A Study on the Suitable Areas for Growing Apricot Kernels in China Based on the MaxEnt Model
Abstract
:1. Introduction
2. Materials and Methods
2.1. Data Source and Processing
2.2. Screening Potential Environmental Factors
2.3. Model Construction
3. Results and Analysis
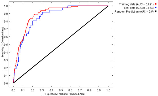
3.1. MaxEnt Model Evaluation and Analysis
3.2. Screening of Potential Environmental Factors
3.3. Threshold Value of Environmental Factors for Suitable Growth Area of Apricot Kernel
3.4. Potential Distribution Area of Apricot Kernel
4. Discussion
5. Conclusions
Author Contributions
Funding
Institutional Review Board Statement
Informed Consent Statement
Data Availability Statement
Conflicts of Interest
References
- Li, H.; Li, Z. Technical measures to improve the fruit set rate of apricots for kernel use. Heilongjiang Agric. Sci. 2008, 66–67. [Google Scholar]
- Liu, N.; Liu, W.; Zhao, F.; Yu, X.; Zhang, Y.; Sun, M. Overview of production development in the main production areas of apricot for kernel use in China. North. Fruit Tree 2004, 48–49. [Google Scholar]
- Hou, Z.; Zhai, M.; Cai, X.; Su, S.; Li, H. Analysis of the current situation of apricot production for kernel use in China. North. Hortic. 2008, 39–41. [Google Scholar]
- Qi, G. Study on the Yield and Industry Analysis of Bilberry in China; Northwest Agriculture and Forestry University of Science and Technology: Xianyang, China, 2012. [Google Scholar]
- Mou, Y. Research on the Development of the Plum and Apricot Industry in Heilongjiang Province; Chinese Academy of Agricultural Sciences: Beijing, China, 2013. [Google Scholar]
- Wu, X.; Zhao, X.; Li, L.; Yuan, L.; Zhang, X.; Wang, S.H.; Liang, S.H.; Tang, H. Current situation and suggestions for the development of the apricot industry in Hebei Province. China Fruit Tree 2018, 82–85. [Google Scholar]
- Yuan, K.; Li, S.H.H.; Niu, Q.; Ge, F.; Wang, P. Analysis and suggestions for the development of the apricot industry in Shandong Province. Deciduous Fruit Trees 2018, 50, 8–11. [Google Scholar]
- Tan, Y.; Ji, W.; Han, K.; Jiao, X.; Yang, Z.H. Current situation and suggestions for the development of kernel apricot industry in Shanxi Province. Shanxi For. 2019, 10–11+48. [Google Scholar]
- Xie, H.; Ai, E.; Wang, Q.; Ma, K.; Zhang , W.; Han, S.H.; Wang, M.; Gong, P.; Zheng, W.; Lu, S.H. Analysis of the current situation and prospect of apricot industry development in Xinjiang. China Fruit Tree 2019, 108–112. [Google Scholar]
- Li, R.; Zhang, C.; Zhang, F.; He, S.H.; Wang, Y.Q.; Miao, L. Analysis of the progress of MaxEnt model integrated application research. Green Technol. 2020, 14–17. [Google Scholar]
- Liao, J.; Yang, C.; Shao, Q.; Sun, Q.; Han, Y. Construction of an ecological model of Sambucus javanica blume in China under different climate scenarios based on the maxent model. Plant Ecol. 2023, 224, 221–237. [Google Scholar] [CrossRef]
- Wang, D.; Zhao, W.; Cheng, B.; Zhang, J. Potential fitness zones of Chinese hawthorn based on MaxEnt model. For. Sci. 2022, 58, 43–50. [Google Scholar]
- Li, D.; Liu, B.; Xu, Y.; Sun, D.; Song, X.; Han, D. Climate suitability of quinoa based on MaxEnt model and ArcGIS. Tianjin Agric. Sci. 2022, 28, 82–85. [Google Scholar]
- Guo, F.; Xu, G.; Lu, M.; Meng, Y.; Yuan, C.; Guo, K. Analysis of potentially suitable distribution areas of poplar based on MaxEnt model. For. Sci. 2020, 56, 184–192. [Google Scholar]
- Cheng, L.; Wang, W.; Ren, Z.; Zhu, L.; Wang, J.; Guo, Z.H. Climatic suitability of apricot for use in the old areas of Shaanxi, Gansu and Ningxia. Shaanxi Meteorol. 2000, 15–19. [Google Scholar]
- Yin, Q.; Pan, H.; Yin, Z.H.; Wu, Y. Analysis and zoning of mountain apricot climatic resources in Balinzuo Banner, Chifeng City. Inn. Mong. Meteorol. 2009, 17–19. [Google Scholar]
- Zhang, J.; Zhang, Z.H. Chinese Fruit Trees—Apricot Volume; China Forestry Press: Beijing, China, 2003. [Google Scholar]
- Duan, X.; Ren, W. Analysis of the climatic conditions of small white apricot cultivation in Rotai County. Seed Sci. Technol. 2017, 35, 94–97. [Google Scholar]
- Zhu, J.; Wang, P.; Jiang, H.; Tang, J.; Ou, Y.; Yang, J.; Huo, Z.H. Climate suitability zoning of fresh apricots in China based on the MaxEnt model. J. Ecol. 2023, 42, 91–98. [Google Scholar] [CrossRef]
- Han, S.H. A preliminary investigation on the growth characteristics and economic value of big flat apricot. New Agric. 2018, 30–31. [Google Scholar]
- Jia, F. Experimental Research and Forecasting of Effective Moisture in Agricultural Fields; Taiyuan University of Technology: Taiyuan, China, 2008. [Google Scholar]
- Lin, J.; Li, H.; Zeng, Y.; He, X.; Zhuang, Y.; Liang, Y.; Lu, S. Estimating potential illegal land development in conservation areas based on a presence-only model. J. Environ. Manag. 2022, 321. [Google Scholar] [CrossRef]
- Zhao, Y.; Wang, J.; Chen, C.H.; Mao, Q.; Huang, H.; Cai, H. Prediction of suitable planting areas for lemons in Yunnan based on MaxEnt ecological niche model software. J. Kunming Univ. Sci. Technol. (Nat. Sci. Ed.) 2021, 46, 88–95. [Google Scholar]
- Li, W.; Wu, W.; Zhang, Z.H.; Lu, Z.H. Effects of soil moisture on moisture and growth characteristics of the apricot kernel. J. Northwest Agric. For. Univ. Sci. Technol. 2003, 139–144. [Google Scholar]
- Wu, D.; Wang, P.; Huo, Z.H.; Yuan, X.; Jang, H.; Yang, J.; Ma, Y.; Guo, S.H. Climatic suitability zoning of common oil tea cultivation in China. J. Ecol. 2021, 40, 1313–1323. [Google Scholar]
- Shi, Y. Exploring cultivation and management techniques of apricot trees for kernel use. Agric. Technol. 2018, 38, 114. [Google Scholar]
- De, Y.; Li, X.; Jia, Z.H.; Hao, R.; Cui, L. A study on the application of cluster analysis to the cultivation zone of Daibian apricot. Inn. Mong. Sci. Technol. Econ. 1999, 18, 64. [Google Scholar]
- Li, H.; Wu, Y.; Chen, D. Study on the zoning of the main climatic factors in the apricot cultivation area of the “Three Northern Regions”. Econ. For. Res. 2015, 33, 1–8. [Google Scholar] [CrossRef]
- Yue, Y.; Zhu, W.; Li, L.; Wang, M. GIS-based climate adaptation zoning of apricots in the Tarim Basin. J. China Agric. Univ. 2013, 18, 59–63. [Google Scholar]
- Zhu, L.; Wang, W.; Ren, Z.; Wang, J.; Guo, Z.H. Climatic risk analysis and zoning for flowering frost of the apricot kernel in northern Shaanxi. Chin. Agric. Meteorol. 2003, 50–52. [Google Scholar]
Disclaimer/Publisher’s Note: The statements, opinions and data contained in all publications are solely those of the individual author (s) and contributor (s) and not of MDPI and/or the editor (s). MDPI and/or the editor (s) disclaim responsibility for any injury to people or property resulting from any ideas, methods, instructions or products referred to in the content. |




| Code | Potential Environmental Factors |
|---|---|
| BIO1 (°C) | Annual average temperature |
| BIO5 (°C) | The highest temperature in the hottest month |
| BIO6 (°C) | The lowest temperature in the coldest month |
| BIO7 (°C) | Annual temperature difference |
| BIO10 (°C) | The average temperature in the hottest quarter |
| BIO11 (°C) | The average temperature in the coldest quarter |
| BIO12 (mm) | Annual precipitation |
| H (m) | Altitude |
| CLASS | Available soil water content |
| BULK | Soil bulk density |
| OC | Soil organic carbon content |
| pH | Soil pH |
| DTR (°C) | Range of temperature difference between day and night |
| FRS (d) | Frost day frequency in April |
| Environmental Factor Code | Contribution Percentage (%) | Replacement Importance (%) |
|---|---|---|
| BIO12 | 28.3 | 16.4 |
| FRS | 24.9 | 30.3 |
| H | 22.9 | 21.9 |
| pH | 6.4 | 2.3 |
| BIO11 | 3.9 | 7.9 |
| CLASS | 2.4 | 1.3 |
| BIO7 | 2.3 | 0.7 |
| OC | 2.2 | 1.8 |
| BIO6 | 1.6 | 1.3 |
| BIO1 | 1.6 | 13.7 |
| BULK | 1.3 | 0.7 |
| BIO5 | 1 | 0.8 |
| BIO10 | 0.8 | 0.3 |
| DTR | 0.6 | 0.8 |
| Environmental Factor Code | BIO1 | BIO7 | BIO11 | BIO12 | CLASS | pH | FRS | OC |
|---|---|---|---|---|---|---|---|---|
| BIO7 | −0.428 | |||||||
| BIO11 | 0.913 | −0.751 | ||||||
| BIO12 | 0.645 | −0.700 | 0.742 | |||||
| CLASS | −0.521 | −0.166 | −0.287 | −0.231 | ||||
| pH | −0.004 | 0.352 | −0.157 | −0.324 | −0.241 | |||
| FRS | −0.945 | 0.350 | −0.835 | −0.548 | 0.523 | −0.028 | ||
| OC | −0.127 | −0.132 | −0.043 | 0.112 | 0.166 | −0.205 | 0.161 | |
| H | −0.704 | −0.193 | −0.392 | −0.383 | 0.722 | −0.232 | 0.713 | 0.165 |
| High-Suitability Area | Medium-Suitability Area | Low-Suitability Area | Unsuitable Area | |
|---|---|---|---|---|
| BIO12 (mm) | 330.54~616.42 | 240.70~330.54 or 616.42~1016.64 | 126.35~240.70 or 1016.64~1482.20 | BIO12 < 126.35 or BIO12 > 1482.20 |
| FRS (d) | 2.68~19.15 | 0.96~2.68 or 19.15~25.88 | 0~0.96 or 25.88~28.83 | 28.83~30 |
| H (m) | 84.22~831.81 | −18.39~84.22 or 831.81~2517.56 | −121.00~−18.39 or 2517.56~3704.91 | H > 3704.91 |
| pH | 7.5~8.6 | 5.9~7.5 or 8.6~8.9 | 5.5~5.9 | 4.3~5.5 |
| CLASS | 1.16~3.88 | 1~1.56 or 3.88~4.24 | 4.24~4.68 or 5.88~6 | 4.68 < CLASS < 5.88 |
Disclaimer/Publisher’s Note: The statements, opinions and data contained in all publications are solely those of the individual author(s) and contributor(s) and not of MDPI and/or the editor(s). MDPI and/or the editor(s) disclaim responsibility for any injury to people or property resulting from any ideas, methods, instructions or products referred to in the content. |
© 2023 by the authors. Licensee MDPI, Basel, Switzerland. This article is an open access article distributed under the terms and conditions of the Creative Commons Attribution (CC BY) license (https://creativecommons.org/licenses/by/4.0/).
Share and Cite
Sun, R.; Tong, G.; Zhang, Q.; Xu, L.; Sang, Z.; Li, Y. A Study on the Suitable Areas for Growing Apricot Kernels in China Based on the MaxEnt Model. Sustainability 2023, 15, 9635. https://doi.org/10.3390/su15129635
Sun R, Tong G, Zhang Q, Xu L, Sang Z, Li Y. A Study on the Suitable Areas for Growing Apricot Kernels in China Based on the MaxEnt Model. Sustainability. 2023; 15(12):9635. https://doi.org/10.3390/su15129635
Chicago/Turabian StyleSun, Runze, Guanjie Tong, Qing Zhang, Lingjie Xu, Zihan Sang, and Yanhui Li. 2023. "A Study on the Suitable Areas for Growing Apricot Kernels in China Based on the MaxEnt Model" Sustainability 15, no. 12: 9635. https://doi.org/10.3390/su15129635
APA StyleSun, R., Tong, G., Zhang, Q., Xu, L., Sang, Z., & Li, Y. (2023). A Study on the Suitable Areas for Growing Apricot Kernels in China Based on the MaxEnt Model. Sustainability, 15(12), 9635. https://doi.org/10.3390/su15129635
