situ measurements, have been widely utilized to comprehensively understand occupant satisfaction and identify areas for improvement [22]. Several attempts have been made to evaluate the relationship between environmental indicators and occupant satisfaction based on field data. These studies have examined the objective–subjective or subjective–subjective relationship of IEQ and correlated satisfaction of individual aspects with the overall. Linear or logistic regression is commonly used to correlate objective environmental conditions with subjective satisfaction, as indicated in previous research [23,24,25,26,27,28,29,30,31]. On the other hand, only a few studies have investigated the subjective responses in overall IEQ and individual aspects. Buratti et al. [32] established a linear relationship between the overall IEQ classification index and the subjective mean votes from the thermal, acoustic, and lighting domains. Regression and machine learning models were also developed by Cheung et al. [33] and Tang et al. [34] to predict overall satisfaction using subjective satisfaction with the principal domains. While these models provide insight into how satisfaction with one aspect can influence overall satisfaction, none have explored the connection between subjective sensation and acceptance and factored in such an association into predicting general IEQ acceptance.
To this end, this study develops regression models to examine environmental tolerance that reflects the association between environmental sensation and acceptance. Various overall satisfaction machine learning models are also established to incorporate the element of environmental tolerance into satisfaction prediction. This study introduces a novel approach for predicting IEQ satisfaction that considers the complex relationship between occupant sensation and satisfaction while accounting for adaptation and tolerance. This approach provides a more comprehensive understanding of how occupants respond to the indoor environment, making it valuable for evaluating building performance. Overall, this study adds to the knowledge of POE and offers insights for building designers and operators on improving the indoor environment to meet occupants’ needs while balancing energy efficiency considerations.

2. Materials and Methods

This study investigates the relationship between occupants’ sensation and acceptance of individual environmental aspects, including IAQ, thermal conditions, aural comfort, and visual comfort. Additionally, the study aims to assess the relationship between the responses to individual environmental factors and overall IEQ acceptance.
The purpose of examining the relationship between subjective sensation and acceptance is to determine to what extent occupants are willing to accept an environmental condition despite it not being entirely satisfactory. In other words, occupants may experience mild discomfort in sensation but still consider the condition acceptable. The association between sensation and acceptance may vary among individuals depending on their tolerance level, which could be influenced by a range of demographic factors such as age, gender, socioeconomic status, education level, and the climate where one grew up.

2.1. Subject Indoor Environmental Quality Dataset for Model Development and Validation

2.1.1. Environmental Sensation and Acceptance Dataset for Model Development

This study employed a dataset comprising 435 subjective ratings of IEQ gathered from 298 office workers of offices, 85 occupants of elderly centers, and 52 residents of residential buildings in Hong Kong. This dataset was created from multiple field measurements which cover a larger extent of research areas. The environmental sensation data have not been reported in any prior studies. The occupants were asked to rate their thermal sensation vote (TSV) on a seven-point semantic differential scale established by the American Society of Heating, Refrigerating and Air-Conditioning Engineers (ASHRAE), ranging from cold (−3) to hot (+3). In addition, they were asked to evaluate their indoor air quality sensation (IAQS) on a five-point scale ranging from very good (+2) to very bad (−2). The occupants also rated aural sensation (AurS) and visual sensation (VisS) on a point scale with a maximum score of 100. Finally, the occupants were required to determine their overall IEQ acceptance.
To assess the occupants’ acceptance of each environmental aspect, a direct polar acceptable/unacceptable question was used, asking whether the thermal environment (TCA), indoor air quality (IAQA), aural level (AurA), and visual level (VisA) of the indoor environment were perceived as satisfactory. Table 1 exhibits a summary of the dataset for model development.

2.1.2. Dataset for Model Testing

Another set of subjective IEQ responses was collected from hospital healthcare workers to evaluate the comfortability and quality of various indoor environmental aspects in hospital wards. The same set of environmental sensation and acceptance questions were asked in this survey. Due to the COVID-19 pandemic, the survey was conducted online and received 130 responses. After removing responses with missing data, 40 valid responses remained. Being reported for the first time in literature, this dataset captures the tolerance of healthcare workers to the hospital environment, which could be helpful to test the robustness and the model generalizability in predicting IEQ acceptance beyond the original training data. Table 2 showcases the dataset for model testing.

2.2. Mathematical Models

2.2.1. Acceptance Models for Principal IEQ Domains

Logistic regression models (LR) for each IEQ aspect were developed to assess the relationship between acceptance and sensation. LR is a binary classification method that assumes that the relationship between the sensation and probability of acceptance can be modeled using a logistic function. It is widely used across various fields and in IEQ modeling. As mentioned earlier, it is easy to implement and interpret and provides good accuracy in many cases [35]. Equation (1) shows the logistic regression equation with Xi as the input variable, Y as the target variable, α as the intercept term, and βi as the coefficient for Xi.
Y = exp ( α + β 1 X 1 + + β i X i ) 1 + exp ( α + β 1 X 1 + + β i X i ) ,
As indoor premises are typically designed to meet the needs of the majority by building standards and practical guidelines [36], extreme responses (e.g., cold/hot in thermal comfort, very bad/very good in IAQ, 0 scores for visual or aural comfort) are rarely observed in indoor environments. To evaluate the model’s accuracy with imbalanced data, the F1 score was assessed. The F1 score is the harmonic mean of precision of a recall range between 0 and 1, with higher values indicating better performance. Equation (2) shows the computation of the F1 score, where precision is the proportion of true positives (TP) among all positive predictions (TP + false positive (FP)) and recall is the proportion of true positives among all actual positives (TP + false negative (FN)).
F 1   score = 2 × recall × precision recall + precision = 2 TP 2 TP + FP + FN ,

2.2.2. Machine Learning Models for Overall IEQ Acceptance Prediction

Predicting overall IEQ acceptance based on sensation vote and acceptance of the four IEQ aspects (i.e., IAQ, thermal, aural, and visual comfort) is a binary classification task with multiple binary, categorical, and continuous data as input parameters. In this study, several standard machine learning algorithms, namely, LR, support vector machine (SVM), decision tree (DT), random forest (RF) and gradient boosting (GB), and Naïve Bayes classifier (NB), were evaluated to identify the appropriate methods for achieving such prediction.
SVM is a machine learning method that aims to find the optimal hyperplane that separates the accepted and unaccepted IEQ conditions using a kernel function. It is effective in a wide range of classification applications [37].
DT is a tree-based binary classification algorithm that can handle categorical and continuous data. It recursively splits the input data into smaller subsets based on the values of the input variables and creates a tree structure to represent the decision rules. DT is easy to interpret and visualize and can handle both linear and non-linearly separable data. However, DT can be prone to overfitting and can be sensitive to small changes in the input data [38]. RF improves the accuracy and robustness of the model by randomly selecting subsets of the input data and variables, then aggregating the individual trees’ results to make the final prediction [39]. Similarly, GB is another ensemble algorithm that combines multiple weak classifiers to improve the accuracy and performance of the model. GB predicts by combining the results of the individual trees by iteratively fitting new DT to the residuals of the previous trees [40].
Lastly, based on Bayes’ theorem, NB assumes that the inputs are independent of each other and computes the probability of the target given the conditional probabilities of the input variables. NB is known for its simplicity and fast training speed for solving binary classification problems [41].
The IEQ dataset showcased in Table 1 was split with a ratio of 0.8:0.2 into training and validation sets for model development and performance evaluation. The testing dataset presented in Table 2 was used to evaluate the robustness and generalizability after the model training.

2.2.3. Treatments for Imbalanced Data

As seen in Table 1, a high overall IEQ acceptance rate was observed, which can be expected due to design norms generally providing good indoor conditions [36]. It is a common issue in binary classification problems where the distribution of the target variable is highly skewed, with one class being significantly more prevalent than the other. This can lead to biased models that perform poorly on the minority class, in this case failing to identify those environments with unacceptable IEQ. This study evaluated several methods for treating imbalanced data, including resampling, weighting, threshold tuning, ensemble, and anomaly detection techniques.
Resampling is a common method for treating imbalanced data. There are two ways to resample the data: undersampling and oversampling. Undersampling randomly removes data from the majority class to balance the distribution of the target variable. However, this may result in losing important information and reduce the model’s accuracy. On the other hand, oversampling artificially creates new examples for the minority class by duplicating existing examples or generating synthetic illustrations [42]. In this study, the Synthetic Minority Over-sampling Technique (SMOTE) was used to improve the model’s performance on the minority class [43].
Weighting is a cost-sensitive learning technique for handling imbalanced data, with the algorithm assigning higher weights to the minority class samples or lower weights to the majority class samples during model training so that the model can learn to distinguish between the two classes more effectively. By assigning higher weights to the minority class samples, the algorithm penalizes the misclassification of the minority class more heavily, which encourages the model to learn the patterns in the minority class more accurately [44]. Class weights were used in LR, SVM, DT, and RF, while sample weights were applied in GB and NB.
The default threshold value of 0.5 in the classification model may not be appropriate as the minority class may be underrepresented. To treat imbalanced data, threshold tuning adjusts the classification threshold favoring the minority class. Here, the F1 score was used to determine the optimal threshold value and improve the model’s performance [45].
Ensemble methods combine multiple models to improve the overall performance and accuracy of the final model. These techniques create a balanced or more representative training dataset for the minority through bagging, boosting, or stacking [46]. In this study, Bagging, AdaBoost, Easy Ensemble, and Balanced Bagging Classifier were applied to train a set of DTs on different subsets of the dataset [47,48,49,50]. The final prediction is a weighted sum of the forecasts of the DT determined by their performance on the training data.
Anomaly detection is a unique technique for identifying unusual or rare observations in a dataset that do not conform to the expected behavior of most of the data. Instead of handling the dataset with imbalanced data, it treats the minority class as an outlier or anomaly and detects it. Several standard anomaly detection models were applied in this study, including one-class SVM, isolation forest (IF), local outlier factor (LOF), and autoencoder (AC) [51,52,53,54].

3. Results

3.1. Association between Sensation and Acceptance

LR models were employed to examine the connection between sensation and acceptance of IAQ, thermal, aural, and visual comfort. For thermal comfort, it was noted that discomfort could arise from either overheating or feeling too cold. Thus, the correlation between these sensations and thermal acceptance was evaluated independently. Research has suggested that gender can influence thermal perception with a given thermal stimulus [55,56]. However, the relationship between thermal sensation and acceptance among genders has yet to be fully explored. To investigate this relationship, a Chi-square test was conducted to evaluate whether there were any significant differences in thermal acceptance and sensation votes between genders. The results indicated that the Chi-square statistic was 6.211 with a p-value of 0.4, suggesting no significant difference between genders regarding thermal acceptance and sensation votes.
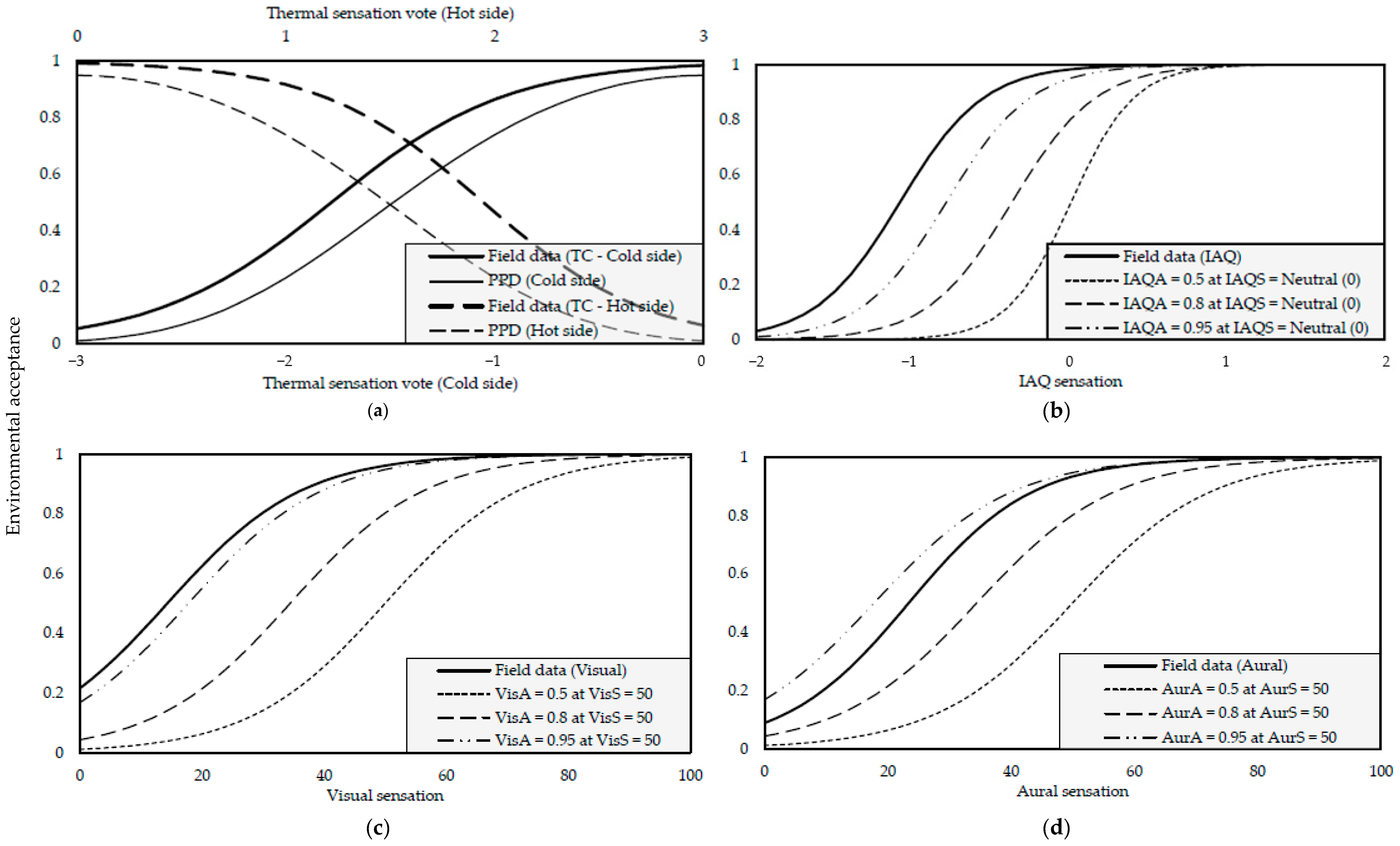
Figure 1a–d displays the LR models developed to represent the relationship between sensory experiences and acceptance of the four principal IEQ domains. Table 3 shows the equation and the corresponding F1 score of each model. Figure 1a displays the PMV-PPD curve and the LR model (TSV-TCA) generated from thermal comfort data collected from the field survey. In this context, it was assumed that TSV and PMV were equivalent to evaluate the effectiveness of PPD as a predictor of thermal comfort acceptability. The results indicate that the level of acceptance towards cold sensations differed from that towards hot feelings. The thermal environment was accepted by 50% of occupants (i.e., TSA = 0.5) at TSV values of −1.78 and +1.94, implying a higher tolerance for hot sensations than cold sensations. When comparing field data with the PMV-PPD relationship, it becomes evident that the relationship between TSV and TCA is markedly different from that expressed by the PMV-PPD model. In particular, the TSV-TCA relationship shows a higher degree of tolerance for cold sensations than the PMV-PPD model, with 5% of occupants accepting thermal environments with a cold vote (−3) compared to less than 1% in the PMV-PPD model. As the sensation progresses towards neutral (0), the difference in acceptance between PPD and TCA initially increases, followed by a decrease, with a maximum difference of 17% at TSV = −1.5. In contrast to the PMV-PPD model’s prediction of 5% unsatisfied occupants at neutral sensation (0), up to 99% of building occupants in the field study deemed the thermal condition acceptable. For hot sensations, the difference between PPD and TCA was even more pronounced, reaching a maximum of 27% at TSV = +1.6. In the hot side vote (+3), up to 6% of occupants chose to accept the thermal conditions compared to less than 1% in the PMV-PPD model. Overall, 80% of acceptability was observed between TSV of −1.2 and +1.4, and the minimum level of discomfort was 1% at TSV = +0.1.
Figure 1b–d illustrate the LR models for acceptance of IAQ, visual comfort, and aural comfort, respectively. Since there is limited literature discussing the adaptation to these aspects, without available reference for depicting such an association, the models were displayed along with general assumptions such as 50%, 80%, and 95% acceptance at neutral IAQ sensation with the same slope as the developed LR models. Likewise, logistic curves for 50%, 80%, and 95% acceptance of visual and aural sensations of 50 out of 100 were also presented for comparison.
In the IAQ domain, the LR model estimated that even a very bad (−2) IAQ sensation could still have up to 3% acceptance due to curve fitting. At IAQS = −0.7, the model projected 80% acceptance, while at a neutral IAQ sensation, up to 98% of building occupants were found to accept the environment. The LR model estimated up to 22% acceptance even at 0 visual sensations for visual comfort, while 80% and 95% acceptance were achieved at VisS = 30 and 48, respectively. Similarly, for aural comfort, the model projected 9% acceptance at the poorest aural sensation, while 80% acceptance was observed at AurS = 36. Furthermore, the model generated by the field data suggested that 95% acceptance could be expected at AurS = 54.

3.2. Overall IEQ Acceptance Prediction

It is important to note that the number of features used in machine learning models can significantly impact model performance and generalizability. To address this, an extra trees classifier was employed to identify the feature importance values of the available features in the dataset. The features included the sensation and acceptance ratings for the four IEQ domains, the type of dwelling, gender, and metabolic rate. The analysis results indicated that gender and metabolic rate were ranked the least important among all the features. Therefore, they were disregarded in the modeling process. This decision was made to simplify the model and improve its performance and generalizability.
The overall IEQ acceptance was modeled based on sensation vote and acceptance of four IEQ aspects using various machine learning algorithms with and without imbalanced data treatment. Table 4 shows the hyperparameters defined for controlling the learning process and determining the values of model parameters. The models were evaluated based on accuracy and F1 score using the validation and testing dataset collected from a hospital environment, as displayed in Table 5. Without any imbalanced data treatment, the results showed that the LR model gave both datasets a relatively high accuracy and F1 score. In contrast, other models, such as SVM, DT, RF, GB, and NB, performed poorly in identifying unacceptable IEQ in the testing dataset. In particular, SVM could not identify any actual instances of IEQ unacceptance, while NB made false positive predictions for unacceptable IEQ.
When oversampling was applied using SMOTE technique to create new data for the minority class (i.e., IEQ unacceptance), the performance of LR became slightly poorer but significantly improved for SVM and slightly for DT, RF, and BG. When imbalanced data were handled using the weighting scheme, class weight significantly improved the F1 score for IEQ unacceptance in the SVM model. In contrast, a slight improvement was observed in predicting the testing data in LR and GB models. Threshold tuning improved the performance of SVM and GB slightly in predicting the testing data. However, anomaly detection techniques such as one-class SVM, IF, LOF, and AC performed poorly on the validation and testing dataset. Among all ensemble methods applied to train the DT, Bagging gave the best overall performance in predicting the IEQ unacceptance and acceptance.
Overall, RF with oversampling imbalanced data treatment achieved the highest overall F1 score on the testing dataset. LR model trained with class weights also gave accurate predictions on the testing dataset.

4. Discussion

4.1. Sensation and Acceptance of Individual IEQ Domains

4.1.1. Thermal Comfort

The results of this study are consistent with previous research that has examined the accuracy of the PMV-PPD model. For example, Kim and de Dear [54] evaluated the model accuracy by comparing the relationship between TSV and the portion of thermal dissatisfaction (the same concept as TCA in this study) to the original PMV-PPD model. In both primary and secondary school sub-samples, lower thermal dissatisfaction was reported for extreme votes (cold (−3) and hot (+3)) compared to the PMV-PPD model. The ranges of TSV that could achieve 80% acceptability were also more comprehensive than the PMV-PPD model (PMV-PPD model: −0.8–0.8; primary school: −1.3–+1.3; secondary school: −1.9–+1.0). While primary school samples showed lower discomfort in hot sensations than in cold sensations, the situation was reversed in the case of secondary school samples. The study concluded that school children preferred a slightly cooler than neutral environment due to the minimum level of dissatisfaction reported on the cool side of the TSV scale.
Similarly, Cheung et al. [57] also investigated the accuracy of the PMV-PPD model and found that it provided acceptably accurate predictions for TSV values between −1 and +1. However, the model overestimated thermal dissatisfaction by 21–36% for cold sensations and 20–24% for hot sensations. The study also observed that minimum levels of discomfort were generally reported for cooler sensations in tropical and arid regions. In contrast, minimum dissatisfaction was found for neutral to slightly warm sensations in temperate zones. These findings agreed with the present study conducted in Hong Kong, a sub-tropical region with temperate characteristics during winter. In contrast to the results of the present study, which found lower levels of unacceptability for the neutral sensation, a slightly higher level of dissatisfaction was observed in the relationship between TSV and TCA across most buildings than estimated by PPD.
In an attempt to evaluate the performance of the PMV-PPD model, Van Hoof et al. [58] reviewed the literature to assess the performance of the PMV-PPD model. While some studies have reported the model to be valid, particularly in air-conditioned offices, many other studies have found bias in its application in field settings. The review concluded that the assumption of symmetry in PPD around the optimum thermoneutrality, in which the minimum dissatisfaction is anticipated [9], must be validated in most real-world environments. Specifically, the review found that fewer people were dissatisfied than predicted by the PMV-PPD model on the warmer side of the thermal sensation scale.
While some slight discrepancies may be observed among studies with different databases, it is evident that the PMV-PPD model is not very accurate in predicting thermal comfort acceptability. Specifically, the overestimation of thermal discomfort at the extreme ends of the thermal sensation scale can be explained by the availability of different adaptive opportunities in buildings, which may improve thermal acceptability in the self-reported cooler and warmer sensations [54]. In the present study, the majority (about 70%) of the IEQ data were collected from air-conditioned offices, where less adaptation and higher expectations can be anticipated from building occupants. Therefore, the discrepancy between TCA and PPD was less than in buildings with natural and mixed-mode ventilation [57].
The present and other studies have found an asymmetric relationship between TSV and TCA. A neutral thermal sensation does not necessarily represent the ideal thermal comfort feeling. These findings suggest that the PMV-PPD model may not accurately portray the thermal comfort acceptance of occupants in real-world environments. Therefore, further research is needed to refine and improve thermal comfort models to reflect the complexities of human thermal sensation and adaptation.

4.1.2. Sensitivity toward Various IEQ Domains

The slope term in an LR equation describes the magnitude and direction of the relationship between the predictor variable and the probability of the outcome variable. In contrast, the intercept term represents the average acceptance odds when the sensation equals zero. For easy comparison, the LR models of different IEQ domains were plotted together in Figure 2, assuming that the neutral sensations (0) in thermal and very good (+2) in IAQ aspects could achieve the lowest dissatisfaction, which is equivalent to VisS and AurS = 100. These models were used to assess the effect of changes in sensation on acceptance and to compare the sensitivity of building occupants to different aspects of IEQ.
For thermal comfort, slight differences were observed in the LR models for the cold and hot sides of the thermal sensation scale, indicating slight variations in the rate of change in thermal acceptance given a change in thermal sensation. Specifically, when comparing the LR models for the cold and hot sides of the thermal sensation scale, it was found that building occupants may have a higher tolerance for a hot sensation than a cold sensation. This was indicated by the fact that for the exact change in sensation from cool (−2) or warm (+2) to neutral (0), an increase in acceptance of 61% was anticipated for the cold side. Still, only a decrease of 53% was expected for the hot sensation.
For IAQ, the steep slope in the LR model indicates a strong association between IAQ sensation and acceptance, suggesting that changes in IAQ sensation significantly affect the probability of acceptance. For example, a change in the IAQ sensation from bad (−1) to neutral (0) resulted in a 40% increase in IAQ acceptance. It is also noted that the sensation scale in IAQ is different from the other domains and that if neutral is considered to be the maximum of the IAQ sensation scale, the pattern of the LR model would be more similar to the other domains.
A direct comparison can be made for visual and aural comfort as their sensations are evaluated using the same scale. The LR models demonstrate that building occupants had a higher acceptance of visual comfort than aural comfort, given the same degree of sensation. An increase of 52% in acceptance could be expected, with a rise in aural sensation from 20 to 50. In comparison, only a 34% increase was found in the visual aspect, indicating that the rate of growth in acceptance was higher in the aural aspect than visual.
Overall, assuming the sensations of different aspects take the same scale, high tolerances can be expected for IAQ and aural and visual discomforts, and the building occupants were most sensitive to cold sensations, which had the lowest acceptance among all IEQ aspects. These findings have some implications for the design and operation of buildings, as they highlight the importance of considering different aspects of IEQ and their impact on occupant acceptance and comfort.

4.2. Overall IEQ Prediction

Applying the SMOTE improves model performance in most cases except for the LR model. SMOTE introduces synthetic data to balance the minority class during model training, which leads to the loss of the actual distribution of the data classes. This may cause overfitting of the model and poor generalization performance on the testing data [42].
Applying class weights to LR, SVM, and GB improved prediction performance on the testing dataset, but the performance of RF decreased slightly. The F1 score for unacceptance in predicting the validation dataset decreased from 1 to 0.6 after applying class weights to RF, suggesting that the choice of class weights (inversely proportional to the class frequencies) was not optimal when applied to the RF model. The weights for the unacceptance class may have been too high, leading to the overfitting of the RF model [42]. As a result, the model may have yet to learn from the acceptance class, producing biased predictions effectively.
Threshold tuning gave marginal to no improvement in the prediction performance of the models. The optimal threshold was selected based on the trade-off between correctly classifying the unacceptance class and avoiding too many false positives. The degree of imbalance in the data can significantly affect the effectiveness of threshold tuning [59]. Since the dataset used for model development was highly imbalanced (i.e., 6% unacceptance and 94% acceptance), determining the optimal threshold value could be challenging because there may need to be a clear trade-off point that balances the number of false positives and false negatives. As a result, the optimal threshold value selected for the training dataset may be too specific and may need to be more generalizable to the validation and testing datasets. Performing a grid search over a range of weight values and model thresholds is advised when these treatment techniques are applied. Still, it can be computationally expensive and may only sometimes result in significant performance improvements.
Among all the machine learning models trained with various imbalanced data treatments, RF with SMOTE and LR with class weights best predicted unseen data, suggesting high model generalizability and robustness. However, it is noteworthy that the performance of machine learning algorithms and imbalanced data treatment techniques depends on the specific dataset that represents the unique relationship between overall IEQ acceptance and sensation and acceptance of individual IEQ domains, which in turn is affected by the degree of tolerance and adaptation of building occupants. The choice of technique should be based on a careful evaluation of the performance of different methods on the specific dataset.

5. Conclusions

Climate change, the energy crisis, and global pollution are significant threats to society and the world. These challenges require humans to tolerate and adapt to changing environmental conditions to ensure survival and well-being. Understanding these concepts can inform strategies for managing and mitigating the impact of environmental challenges. Adaptations to indoor environmental conditions have been observed in multiple aspects. However, the relationship between the conditions, the sensations they elicit, and the overall acceptability have yet to be fully explored or quantified.
In this study, regression models were developed to investigate the relationship between environmental sensation and acceptance, reflecting environmental tolerance. Additionally, overall satisfaction machine learning models were established to incorporate the element of environmental tolerance in satisfaction prediction. Based on a regional indoor environmental quality database collected over the years, the relationships between occupants’ sensation and acceptance towards individual environmental aspects, including indoor air quality and thermal, aural, and visual comfort, were examined. It was found that thermal dissatisfaction at the extreme ends of the thermal scale was less than that anticipated by the PMV-PPD model, potentially due to the availability of different adaptive opportunities in buildings. Furthermore, an asymmetric relationship between thermal sensation vote and thermal comfort acceptance was identified, with the lowest thermal unacceptance occurring between neutral and slightly warm sensations, suggesting a higher tolerance for hot sensations than cold sensations by the building occupants. Overall, high tolerances were expected for indoor air quality and aural and visual discomforts, and it was found that the building occupants were most sensitive to cold sensations. These findings highlight the importance of considering environmental tolerance in building design and operation decisions, especially indoor thermal environment design and management. The results suggest that a balance can be achieved between occupant thermal comfort and energy efficiency and that a slightly warmer indoor environment may be tolerable for occupants without depleting their thermal acceptance. These findings have practical implications for energy-saving strategies in buildings and can inform decisions related to building design and operation.
Machine learning models with and without imbalanced data treatments were developed to incorporate the element of environmental tolerance into satisfaction prediction. It was found that highly accurate prediction on the testing dataset was achieved by random forest with oversampling imbalanced data treatment and logistic regression model trained with class weights, indicating high model generalizability and robustness. The models can be applied to various building types and locations. In addition to predicting occupant satisfaction with high accuracy, the models can provide valuable insights into the aspects of indoor environmental quality that are most important to building occupants. This information can help prioritize which aspects of indoor environmental quality to focus on in the design process and which strategies to implement to improve comfort while maintaining energy efficiency.
In conclusion, this study provides insights into indoor environmental tolerance by examining the relationship between environmental sensation and acceptance. The methodologies and models developed can be used to inform the importance of considering environmental tolerance in building design and operation decisions. Overall, the study’s findings have practical implications for improving building performance and enhancing occupant comfort and satisfaction.

Author Contributions

Conceptualization, T.-W.T., K.-W.M. and L.-T.W.; methodology, T.-W.T., K.-W.M. and L.-T.W.; software, T.-W.T.; validation, T.-W.T.; formal analysis, T.-W.T.; investigation, T.-W.T.; resources, K.-W.M. and L.-T.W.; data curation, T.-W.T.; writing—original draft preparation, T.-W.T.; writing—review and editing, K.-W.M. and L.-T.W.; visualization, T.-W.T.; supervision, K.-W.M. and L.-T.W.; project administration, K.-W.M. and L.-T.W.; funding acquisition, K.-W.M. and L.-T.W. All authors have read and agreed to the published version of the manuscript.

Funding

This work was jointly supported by a grant from the Collaborative Research Fund (CRF) COVID-19 and Novel Infectious Disease (NID) Research Exercise and the General Research Fund, the Research Grants Council of the Hong Kong Special Administrative Region, China (project no. PolyU P0033675/C5108-20G and PolyU P0037773/Q86B), the Research Institute for Smart Energy (RISE) Matching Fund (project no. P0038532), and PolyU Internal funding (project no. P0043713/WZ2N and P0043831/CE12).

Institutional Review Board Statement

Not applicable.

Informed Consent Statement

Not applicable.

Data Availability Statement

Data are available upon request.

Conflicts of Interest

The authors declare no conflict of interest. The funders had no role in the study’s design; in the collection, analyses, or interpretation of data; in the writing of the manuscript; or in the decision to publish the results.

References

  1. Bonaiuto, M.; Fornara, F.; Bonnes, M. Cross-cultural analysis of the environmental worldview in relation to ecological and psychosocial indicators. J. Environ. Psychol. 2016, 46, 32–45. [Google Scholar]
  2. He, X.; An, L.; Hong, B.; Huang, B.; Cui, X. Cross-cultural differences in thermal comfort in campus open spaces: A longitudinal field survey in China’s cold region. Build. Environ. 2020, 172, 106739. [Google Scholar] [CrossRef]
  3. Steg, L.; Vlek, C. Encouraging pro-environmental behaviour: An integrative review and research agenda. J. Environ. Psychol. 2009, 29, 309–317. [Google Scholar] [CrossRef]
  4. Gifford, R. Environmental Psychology: Principles and Practice, 5th ed.; Optimal Books: Colville, WA, USA, 2014. [Google Scholar]
  5. Knez, I.; Thorsson, S. Influences of culture and environmental attitude on thermal, emotional and perceptual evaluations of a public square. Int. J. Biometeorol. 2006, 50, 258–268. [Google Scholar] [CrossRef]
  6. Baquero, M.T.; Forcada, N. Thermal comfort of older people during summer in the continental Mediterranean climate. J. Build. Eng. 2022, 54, 104680. [Google Scholar] [CrossRef]
  7. Jian, Y.; Liu, J.; Pei, Z.; Chen, J. Occupants’ tolerance of thermal discomfort before turning on air conditioning in summer and the effects of age and gender. J. Build. Eng. 2022, 50, 104099. [Google Scholar] [CrossRef]
  8. Mui, K.W.; Tsang, T.W.; Wong, L.T.; Yu, Y.P.W. Evaluation of an indoor environmental quality model for very small residential units. Indoor Built Environ. 2019, 28, 470–478. [Google Scholar] [CrossRef]
  9. Fanger, P.O. Thermal comfort. Analysis and applications in environmental engineering. In Thermal Comfort. Analysis and Applications in Environmental Engineering; Danish Technical Press: Copenhagen, Denmark, 1970. [Google Scholar]
  10. Humphreys, M. Outdoor temperatures and comfort indoors. Batiment Int. Build. Res. Pr. 1978, 6, 92. [Google Scholar] [CrossRef]
  11. De Dear, R.; Brager, G.S. Towards an adaptive model of thermal comfort and preference. ASHRAE Trans. 1998, 104, 145–167. [Google Scholar]
  12. Fanger, P.O.; Toftum, J. Extension of the PMV model to non-air-conditioned buildings in warm climates. Energy Build. 2002, 34, 533–536. [Google Scholar] [CrossRef]
  13. Humphreys, M.A.; Nicol, J.F. The validity of ISO-PMV for predicting comfort votes in every-day thermal environments. Energy Build. 2002, 34, 667–684. [Google Scholar] [CrossRef]
  14. Yao, R.; Li, B.; Liu, J. A theoretical adaptive model of thermal comfort–Adaptive Predicted Mean Vote (aPMV). Build. Environ. 2009, 44, 2089–2096. [Google Scholar] [CrossRef]
  15. Langevin, J.; Wen, J.; Gurian, P.L. Modeling thermal comfort holistically: Bayesian estimation of thermal sensation, acceptability, and preference distributions for office building occupants. Build. Environ. 2013, 69, 206–226. [Google Scholar] [CrossRef]
  16. Mui, K.W.; Tsang, T.W.; Wong, L.T. Bayesian updates for indoor thermal comfort models. J. Build. Eng. 2020, 29, 101117. [Google Scholar] [CrossRef]
  17. Cain, W.S. Perception of odor intensity and the time-course of olfactory adaptation. ASHRAE Trans. 1974, 80, 53–75. [Google Scholar]
  18. Ekman, G.; Berglund, B.; Berglund, U.; Lindvall, T. Perceived intensity of odor as a function of time of adaptation. Scand. J. Psychol. 1967, 8, 177–186. [Google Scholar] [CrossRef]
  19. Engen, T. Perception of odor and irritation. Environ. Int. 1986, 12, 177–187. [Google Scholar] [CrossRef]
  20. Gunnarsen, L.; Fanger, P.O. Adaptation to indoor air pollution. Environ. Int. 1992, 18, 43–54. [Google Scholar] [CrossRef]
  21. Khalighinejad, B.; Herrero, J.L.; Mehta, A.D.; Mesgarani, N. Adaptation of the human auditory cortex to changing background noise. Nat. Commun. 2019, 10, 2509. [Google Scholar] [CrossRef]
  22. Lolli, F.; Marinello, S.; Coruzzolo, A.M.; Butturi, M.A. Post-Occupancy Evaluation’s (POE) Applications for Improving Indoor Environment Quality (IEQ). Toxics 2022, 10, 626. [Google Scholar] [CrossRef]
  23. Mui, K.W.; Chan, W.T. A new indoor environmental quality equation for airconditioned buildings. Archit. Sci. Rev. 2005, 48, 41–46. [Google Scholar] [CrossRef]
  24. Wong, L.T.; Mui, K.W.; Hui, P.S. A multivariate-logistic model for acceptance of indoor environmental quality (IEQ) in offices. Build. Environ. 2008, 43, 1–6. [Google Scholar] [CrossRef]
  25. Cao, B.; Ouyang, Q.; Zhu, Y.; Huang, L.; Hu, H.; Deng, G. Development of a multivariate regression model for overall satisfaction in public buildings based on field studies in Beijing and Shanghai. Build. Environ. 2012, 47, 394–399. [Google Scholar] [CrossRef]
  26. Ncube, M.; Riffat, S. Developing an indoor environment quality tool for assessment of mechanically ventilated office buildings in the UK—A preliminary study. Build. Environ. 2012, 53, 26–33. [Google Scholar] [CrossRef]
  27. Heinzerling, D.; Schiavon, S.; Webster, T.; Arens, E. Indoor environmental quality assessment models: A literature review and a proposed weighting and classification scheme. Build. Environ. 2013, 70, 210–222. [Google Scholar] [CrossRef]
  28. Kim, J.; de Dear, R. Nonlinear relationships between individual IEQ factors and overall workspace satisfaction. Build. Environ. 2012, 49, 33–40. [Google Scholar] [CrossRef]
  29. Fassio, F.; Fanchiotti, A.; de Lieto Vollaro, R. Linear, non-linear and alternative algorithms in the correlation of IEQ factors with global comfort: A case study. Sustainability 2014, 6, 8113–8127. [Google Scholar] [CrossRef]
  30. Mihai, T.; Iordache, V. Determining the Indoor Environment Quality for an Educational Building. Energy Procedia 2016, 85, 566–574. [Google Scholar] [CrossRef]
  31. Tang, H.; Ding, Y.; Singer, B. Interactions and comprehensive effect of indoor environmental quality factors on occupant satisfaction. Build. Environ. 2020, 167, 106462. [Google Scholar] [CrossRef]
  32. Buratti, C.; Belloni, E.; Merli, F.; Ricciardi, P. A new index combining thermal, acoustic, and visual comfort of moderate environments in temperate climates. Build. Environ. 2018, 139, 27–37. [Google Scholar] [CrossRef]
  33. Cheung, T.; Schiavon, S.; Graham, L.T.; Tham, K.W. Occupant satisfaction with the indoor environment in seven commercial buildings in Singapore. Build. Environ. 2021, 188, 107443. [Google Scholar] [CrossRef]
  34. Tang, H.; Liu, X.; Geng, Y.; Lin, B.; Ding, Y. Assessing the perception of overall indoor environmental quality: Model validation and interpretation. Energy Build. 2022, 259, 111870. [Google Scholar] [CrossRef]
  35. Hosmer, D.W., Jr.; Lemeshow, S.; Sturdivant, R.X. Applied Logistic Regression, 3rd ed.; John Wiley & Sons: Hoboken, NJ, USA, 2013; pp. 1–33. [Google Scholar]
  36. Wong, L.T.; Mui, K.W.; Tsang, T.W. An open acceptance model for indoor environmental quality (IEQ). Build. Environ. 2018, 142, 371–378. [Google Scholar] [CrossRef]
  37. Cortes, C.; Vapnik, V. Support-vector networks. Mach. Learn. 1995, 20, 273–297. [Google Scholar] [CrossRef]
  38. Loh, W.Y. Classification and regression trees. Wiley Interdiscip. Rev. Data Min. Knowl. Discov. 2011, 1, 14–23. [Google Scholar] [CrossRef]
  39. Breiman, L. Random forests. Mach. Learn. 2001, 45, 5–32. [Google Scholar] [CrossRef]
  40. Friedman, J.H. Greedy function approximation: A gradient boosting machine. Ann. Stat. 2001, 29, 1189–1232. [Google Scholar] [CrossRef]
  41. Murphy, K.P. Naive Bayes Classifiers; University of British Columbia: Vancouver, BC, Canada, 2006; Volume 18, pp. 1–8. [Google Scholar]
  42. He, H.; Garcia, E.A. Learning from imbalanced data. IEEE Trans. Knowl. Data Eng. 2009, 21, 1263–1284. [Google Scholar]
  43. Chawla, N.V.; Bowyer, K.W.; Hall, L.O.; Kegelmeyer, W.P. SMOTE: Synthetic minority over-sampling technique. J. Artif. Intell. Res. 2002, 16, 321–357. [Google Scholar] [CrossRef]
  44. Sun, Y.; Wong, A.K.; Kamel, M.S. Classification of imbalanced data: A review. Int. J. Pattern Recognit. Artif. Intell. 2009, 23, 687–719. [Google Scholar] [CrossRef]
  45. Powers, D.M. Evaluation: From precision, recall and F-measure to ROC, informedness, markedness and correlation. J. Mach. Learn. Technol. 2011, 2, 37–63. [Google Scholar]
  46. Rokach, L. Ensemble-based classifiers. Artif. Intell. Rev. 2010, 33, 1–39. [Google Scholar] [CrossRef]
  47. Breiman, L. Bagging predictors. Mach. Learn. 1996, 24, 123–140. [Google Scholar] [CrossRef]
  48. Freund, Y.; Schapire, R.E. A decision-theoretic generalization of on-line learning and an application to boosting. J. Comput. Syst. Sci. 1997, 55, 119–139. [Google Scholar] [CrossRef]
  49. Galar, M.; Fernandez, A.; Barrenechea, E.; Bustince, H.; Herrera, F. A review on ensembles for the class imbalance problem: Bagging-, boosting-, and hybrid-based approaches. IEEE Trans. Syst. Man Cybern. Part C Appl. Rev. 2011, 42, 463–484. [Google Scholar] [CrossRef]
  50. Tax, D.M.; Duin, R.P. Support vector data description. Mach. Learn. 2004, 54, 45–66. [Google Scholar] [CrossRef]
  51. Liu, F.T.; Ting, K.M.; Zhou, Z.H. Isolation forest. In Proceedings of the 2008 Eighth IEEE International Conference on Data Mining, Pisa, Italy, 15–19 December 2008; pp. 413–422. [Google Scholar]
  52. Breunig, M.M.; Kriegel, H.P.; Ng, R.T.; Sander, J. LOF: Identifying density-based local outliers. In Proceedings of the 2000 ACM SIGMOD International Conference on Management of Data, Dallas, TX, USA, 16–18 May 2000; pp. 93–104. [Google Scholar]
  53. Wang, C.; Wang, B.; Liu, H.; Qu, H. Anomaly detection for industrial control system based on autoencoder neural network. Wirel. Commun. Mobile Comput. 2020, 2020, 1–10. [Google Scholar] [CrossRef]
  54. Kim, J.; de Dear, R. Thermal comfort expectations and adaptive behavioural characteristics of primary and secondary school students. Build. Environ. 2018, 127, 13–22. [Google Scholar] [CrossRef]
  55. Cheung, T.; Schiavon, S.; Parkinson, T.; Li, P.; Brager, G. Analysis of the accuracy on PMV–PPD model using the ASHRAE Global Thermal Comfort Database II. Build. Environ. 2019, 153, 205–217. [Google Scholar] [CrossRef]
  56. Van Hoof, J.; Mazej, M.; Hensen, J.L. Thermal comfort: Research and practice. Front. Biosci. 2010, 15, 765–788. [Google Scholar] [CrossRef]
  57. Kotsiantis, S.; Kanellopoulos, D.; Pintelas, P. Handling imbalanced datasets: A review. GESTS Int. Trans. Comput. Sci. Eng. 2006, 30, 25–36. [Google Scholar]
  58. Asif, A.; Zeeshan, M.; Khan, S.R.; Sohail, N.F. Investigating the gender differences in indoor thermal comfort perception for summer and winter seasons and comparison of comfort temperature prediction methods. J. Therm. Biol. 2022, 110, 103357. [Google Scholar] [CrossRef] [PubMed]
  59. Rupp, R.F.; Vásquez, N.G.; Lamberts, R. A review of human thermal comfort in the built environment. Energy Build. 2015, 105, 178–205. [Google Scholar] [CrossRef]
Figure 1. Logistic regression model for environmental sensation and acceptance of (a) thermal comfort; (b) indoor air quality (IAQ); (c) visual comfort; (d) aural comfort. Note: TC—thermal comfort; PPD—predicted percentage dissatisfaction; IAQA—indoor air quality acceptance; VisS—visual comfort sensation; VisA—visual comfort acceptance; AurS—aural comfort sensation; AurA—aural comfort acceptance.
Figure 1. Logistic regression model for environmental sensation and acceptance of (a) thermal comfort; (b) indoor air quality (IAQ); (c) visual comfort; (d) aural comfort. Note: TC—thermal comfort; PPD—predicted percentage dissatisfaction; IAQA—indoor air quality acceptance; VisS—visual comfort sensation; VisA—visual comfort acceptance; AurS—aural comfort sensation; AurA—aural comfort acceptance.
Sustainability 15 11094 g001
Figure 2. Logistic regression models for environmental sensation and acceptance of the four indoor environmental quality domains. Note: TC—thermal comfort; IAQ—indoor air quality.
Figure 2. Logistic regression models for environmental sensation and acceptance of the four indoor environmental quality domains. Note: TC—thermal comfort; IAQ—indoor air quality.
Sustainability 15 11094 g002
Table 1. Summary of IEQ database for model development.
Table 1. Summary of IEQ database for model development.
TSVTSV CountTCA Count (Avg. %)IEQ Acceptance Count (Avg. %)
−3270 (0%)22 (81%)
−24119 (46%)41 (100%)
−17660 (79%)75 (99%)
0228228 (100%)222 (97%)
13328 (85%)31 (94%)
265 (83%)5 (83%)
3240 (0%)11 (46%)
total435340 (78%)407 (94%)
IAQSIAQS countIAQA count (Avg. %)IEQ acceptance count (Avg. %)
−2240 (0%)13 (54%)
−18451 (61%)73 (87%)
0268268 (100%)262 (98%)
15757 (100%)57 (100%)
222 (100%)2 (100%)
total435378 (87%)407 (94%)
VisSVisS countVisA count (Avg. %)IEQ acceptance count (Avg. %)
0–2021 (50%)2 (100%)
21–40169 (56%)10 (63%)
41–60187176 (94%)176 (94%)
61–80137136 (99%)132 (96%)
81–1009393 (100%)87 (94%)
total435415 (95%)407 (94%)
AurSAurS countAurA count (Avg. %)IEQ acceptance count (Avg. %)
0–2031 (33%)2 (67%)
21–40176 (35%)10 (59%)
41–60199188 (94%)187 (94%)
61–80130127 (98%)125 (96%)
81–1008685 (99%)83 (97%)
total435407 (94%)407 (94%)
Note: TSV—thermal sensation vote; TCA—thermal comfort acceptance; IAQS—indoor air quality sensation; IAQA—indoor air quality acceptance; VisS—visual comfort sensation; VisA—visual comfort acceptance; AurS—aural comfort sensation; AurA—aural comfort acceptance; IEQ—indoor environmental quality.
Table 2. Summary of IEQ database for model testing.
Table 2. Summary of IEQ database for model testing.
TSVTSV CountTCA Count (Avg. %)IEQ Acceptance Count (Avg. %)
−321 (50%)0 (0%)
−232 (66.7%)2 (67%)
−1108 (80%)9 (90%)
0109 (90%)9 (90%)
132 (67%)2 (67%)
211 (100%)1 (100%)
310 (0%)0 (0%)
total3023 (77%)23 (77%)
IAQSIAQS countIAQA count (Avg. %)IEQ acceptance count (Avg. %)
−232 (67%)1 (33%)
−141 (25%)0 (0%)
01312 (92%)12 (92%)
177 (100%)7 (100%)
233 (100%)3 (100%)
total3025 (83%)23 (77%)
VisSVisS countVisA count (Avg. %)IEQ acceptance count (Avg. %)
0–200NANA
21–4010 (0%)1 (100%)
41–60107 (70%)5 (50%)
61–8055 (100%)4 (80%)
81–1001414 (100%)13 (93%)
total3026 (87%)23 (77%)
AurSAurS countAurA count (Avg. %)IEQ acceptance count (Avg. %)
0–2030 (0%)0 (0%%)
21–4042 (50%)1 (25%)
41–6088 (100%)8 (100%)
61–801111 (100%)10 (91%)
81–10044 (100%)4 (100%)
total3025 (83%)23 (77%)
Note: TSV—thermal sensation vote; TCA—thermal comfort acceptance; IAQS—indoor air quality sensation; IAQA—indoor air quality acceptance; VisS—visual comfort sensation; VisA—visual comfort acceptance; AurS—aural comfort sensation; AurA—aural comfort acceptance; IEQ—indoor environmental quality.
Table 3. Logistic regression equations and F1 scores for the four IEQ domains.
Table 3. Logistic regression equations and F1 scores for the four IEQ domains.
IEQ DomainLogistic Regression EquationF1 Score
Thermal comfort (cold side)TCA = 1/{1 + exp[− (4.22 + 2.37 × TSV)]}0.94
Thermal comfort (hot side)TCA = 1/{1 + exp[− (4.94 − 2.54 × TSV)]}0.98
IAQIAQA = 1/{1 + exp[− (4.05 + 3.73 × IAQS)]}0.98
Visual comfortVisA = 1/{1 + exp[− (−1.29 + 0.09 × VisS)]}0.98
Aural comfortAurA = 1/{1 + exp[− (−2.34 + 0.10 × AurS)]}0.97
Note: TSV—thermal sensation vote; TCA—thermal comfort acceptance; IAQS—indoor air quality sensation; IAQA—indoor air quality acceptance; VisS—visual comfort sensation; VisA—visual comfort acceptance; AurS—aural comfort sensation; AurA—aural comfort acceptance; IEQ—indoor environmental quality.
Table 4. Descriptions of the machine learning models for overall IEQ acceptance prediction.
Table 4. Descriptions of the machine learning models for overall IEQ acceptance prediction.
ModelsHyperparameters
Logistic regression (LR)Regularization strength (“C” parameter) = 1.0
Support vector machine (SVM)Regularization strength (“C” parameter) = 1.0
Kernel coefficient (“gamma” parameter) = scale
Decision tree (DT)Maximum depth of the tree = none
Minimum number of samples required to split an internal node = 2
Minimum number of samples needed to be at a leaf node = 1
The criterion for measuring the quality of a split = gini impurity
Random forest (RF)Maximum depth of the trees = none
Minimum number of samples required to split an internal node = 2
Minimum number of samples needed to be at a leaf node = 1
The criterion for measuring the quality of a split = gini impurity
Number of trees in the forest = 100
Number of features to consider for the best split = all
Gradient boosting (GB)Learning rate = 0.1
Maximum depth of the trees = 3
One-class SVMFraction of training samples considered as outliers (“nu” parameter) = 0.1
Isolation forest (IF)The expected proportion of outliers = 0.1
Local outlier factor (LOF)Number of neighbors for estimating the local density = 20
Autoencoder (AC)Size of the bottleneck layer = 32
Loss function = mean squared error (MSE)
Optimization algorithm = Adam optimizer (learning rate = 0.001; momentum = 0.9; decay rates = 0.0)
Table 5. Model performance for overall indoor environmental quality (IEQ) acceptance prediction based on sensation and acceptance of individual IEQ domains.
Table 5. Model performance for overall indoor environmental quality (IEQ) acceptance prediction based on sensation and acceptance of individual IEQ domains.
DatasetValidation DatasetTesting Dataset Validation DatasetTesting Dataset
MetricsAccuracyF1 ScoreAccuracyF1 Score AccuracyF1 ScoreAccuracyF1 Score
Logistic regression (LR)Random forest (RF)
No data treatment0.99 0.90 No data treatment1 0.87
Unacceptance 0.91 0.73Unacceptance 1 0.6
Acceptance 0.99 0.94Acceptance 1 0.92
Resampling0.99 0.87 Resampling0.98 0.97
Unacceptance 0.91 0.67Unacceptance 0.75 0.93
Acceptance 0.99 0.82Acceptance 0.99 0.98
Weighting0.94 0.93 Weighting0.95 0.83
Unacceptance 0.67 0.88Unacceptance 0.60 0.44
Acceptance 0.97 0.95Acceptance 0.98 0.90
Threshold tuning (Optimal = 0.6)0.99 0.9 Threshold tuning (Optimal = 0.5)0.99 0.87
Unacceptance 0.91 0.73Unacceptance 0.89 0.60
Acceptance 0.99 0.94Acceptance 0.99 0.92
Support vector machine (SVM)Gradient boosting (GB)
No data treatment0.94 0.77 No data treatment1 0.83
Unacceptance 0 0Unacceptance 1 0.44
Acceptance 0.97 0.87Acceptance 1 0.90
Resampling0.90 0.80 Resampling0.98 0.87
Unacceptance 0.40 0.67Unacceptance 0.80 0.71
Acceptance 0.94 0.86Acceptance 0.99 0.91
Weighting0.64 0.77 Weighting0.92 0.87
Unacceptance 0.16 0.63Unacceptance 0.59 0.71
Acceptance 0.77 0.83Acceptance 0.96 0.91
Threshold tuning (Optimal = 0.9)0.98 0.77 Threshold tuning (Optimal = 0.1)0.98 0.87
Unacceptance 0.83 0Unacceptance 0.75 0.60
Acceptance 0.99 0.87Acceptance 0.99 0.92
Decision tree (DT)Naïve Bayes (NB)
No data treatment1 0.87 No data treatment0.85 0.57
Unacceptance 1 0.6Unacceptance 0.43 0.52
Acceptance 1 0.92Acceptance 0.91 0.61
Resampling0.97 0.9 Resampling0.89 0.57
Unacceptance 0.73 0.73Unacceptance 0.50 0.52
Acceptance 0.98 0.94Acceptance 0.94 0.61
Weighting0.94 0.87 Weighting0.61 0.57
Unacceptance 0.62 0.60Unacceptance 0.23 0.52
Acceptance 0.97 0.92Acceptance 0.74 0.61
Threshold tuning (Optimal = 0.1)0.95 0.90 Threshold tuning (Optimal = 0.1)0.86 0.87
Unacceptance 0.67 0.73Unacceptance 0.45 0.52
Acceptance 0.98 0.94Acceptance 0.92 0.61
Bagging0.88 0.57 One-class SVM0.25 0.40
Unacceptance 0.89 0.52Unacceptance 0.11 0.36
Acceptance 0.99 0.61Acceptance 0.36 0.44
AdaBoost0.97 0.57 Isolation forest (IF)0.72 0.2
Unacceptance 0.73 0.52Unacceptance 0.29 0.33
Acceptance 0.98 0.61Acceptance 0.83 0
Easy Ensemble0.80 0.57 Local outlier factor (LOF)0.06 0.23
Unacceptance 0.37 0.52Unacceptance 0.11 0.38
Acceptance 0.88 0.61Acceptance 0 0
Balanced Bagging0.57 0.57 Autoencoder (AC)0.15 0.33
Unacceptance 0.52 0.52Unacceptance 0.12 0.41
Acceptance 0.61 0.61Acceptance 0.18 0.23
Disclaimer/Publisher’s Note: The statements, opinions and data contained in all publications are solely those of the individual author(s) and contributor(s) and not of MDPI and/or the editor(s). MDPI and/or the editor(s) disclaim responsibility for any injury to people or property resulting from any ideas, methods, instructions or products referred to in the content.

Share and Cite

MDPI and ACS Style

Tsang, T.-W.; Mui, K.-W.; Wong, L.-T. Adaption and Tolerance in Built Environment—An Evaluation of Environmental Sensation, Acceptance and Overall Indoor Environmental Quality (IEQ) in a Subtropical Region. Sustainability 2023, 15, 11094. https://doi.org/10.3390/su151411094

AMA Style

Tsang T-W, Mui K-W, Wong L-T. Adaption and Tolerance in Built Environment—An Evaluation of Environmental Sensation, Acceptance and Overall Indoor Environmental Quality (IEQ) in a Subtropical Region. Sustainability. 2023; 15(14):11094. https://doi.org/10.3390/su151411094

Chicago/Turabian Style

Tsang, Tsz-Wun, Kwok-Wai Mui, and Ling-Tim Wong. 2023. "Adaption and Tolerance in Built Environment—An Evaluation of Environmental Sensation, Acceptance and Overall Indoor Environmental Quality (IEQ) in a Subtropical Region" Sustainability 15, no. 14: 11094. https://doi.org/10.3390/su151411094

APA Style

Tsang, T.-W., Mui, K.-W., & Wong, L.-T. (2023). Adaption and Tolerance in Built Environment—An Evaluation of Environmental Sensation, Acceptance and Overall Indoor Environmental Quality (IEQ) in a Subtropical Region. Sustainability, 15(14), 11094. https://doi.org/10.3390/su151411094

Note that from the first issue of 2016, this journal uses article numbers instead of page numbers. See further details here.

Article Metrics

Back to TopTop