Enhancing Bioactive Metabolite Production in Aerva sanguinolenta Callus Cultures through Silver Nanoparticle and Salicylic Acid Elicitation
Abstract
1. Introduction
2. Materials and Methods
2.1. Establishment of Callus Cultures
2.2. Elicitor Treatments and Determination of Callus Characteristics
2.3. Preparation of Callus Sample Extract for Phytochemical Tests
2.3.1. Determination of Total Phenolic Content (TPC)
2.3.2. Determination of Total Flavonoid Content (TFC)
2.3.3. Determination of Aervine Content
2.3.4. Determination of Anthocyanin Contents
2.4. Determination of DPPH Scavenging Percentage
2.5. Determination of Antioxidant Functions
2.6. Statistical Analysis and Experimental Layout
3. Results
4. Discussion
4.1. AgNP and SA Application Improved Callus Texture, Color, Compactness, and Growth
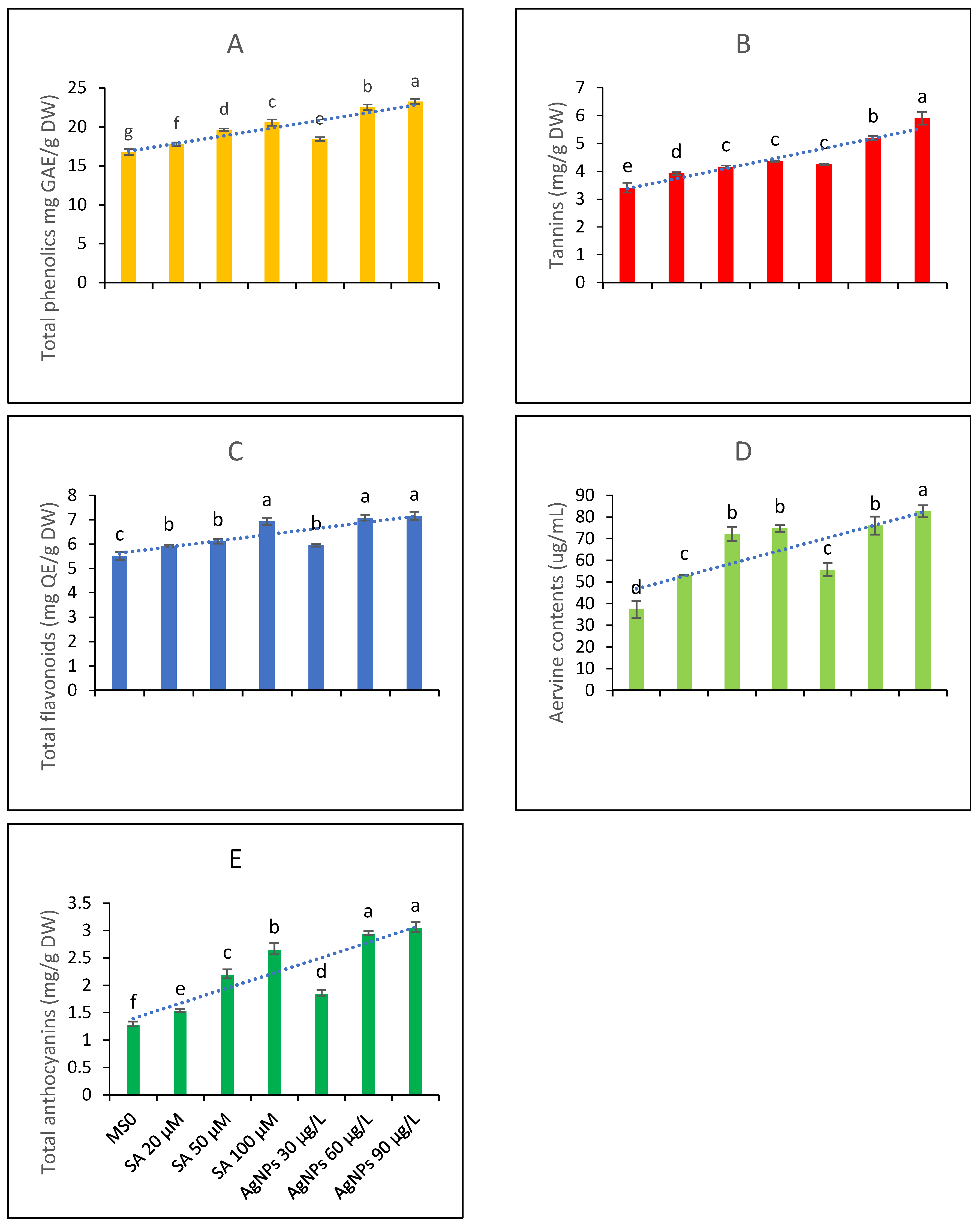
4.2. Efficacy of AgNPs and SA in Improving Total Phenolics and Flavonoids
4.3. Elicitation with AgNPs and SA Enhanced Aervine Production
4.4. Elicitation Boosted the Antioxidant Metabolite Functions and Production
4.5. Elicitation Mediated More DPPH Scavenging Ability
5. Conclusions
Author Contributions
Funding
Institutional Review Board Statement
Informed Consent Statement
Data Availability Statement
Acknowledgments
Conflicts of Interest
References
- Goyal, M.; Pareek, A.; Nagori, B.; Sasmal, D. Aerva sanguinolenta: A review on phytochemistry and pharmacological aspects. Pharmacogn. Rev. 2011, 5, 195. [Google Scholar] [CrossRef]
- Singh, S.A.; Gowri, K.; Chitra, V. A Review on Phytochemical Constituents and Pharmacological Activities of the plant: Aerva sanguinolenta. Res. J. Pharm. Technol. 2020, 13, 1580–1586. [Google Scholar] [CrossRef]
- Khan, B.; Abdukadir, A.; Qureshi, R.; Mustafa, G. Medicinal uses of plants by the inhabitants of Khunjerab National Park, Gilgit, Pakistan. Pak. J. Bot. 2011, 43, 2301–2310. [Google Scholar]
- Yamunadevi, M.; Wesely, E.G.; Johnson, M. Phytochemical studies on the terpenoids of medicinally important plant Aerva sanguinolenta L. using HPTLC. Asian Pac. J. Trop. Biomed. 2011, 1, S220–S225. [Google Scholar] [CrossRef]
- Gujjeti, R.P.; Mamidala, E. Phytochemical screening and thin layer chromatographic studies of Aerva sanguinolenta root extract. Int. J. Innov. Res. Sci. Eng. Technol. 2013, 2, 5725–5730. [Google Scholar]
- Murugan, M.; Mohan, V.R. Phytochemical, FT-IR and antibacterial activity of whole plant extract of Aerva sanguinolenta (L.) Juss. Ex. Schult. J. Med. Plants Stud. 2014, 4, 51–57. [Google Scholar]
- Mazhar, M.W.; Ishtiaq, M.; Maqbool, M.; Ajaib, M.; Hussain, I.; Hussain, T.; Parveen, A.; Thind, S.; Sardar, T.; Akram, R.; et al. Synergistic application of calcium oxide nanoparticles and farmyard manure induces cadmium tolerance in mung bean (Vigna radiata L.) by influencing physiological and biochemical parameters. PLoS ONE 2023, 18, e0282531. [Google Scholar] [CrossRef]
- Mazhar, M.W.; Ishtiaq, M.; Maqbool, M.; Akram, R. Seed priming with Calcium oxide nanoparticles improves germination, biomass, antioxidant defence and yield traits of canola plants under drought stress. S. Afr. J. Bot. 2022, 151, 889–899. [Google Scholar] [CrossRef]
- Eder, J.; Cosio, E.G. Elicitors of plant defense responses. Int. Rev. Cytol. 1994, 148, 1–36. [Google Scholar]
- Patel, H.; Krishnamurthy, R. Elicitors in plant tissue culture. J. Pharmacogn. Phytochem. 2013, 2, 60–65. [Google Scholar]
- Ruiz-García, Y.; Gómez-Plaza, E. Elicitors: A tool for improving fruit phenolic content. Agriculture 2013, 3, 33–52. [Google Scholar] [CrossRef]
- Mazhar, M.W.; Ishtiaq, M.; Maqbool, M.; Akram, R. Seed priming with zinc oxide nanoparticles improves growth, osmolyte accumulation, antioxidant defence and yield quality of water-stressed mung bean plants. Arid. Land Res. Manag. 2022, 37, 222–246. [Google Scholar] [CrossRef]
- Dasgupta, N.; Ramalingam, C. Silver nanoparticle antimicrobial activity explained by membrane rupture and reactive oxygen generation. Environ. Chem. Lett. 2016, 14, 477–485. [Google Scholar] [CrossRef]
- Mustapha, T.; Misni, N.; Ithnin, N.R.; Daskum, A.M.; Unyah, N.Z. A review on plants and microorganisms mediated synthesis of silver nanoparticles, role of plants metabolites and applications. Int. J. Environ. Res. Public Health 2022, 19, 674. [Google Scholar] [CrossRef]
- Bhat, P.; Bhat, A. Silver nanoparticles for enhancement of accumulation of capsaicin in suspension culture of Capsicum sp. J. Exp. Sci. 2016, 7, 1–6. [Google Scholar]
- Mubeen, B.; Hasnain, A.; Mehboob, R.; Rasool, R.; Riaz, A.; Elaskary, S.A.; Shah, M.M.; Faridi, T.A.; Ullah, I. Hydroponics and elicitation, a combined approach to enhance the production of designer secondary medicinal metabolites in Silybum marianum. Front. Plant Sci. 2022, 13, 897795. [Google Scholar] [CrossRef]
- Hadizadeh, M.; Ofoghi, H.; Kianirad, M.; Amidi, Z. Elicitation of pharmaceutical alkaloids biosynthesis by salicylic acid in marine microalgae Arthrospira platensis. Algal Res. 2019, 42, 101597. [Google Scholar] [CrossRef]
- Ibrahim, M.M.; Arafa, N.M.; Matter, M.A. Effect of some elicitors on chemicals composition for Nigella sativa callus cultures. World J. Pharm. Sci. 2015, 3, 2160–2166. [Google Scholar]
- Vázquez-Flota, F.; Hernández-Domínguez, E.; de Lourdes Miranda-Ham, M.; Monforte-González, M. A differential response to chemical elicitors in Catharanthus roseus in vitro cultures. Biotechnol. Lett. 2009, 31, 591–595. [Google Scholar] [CrossRef] [PubMed]
- Murashige, T.; Skoog, F. A revised medium for rapid growth and bio assays with tobacco tissue cultures. Physiol. Plant 1962, 15, 473–497. [Google Scholar] [CrossRef]
- Ali, A.; Mohammad, S.; Khan, M.A.; Raja, N.I.; Arif, M.; Kamil, A.; Mashwani, Z.U.R. Silver nanoparticles elicited in vitro callus cultures for accumulation of biomass and secondary metabolites in Caralluma tuberculata. Artif. Cells Nanomed. Biotechnol. 2019, 47, 715–724. [Google Scholar] [CrossRef]
- Singh, A.; Dwivedi, P. Methyl-jasmonate and salicylic acid as potent elicitors for secondary metabolite production in medicinal plants: A review. J. Pharmacogn. Phytochem. 2018, 7, 750–757. [Google Scholar]
- Largia, M.J.V.; Pothiraj, G.; Shilpha, J.; Ramesh, M. Methyl jasmonate and salicylic acid synergism enhances bacoside A content in shoot cultures of Bacopa monnieri (L.). Plant Cell Tissue Organ Cult. (PCTOC) 2015, 122, 9–20. [Google Scholar] [CrossRef]
- Gadzovska, S.; Maury, S.; Delaunay, A.; Spasenoski, M.; Hagège, D.; Courtois, D.; Joseph, C. The influence of salicylic acid elicitation of shoots, callus, and cell suspension cultures on production of naphtodianthrones and phenylpropanoids in Hypericum perforatum L. Plant Cell Tissue Organ Cult. (PCTOC) 2013, 113, 25–39. [Google Scholar] [CrossRef]
- Rahman, L.U.; Qureshi, R.; Yasinzai, M.M.; Shah, A. Synthesis and spectroscopic characterization of Ag-Cu alloy nanoparticles prepared in various ratios. C. R. Chim. 2012, 15, 533–538. [Google Scholar] [CrossRef]
- Rashmi, R.; Trivedi, M.P. Effect of various growth hormone concentration and combination on callus induction, nature of callus and callogenic response of Nerium odorum. Appl. Biochem. Biotechnol. 2014, 172, 2562–2570. [Google Scholar] [CrossRef] [PubMed]
- Khan, M.A.; Abbasi, B.H.; Ahmed, N.; Ali, H. Effects of light regimes on in vitro seed germination and silymarin content in Silybum marianum. Ind. Crops Prod. 2013, 46, 105–110. [Google Scholar] [CrossRef]
- Swain, T.; Goldstein, J.L. The quantitative analysis of phenolic compounds. In Methods in Polyphenol Chemistry; Pridham, J.B., Ed.; Permagon: New York, NY, USA, 1964. [Google Scholar]
- Chang, C.C.; Yang, M.H.; Wen, H.M.; Chern, J.C. Estimation of total flavonoid content in propolis by two complementary colorimetric methods. J. Food Drug Anal. 2002, 10, 3. [Google Scholar]
- Boobalan, S.; Kamalanathan, D. Tailoring enhanced production of aervine in Aerva sanguinolenta (L.) Juss. Ex Schult by Agrobacterium rhizogenes-mediated hairy root cultures. Ind. Crops Prod. 2020, 155, 112814. [Google Scholar] [CrossRef]
- Simoes, C.; Bizarri, C.H.B.; da Silva Cordeiro, L.; de Castro, T.C.; Coutada, L.C.M.; da Silva, A.J.R.; Albarello, N.; Mansur, E. Anthocyanin production in callus cultures of Cleome rosea: Modulation by culture conditions and characterization of pigments by means of HPLC-DAD/ESIMS. Plant Physiol. Biochem. 2009, 47, 895–903. [Google Scholar] [CrossRef]
- Yashin, Y.I.; Yashin, A.Y. Analytical chromatography. Methods, instrumentation and applications. Russ. Chem. Rev. 2006, 75, 329. [Google Scholar] [CrossRef]
- Abbasi, B.H.; Khan, M.A.; Mahmood, T.; Ahmad, M.; Chaudhary, M.F.; Khan, M.A. Shoot regeneration and free-radical scavenging activity in Silybum marianum L. Plant Cell Tissue Organ Cult. (PCTOC) 2010, 101, 371–376. [Google Scholar] [CrossRef]
- Giannopolitis, C.N.; Ries, S.K. Superoxide dismutases: I. Occurrence in higher plants. Plant Physiol. 1977, 59, 309–314. [Google Scholar] [CrossRef] [PubMed]
- Abeles, F.B.; Biles, C.L. Characterization of peroxidases in lignifying peach fruit endocarp. Plant Physiol. 1991, 95, 269–273. [Google Scholar] [CrossRef]
- Arrigoni, O.; De Gara, L.; Tommasi, F.; Liso, R. Changes in the ascorbate system during seed development of Vicia faba L. Plant Physiol. 1992, 99, 235–238. [Google Scholar] [CrossRef]
- Miyake, C.; Shinzaki, Y.; Nishioka, M.; Horiguchi, S.; Tomizawa, K.I. Photoinactivation of ascorbate peroxidase in isolated tobacco chloroplasts: Galdieria partita APX maintains the electron flux through the water–water cycle in transplastomic tobacco plants. Plant Cell Physiol. 2006, 47, 200–210. [Google Scholar] [CrossRef]
- Golkar, P.; Moradi, M.; Garousi, G.A. Elicitation of stevia glycosides using salicylic acid and silver nanoparticles under callus culture. Sugar Tech 2019, 21, 569–577. [Google Scholar] [CrossRef]
- Begum, S.; Zahid, A.; Khan, T.; Khan, N.Z.; Ali, W. Comparative analysis of the effects of chemically and biologically synthesized silver nanoparticles on biomass accumulation and secondary metabolism in callus cultures of Fagonia indica. Physiol. Mol. Biol. Plants 2020, 26, 1739–1750. [Google Scholar] [CrossRef]
- Ediyilyam, S.; George, B.; Shankar, S.S.; Dennis, T.T.; Wacławek, S.; Černík, M.; Padil, V.V. Chitosan/gelatin/silver nanoparticles composites films for biodegradable food packaging applications. Polymers 2021, 13, 1680. [Google Scholar] [CrossRef]
- Qian, H.; Peng, X.; Han, X.; Ren, J.; Sun, L.; Fu, Z. Comparison of the toxicity of silver nanoparticles and silver ions on the growth of terrestrial plant model Arabidopsis thaliana. J. Environ. Sci. 2013, 25, 1947–1956. [Google Scholar] [CrossRef]
- Ahamed, M.; Khan, M.M.; Siddiqui, M.K.J.; AlSalhi, M.S.; Alrokayan, S.A. Green synthesis, characterization and evaluation of biocompatibility of silver nanoparticles. Phys. E Low-Dimens. Syst. Nanostruct. 2011, 43, 1266–1271. [Google Scholar] [CrossRef]
- Nazir, S.; Jan, H.; Zaman, G.; Ahmed, N.; Drouet, S.; Hano, C.; Abbasi, B.H. Synergistic effects of salicylic acid and light stress on bioactive metabolites in basil callus cultures. Biocatal. Agric. Biotechnol. 2021, 37, 102176. [Google Scholar] [CrossRef]
- Golkar, P.; Taghizadeh, M.; Yousefian, Z. The effects of chitosan and salicylic acid on elicitation of secondary metabolites and antioxidant activity of safflower under in vitro salinity stress. Plant Cell Tissue Organ Cult. (PCTOC) 2019, 137, 575–585. [Google Scholar] [CrossRef]
- Nechaeva, T.L.; Nikolaeva, T.N.; Zagoskina, N.V. Salicylic and hydroxybenzoic acids affect the accumulation of phenolic compounds in tea-plant cultures in vitro. Biol. Bull. 2020, 47, 374–380. [Google Scholar] [CrossRef]
- Miclea, I.; Suhani, A.; Zahan, M.; Bunea, A. Effect of jasmonic acid and salicylic acid on growth and biochemical composition of in-vitro-propagated Lavandula angustifolia Mill. Agronomy 2020, 10, 1722. [Google Scholar] [CrossRef]
- Anjum, S.; Abbasi, B.H. Thidiazuron-enhanced biosynthesis and antimicrobial efficacy of silver nanoparticles via improving phytochemical reducing potential in callus culture of Linum usitatissimum L. Int. J. Nanomed. 2016, 11, 715. [Google Scholar]
- Fazal, H.; Abbasi, B.H.; Ahmad, N.; Ali, M. Elicitation of medicinally important antioxidant secondary metabolites with silver and gold nanoparticles in callus cultures of Prunella vulgaris L. Appl. Biochem. Biotechnol. 2016, 180, 1076–1092. [Google Scholar] [CrossRef]
- Siatka, T. Effects of growth regulators on production of anthocyanins in callus cultures of Angelica archangelica. Nat. Prod. Commun. 2019, 14, 1934578–19857344. [Google Scholar] [CrossRef]
- Nazir, M.; Ullah, M.A.; Younas, M.; Siddiquah, A.; Shah, M.; Giglioli-Guivarc’h, N.; Hano, C.; Abbasi, B.H. Light-mediated biosynthesis of phenylpropanoid metabolites and antioxidant potential in callus cultures of purple basil (Ocimum basilicum L. var purpurascens). Plant Cell Tissue Organ Cult. (PCTOC) 2020, 142, 107–120. [Google Scholar] [CrossRef]
- Khan, T.; Khan, T.; Hano, C.; Abbasi, B.H. Effects of chitosan and salicylic acid on the production of pharmacologically attractive secondary metabolites in callus cultures of Fagonia indica. Ind. Crops Prod. 2019, 129, 525–535. [Google Scholar] [CrossRef]
- Woch, N.; Laha, S.; Gudipalli, P. Salicylic acid and jasmonic acid induced enhanced production of total phenolics, flavonoids, and antioxidant metabolism in callus cultures of Givotia moluccana (L.) Sreem. In Vitro Cell. Dev. Biol.-Plant 2023, 59, 227–248. [Google Scholar] [CrossRef]
- Ali, B. Salicylic acid: An efficient elicitor of secondary metabolite production in plants. Biocatal. Agric. Biotechnol. 2021, 31, 101884. [Google Scholar] [CrossRef]
- Srinivasan, R.; Kamalanathan, D.; Rathinavel, T.; Iqbal, M.N.; Shanmugam, G. Anti-cancer potentials of aervine validated through in silico molecular docking, dynamics simulations, pharmacokinetic prediction and in vitro assessment of caspase–3 in SW480 cell line. Mol. Simul. 2023, 49, 799–815. [Google Scholar] [CrossRef]
- Devi, B.; Jeet, K.; Nigam, V. A Review study over: Pharmacognostic study, Phytochemical and Pharmacological studies over whole plant of Aerva sanguinolenta (L.). In Biological Trace Element Research; Springer: Berlin/Heidelberg, Germany, 2023. [Google Scholar]
- Fouad, A.; Hegazy, A.E.; Azab, E.; Khojah, E.; Kapiel, T. Boosting of antioxidants and alkaloids in Catharanthus roseus suspension cultures using silver nanoparticles with expression of CrMPK3 and STR genes. Plants 2021, 10, 2202. [Google Scholar] [CrossRef]
- Prakash, V.; Singh, V.P.; Tripathi, D.K.; Sharma, S.; Corpas, F.J. Nitric oxide (NO) and salicylic acid (SA): A framework for their relationship in plant development under abiotic stress. Plant Biol. 2021, 23, 39–49. [Google Scholar] [CrossRef]
- Khattab, S.; Yap, Y.K.; El Sherif, F. Salicylic Acid Foliar Spray Enhanced Silybum marianum Growth and Yield, as Well as Its Chemical Constituents and Chalcone Synthase Gene Activity. Horticulturae 2022, 8, 556. [Google Scholar] [CrossRef]
- Zhao, H.; Zhang, R.; Yan, X.; Fan, K. Superoxide dismutase nanozymes: An emerging star for anti-oxidation. J. Mater. Chem. B 2021, 9, 6939–6957. [Google Scholar] [CrossRef]
- Fall, I.; Czerwiec, Q.; Abdellaoui, S.; Doumèche, B.; Ochs, M.; Rémond, C.; Rakotoarivonina, H. A thermostable bacterial catalase-peroxidase oxidizes phenolic compounds derived from lignins. Appl. Microbiol. Biotechnol. 2023, 107, 201–217. [Google Scholar] [CrossRef]
- Jannesari, M.; Akhavan, O.; Hosseini, H.R.M.; Bakhshi, B. Oxygen-Rich Graphene/ZnO2-Ag Nanoframeworks with pH-Switchable Catalase/Peroxidase Activity as O2 Nanobubble-Self Generator for Bacterial Inactivation. J. Colloid Interface Sci. 2023, 637, 237–250. [Google Scholar] [CrossRef]
- Medda, S.; Dessena, L.; Mulas, M. Monitoring of the PAL enzymatic activity and polyphenolic compounds in leaves and fruits of two myrtle cultivars during maturation. Agriculture 2020, 10, 389. [Google Scholar] [CrossRef]
- Ishtiaq, M.; Mazhar, M.W.; Maqbool, M.; Hussain, T.; Hussain, S.A.; Casini, R.; Abd-ElGawad, A.M.; Elansary, H.O. Seed Priming with the Selenium Nanoparticles Maintains the Redox Status in the Water Stressed Tomato Plants by Modulating the Antioxidant Defense Enzymes. Plants 2023, 12, 1556. [Google Scholar] [CrossRef] [PubMed]
- Chang, M.; Chen, H.; Liu, F.; Fu, Z.Q. PTI and ETI: Convergent pathways with diverse elicitors. Trends Plant Sci. 2021, 27, 113–115. [Google Scholar] [CrossRef] [PubMed]
- Saleeb, N.; Robinson, B.; Cavanagh, J.; Ross, J.; Munir, K.; Gooneratne, R. Antioxidant enzyme activity and lipid peroxidation in Aporrectodea caliginosa earthworms exposed to silver nanoparticles and silver nitrate in spiked soil. Environ. Toxicol. Chem. 2020, 39, 1257–1266. [Google Scholar] [CrossRef] [PubMed]
- Shaikhaldein, H.O.; Al-Qurainy, F.; Nadeem, M.; Khan, S.; Tarroum, M.; Salih, A.M. Biosynthesis and characterization of silver nanoparticles using Ochradenus arabicus and their physiological effect on Maerua oblongifolia raised in vitro. Sci. Rep. 2020, 10, 17569. [Google Scholar] [CrossRef] [PubMed]
- Reichert, A.I.; He, X.Z.; Dixon, R.A. Phenylalanine ammonia-lyase (PAL) from tobacco (Nicotiana tabacum): Characterization of the four tobacco PAL genes and active heterotetrameric enzymes. Biochem. J. 2009, 424, 233–242. [Google Scholar] [CrossRef] [PubMed]
- Kedare, S.B.; Singh, R.P. Genesis and development of DPPH method of antioxidant assay. J. Food Sci. Technol. 2011, 48, 412–422. [Google Scholar] [CrossRef]
- Sharifi, Y.; Ghasemi Omran, V.; Tavabe Ghavami, T.S.; Nematzadeh Gharakhili, G.A.; Ebrahimzadeh, M.A. Effect of Salicylic acid on Phenols and flavonoids content and DPPH scavenging activity in cell suspension culture of Iranian sodab (Ruta graveolens). Tabari Biomed. Stud. Res. J. 2019, 1, 18–21. [Google Scholar] [CrossRef]
- Mahdavian, K. Effect of salicylic acid and calcium chloride on lipid peroxidation and scavenging capacity of radical of red bean (Phaseolus calcaratus L.) under salt stress. Int. J. Hortic. Sci. Technol. 2022, 9, 55–72. [Google Scholar]
- Potbhare, A.K.; Chouke, P.B.; Mondal, A.; Thakare, R.U.; Mondal, S.; Chaudhary, R.G.; Rai, A.R. Rhizoctonia solani assisted biosynthesis of silver nanoparticles for antibacterial assay. Mater. Today Proc. 2020, 29, 939–945. [Google Scholar] [CrossRef]
- Potbhare, A.K.; Umekar, M.S.; Chouke, P.B.; Bagade, M.B.; Aziz, S.T.; Abdala, A.A.; Chaudhary, R.G. Bioinspired graphene-based silver nanoparticles: Fabrication, characterization and antibacterial activity. Mater. Today Proc. 2020, 29, 720–725. [Google Scholar] [CrossRef]






| Treatments | Callus Fresh Weights (g/L) | Callus Dry Weights (g/L) | Callus Moisture (%) | |||
|---|---|---|---|---|---|---|
| Mean | ±S. D | Mean | ±S. D | Mean | ±S. D | |
| MS0-Control | 0.212 f | 0.008 | 0.028 g | 0.001 | 81.433 e | 0.513 |
| SA 20 µM | 0.289 e | 0.009 | 0.031 f | 0.004 | 85.333 d | 0.577 |
| SA 50 µM | 0.338 d | 0.004 | 0.044 d | 0.009 | 89 c | 1 |
| SA 100 µM | 0.669 b | 0.014 | 0.084 b | 0.002 | 92 b | 0 |
| AgNPs 30 µg/L | 0.294 e | 0.014 | 0.035 e | 0.001 | 88.133 c | 0.808 |
| AgNPs 60 µg/L | 0.471 c | 0.013 | 0.050 c | 0.002 | 92.366 b | 0.709 |
| AgNPs 90 µg/L | 0.802 a | 0.013 | 0.096 a | 0.002 | 94.633 a | 0.321 |
| Treatments | Callus Nature | Callus Color | Callus Response a |
| MS0-Control | Fragile | Yellow-brown | ++ |
| SA 20 µM | Fragile | Yellow-brown | ++ |
| SA 50 µM | Semi-compact | Yellow greenish | ++++ |
| SA 100 µM | Compact | Greenish | +++++ |
| AgNPs30 µg/L | Fragile | Yellow-brown | +++ |
| AgNPs60 µg/L | Semi-compact | Yellow greenish | ++++ |
| AgNPs90 µg/L | Compact | Greenish | +++++ |
| Variables | CFW | CDW | CMC | TP | TF | Aerv | D-S% | PAL | SOD | POD | CAT | APX | Antho | Tannins |
|---|---|---|---|---|---|---|---|---|---|---|---|---|---|---|
| CFW | 1 * | |||||||||||||
| CDW | 0.9789 * | |||||||||||||
| CMC | 0.9453 * | 0.9548 * | ||||||||||||
| TP | 0.9367 * | 0.9494 * | 0.9502 * | |||||||||||
| TF | 0.9204 * | 0.9247 * | 0.9001 * | 0.9532 * | ||||||||||
| Aerv | 0.9211 * | 0.9091 * | 0.8637 * | 0.8974 * | 0.8857 * | |||||||||
| D-S% | 0.9308 * | 0.9311 * | 0.8727 * | 0.8648 * | 0.8324 * | 0.9220 * | ||||||||
| PAL | 0.8841 * | 0.9195 * | 0.9509 * | 0.9597 * | 0.9078 * | 0.7961 * | 0.7771 * | |||||||
| SOD | 0.9113 * | 0.9143 * | 0.8337 * | 0.8143 * | 0.8130 * | 0.8740 * | 0.9428 * | 0.7506 * | ||||||
| POD | 0.9724 * | 0.9545 * | 0.9118 * | 0.9182 * | 0.9260 * | 0.8831 * | 0.8967 * | 0.8636 * | 0.8844 * | |||||
| CAT | 0.9558 * | 0.9750 * | 0.9525 * | 0.9178 * | 0.8821 * | 0.8626 * | 0.9360 * | 0.8964 * | 0.9016 * | 0.9367 * | ||||
| APX | 0.9393 * | 0.9506 * | 0.8832 * | 0.8792 * | 0.8558 * | 0.8922 * | 0.9734 * | 0.8260 * | 0.9455 * | 0.9156 * | 0.9646 * | |||
| Antho | 0.9204 * | 0.9299 * | 0.9639 * | 0.9753 * | 0.9390 * | 0.8701 * | 0.8499 * | 0.9403 * | 0.7909 * | 0.8987 * | 0.9022 * | 0.8481 * | ||
| tannins | 0.8912 * | 0.9169 * | 0.9424 * | 0.9545 * | 0.9208 * | 0.8234 * | 0.7869 * | 0.9792 * | 0.7494 * | 0.8545 * | 0.8743 * | 0.8130 * | 0.9403 * | 1 * |
Disclaimer/Publisher’s Note: The statements, opinions and data contained in all publications are solely those of the individual author(s) and contributor(s) and not of MDPI and/or the editor(s). MDPI and/or the editor(s) disclaim responsibility for any injury to people or property resulting from any ideas, methods, instructions or products referred to in the content. |
© 2023 by the authors. Licensee MDPI, Basel, Switzerland. This article is an open access article distributed under the terms and conditions of the Creative Commons Attribution (CC BY) license (https://creativecommons.org/licenses/by/4.0/).
Share and Cite
Maqbool, M.; Ishtiaq, M.; Mazhar, M.W.; Casini, R.; Mahmoud, E.A.; Elansary, H.O. Enhancing Bioactive Metabolite Production in Aerva sanguinolenta Callus Cultures through Silver Nanoparticle and Salicylic Acid Elicitation. Sustainability 2023, 15, 10395. https://doi.org/10.3390/su151310395
Maqbool M, Ishtiaq M, Mazhar MW, Casini R, Mahmoud EA, Elansary HO. Enhancing Bioactive Metabolite Production in Aerva sanguinolenta Callus Cultures through Silver Nanoparticle and Salicylic Acid Elicitation. Sustainability. 2023; 15(13):10395. https://doi.org/10.3390/su151310395
Chicago/Turabian StyleMaqbool, Mehwish, Muhammad Ishtiaq, Muhammad Waqas Mazhar, Ryan Casini, Eman A. Mahmoud, and Hosam O. Elansary. 2023. "Enhancing Bioactive Metabolite Production in Aerva sanguinolenta Callus Cultures through Silver Nanoparticle and Salicylic Acid Elicitation" Sustainability 15, no. 13: 10395. https://doi.org/10.3390/su151310395
APA StyleMaqbool, M., Ishtiaq, M., Mazhar, M. W., Casini, R., Mahmoud, E. A., & Elansary, H. O. (2023). Enhancing Bioactive Metabolite Production in Aerva sanguinolenta Callus Cultures through Silver Nanoparticle and Salicylic Acid Elicitation. Sustainability, 15(13), 10395. https://doi.org/10.3390/su151310395

