Evaluating the Ecological Sustainability of Agrifood Land in Ethnic Minority Areas: A Comparative Study in Yunnan China
Abstract
1. Introduction
2. Study Area and Methods
2.1. Study Area
2.2. Methods
2.2.1. Eco-Efficiency Analysis
2.2.2. Redundancy Analysis
3. Results
3.1. Eco-Efficiency of Agrifood Land in Different Ethnic Groups
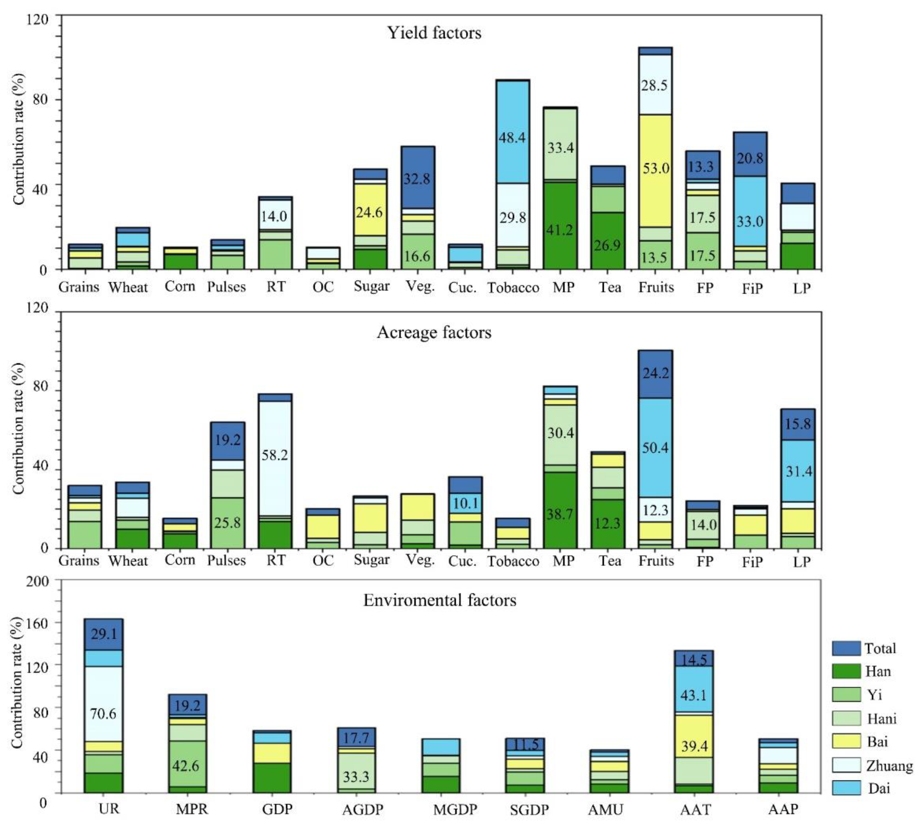
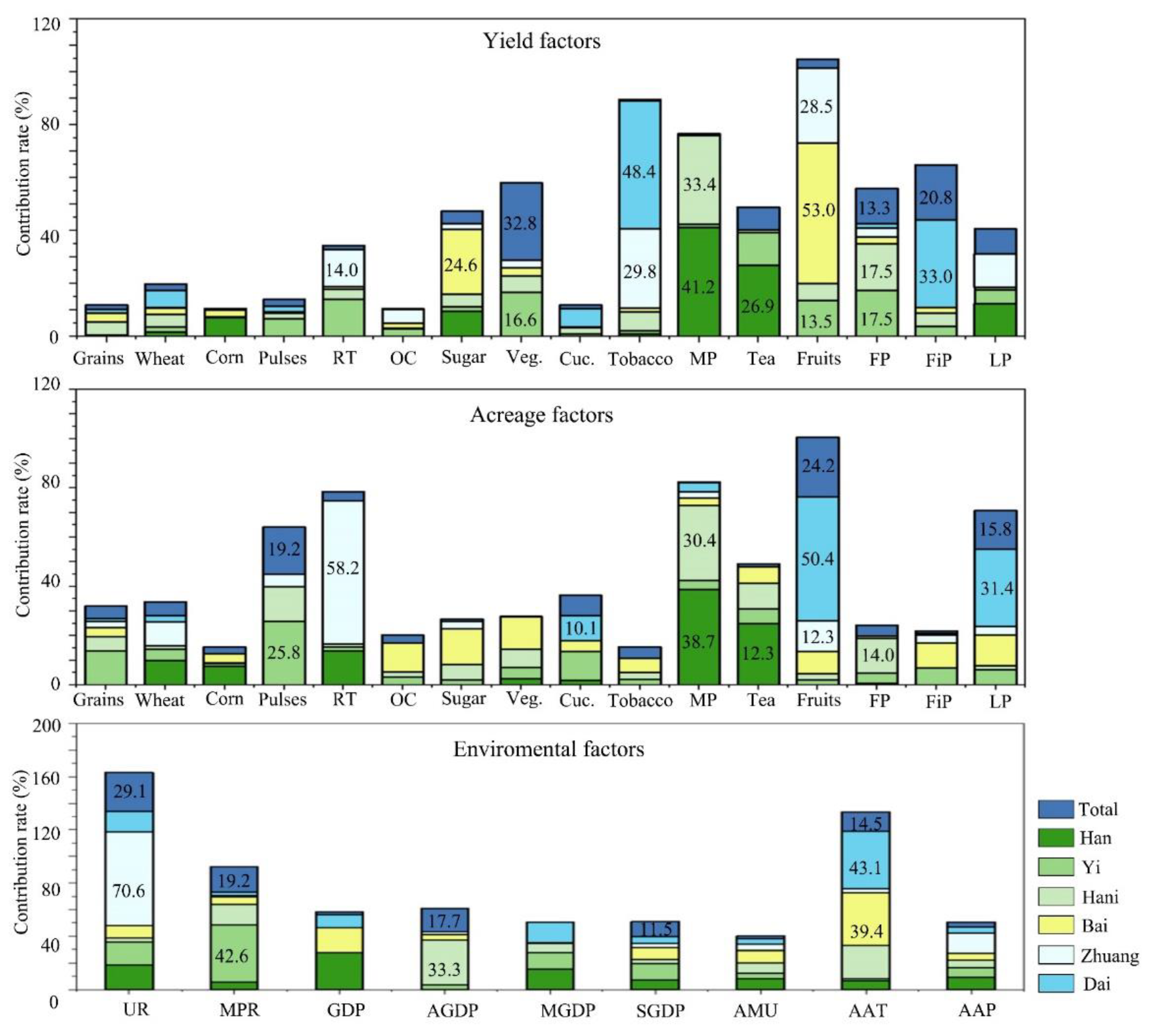
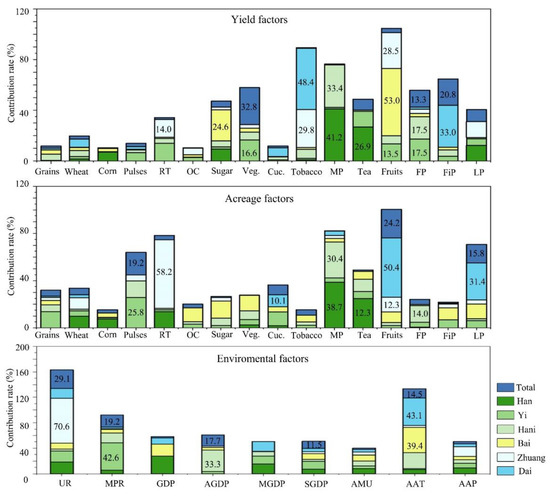
3.2. Contribution of Agrifood Production Factors to Agrifood Land Eco-Efficiency
3.3. Contribution of Environmental Factors to Agrifood Land Eco-Efficiency
4. Discussion
5. Conclusions
5.1. Limitations
5.2. Practical Implications
5.3. Future Research
Author Contributions
Funding
Institutional Review Board Statement
Informed Consent Statement
Data Availability Statement
Conflicts of Interest
References
- Pandey, D.K.; Momin, K.C.; Dubey, S.K.; Adhiguru, P. Biodiversity in agricultural and food systems of jhum landscape in the West Garo Hills, North-eastern India. Curr. Sci. 2022, 122, 376. [Google Scholar] [CrossRef] [PubMed]
- Kurniawan, T.; Kurniawan, E. Policy on Utilizing Indigenous Knowledge in Critical Land Rehabilitation and Fulfillment of Sustainable Food Security in Indonesia: Regrowing “Talun-Kebun” as Part of the Local Permaculture Model in West Java. Environ. Sci. Proc. 2022, 15, 2. [Google Scholar] [CrossRef]
- Sulaiman, S.; Shah, S.; Khan, S.; Bussmann, R.W.; Ali, M.; Hussain, D.; Hussain, W. Quantitative Ethnobotanical Study of Indigenous Knowledge on Medicinal Plants Used by the Tribal Communities of Gokand Valley, District Buner, Khyber Pakhtunkhwa, Pakistan. Plants 2020, 9, 1001. [Google Scholar] [CrossRef] [PubMed]
- Domingo, A.; Charles, K.-A.; Jacobs, M.; Brooker, D.; Hanning, R.M. Indigenous Community Perspectives of Food Security, Sustainable Food Systems and Strategies to Enhance Access to Local and Traditional Healthy Food for Partnering Williams Treaties First Nations (Ontario, Canada). Int. J. Environ. Res. Public Health 2021, 18, 4404. [Google Scholar] [CrossRef]
- Singh, A.; Singh, R.K.; Sureja, A.K. Cultural significance and diversities of ethnic foods of Northeast India. Indian. J. Tradit. Know. 2007, 6, 79–94. [Google Scholar]
- Mattalia, G.; Sõukand, R.; Corvo, P.; Pieroni, A. Wild Food Thistle Gathering and Pastoralism: An Inextricable Link in the Biocultural Landscape of Barbagia, Central Sardinia (Italy). Sustainability 2020, 12, 5105. [Google Scholar] [CrossRef]
- FAO. GIAHS around the World. Available online: http://www.fao.org/giahs/giahsaroundtheworld/en/ (accessed on 7 March 2017).
- Haq, S.M.; Hassan, M.; Jan, H.A.; Al-Ghamdi, A.A.; Ahmad, K.; Abbasi, A.M. Traditions for Future Cross-National Food Security—Food and Foraging Practices among Different Native Communities in the Western Himalayas. Biology 2022, 11, 455. [Google Scholar] [CrossRef]
- Abdullah, A.; Khan, S.M.; Pieroni, A.; Haq, A.; Haq, Z.U.; Ahmad, Z.; Sakhi, S.; Hashem, A.; Al-Arjani, A.-B.F.; Alqarawi, A.A.; et al. A Comprehensive Appraisal of the Wild Food Plants and Food System of Tribal Cultures in the Hindu Kush Mountain Range; a Way Forward for Balancing Human Nutrition and Food Security. Sustainability 2021, 13, 5258. [Google Scholar] [CrossRef]
- Espluga-Trenc, J.; Calvet-Mir, L.; López-García, D.; Di Masso, M.; Pomar, A.; Tendero, G. Local Agri-Food Systems as a Cultural Heritage Strategy to Recover the Sustainability of Local Communities. Insights from the Spanish Case. Sustainability 2021, 13, 6068. [Google Scholar] [CrossRef]
- Moreno-Calles, A.I.; Casas, A.; Rivero-Romero, D.; Romero-Bautista, A.Y.; Rangel-Landa, S.; Fisher-Ortiz, A.; Alvarado-Ramos, F.; Vallejo-Ramos, M.; Santos-Fita, D. Ethnoagroforestry: Integration of Biocultural Diversity for Food Sovereignty in Mexico. J. Ethnobiol. Ethnomed. 2016, 12, 35. [Google Scholar] [CrossRef]
- Hongzeng, Q.; Jianling, T. Settling Down and On the Move: Changing Crops, Means of Livelihood, and Culture of the Bunu Yao Nationality. Chin. Sociol. Anthr. 2008, 40, 6–26. [Google Scholar] [CrossRef]
- Castagnetti, F.; Bhatta, J.; Greene, A. An Offering of Grain: The Agricultural and Spiritual Cycle of a Food System in the Kailash Sacred Landscape, Darchula, Far Western Nepal. Front. Sustain. Food Syst. 2021, 5, 646719. [Google Scholar] [CrossRef]
- d’Amour, C.B.; Reitsma, F.; Baiocchi, G.; Barthel, S.; Güneralp, B.; Erb, K.-H.; Haberl, H.; Creutzig, F.; Seto, K.C. Future Urban Land Expansion and Implications for Global Croplands. Proc. Natl. Acad. Sci. USA 2017, 114, 8939–8944. [Google Scholar] [CrossRef]
- Beckers, V.; Poelmans, L.; Van Rompaey, A.; Dendoncker, N. The Impact of Urbanization on Agricultural Dynamics: A Case Study in Belgium. Land Use Policy 2020, 97, 104786. [Google Scholar] [CrossRef]
- Bonye, S.Z.; Aasoglenang, T.A.; Yiridomoh, G.Y. Urbanization, Agricultural Land Use Change and Livelihood Adaptation Strategies in Peri-Urban Wa, Ghana. SN Soc. Sci. 2020, 1, 9. [Google Scholar] [CrossRef]
- Fuller, A.M.; Min, Q.; Jiao, W.; Bai, Y. Globally Important Agricultural Heritage Systems (GIAHS) of China: The Challenge of Complexity in Research. Ecosyst. Health Sustain. 2015, 1, 1–10. [Google Scholar] [CrossRef]
- Min, Q.; Zhang, Y.; Jiao, W.; Sun, X. Responding to Common Questions on the Conservation of Agricultural Heritage Systems in China. J. Geogr. Sci. 2016, 26, 969–982. [Google Scholar] [CrossRef]
- Song, H.; Chen, P.; Zhang, Y.; Chen, Y. Study Progress of Important Agricultural Heritage Systems (IAHS): A Literature Analysis. Sustainability 2021, 13, 10859. [Google Scholar] [CrossRef]
- Liu, G.; Doronzo, D.M. A Novel Approach to Bridging Physical, Cultural, and Socioeconomic Indicators with Spatial Distributions of Agricultural Heritage Systems (AHS) in China. Sustainability 2020, 12, 6921. [Google Scholar] [CrossRef]
- Jiao, W.; Min, Q. Reviewing the Progress in the Identification, Conservation and Management of China-Nationally Important Agricultural Heritage Systems (China-NIAHS). Sustainability 2017, 9, 1698. [Google Scholar] [CrossRef]
- Pinheiro, R.O.; de Paula, L.F.A.; Giardino, M. Agricultural Heritage: Contrasting National and International Programs in Brazil and Italy. Sustainability 2022, 14, 6401. [Google Scholar] [CrossRef]
- Kajihara, H.; Zhang, S.; You, W.; Min, Q. Concerns and Opportunities around Cultural Heritage in East Asian Globally Important Agricultural Heritage Systems (GIAHS). Sustainability 2018, 10, 1235. [Google Scholar] [CrossRef]
- García, M.A.; Yagüe, J.L.; de Nicolás, V.L.; Díaz-Puente, J.M. Characterization of Globally Important Agricultural Heritage Systems (GIAHS) in Europe. Sustainability 2020, 12, 1611. [Google Scholar] [CrossRef]
- Qingwen, M. Exploration and Conservation of Important Agricultural Heritage Systems in Minority Areas of China. J. Orig. Ecol. Natl. Cult. 2020, 12, 116–127. [Google Scholar]
- Zhang, Y.; Li, X.; Min, Q. How to balance the relationship between conservation of Important Agricultural Heritage Systems (IAHS) and socio-economic development? A theoretical framework of sustainable industrial integration development. J. Clean. Prod. 2018, 204, 553–563. [Google Scholar] [CrossRef]
- Sun, X.; Min, Q.; Bai, Y.; Fuller, A.M. Analyzing Environmental Stress Counter-measures in Agricultural Heritage Sites in China. J. Resour. Ecol. 2014, 5, 328–334. [Google Scholar]
- Tabaglio, V.; Fiorini, A.; Ndayisenga, V.; Ndereyimana, A.; Minuti, A.; Nyembo Nyembo, R.; Nyembo Ngoy, D.; Bertoni, G. Sustainable Intensification of Cassava Production towards Food Security in the Lomami Province (DR Congo): Role of Planting Method and Landrace. Agronomy 2023, 13, 228. [Google Scholar] [CrossRef]
- Omotayo, A.O.; Ijatuyi, E.J.; Ogunniyi, A.I.; Aremu, A.O. Exploring the Resource Value of Transvaal Red Milk Wood (Mimusops zeyheri) for Food Security and Sustainability: An Appraisal of Existing Evidence. Plants 2020, 9, 1486. [Google Scholar] [CrossRef] [PubMed]
- Jouzi, Z.; Leung, Y.-F.; Nelson, S. Terrestrial Protected Areas and Food Security: A Systematic Review of Research Approaches. Environments 2020, 7, 83. [Google Scholar] [CrossRef]
- Yuan, Z.; Lun, F.; He, L.; Cao, Z.; Min, Q.; Bai, Y.; Liu, M.; Cheng, S.; Li, W.; Fuller, A.M. Exploring the state of retention of Traditional Ecological Knowledge (TEK) in a Hani Rice Terrace Village, Southwest China. Sustainability 2014, 6, 4497–4513. [Google Scholar] [CrossRef]
- Yang, L.; Yang, J.; Min, Q.; Liu, M. Impacts of non-agricultural livelihood transformation of smallholder farmers on agricultural system in the Qinghai-Tibet Plateau. Int. J. Agric. Sustain. 2022, 20, 302–311. [Google Scholar] [CrossRef]
- Yang, L.; Liu, M.; Min, Q.; Li, W. Specialization or diversification? The situation and transition of households’ livelihood in agricultural heritage systems. Int. J. Agric. Sustain. 2018, 16, 455–471. [Google Scholar] [CrossRef]
- Wackernagel, M.; Rees, W.E. Perceptual and structural barriers to investing in natural capital: Economics from an ecological footprint perspective. Ecol. Econ. 1997, 20, 3–24. [Google Scholar] [CrossRef]
- Wackernagel, M.; Monfreda, C.; Schulz, N.B.; Erb, K.-H.; Haberl, H.; Krausmann, F. Calculating national and global ecological footprint time series: Resolving conceptual challenges. Land Use Policy 2004, 21, 271–278. [Google Scholar] [CrossRef]
- Dembińska, I.; Kauf, S.; Tłuczak, A.; Szopik-Depczyńska, K.; Marzantowicz, Ł.; Ioppolo, G. The impact of space development structure on the level of ecological footprint-Shift share analysis for European Union countries. Sci. Total Environ. 2022, 851, 157936. [Google Scholar] [CrossRef] [PubMed]
- Ahmed, Z.; Zafar, M.W.; Ali, S.; Danish. Linking urbanization, human capital, and the ecological footprint in G7 countries: An empirical analysis. Sust. Cities Soc. 2020, 55, 102064. [Google Scholar] [CrossRef]
- Kovács, Z.; Farkas, J.Z.; Szigeti, C.; Harangozó, G. Assessing the sustainability of urbanization at the sub-national level: The Ecological Footprint and Biocapacity accounts of the Budapest Metropolitan Region, Hungary. Sust. Cities Soc. 2022, 84, 104022. [Google Scholar] [CrossRef]
- YBS. Yunnan Statistical Yearbook (2010–2021). Available online: http://stats.yn.gov.cn/tjsj/tjnj/ (accessed on 7 March 2023).
- MARA. China-NIAHS around the China. Available online: http://www.moa.gov.cn/ztzl/zywhycsl/ (accessed on 7 March 2017).
- RESDCCAS. Yunnan Topography. Available online: https://www.resdc.cn/ (accessed on 7 March 2023).
- CEAC. Chinese Ethnic Statistics Yearbook (2010–2020); Ethnic Publishing House: Beijing, China, 2021. [Google Scholar]
- Global Footprint Network. Analyze by Land Types. Available online: https://www.footprintnetwork.org/resources/glossary/ (accessed on 7 March 2023).
- Fan, Y.; Fang, C. Measuring Qinghai-Tibet plateau’s sustainability. Sustain. Cities Soc. 2022, 85, 104058. [Google Scholar] [CrossRef]
- Franco, S. Assessing the environmental sustainability of local agricultural systems: How and why. Curr. Res. Environ. Sustain. 2021, 3, 100028. [Google Scholar] [CrossRef]
- Geng, X.; Zhang, D.; Li, C.; Li, Y.; Huang, J.; Wang, X. Application and Comparison of Multiple Models on Agricultural Sustainability Assessments: A Case Study of the Yangtze River Delta Urban Agglomeration, China. Sustainability 2020, 13, 121. [Google Scholar] [CrossRef]
- Legendre, P.; Anderson, M.J. Distance-based redundancy analysis: Testing multispecies responses in multifactorial ecological experiments. Ecol. Monogr. 1999, 69, 1–24. [Google Scholar] [CrossRef]
- Ter Braak, C.J.F.; Smilauer, P. Canoco Reference Manual and User’s Guide: Software for Ordination, Version 5.0; Microcomputer Power: Ithaca, NY, USA, 2012. [Google Scholar]
- Satterthwaite, D.; McGranahan, G.; Tacoli, C. Urbanization and its implications for food and farming. Phil. Trans. R. Soc. B Biol. Sci. 2010, 365, 2809–2820. [Google Scholar] [CrossRef] [PubMed]
- Pandit, J.; Bhardwaj, S.K.; Sharma, A.K. Ecological footprint of Solan district, Himachal Pradesh, India. Curr. Sci. 2022, 122, 978–980. [Google Scholar] [CrossRef]
- Huang, X.; Chen, C.; Qian, H.; Chen, M.; Deng, A.; Zhang, J.; Zhang, W. Quantification for carbon footprint of agricultural inputs of grains cultivation in China since 1978. J. Clean. Prod. 2017, 142, 1629–1637. [Google Scholar] [CrossRef]
- Liu, W.; Zhang, G.; Wang, X.; Lu, F.; Ouyang, Z. Carbon footprint of main crop production in China: Magnitude, spatial-temporal pattern and attribution. Sci. Total Environ. 2018, 645, 1296–1308. [Google Scholar] [CrossRef] [PubMed]
- Chen, X.; Ma, C.; Zhou, H.; Liu, Y.; Huang, X.; Wang, M.; Cai, Y.; Su, D.; Muneer, M.A.; Guo, M.; et al. Identifying the main crops and key factors determining the carbon footprint of crop production in China, 2001–2018. Resour. Conserv. Recycl. 2021, 172, 105661. [Google Scholar] [CrossRef]










| Types | Sustainable Status | Ecological Benefit |
|---|---|---|
| Agrifood land ecological affluent | Affluent | 1.1 < EB |
| Agrifood land ecological balance | Balance | 1 < EB ≤ 1.1 |
| Deficit | 0.9 < EB ≤ 1.0 | |
| Agrifood land ecological deficit | Overload | 0.7 < EB ≤ 0.9 |
| Severe overload | EB ≤ 0.7 |
| Geographic Region | Ecological Footprint (gha per Person) | Biocapacity (gha per Person) | Ecological Benefit | ||||||
|---|---|---|---|---|---|---|---|---|---|
| 2010 | 2015 | 2020 | 2010 | 2015 | 2020 | 2010 | 2015 | 2020 | |
| Han | 0.33 | 0.39 | 0.50 | 0.20 | 0.31 | 0.31 | 0.61 | 0.79 | 0.62 |
| Yi | 0.31 | 0.49 | 0.61 | 0.15 | 0.31 | 0.40 | 0.48 | 0.63 | 0.66 |
| Hani | 0.38 | 0.51 | 0.56 | 0.18 | 0.42 | 0.42 | 0.47 | 0.82 | 0.75 |
| Bai | 0.46 | 0.68 | 0.68 | 0.28 | 0.54 | 0.48 | 0.61 | 0.79 | 0.71 |
| Zhuang | 0.32 | 0.41 | 0.41 | 0.22 | 0.36 | 0.27 | 0.69 | 0.88 | 0.66 |
| Dai | 0.56 | 0.59 | 0.64 | 0.58 | 0.55 | 0.53 | 1.04 | 0.93 | 0.83 |
| Total | 0.33 | 0.43 | 0.43 | 0.24 | 0.37 | 0.35 | 0.71 | 0.86 | 0.82 |
| China | 0.89 | 0.98 | 1.00 | 0.79 | 0.82 | 0.79 | 0.89 | 0.84 | 0.79 |
| East Asia | 0.93 | 1.00 | 1.03 | 0.79 | 0.81 | 0.81 | 0.85 | 0.81 | 0.79 |
| World | 1.01 | 1.01 | 1.01 | 1.63 | 1.56 | 1.51 | 1.61 | 1.54 | 1.50 |
Disclaimer/Publisher’s Note: The statements, opinions and data contained in all publications are solely those of the individual author(s) and contributor(s) and not of MDPI and/or the editor(s). MDPI and/or the editor(s) disclaim responsibility for any injury to people or property resulting from any ideas, methods, instructions or products referred to in the content. |
© 2023 by the authors. Licensee MDPI, Basel, Switzerland. This article is an open access article distributed under the terms and conditions of the Creative Commons Attribution (CC BY) license (https://creativecommons.org/licenses/by/4.0/).
Share and Cite
Li, C.; Tong, T.; Ge, S. Evaluating the Ecological Sustainability of Agrifood Land in Ethnic Minority Areas: A Comparative Study in Yunnan China. Sustainability 2023, 15, 9646. https://doi.org/10.3390/su15129646
Li C, Tong T, Ge S. Evaluating the Ecological Sustainability of Agrifood Land in Ethnic Minority Areas: A Comparative Study in Yunnan China. Sustainability. 2023; 15(12):9646. https://doi.org/10.3390/su15129646
Chicago/Turabian StyleLi, Chang, Tong Tong, and Shutong Ge. 2023. "Evaluating the Ecological Sustainability of Agrifood Land in Ethnic Minority Areas: A Comparative Study in Yunnan China" Sustainability 15, no. 12: 9646. https://doi.org/10.3390/su15129646
APA StyleLi, C., Tong, T., & Ge, S. (2023). Evaluating the Ecological Sustainability of Agrifood Land in Ethnic Minority Areas: A Comparative Study in Yunnan China. Sustainability, 15(12), 9646. https://doi.org/10.3390/su15129646
