Abstract
Efficient hydrogen storage methods are crucial for the large-scale application of hydrogen energy. This work studied the effects of fin structure and injection tube on the system performance of a hydrogen storage tank packed with LaNi5 alloy. An axisymmetric finite element model of the metal hydride hydrogen storage tank was established. The fin structure and injection tube were added to the hydrogen storage tank, and the effects of the fin location and injection tube on the efficiency and safety of the hydrogen storage tank during hydriding were analyzed. A parametric study on the wall fin structure and injection tube has been carried out to optimize the design of a hydrogen storage tank, and to improve its efficiency and safety. The hydrogen storage capacity of the optimized tank packed with LaNi5 alloy can reach 1.312 wt%, which is 99% of its maximum capacity, at around 650 s. The results show that the fin structure can improve the heat transfer performance of the storage tank, and that the injection tube can enhance the mass transfer of hydrogen in the tank.
1. Introduction
As a kind of clean energy, hydrogen energy can alleviate the increasingly serious environmental pollution problem. Since entering the 21st century, there has been significant progress in the research and utilization of hydrogen energy. Many countries and large enterprises have launched vehicles or equipment using hydrogen as energy. Some countries focusing on environmental issues consider hydrogen energy an important part of their future energy system. Hydrogen storage technology has become a key factor restricting the widespread promotion of hydrogen energy, making it more urgent to develop efficient, safe, and economical hydrogen storage technologies. Hydrogen storage technology is also a key issue for successfully applying fuel cell technology in transportation [1]. Currently, the hydrogen storage technologies being studied include high-pressure hydrogen storage, liquefied hydrogen storage, adsorption hydrogen storage, metal hydride hydrogen storage, and so on. High-pressure hydrogen storage has the advantages of a simple filling operation and a fast inflation speed. However, the volume of the high-pressure hydrogen storage tank is too large, the density of hydrogen is low, and the requirements for the material of the tank are high. The economy and safety of use are also poor. As a newly emerging hydrogen storage technology, adsorption hydrogen storage has the advantages of high safety and reliability, moderate hydrogen storage pressure, and the lightweight nature of hydrogen storage containers. However, the adsorption materials used in this technology still need to be improved in production technology, and more research is needed regarding hydrogen storage mechanisms and chemical modification. Liquefied hydrogen storage has the advantages of high energy density and low cost compared to high-pressure hydrogen storage. However, hydrogen liquefaction consumes a large amount of energy, and liquefied hydrogen storage tanks have high thermal insulation requirements, which have high requirements for tank materials. Metal hydride hydrogen storage has the advantage of a high mass density ratio, safe storage and transportation, and a high hydrogen purity, making metal hydride hydrogen storage the focus of hydrogen storage technology research. As one of the common hydrogen storage materials, LaNi5 hydrides present a relatively large hydrogen storage capacity. Chandra et al. [2] experimentally studied the hydrogen absorption characteristics of a 5 kg LaNi5 reactor with conical fins and heat transfer tubes under various water flow conditions, inlet temperatures, and hydrogen pressure conditions. A higher rate and pressure, and a lower temperature produce faster absorption through a higher driving force.
The heat and mass transfer in the metal hydride reactor has been studied by many researchers. The geometry and structure of the metal hydride reaction bed have to be carefully designed to achieve an acceptable hydrogen storage performance. Various heat exchanging methods, such as cooling tubes, metal fins, and phase change materials have been applied to the metal hydride tank to improve the hydrogen storage performance [3]. Kumar et al. [4] studied the effect of embedded cooling tubes on the system performance of industrial scale metal hydride tanks. Bai et al. [5] added gradient porosity metal foams to metal hydride reactors to enhance heat transfer, conducted detailed numerical studies on their hydrogen absorption properties, and applied genetic algorithms to optimize the distribution of metal foams under different conditions. A novel cylindrical metal hydride reactor embedded rectangular heat exchange channel (RHEC) is proposed in the literature [6]. The hydrogen absorption performance of RHEC was investigated and compared with longitudinal fin single-tube reactors and multi-layer fin single-tube reactors.
The thermal effect during hydrogen absorption must be relieved in order to obtain acceptable hydrogen storage performance. The hydrogen absorption rate and thermal performance of a metal hydride reactor integrated with an embossed plate heat exchanger were studied in the literature [7]. Liu et al. [8] proposed two kinds of metal hydride reactors, with and without central tubes, to enhance radial heat transfer. Wu et al. [9] proposed to improve the heat and mass transfer process in the Mg-based metal hydride hydrogen storage tank through the spiral heat exchanger. Eisapour et al. [10] used Fluent software to conduct a numerical analysis of the heat and mass transfer process in the Mg-based metal hydride tank.
Some heat exchanging methods, including a coiled-tube heat exchanger and a phase change material jacket, have been applied to the metal hydride reactor in our previous studies [11,12,13,14], and have been proven to improve the system efficiency. A reduced model for a metal hydride reactor with a coiled-tube heat exchanger has been developed to reduce the calculating time [14], which has been applied to further studies [11,12]. Nevertheless, the temperature of circulating water in the coiled-tube heat exchanger is assumed to be constant in these models. Phase change materials can be used as a kind of heat exchanger to store the heat released during hydriding and to provide the heat to the metal hydride bed during dehydriding. Considering the relatively low conductivities of phase change materials, metal foam can be composited with phase change materials in order to increase the effective thermal conductivities of phase change materials, which has a limited effect on improving the hydrogen storage efficiency of the metal hydride reservoir [13]. In general, the gaseous zone is not considered in the metal hydride reactor in our previous work. In addition, it is not easy to apply these heat exchangers with complex structures to the practical reactor. Considering the simple structure and the easy implementation of metal fin and injection tube, it is selected as the research object of this work, to optimize the heat transfer performance of the metal hydride bed.
Due to the high value of the reaction heat of the metal hydride, the negative thermal effect during hydriding/dehydriding on the performance of the system, including the hydrogen storage capacity and the reaction rate, cannot be ignored. This work aims to find an easy and feasible method to relieve the thermal effect and to improve system efficiency and safety. As for the metal hydride bed with a relatively large effective thermal conductivity, the reaction heat released during hydriding can be quickly transferred from the reactor to the environment, which is beneficial for reducing the temperature in the hydrogen storage tank and inhibiting the reverse reaction.
This paper established an analysis model of a LaNi5 alloy-packed hydrogen storage tank with a fin structure and an injection tube, and the effects of fin position and size, as well as injection tube radius, on the efficiency and safety of the hydrogen storage process, were studied.
2. Model and Verification of a Metal Hydride Hydrogen Storage Tank
2.1. Governing Equations for the Metal Hydride Hydrogen Storage System
The metal hydride hydrogen storage system conforms to the mass and momentum conservation equation, the energy conservation equation, the reaction kinetics equation, the equilibrium pressure equation, and the state equation.
2.1.1. The Mass and Momentum Conservation Equation
For hydrogen, the mass conservation equation can be expressed as:
where εb is the porosity of the metal hydride bed; ρg is the density of hydrogen, kg/m3; is the Darcy velocity, m/s; is the mass source term of hydrogen.
For solid materials, the mass conservation equation can be expressed as:
where ρs is the density of solid materials, kg/m3; Ss is the solid mass source term.
2.1.2. The Energy Conservation Equation
The energy conservation equation can be expressed as:
where is the effective heat capacity; is the effective thermal conductivity. The porosity εb of the metal hydride bed is assumed to be constant.
where the subscript g and s are the gas phase and the solid phase in the metal hydride reactor. The porosity is assumed as the constant in the model.
2.1.3. The Reaction Kinetic Equation
The mass source term of solid materials Ss is relative to the reaction kinetics equation of metal hydride and the equilibrium pressure [14]. It can be expressed as:
where Ca/d are the kinetics constants, 1/s; Ea/d are the activation energies, J/mol; peqa/d are the equilibrium pressures, Pa; T is the temperature, K; is the saturated density of solid materials, kg/m3; is the density of solid materials when all the metal hydrides have transformed into the alloy and the hydrogen, kg/m3.
2.1.4. The Equilibrium Pressure Equation
The equilibrium pressure equation can be expressed as:
where pref is the reference pressure, 1 MPa.
2.1.5. Equation of State for Ideal Gases
In this study, hydrogen is regarded as an ideal gas, and the ideal gas equation can be expressed as:
where is the pressure of gaseous hydrogen, Pa; Vg is the volume for the gas phase in the reactor, m3; R is the gas constant, J/kg/K.
2.1.6. Formula for Calculating the Hydrogen Storage Capacity
The metal hydride hydrogen storage capacity can be expressed as follows:
where ms is the mass of solid materials in the metal hydride reactor, kg; is the mass of solid matter in the reactor at which the metal hydrides are fully converted to alloys and hydrogen, kg.
2.2. Model Parameters for the Metal Hydride Hydrogen Storage System
2.2.1. Geometric Parameters
An axisymmetric model is built on the Comsol [15] software platform, as shown in Figure 1a. The computational domain for the basic case includes the metal hydride zone and the gaseous zone. Its base radius is 0.025 m and its height is 0.08 m. The radius of the hydrogen inlet is 0.005 m.
Figure 1.
The axisymmetric model of hydrogen storage tank established on the Comsol platform (a); the comparison of the temperature results between this model, experiment, and another model when the cooling temperature is 293 K (b); and grid independence validation (c).
2.2.2. Material Properties
The parameters of the hydrogen and metal hydride used in the simulation of the hydrogen storage system are shown in Table 1 [13]. The fin material is copper.
Table 1.
Properties of hydrogen and metal hydride used in the simulation.
2.2.3. Boundary and Initial Conditions
The upper part of the hydrogen storage tank is the expansion volume zone, and the lower part is the metal hydride bed. Boundary 1 is the hydrogen inlet. Boundaries 2, 3, and 4 are in contact with the coolant, and the coolant temperature Tf and heat transfer coefficient hf are constant. Boundary 5 is the symmetry axis.
The initial pressure and temperature in the tank are 0.143 MPa and 293 K, respectively. We suppose that the pressure increases linearly from an initial pressure to a constant pressure (0.8 MPa) in the first 100 s and maintains constant pressure.
2.2.4. Model Assumptions
The local thermal equilibrium is assumed to be valid between the solid and gaseous phases in our model, so the gaseous phase temperature is equal to the solid phase temperature. All of the thermo-physical properties of the hydrogen and MH are constant during the hydrogen absorption process. The effect of the tank wall on the metal hydride system is ignored.
2.3. Model Validation
The relevant parameters of the hydrogen storage tank are input into the model. The temperature at the point (0.015, 0.035) under the cooling temperature of 293 K is compared with the experimental and simulated data in the literature [16], to verify the validity of the model, as shown in Figure 1b. It can be seen that the simulation results in this work are in good agreement with the results in Ref. [16]. Figure 1c shows the results of grid independence validation. To meet the accuracy requirement and to ensure a relatively fast calculation speed, the normal density grid is selected in this work. The metal hydride hydrogen storage model developed on the Comsol software platform has been proven to be validated under different ambient temperatures during hydriding and dehydriding in our previous work.
3. Scheme Design and Comparison of Fin Structure and Injection Tube in the Metal Hydride Tank
Metal fins can be considered as an easy way to improve the heat transfer between the metal hydride bed and the environment. Three kinds of fin structures have been applied to the basic reactor, including the dish fins, ring fins, and wall fins. In addition, considering the positive effect of the injection tube on heat and mass transfer, it has been designed to work with metal fins to improve system performance.
3.1. Fin Structure and Its Effect on Hydrogen Storage Performance
Figure 2 shows hydrogen storage tanks with different fin structures. Figure 2a shows the tank without fins, and it has been described in Section 2.2.2. As shown in Figure 2b–d, the total volumes of the fins are the same for keeping the same amount of hydrogen storage materials. Axisymmetric models of the hydrogen storage tank with different fin structures are built on the Comsol platform. In Figure 2b, the fin radius is 0.01414 m, and the thickness is 0.002 m. The number of triangle units obtained by dividing the grid is 9286, the number of quadrilateral units is 1399, the number of edge units is 661, and the number of vertex units is 35. Figure 2c shows the ring-finned hydrogen storage tank. The fins in the hydrogen storage tank are ring-shaped, located between the symmetrical axis of the hydrogen storage tank and the tank wall, and the thickness of the fins is 0.00133 m. Figure 2d shows a hydrogen storage tank with fins close to the tank wall., and the thickness of the fins is 0.001 m.
Figure 2.
Hydrogen storage tank structures with (a) no fin, (b) dish fins, (c) ring fins, and (d) wall fins.
Figure 3a shows the average temperature variation of the hydrogen storage tank under different fin structures. The average temperatures in this paper are the volume-averaged temperatures of the hydrogen storage tank derived by the Comsol platform during the simulation process. It can be seen that the average temperature first increases and then decreases, and finally tends to be stable. A large amount of heat is generated in the initial stage of the hydrogen absorption reaction and the thermal conductivity of the hydrogen storage alloy is low, so the heat cannot be transferred to the coolant in time, resulting in a rapid rise in the average temperature in the early stage of the reaction. Subsequently, as the temperature difference becomes larger, the reaction rate decreases and the heat generated by the reaction decreases, and is gradually absorbed by the coolant, so that the average temperature gradually decreases. Finally, the average temperature is consistent with the coolant temperature.
Figure 3.
Effects of fin structures of the hydrogen storage tank on average temperature (a) and hydrogen storage capacity (b).
It can also be seen from Figure 3a that equipping the fin structure will increase the heat transfer rate of the hydrogen storage tank, and that the location of the fins will have a greater impact on the average temperature of the hydrogen storage tank. During the heating stage of the hydrogen storage tank, the fins will not affect the heat transfer characteristics of the tank. As the reaction continues, the average temperature of the hydrogen storage tank with the fin structure drops faster than that of the original tank. The closer the fins are to the tank wall, the better the heat dissipation performance of the hydrogen storage tank. The reason for this is that a large amount of heat will accumulate in the center of the metal hydride tank during the hydrogen absorption process. In the tank wall fin structure, one end of the fin is close to the tank wall. The fin can directly transfer the heat in the tank to the coolant, so that this structure can reduce the average temperature in the tank more quickly, and the time to cool down to the cooling temperature is shorter.
Figure 3b shows the change in the hydrogen storage capacity of the metal hydride tank under different fin structures. The figure shows that the fin structure greatly influences the hydrogen mass transfer characteristics in the tank, and that equipping the fin structure will improve the hydrogen storage performance of the metal hydride tank. Compared with other hydrogen storage tanks, the wall fin tank has better hydrogen storage performance and can make the reaction reach equilibrium within a shorter time. As is shown in Figure 3, the case with the wall fins structure reaches the saturation state almost 1000 s faster than the basic case without fins.
It can be concluded that the wall fin structure can effectively enhance the heat transfer performance inside the hydrogen storage tank, quickly reduce the temperature of the metal hydride bed, and accelerate the absorption reaction.
3.2. The Injection Tube and Its Effect on Hydrogen Storage Performance
This section adds an injection tube to the previous hydrogen storage tank to study the effect of the injection tube on the hydrogen storage performance of the tank. Figure 4 shows hydrogen storage tanks of different structures with an injection tube.
Figure 4.
Different structures of hydrogen storage tanks equipped with a centric injection tube, including (a) no fin, (b) ring fins, and (c) wall fins.
Figure 5a shows the average temperature change of the hydrogen storage tank after adding the injection tube. It can be seen that after adding the injection tube, the heat dissipation performance of the metal hydride tank has been improved to a certain extent. During the cooling phase of the hydrogen storage tanks, the average temperature curves of the six hydrogen storage tanks showed great differences. Compared with the hydrogen storage tank with the fin structure but without the injection tube, the hydrogen storage tank with the injection tube structure has a better heat dissipation performance.
Figure 5.
Effects of injection tube structure of hydrogen storage tank on average temperature (a) and hydrogen storage capacity (b).
Figure 5b shows the change in the hydrogen storage capacity of different tanks. It can be seen from the figure that after adding the injection tube, the hydrogen storage performance of the metal hydride tank is improved. Increasing the injection tube structure as the reaction progresses allows hydrogen to reach the unreacted hydrogen storage alloy faster. Therefore, the hydrogen storage tank with the injection tube will form a metal hydride faster than the hydrogen storage tank without the injection tube structure. The center injection tube with the ring fins structure has a longer absorption reaction time than the tank wall fin with no center injection tube structure because the tank wall fin structure has better heat transfer and fewer reverse reactions. As for the case with the centric injection tubes with wall fins structures, the time required to reach saturation state can be reduced by half compared with the basic case in Figure 5.
It can be seen from the analysis that the injection tube structure can enhance the mass transfer performance inside the hydrogen storage tank. The combination of the injection tube and the wall fin structures can significantly enhance the heat and mass transfer of the tank and make the absorption reactions faster.
4. Parametric Study of a Hydrogen Storage Tank with a Wall Fin Structure
Based on the optimization of the main structure of the metal hydride reactor, some specific parameters have been further studied. This section will analyze the effects of changes in the radius of the injection tube and the size of the fins on the hydrogen storage performance of the metal hydride tank with a wall fin structure.
4.1. Effect of the Injection Tube Radius
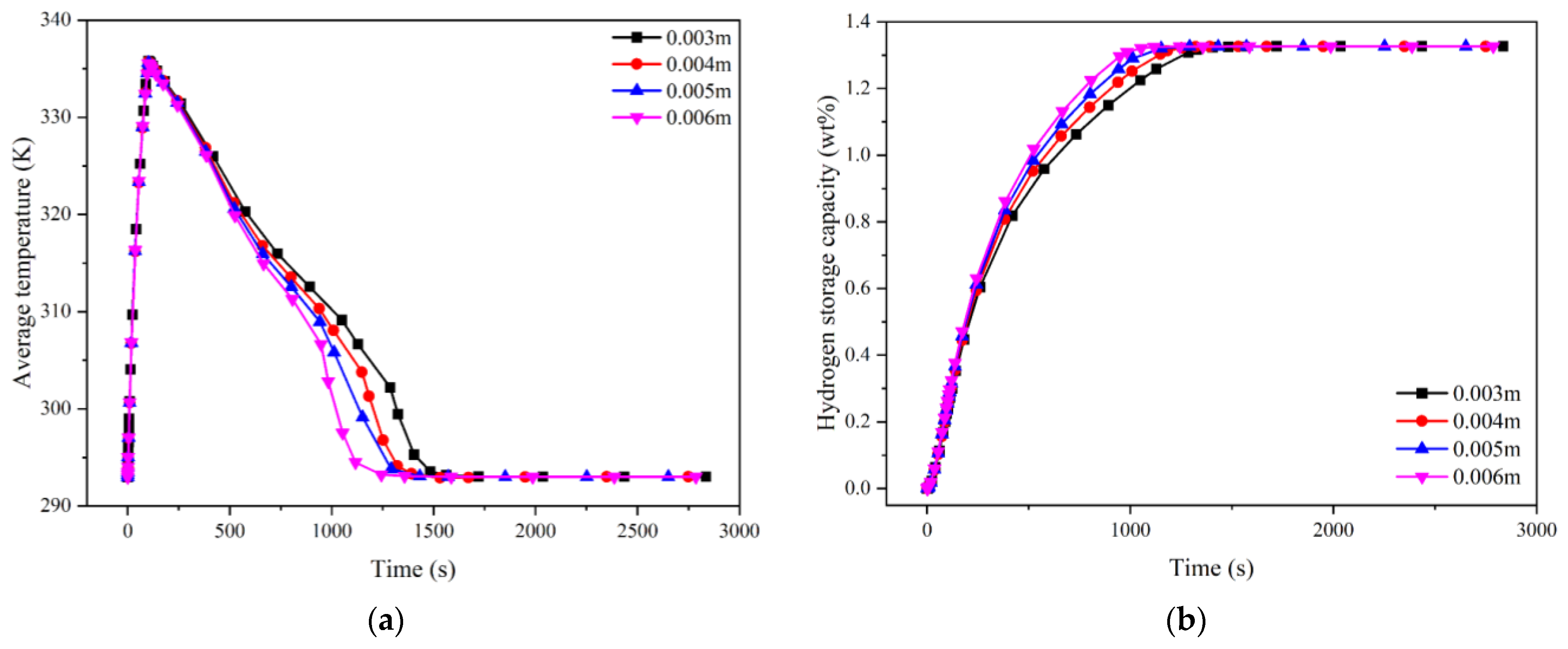
In this section, the radius of the injection tube in the hydrogen storage tank with the wall fins structure is taken as 0.003 m, 0.004 m, 0.005 m, and 0.006 m, respectively. The fins in the four structures have the same size, 0.01 m long and 0.001 m thick. The analysis and research of the four hydrogen storage tanks are all carried out based on a certain total volume of the hydrogen storage alloy.
Figure 6a shows the average temperature change of metal hydride hydrogen storage tanks under different injection tube radii. It can be seen that the larger the radius of the injection tube, the faster the average temperature of the metal hydride tank will drop. The shorter time that it takes for the hydrogen storage alloy to cool down to the coolant temperature indicates better heat dissipation performance of the metal hydride tank.
Figure 6.
Effect of the radius of injection tube of hydrogen storage tank on average temperature (a) and hydrogen storage capacity (b), when the fin length is 0.01 m and fin thickness is 0.001 m.
Figure 6b shows the change in the hydrogen storage capacity of metal hydride tanks with different injection tube radii. It can be seen that the hydrogen absorption rate increases with the increase in the injection tube radius. The main reason for this is that increasing the radius of the injection tube will increase the interface area between the gaseous zone and the metal hydride zone, which enhances the mass transfer process and accelerates the hydrogen absorption reaction.
Figure 7 shows the temperature and hydrogen storage capacity distribution of the metal hydride of the four hydrogen storage tanks at 700 s. It can be seen that the distributions of the high-temperature zones in the four hydrogen storage tanks are different. The zone near the fins has reached a saturated state, but there are still some zones near the injection tube that possess low hydrogen storage capacity at 700 s, as shown in the blue zone in Figure 7b. At the same time, the distribution of the zone with a metal hydride content of lower than 0.4% is consistent with the distribution of the zone with a temperature that is higher than 335 K.
Figure 7.
Temperature distribution (a) and hydrogen storage capacity distribution of metal hydride (b) of four structures at 700 s.
From the above analysis, it can be seen that when the total mass of the hydrogen storage alloy remains unchanged, increasing the radius of the injection tube can increase the boundary area of the metal hydride, which can further improve the hydrogen mass transfer in the tank and accelerate the absorption rate.
4.2. Effect of Wall Fin Size
Table 2 shows the structural dimensions of five fins with different lengths. Analysis and research on the five structures are all carried out on the basis that the total volume of the fins and the total volume of the hydrogen storage alloy are certain.
Table 2.
Dimensions of fin structures.
Figure 8a shows the average temperature change of the metal hydride hydrogen storage tank under different fin lengths. It can be seen from the figure that the longer the fins, the closer the hydrogen storage alloy in the central zone of the hydrogen storage tank is to the fins. The smaller thermal resistance of the heat transfer from the central high-temperature zone to the fins is more conducive to heat dissipation in the high-temperature central zone of the hydrogen storage tank. Therefore, Wall I exhibited better heat dissipation performance.
Figure 8.
Effect of fin length on average temperature (a) and hydrogen storage capacity (b).
Figure 8b shows the change in the hydrogen storage capacities of metal hydride tanks under different fin lengths. It can be seen from the figure that the overall change trend of the hydrogen storage capacity curves of the five hydrogen storage tanks are the same: the slope of the curve at the initial stage of the hydrogen absorption reaction is relatively large. As the reaction proceeds, a large amount of heat is concentrated in the central zone, hindering the hydrogen absorption reaction, so that the hydrogen storage capacity curve gradually becomes. Compared with the other four hydrogen storage tanks, the hydrogen absorption rate of Wall Fin I is significantly faster.
Figure 9 shows the temperature distribution and the hydrogen storage capacity distribution of the five structures at 500 s. The closer the fins are to the central zone of the hydrogen storage tank, the faster the temperature of the hydrogen storage alloy will drop, and the better the heat dissipation and the hydrogen storage performance of the tank will be. As the reaction progresses, the low-temperature hydrogen that is directly in contact with the hydrogen storage alloy will absorb a small amount of heat from the high-temperature alloy, thereby improving the heat dissipation effect in the central zone.
Figure 9.
Temperature distribution (a) and hydrogen storage capacity distribution of metal hydride (b) in the tanks with five structures at 500 s.
At the same time, the heat dissipation performance of the hydrogen storage tank directly affects the hydrogen absorption rate of the hydrogen storage alloy, and the extended fins are more beneficial to the heat dissipation of the hydrogen storage tank. Therefore, the positive gain of the lengthened fins on heat transfer is greater than the negative gain on mass transfer, so the longer the fins, the better the hydrogen storage performance of the tank.
It can be seen that increasing the length of the fins can enhance the heat transfer in the tank, accelerate the heat dissipation speed, improve the temperature uniformity inside the tank, reduce reverse reactions, and accelerate the absorption speed, which can avoid the problem of low absorption efficiency and poor safety caused by long-term heat accumulation. Therefore, the structure Wall Fin I has more excellent hydrogen storage performance.
5. Conclusions
An axisymmetric model of the metal hydride hydrogen storage tank has been developed on the Comsol platform. The hydrogen storage efficiency and safety of LaNi5 alloy-packed metal hydride tanks with different fin and injection tube structures have been simulated. The results show that the fin structure can effectively improve the heat transfer performance of the storage tank, and that the injection tube can enhance the hydrogen mass transfer in the tank.
Increasing the radius of the injection tube can expand the boundary area between the metal hydride bed and the gaseous hydrogen zone, which can further improve the hydrogen mass transfer in the tank and accelerate the absorption rate. When the radius of the injection tube is 0.006 m, the hydrogen storage capacity of the tank with a wall fin structure can reach 1.312 wt%, which is 99% of its maximum capacity at around 1000 s. Increasing the length of the fins can further improve the heat transfer performance between the metal hydride bed and coolant, and accelerate the absorption rate. When the fins extend to the injection tube, the average temperature of the tank rapidly decreases, and the hydrogen storage capacity of the tank reaches 99% of its maximum capacity at around 650 s.
By arranging the fin structure and the injection tube in the metal hydride tank, and by optimizing their structural parameters, the heat and mass transfer performance inside the tank can be effectively improved, and the efficiency and safety of the hydrogen storage process can be improved.
More work can be performed to improve upon the performance of the metal hydride hydrogen storage system in future studies. New metal hydrides with higher hydrogen storage performances can be developed. The effective thermal conductivities of metal hydride beds can be improved by adding metal foams or other materials with better heat transfer performance. Some efficient heat exchangers can be applied to the metal hydride reactor to improve the reaction rate. Furthermore, the effect of the tank wall on system performance can be evaluated in further studies.
Author Contributions
Conceptualization, J.X. and T.Y.; methodology, M.L. and T.Y.; software, Z.W. and Y.L.; validation, L.T. and T.Y.; formal analysis, M.L. and Y.L.; investigation, Z.W.; resources, M.L. and B.Z.; data curation, X.Z. and Z.W.; writing—original draft preparation, M.L., Y.L., and Z.W.; writing—review and editing, J.X., L.T. and X.L.; visualization, B.Z.; supervision, X.Z.; project administration, M.L. and X.L.; funding acquisition, M.L. All authors have read and agreed to the published version of the manuscript.
Funding
This research was funded by the Technology Project of the State Grid Zhejiang Electric Power Company, Ltd., “Research on risk identification and safety protection technology of electric-hydrogen coupling system” (No. B311DS221001).
Data Availability Statement
The data are contained within the article.
Conflicts of Interest
The authors declare no conflict of interest.
References
- Jhi, S.H. A Theoretical Study of Activated Nanostructured Materials for Hydrogen Storage. Catal. Today 2007, 120, 383–388. [Google Scholar] [CrossRef]
- Chandra, S.; Sharma, P.; Muthukumar, P.; Tatiparti, S.S.V. Experimental hydrogen sorption study on a LaNi5-based 5 kg reactor with novel conical fins and water tubes and its numerical scale-up through a modular approach. Int. J. Hydrogen Energy 2022, in press. [Google Scholar] [CrossRef]
- Cui, Y.H.; Zeng, X.G.; Xiao, J.F.; Kou, H.Q. The comprehensive review for development of heat exchanger configuration design in metal hydride bed. Int. J. Hydrogen Energy 2022, 47, 2461–2490. [Google Scholar] [CrossRef]
- Kumar, A.; Raju, N.N.; Muthukumar, P.; Selvan, P.V. Experimental studies on industrial scale metal hydride based hydrogen storage system with embedded cooling tubes. Int. J. Hydrogen Energy 2019, 44, 13549–13560. [Google Scholar] [CrossRef]
- Bai, X.S.; Yang, W.W.; Yang, Y.J.; Zhang, K.R.; Yang, F.S. Multi-variable optimization of metal hydride hydrogen storage reactor with gradient porosity metal foam and evaluation of comprehensive performance. Int. J. Hydrogen Energy 2022, 47, 35340–35351. [Google Scholar] [CrossRef]
- Bai, X.S.; Yang, W.W.; Tang, X.Y.; Yang, F.S.; Jiao, Y.H.; Yang, Y. Hydrogen absorption performance investigation of a cylindrical MH reactor with rectangle heat exchange channels. Energy 2021, 232, 121101. [Google Scholar] [CrossRef]
- Lewis, S.D.; Chippar, P. Numerical investigation of hydrogen absorption in a metal hydride reactor with embedded embossed plate heat exchanger. Energy 2020, 194, 116942. [Google Scholar] [CrossRef]
- Liu, Y.; Ayub, I.; Khan, M.R.; Yang, F.S.; Wu, Z.; Zhang, Z.X. Numerical investigation of metal hydride heat storage reactor with two types multiple heat transfer tubes structures. Energy 2022, 253, 124142. [Google Scholar] [CrossRef]
- Wu, Z.; Yang, F.S.; Zhu, L.Y.; Feng, P.H.; Zhang, Z.X.; Wang, Y.Q. Improvement in hydrogen desorption performances of magnesium based metal hydride reactor by incorporating helical coil heat exchanger. Int. J. Hydrogen Energy 2016, 41, 16108–16121. [Google Scholar] [CrossRef]
- Eisapour, A.H.; Naghizadeh, A.; Eisapour, M.; Talebizadehsardari, P. Optimal design of a metal hydride hydrogen storage bed using a helical coil heat exchanger along with a central return tube during the absorption process. Int. J. Hydrogen Energy 2021, 46, 14478–14493. [Google Scholar] [CrossRef]
- Tong, L.; Yuan, Y.P.; Yang, T.Q.; Benard, P.; Yuan, C.Q.; Xiao, J.S. Hydrogen release from a metal hydride tank with phase change material jacket and coiled-tube heat exchanger. Int. J. Hydrogen Energy 2021, 46, 32135–32148. [Google Scholar] [CrossRef]
- Tong, L.; Yuan, C.Q.; Yang, T.Q.; Benard, P.; Yuan, Y.P.; Xiao, J.S. Performance estimation of dehydriding process in metal hydride hydrogen storage tank with coiled-tube heat exchanger. Case Stud. Therm. Eng. 2021, 28, 101633. [Google Scholar] [CrossRef]
- Tong, L.; Xiao, J.S.; Benard, P.; Chahine, R. Thermal management of metal hydride hydrogen storage reservoir using phase change materials. Int. J. Hydrogen Energy 2019, 44, 21055–21066. [Google Scholar] [CrossRef]
- Tong, L.; Xiao, J.S.; Yang, T.Q.; Benard, P.; Chahine, R. Complete and reduced models for metal hydride reactor with coiled-tube heat exchanger. Int. J. Hydrogen Energy 2019, 44, 15907–15916. [Google Scholar] [CrossRef]
- COMSOL Multiphysics®. Available online: https://www.comsol.com (accessed on 14 June 2023).
- Chung, C.A.; Ho, C.J. Thermal–Fluid Behavior of the Hydriding and Dehydriding Processes in a Metal Hydride Hydrogen Storage Canister. Int. J. Hydrogen Energy 2009, 34, 4351–4364. [Google Scholar] [CrossRef]
Disclaimer/Publisher’s Note: The statements, opinions and data contained in all publications are solely those of the individual author(s) and contributor(s) and not of MDPI and/or the editor(s). MDPI and/or the editor(s) disclaim responsibility for any injury to people or property resulting from any ideas, methods, instructions or products referred to in the content. |
© 2023 by the authors. Licensee MDPI, Basel, Switzerland. This article is an open access article distributed under the terms and conditions of the Creative Commons Attribution (CC BY) license (https://creativecommons.org/licenses/by/4.0/).








