Do Changes in Attribute Weights between Two Platforms Alter Interplay Effects in the O2O Era? Two Time-Lag Intervals in the Tourism Sector
Abstract
1. Introduction
2. Theoretical Background
2.1. The Evolution of Hotel and Website Attribute Weights
2.2. The Dynamics of the Satisfaction–Loyalty Intentions Link
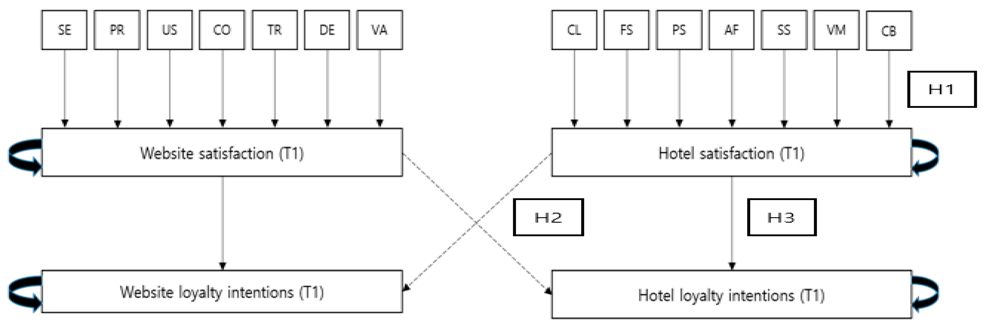
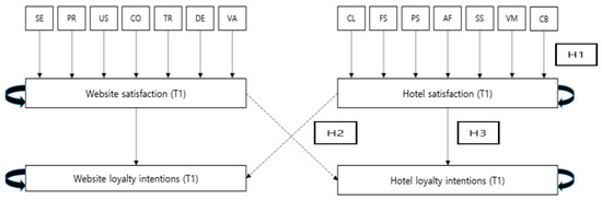
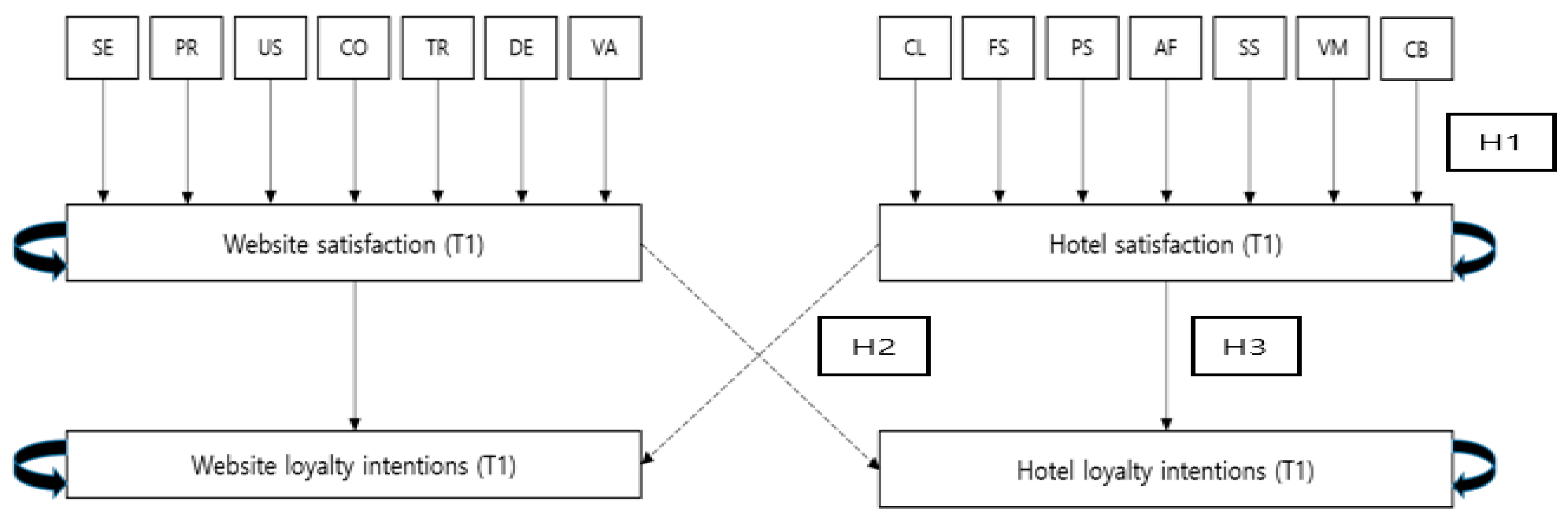
3. Methodology
3.1. Measurement Development Process
3.2. Data Collection
3.3. Measures
3.4. Response and Measurement Bias Checks
3.5. Measurement Comparison
4. Results
4.1. Measure Validation
4.2. Testing the Structural Model with Temporal and Crossover Effects
5. Discussion
- The relationship between attribute-level ratings and satisfaction, which has not been fully examined in previous studies, is dynamic for both tourism websites and hotels. The weights of 10 (71.4%) of the 14 attributes investigated in this study shifted significantly across two time intervals. In particular, changes in online tourism website attributes were more dynamic than changes in hotel attributes.
- The interplay effect between tourism websites and hotels was strong. While the tourism website satisfaction–hotel loyalty intentions linkage strengthened over time, the hotel satisfaction–tourism website loyalty intentions linkage decreased during the same period.
- Temporal effects also occurred, but they differed between the two platforms. In the case of online tourism websites, the relationship between satisfaction and loyalty intentions strengthened, whereas the same relationship for hotels weakened over time. In addition, the carryover effects of all variables were insignificant.
5.1. Theoretical and Practical Implications
5.2. Conclusions
Author Contributions
Funding
Institutional Review Board Statement
Informed Consent Statement
Data Availability Statement
Conflicts of Interest
References
- Chen, C.C.; Hsiao, K.L.; Hsieh, C.H. Understanding usage transfer behavior of two way O2O services. Comput. Hum. 2019, 100, 184–191. [Google Scholar] [CrossRef]
- He, Z.; Cheng, T.C.E.; Dong, J.; Wang, S. Evolutionary location and pricing strategies for service merchants in competitive O2O markets. Eur. J. Oper. Res. 2016, 254, 595–609. [Google Scholar] [CrossRef]
- Talwar, M.; Talwar, S.; Kaur, P.; Tripathy, N.; Dhir, A. Has financial attitude impacted the trading activity of retail investors during the COVID-19 pandemic? J. Retail. Consum. Serv. J. 2021, 58, 102341. [Google Scholar] [CrossRef]
- Chen, X.; Sarkar, S.; Lotfi, M.H. The interplay of competition and cooperation among service providers. IEEE Trans. Netw. Sci. Eng. 2020, 7, 2815–2829. [Google Scholar] [CrossRef]
- Roh, M.; Park, K. Adoption of O2O food delivery services in South Korea: The moderating role of moral obligation in meal preparation. Int. J. Inf. Manag. 2019, 47, 262–273. [Google Scholar] [CrossRef]
- Zeithaml, V.A.; Berry, L.L.; Parasuraman, A. The behavioral consequences of service quality. J. Mark. 1996, 60, 31–46. [Google Scholar] [CrossRef]
- Cassab, H. Investigating the dynamics of service attributes in multi-channel environments. J. Retail. Consum. Serv. 2009, 16, 25–30. [Google Scholar] [CrossRef]
- Mittal, V.; Kumar, P.; Tsiros, M. Attribute-level performance, satisfaction, and behavioral intentions over time: A consumption-system approach. J. Mark. 1999, 63, 88–101. [Google Scholar] [CrossRef]
- Zhang, Y.; Ha, H. Do consumers really value all destination attributes equally over time? the dynamic nature of individual-level attributes and their outcomes. Curr. Issues Tour. 2022, 26, 2467–2478. [Google Scholar] [CrossRef]
- Ha, H.; Kitchen, P.J. Positive crossover loyalty shifts or negative temporal changes? The evolution of shopping mechanism in the O2O era. Eur. J. Mark. 2020, 54, 1383–1405. [Google Scholar] [CrossRef]
- Millar, M.; Baloglu, S. Hotel guests’ preferences for green guest room attributes. Cornell Hosp. Q. 2011, 52, 302–311. [Google Scholar] [CrossRef]
- Rhee, H.T.; Yang, S.B. Does hotel attribute importance differ by hotel? Focusing on hotel star-classifications and customers’ overall ratings. Comput. Hum. Behav. 2015, 50, 576–587. [Google Scholar] [CrossRef]
- Ha, H. The effects of online shopping attributes on satisfaction-purchase intention link: A longitudinal study. Int. J. Consum. Stud. 2012, 36, 327–334. [Google Scholar] [CrossRef]
- Jang, S.; Liu, T.; Kang, J.H.; Yang, H. Understanding important hotel attributes from the consumer perspective over time. Australas. Mark. J. 2018, 26, 23–30. [Google Scholar] [CrossRef]
- Johnson, M.D.; Fornell, C. A framework for comparing customer satisfaction across individuals and product categories. J. Econ. Psychol. 1991, 12, 267–286. [Google Scholar] [CrossRef]
- Lemon, K.N.; Verhoef, P.C. Understanding customer experience throughout the customer journey. J. Mark. 2016, 80, 69–96. [Google Scholar] [CrossRef]
- Oliver, R.L. A cognitive model of the antecedents and consequences of satisfaction decisions. J. Mark. Res. 1980, 17, 460–469. [Google Scholar] [CrossRef]
- Bassi, F.; Guido, G. Measuring customer satisfaction: From product performance to consumption experience. J. Consum. Satisf. Dissatisfaction Complain. Behav. 2006, 19, 76–88. [Google Scholar]
- Ofir, C.; Simonson, I. The effect of stating expectations on customer satisfaction and shopping experience. J. Mark. Res. 2007, 44, 164–174. [Google Scholar] [CrossRef]
- Mittal, V.; Katrichis, J.M.; Kumar, P. Attribute performance and customer satisfaction over time: Evidence from two field studies. J. Serv. Mark. 2001, 15, 343–356. [Google Scholar] [CrossRef]
- Deng, W.J.; Kuo, Y.F.; Chen, W.C. Revised importance–performance analysis: Three-factor theory and benchmarking. Serv. Ind. J. 2008, 28, 37–51. [Google Scholar] [CrossRef]
- Chang, Y.W.; Hsu, P.Y.; Lan, Y.C. Cooperation and competition between online travel agencies and hotels. Tour. Manag. 2019, 71, 187–196. [Google Scholar] [CrossRef]
- Crnojevac, I.H.; Gugić, J.; Karlovčan, S. eTourism: A comparison of online and offline bookings and the importance of hotel attributes. J. Inf. Organ. Sci. 2010, 34, 41–54. [Google Scholar]
- OTA vs. Direct Booking: What Is the Best Option in 2022. Available online: https://www.trekksoft.com/en/blog/ota-vs-direct-booking-what-is-the-best-option-in-2022 (accessed on 1 April 2023).
- The U.S. Online Travel Agency Market Report. Available online: https://www.phocuswright.com/Content/GenericPage.aspx?ptgpk=57892966&requrl=/Travel-Research/Market-Overview-Sizing/US-Online-Travel-Agency-Market-Report-2021-to-2025&noaccess=1 (accessed on 1 April 2023).
- Ahn, T.; Ryu, S.; Han, I. The impact of the online and offline features on the user acceptance of Internet shopping malls. Electron. Commer. Res. Appl. 2004, 3, 405–420. [Google Scholar] [CrossRef]
- Baniya, R.; Thapa, P. Hotel attributes influencing international tourists’ satisfaction and loyalty. J. Tour. Hosp. Educ. 2017, 7, 44–61. [Google Scholar] [CrossRef]
- Barreda, A.; Bilgihan, A. An analysis of user-generated content for hotel experiences. J. Hosp. Tour. Technol. 2013, 4, 263–280. [Google Scholar] [CrossRef]
- Choi, T.Y.; Chu, R. Determinants of hotel guests’ satisfaction and repeat patronage in the Hong Kong hotel industry. Int. J. Hosp. Manag. 2001, 20, 277–297. [Google Scholar] [CrossRef]
- Han, H.; Hsu, L.T.J.; Lee, J.S. Empirical investigation of the roles of attitudes toward green behaviors, overall image, gender, and age in hotel customers’ eco-friendly decision-making process. Int. J. Hosp. Manag. 2009, 28, 519–528. [Google Scholar] [CrossRef]
- Heung, V.C. Satisfaction levels of mainland Chinese travelers with Hong Kong hotel services. Int. J. Contemp. Hosp. Manag. 2000, 12, 308–315. [Google Scholar] [CrossRef]
- Kim, D.; Perdue, R.R. The effects of cognitive, affective, and sensory attributes on hotel choice. Int. J. Hosp. Manag. 2013, 35, 246–257. [Google Scholar] [CrossRef]
- Li, H.; Ye, Q.; Law, R. Determinants of customer satisfaction in the hotel industry: An application of online review analysis. Asia Pac. J. Tour. Res. 2013, 18, 784–802. [Google Scholar] [CrossRef]
- Magnini, V.P.; Crotts, J.C.; Zehrer, A. Understanding customer delight: An application of travel blog analysis. J. Travel Res. 2011, 50, 535–545. [Google Scholar] [CrossRef]
- Shanka, T.; Taylor, R. An investigation into the perceived importance of service and facility attributes to hotel satisfaction. J. Qual. Assur. 2004, 4, 119–134. [Google Scholar] [CrossRef]
- Spoerr, D. Factor analysis of hotel selection attributes and their significance for different groups of German leisure travelers. J. Qual. Assur. 2021, 22, 312–335. [Google Scholar] [CrossRef]
- Au, N.; Law, R.; Buhalis, D. Complaints on the online environment: The case of Hong Kong hotels. Inf. Commun. Technol. Tour. 2014, 15, 1–27. [Google Scholar]
- Hua, W.; Chan, A.; Mao, Z. Critical success factors and customer expectation in budget hotel segment—A case study of China. J. Qual. Assur. 2009, 10, 59–74. [Google Scholar] [CrossRef]
- Ramanathan, R. An exploratory study of marketing, physical and people related performance criteria in hotels. Int. J. Contemp. Hosp. Manag. 2012, 24, 44–61. [Google Scholar] [CrossRef]
- Rondan-Cataluña, F.J.; Rosa-Diaz, I.M. Segmenting hotel clients by pricing variables and value for money. Curr. Issues Tour. 2014, 17, 60–71. [Google Scholar] [CrossRef]
- Jiang, P.; Rosenbloom, B. Customer intention to return online: Price perception, attribute-level performance, and satisfaction unfolding over time. Eur. J. Mark. 2005, 39, 150–174. [Google Scholar] [CrossRef]
- Wong, J.; Law, R. Analysing the intention to purchase on hotel websites: A study of travellers to Hong Kong. Int. J. Hosp. Manag. 2005, 24, 311–329. [Google Scholar] [CrossRef]
- Childers, T.L.; Carr, C.L.; Peck, J.; Carson, S. Hedonic and utilitarian motivations for online retail shopping behavior. J. Retail. 2001, 77, 511–535. [Google Scholar] [CrossRef]
- Constantinides, E. Influencing the online consumer’s behavior: The Web experience. Internet Res. 2004, 14, 111–126. [Google Scholar] [CrossRef]
- Koo, D.M.; Kim, J.J.; Lee, S.H. Personal values as underlying motives of shopping online. Asia Pac. J. Mark. Logist. 2008, 20, 156–173. [Google Scholar] [CrossRef]
- Liang, T.P.; Lai, H.J. Effect of store design on consumer purchases: An empirical study of on-line bookstores. Inf. Manag. 2002, 39, 431–444. [Google Scholar] [CrossRef]
- Lim, H.; Dubinsky, A.J. Consumers’ perceptions of e-shopping characteristics: An expectancy-value approach. J. Serv. Mark. 2004, 18, 500–514. [Google Scholar] [CrossRef]
- Liu, C.; Arnett, K.P. Exploring the factors associated with Web site success in the context of electronic commerce. Inf. Manag. 2004, 38, 23–33. [Google Scholar] [CrossRef]
- Liu, C.T.; Guo, Y.M. Validating the end-user computing satisfaction instrument for online shopping systems. J. Organ. End User Comput. 2008, 20, 74–96. [Google Scholar] [CrossRef]
- Ranganathan, C.; Ganapathy, S. Key dimensions of business-to-consumer web sites. Inf. Manag. 2002, 39, 23–33. [Google Scholar] [CrossRef]
- Sam, C.Y.; Sharma, C. An exploration into the factors driving consumers in Singapore towards or away from the adoption of online shopping. Glob.Bus. Manag. Res. 2015, 7, 60–73. [Google Scholar]
- Shih, H.P. An empirical study on predicting user acceptance of e-shopping on the Web. Inf. Manag. 2004, 41, 351–368. [Google Scholar] [CrossRef]
- Wang, Y.D.; Emurian, H.H. An overview of online trust: Concepts, elements, and implications. Comput. Hum. Behav. 2005, 21, 105–125. [Google Scholar] [CrossRef]
- Ferraz, R.M.; da Veiga, C.P.; da Veiga, C.R.P.; Furquim, T.S.G.; da Silva, W.V. After-sales attributes in E-commerce: A systematic literature review and future research agenda. J. Theor. Appl. Electron. Commer. Res. 2023, 18, 475–500. [Google Scholar] [CrossRef]
- Sheth, J.N.; Mittal, B. A framework for managing customer expectations. J. Mark.-Focused. Manag. 1996, 1, 137–159. [Google Scholar] [CrossRef]
- Ford, G.T.; Smith, D.B.; Swasy, J.L. An empirical test of the search, experience and credence attribute framework. Adv. Consum. Res. 1988, 15, 239–244. [Google Scholar]
- Parasuraman, A.; Zeithaml, V.A.; Berry, L.L. A conceptual model of service quality and its implications for future research. J. Mark. 1985, 49, 41–50. [Google Scholar] [CrossRef]
- Powpaka, S. The role of outcome quality as a determinant of overall service quality in different categories of services industries: An empirical investigation. J. Serv. Mark. 1996, 10, 5–25. [Google Scholar] [CrossRef]
- Hennig-Thurau, T.; Klee, A. The impact of customer satisfaction and relationship quality on customer retention: A critical reassessment and model development. Psychol. Mark. 1997, 14, 737–764. [Google Scholar] [CrossRef]
- Ogunnaike, O.O.; Agada, S.A.; Ighomereho, O.S.; Borishade, T.T. Social and cultural experiences with loyalty towards hotel services: The mediating role of customer satisfaction. Sustainability 2022, 14, 8789. [Google Scholar] [CrossRef]
- Oliver, R.L. Whence consumer loyalty? J. Mark. 1999, 63, 33–44. [Google Scholar] [CrossRef]
- Bowen, J.T.; Chen, S.L. The relationship between customer loyalty and customer satisfaction. Int. J. Contemp. Hosp. Manag. 2001, 13, 213–217. [Google Scholar] [CrossRef]
- Strenitzerová, M.; Gaňa, J. Customer satisfaction and loyalty as a part of customer-based corporate sustainability in the sector of mobile communications services. Sustainability 2018, 10, 1657. [Google Scholar] [CrossRef]
- Chi, C.G.; Gursoy, D. Employee satisfaction, customer satisfaction, and financial performance: An empirical examination. Int. J. Hosp. Manag. 2009, 28, 245–253. [Google Scholar] [CrossRef]
- Hallowell, R. The relationships of customer satisfaction, customer loyalty, and profitability: An empirical study. Int. J. Serv. Ind. Manag. 1996, 7, 27–42. [Google Scholar] [CrossRef]
- Phan, T.T.H.; Tran, H.X.; Le, T.T.; Nguyen, N.; Pervan, S.; Tran, M.D. The relationship between sustainable development practices and financial performance: A case study of textile firms in Vietnam. Sustainability 2020, 12, 5930. [Google Scholar] [CrossRef]
- Reichheld, F.; Sasser, W.E. Zero defections: Quality comes to services. Harv. Bus. Rev. 1990, 68, 105–111. [Google Scholar]
- Prescription for Cutting Costs: Loyal Relationship. Available online: https://media.bain.com/Images/BB_Prescription_cutting_costs.pdf (accessed on 1 April 2023).
- Berry, L.L. Relationship marketing of services: Growing interest, emerging perspectives. J. Acad. Mark. Sci. 1995, 23, 236–245. [Google Scholar] [CrossRef]
- Tepeci, M. Increasing brand loyalty in the hospitality industry. Int. J. Contemp. Hosp. Manag. 1999, 11, 223–230. [Google Scholar] [CrossRef]
- Guadagni, P.M.; Little, J.D. A logit model of brand choice calibrated on scanner data. Mark. Sci. 2008, 27, 29–48. [Google Scholar] [CrossRef]
- Krishnamurthi, L.; Raj, S.P. An empirical analysis of the relationship between brand loyalty and consumer price elasticity. Mark. Sci. 1991, 10, 172–183. [Google Scholar] [CrossRef]
- Reichheld, F. Loyalty and the renaissance of marketing. Mark. Manag. 1994, 2, 10–21. [Google Scholar]
- Srinivasan, S.S.; Anderson, R.; Ponnavolu, K. Customer loyalty in e-commerce: An exploration of its antecedents and consequences. J. Retail. 2002, 78, 41–50. [Google Scholar] [CrossRef]
- Slotegraaf, R.J.; Inman, J.J. Longitudinal shifts in the drivers of satisfaction with product quality: The role of attribute resolvability. J. Mark. Res. 2004, 41, 269–280. [Google Scholar] [CrossRef]
- Bolton, R.N.; Lemon, K.N. A dynamic model of customers’ usage of services: Usage as an antecedent and consequence of satisfaction. J. Mark. Res. 1999, 36, 171–186. [Google Scholar]
- Johnson, M.S.; Garbarino, E.; Sivadas, E. Influences of customer differences of loyalty, perceived risk and category experience on customer satisfaction ratings. Int. J. Mark. Res. 2006, 48, 601–622. [Google Scholar] [CrossRef]
- Oliva, T.A.; Oliver, R.L.; MacMillan, I.C. A catastrophe model for developing service satisfaction strategies. J. Mark. 1992, 56, 83–95. [Google Scholar] [CrossRef]
- Xia, H.; Pan, X.; Zhou, Y.; Zhang, Z.J. Creating the best first impression: Designing online product photos to increase sales. Decis. Support Syst. 2020, 131, 113235. [Google Scholar] [CrossRef]
- Gunaydin, G.; Selcuk, E.; Zayas, V. Impressions based on a portrait predict, 1-month later, impressions following a live interaction. Soc. Psychol. Personal. Sci. 2017, 8, 36–44. [Google Scholar] [CrossRef]
- Martínez-González, J.A.; Álvarez-Albelo, C.D. Influence of site personalization and first impression on young consumers’ loyalty to tourism websites. Sustainability 2021, 13, 1425. [Google Scholar] [CrossRef]
- Yao, P.; Osman, S.; Sabri, M.F.; Zainudin, N. Consumer behavior in Online-to-Offline (O2O) commerce: A thematic review. Sustainability 2022, 14, 7842. [Google Scholar] [CrossRef]
- Xiao, S.; Dong, M. Hidden semi-Markov model-based reputation management system for online to offline (O2O) e-commerce markets. Decis. Support Syst. 2015, 77, 87–99. [Google Scholar] [CrossRef]
- Leung, P.P.; Wu, C.H.; Ip, W.H.; Ho, G.T. Enhancing online-to-offline specific customer loyalty in beauty industry. Enterp. Inf. Syst. 2019, 13, 352–375. [Google Scholar] [CrossRef]
- Walsh, G.; Evanschitzky, H.; Wunderlich, M. Identification and analysis of moderator variables: Investigating the customer satisfaction-loyalty link. Eur. J. Mark. 2008, 42, 977–1004. [Google Scholar] [CrossRef]
- Dagger, T.S.; David, M.E. Uncovering the real effect of switching costs on the satisfaction-loyalty association: The critical role of involvement and relationship benefits. Eur. J. Mark. 2012, 46, 447–468. [Google Scholar] [CrossRef]
- Cheng, J.H.; Chen, F.Y.; Chang, Y.H. Airline relationship quality: An examination of Taiwanese passengers. Tour. Manag. 2008, 29, 487–499. [Google Scholar] [CrossRef]
- Evanschitzky, H.; Stan, V.; Nagengast, L. Strengthening the satisfaction loyalty link: The role of relational switching costs. Mark. Lett. 2022, 33, 293–310. [Google Scholar] [CrossRef]
- Chang, Y.H.; Chen, F.Y. Relational benefits, switching barriers and loyalty: A study of airline customers in Taiwan. J. Air Transp. Manag. 2007, 13, 104–109. [Google Scholar] [CrossRef]
- Kang, M.; Gao, Y.; Wang, T.; Wang, M. The role of switching costs in O2O platforms: Antecedents and consequences. Int. J. Smart Home 2015, 9, 135–150. [Google Scholar] [CrossRef]
- Pan, Y.; Sheng, S.; Xie, F.T. Antecedents of customer loyalty: An empirical synthesis and reexamination. J. Retail. Consum. Serv. 2012, 19, 150–158. [Google Scholar] [CrossRef]
- Wang, Y.S.; Wu, S.C.; Lin, H.H.; Wang, Y.Y. The relationship of service failure severity, service recovery justice and perceived switching costs with customer loyalty in the context of e-tailing. Int. J. Inf. Manag. 2011, 31, 350–359. [Google Scholar] [CrossRef]
- Belanche, D.; Casaló, L.V.; Guinalíu, M. Website usability, consumer satisfaction and intention to use a website: The moderating effect of perceived risk. J. Retail. Consum. Serv. 2012, 19, 124–132. [Google Scholar] [CrossRef]
- Smith, J.B.; Barclay, D.W. The effects of organizational differences and trust on the effectiveness of selling partner relationships. J. Mark. 1997, 61, 3–21. [Google Scholar] [CrossRef]
- Kim, H.; Niehm, L.S. The impact of website quality on information quality, value, and loyalty intentions in apparel retailing. J. Interact. Mark. 2009, 23, 221–233. [Google Scholar] [CrossRef]
- Wu, I.L.; Chen, J.L. An extension of trust and TAM model with TPB in the initial adoption of online tax: An empirical study. Int. J. Hum. Comput. Stud. 2005, 62, 784–808. [Google Scholar] [CrossRef]
- El-Adly, M.I. Modelling the relationship between hotel perceived value, customer satisfaction, and customer loyalty. J. Retail. Consum. Serv. J. 2019, 50, 322–332. [Google Scholar] [CrossRef]
- Gallarza, M.G.; Saura, I.G. Value dimensions, perceived value, satisfaction and loyalty: An investigation of university students’ travel behavior. Tour. Manag. 2006, 27, 437–452. [Google Scholar] [CrossRef]
- Maxham, J.G.; Netemeyer, R.G. Modeling customer perceptions of compliant handling over time: The effects of perceived justice on satisfaction and intent. J. Retail. 2002, 78, 239–252. [Google Scholar] [CrossRef]
- Chen, Y.; Hsu, I.; Lin, C. Website attributes that increase consumer purchase intention: A conjoint analysis. J. Bus. Res. 2010, 63, 1007–1014. [Google Scholar] [CrossRef]
- Islam, J.U.; Shahid, S.; Rasool, A.; Rahman, Z.; Khan, I.; Rather, R.A. Impact of website attributes on customer engagement in banking: A solicitation of stimulus-organism-response theory. Int. J. Bank Mark. 2020, 38, 1279–1303. [Google Scholar] [CrossRef]
- Liu, Y.; Li, H.; Hu, F. Website attributes in urging online impulse purchase: An empirical investigation on consumer perceptions. Decis. Support Syst. 2013, 55, 829–837. [Google Scholar] [CrossRef]
- Tamimi, N.; Sebastianelli, R. The relative importance of e-tailer website attributes on the likelihood of online purchase. Internet Res. 2015, 25, 169–183. [Google Scholar] [CrossRef]
- Toufaly, E.; Pons, F. Impact of customers’ assessment of website attributes on e-relationship in the securities brokerage industry: A multichannel perspective. J. Retail. Consum. Serv. J. 2017, 34, 58–69. [Google Scholar] [CrossRef]
- Albayrak, T.; Cable, M. Prioritization of the hotel attributes according to their influence on satisfaction: A comparison of two techniques. Tour. Manag. 2015, 46, 43–50. [Google Scholar] [CrossRef]
- Bodet, G.; Anaba, V.; Bouchet, P. Hotel attributes and consumer satisfaction: A cross-country and cross-hotel study. J. Travel Tour. Mark. 2017, 34, 52–69. [Google Scholar] [CrossRef]
- Caber, M.; Albayrak, T. Does the importance of hotel attributes differ for senior tourist? Int. J. Contemp. Hosp. Manag. 2014, 26, 610–628. [Google Scholar] [CrossRef]
- Francesco, G.; Roberta, G. Cross-country analysis of perception and emphasis of hotel attributes. Tour. Manag. 2019, 74, 24–42. [Google Scholar] [CrossRef]
- Kim, J.; Jang, S.; Kang, S.; Kim, S. Why are hotel room prices different? Exploring spatially varying relationships between room price and hotel attributes. J. Bus. Res. 2020, 107, 118–129. [Google Scholar] [CrossRef]
- Srivastava, A.; Kumar, V. Hotel attributes and overall customer satisfaction: What did COVID-19 change? Tour. Manag. Perspect. 2021, 40, 100867. [Google Scholar] [CrossRef]
- McGrath, R.E.; Mitchell, M.; Kim, B.H. Evidence for response bias as a source of error variance in applied assessment. Psychol. Bull. 2010, 136, 450–470. [Google Scholar] [CrossRef]
- Yüksel, A. A critique of response bias in the tourism, travel and hospitality research. Tour. Manag. 2017, 59, 376–384. [Google Scholar] [CrossRef]
- Kline, R.B. Principles and Practice of Structural Equation Modeling, 4th ed.; The Guilford Press: New York, NY, USA, 2016. [Google Scholar]
- Thompson, B. Exploratory and Confirmatory Factor Analysis: Understanding Concepts and Applications; American Psychological Association: Washington, DC, USA, 2004. [Google Scholar]
- Fornell, C.; Larcker, D.F. Evaluating structural equation models with unobservable variables and measurement error. J. Mark. Res. 1981, 18, 39–50. [Google Scholar] [CrossRef]
- Henseler, J.; Ringle, C.M.; Sarstedt, M. A new criterion for assessing discriminant validity in variance-based structural equation modeling. J. Acad. Mark. Sci. 2015, 43, 115–135. [Google Scholar] [CrossRef]
- Hair, J.F.; Hult, G.T.M.; Ringle, C.M.; Sarstedt, M. A Primer on Partial Least Squares Structural Equation Modeling (PLS-SEM), 2nd ed.; Sage Publishing Inc.: London, UK, 2017. [Google Scholar]
- He, P.; He, Y.; Xu, H.; Zhou, L. Online selling mode choice and pricing in an O2O tourism supply chain considering corporate social responsibility. Electron. Commer. Res. Appl. 2019, 38, 100894. [Google Scholar] [CrossRef]


| Attributes | Hotel Service | Sub-Attributes | Literatures |
|---|---|---|---|
| Physical attributes |
|
| [12,27,28,29,30,31,32,33,34,35,36] |
| Service attributes |
|
| [21,27,29,34,35,37,38] |
| Value |
|
| [29,32,33,36,39,40] |
| Attributes | Sub-Attributes | Literatures |
|---|---|---|
| Availability of product/service |
| [41,42] |
| Functionality |
| [42,43,44,45,46,47,48,49,50,51,52] |
| Reliability |
| [44,50,53] |
| Customer service |
| [44,45,54] |
| Loadings | AVE | CR | ||||
|---|---|---|---|---|---|---|
| T1 | T2 | T1 | T2 | T1 | T2 | |
| Website satisfaction | ||||||
| I think I made the correct decision to use this travel website. | 0.72 | 0.81 | 0.57 | 0.54 | 0.88 | 0.86 |
| I am satisfied with the way that this website has managed interactions. | 0.77 | 0.67 | ||||
| I am satisfied with the service I have received from the website. | 0.77 | 0.72 | ||||
| Website loyalty intentions | ||||||
| I have intend to use this website (again) in the near future. | 0.79 | 0.79 | 0.58 | 0.54 | 0.89 | 0.87 |
| The likelihood that I will use this website (again) is high. | 0.77 | 0.70 | ||||
| I would recommend this website to someone who seeks my advice. | 0.73 | 0.71 | ||||
| Hotel satisfaction | ||||||
| The stay experience at that hotel will make (made) me satisfied. | 0.77 | 0.74 | 58 | 0.52 | 0.88 | 0.86 |
| Chosing to stay at that hotel would be (was) wise. | 0.77 | 0.68 | ||||
| Overall, I feel satisfied about that hotel. | 0.74 | 0.74 | ||||
| Hotel loyalty intentions | ||||||
| I am highly likely to return to that hotel in the future. | 0.77 | 0.78 | 0.61 | 0.60 | 0.90 | 0.89 |
| I will consider this hotel brand my first choice when traveling. | 0.78 | 0.87 | ||||
| I would be willing to recommend that hotel to my friends. | 0.80 | 0.67 | ||||
| Note: Parentheses indicate altered expression at T2. | ||||||
| Mean (SD) | Cronbach’s Alpha | |||
|---|---|---|---|---|
| Variable | T1 | T2 | T1 | T2 |
| Website satisfaction | 40.15 (0.65) | 40.24 (0.57) * | 0.79 | 0.77 |
| Website loyalty intentions | 40.27 (0.70) | 40.29 (0.68) | 0.80 | 0.78 |
| Hotel satisfaction | 40.23 (0.63) | 40.28 (0.61) * | 0.79 | 0.76 |
| Hotel loyalty intentions | 40.08 (0.82) | 40.14 (0.87) * | 0.82 | 0.81 |
| Variable | 1 | 2 | 3 | 4 | 5 | 6 | 7 | 8 |
|---|---|---|---|---|---|---|---|---|
| Fornell-Larcker Criteria | ||||||||
| 1. Website satisafction (T1) | 0.75 | |||||||
| 2. Website loyalty intentions (T1) | 0.35 | 0.76 | ||||||
| 3. Website satisfaction (T2) | 0.01 | 0.04 | 0.73 | |||||
| 4. Website loyalty intentions (T2) | 0.03 | 0.06 | 0.54 | 0.73 | ||||
| 5. Hotel satisfaction (T1) | 0.42 | 0.46 | 0.04 | 0.01 | 0.76 | |||
| 6. Hotel loyalty intentions (T1) | 0.22 | 0.38 | 0.01 | 0.02 | 0.25 | 0.78 | ||
| 7. Hotel satisfaction (T2) | 0.05 | 0.03 | 0.51 | 0.49 | 0.04 | 0.04 | 0.72 | |
| 8. Hotel loyalty intentions (T2) | 0.01 | 0.05 | 0.47 | 0.36 | 0.07 | 0.03 | 0.39 | 0.77 |
| Heterotrait Monotrait Ratio (HTMT) | ||||||||
| 1. Website satisafction (T1) | ||||||||
| 2. Website loyalty intentions (T1) | 0.43 | |||||||
| 3. Website satisfaction (T2) | 0.04 | 0.05 | ||||||
| 4. Website loyalty intentions (T2) | 0.05 | 0.09 | 0.69 | |||||
| 5. Hotel satisfaction (T1) | 0.51 | 0.56 | 0.07 | 0.03 | ||||
| 6. Hotel loyalty intentions (T1) | 0.26 | 0.47 | 0.05 | 0.04 | 0.29 | |||
| 7. Hotel satisfaction (T2) | 0.07 | 0.04 | 0.66 | 0.64 | 0.08 | 0.10 | ||
| 8. Hotel loyalty intentions (T2) | 0.04 | 0.06 | 0.58 | 0.45 | 0.08 | 0.07 | 0.49 |
| Attribute | Weight (T1) | Weight (T2) | Significance |
|---|---|---|---|
| Website attributes | |||
| Security | 0.02 | 0.15 | Yes |
| Privacy | 0.01 | 0.15 | Yes |
| Usability | 0.01 | 0.18 | Yes |
| Convenience | 0.10 | 0.11 | No |
| Trust | 0.08 | 0.30 | Yes |
| Delivery | 0.16 | 0.23 | Yes |
| Product value | 0.02 | 0.41 | Yes |
| Hotel attributes | |||
| Cleanliness | 0.24 | 0.31 | Yes |
| Friendliness of staff | 0.04 | 0.01 | No |
| Politeness of staff | 0.12 | 0.13 | No |
| Availability of range of food service outlets | 0.15 | 0.05 | Yes |
| Safety and security | 0.05 | 0.19 | Yes |
| Value for money | 0.14 | 0.42 | Yes |
| Comfort of bedroom | 0.01 | 0.03 | No |
Disclaimer/Publisher’s Note: The statements, opinions and data contained in all publications are solely those of the individual author(s) and contributor(s) and not of MDPI and/or the editor(s). MDPI and/or the editor(s) disclaim responsibility for any injury to people or property resulting from any ideas, methods, instructions or products referred to in the content. |
© 2023 by the authors. Licensee MDPI, Basel, Switzerland. This article is an open access article distributed under the terms and conditions of the Creative Commons Attribution (CC BY) license (https://creativecommons.org/licenses/by/4.0/).
Share and Cite
Kim, K.; Ha, H.-Y. Do Changes in Attribute Weights between Two Platforms Alter Interplay Effects in the O2O Era? Two Time-Lag Intervals in the Tourism Sector. Sustainability 2023, 15, 10789. https://doi.org/10.3390/su151410789
Kim K, Ha H-Y. Do Changes in Attribute Weights between Two Platforms Alter Interplay Effects in the O2O Era? Two Time-Lag Intervals in the Tourism Sector. Sustainability. 2023; 15(14):10789. https://doi.org/10.3390/su151410789
Chicago/Turabian StyleKim, Kowoon, and Hong-Youl Ha. 2023. "Do Changes in Attribute Weights between Two Platforms Alter Interplay Effects in the O2O Era? Two Time-Lag Intervals in the Tourism Sector" Sustainability 15, no. 14: 10789. https://doi.org/10.3390/su151410789
APA StyleKim, K., & Ha, H.-Y. (2023). Do Changes in Attribute Weights between Two Platforms Alter Interplay Effects in the O2O Era? Two Time-Lag Intervals in the Tourism Sector. Sustainability, 15(14), 10789. https://doi.org/10.3390/su151410789

