Next Article in Journal
A Method Based on NGO-HKELM for the Autonomous Diagnosis of Semiconductor Power Switch Open-Circuit Faults in Three-Phase Grid-Connected Photovoltaic Inverters
Next Article in Special Issue
A Study on the Mechanism of Digital Technology’s Impact on the Green Transformation of Enterprises: Based on the Theory of Planned Behavior Approach
Previous Article in Journal
An Overview and Countermeasure of Global Wave Energy Classification
 
 
Font Type:
Arial Georgia Verdana
Font Size:
Aa Aa Aa
Line Spacing:
Column Width:
Background:
Article

Data-Driven Sustainable Supply Chain Decision Making in the Presence of Low Carbon Awareness

1
School of Management, Tianjin University of Technology, Tianjin 300384, China
2
School of Business, Dalian University of Technology, Panjin 124221, China
3
School of Management Science and Engineering, Tianjin University of Finance and Economics, Tianjin 300222, China
*
Author to whom correspondence should be addressed.
Sustainability 2023, 15(12), 9576; https://doi.org/10.3390/su15129576
Submission received: 24 March 2023 / Revised: 18 May 2023 / Accepted: 1 June 2023 / Published: 14 June 2023
(This article belongs to the Special Issue Sustainable Operations Management in the Digital Age)

Abstract

Low-carbon production is a vital solution for many environmental problems, as is consumers’ consciousness about carbon playing a more important role and ultimately passing upstream. Supply chains are eager to seek sustainable development via appropriate decision making with data-driven methods. Consistent with this aim, we investigated decisions toward lower carbon efforts and prices in a two-echelon supply chain via a game theoretical approach. The decision-making scenarios of decentralized, centralized, and cost-sharing contracts were investigated and compared. The results show that the level of improvement in environmental performance is positively correlated with the degree of cooperation between partners. Cooperation between partners would be even more significant with an increase in consumers’ low carbon awareness. Furthermore, cost-sharing contracts improve the performance of the entire supply chain compared with decentralized cases. Finally, we implemented numerical experiments to verify the modeling results. Therefore, this study provides theoretical support toward sustainable operations for supply chains concerning low carbon awareness.

1. Introduction

The rise in environmental issues and abnormal climate, i.e., global warming, means that human society is facing imminent danger. While the social preferences of manufacturers and consumers have contributed to unpredictable threats to supply chains [1], people from different industries are undergoing various efforts to establish a solution framework for sustainable development. Data-driven production technology and consumer consciousness have become important incentives for supply chains to seek sustainable development. Statistical data show that manufacturing accounts for 50% to 70% of the total emissions across a supply chain. Within traditional supply chains, academics and practitioners have combined supply chain management with environmental protection and proposed green supply chain management [2]. The concept of green supply chain emerged in the early 1990s and gained popularity after 2000, demonstrated by the growing trend in academic publications [3,4]. Today, people usually take green supply chain management as a potential solution for improving environmental performance [5], thus causing great attention to be paid to many aspects. With operation concept renewal, people have realized the principle of polluter concern is so important for green supply chain practices that low-carbon supply chains have attracted more attention [6]. Recently, as China proposed two goals of carbon peak and carbon neutrality, motivating or governing low-carbon supply chains has become a significant issue, more so than ever before [7,8,9]. Therefore, it has become more important for supply chains to make clear the internal motivation and external drive for chain members to carry out low-carbon operations and to further understand the mechanisms of supply chain coordination.
As for internal motivation, social and environmental responsibilities are recognized as the most important factors [10], because the environmental efforts involved in low-carbon operations are difficult to imitate [11]. In practice, enterprises try to minimize negative environmental impacts by incorporating environmental protection into their supply chains. Taking JingDong, one of the biggest e-commerce platforms in China, as an example, it was reported to invest RMB 1 billion in 2017 to establish the JD Logistics Green Fund. By balancing the profits between society and economics, JD makes great efforts to implement low-carbon logistics and promote its performance. Another example is Toyota. Toyota could set the price of its hybrid cars 50% higher than ordinary cars due to the carbon emissions being reduced by 3.5 million tons during the production process [12]. Such positive feedback encourages the enterprise to make further efforts toward low-carbon production. In addition, Tseng et al. [13] declared that there is an urgent need to view supply chain practices from associated partners such as suppliers, manufacturers, and consumers. Aiming at sustainable environmental performance promotion, the integrated efforts from both sides, i.e., supply and demand, have been highlighted.
Regarding externally driven factors, the ever-growing public consciousness on environmentally friendly, low-carbon production is undoubtedly the most important factor. As consumers care about low carbon and take it as an important index for their decisions, the supply side is simulated to promote low-carbon efforts [14]. The consumer plays an important role in the supply chain and has a significant impact on profit. Therefore, the upstream supply chain has to take consumer awareness into account. A survey carried out in India revealed that 80% of respondents expressed preferences for environmentally friendly products, even at a higher charge with the same characteristics [15]. As consumer bias significantly influences their actual purchasing behavior, to obtain a greater market share, stronger competitiveness, and higher profits, firms should take consumer low-carbon awareness during their decision-making considerations. Furthermore, considering the increasingly dynamic market environment, cooperation among the whole supply chain is emphasized more than ever before. Under such a background, coordination is imperative for improving the performance of the whole supply chain. The development of data-driven technology provides more convenience for obtaining information about consumer preferences [16] and therefore greatly helps supply chains to achieve a better performance.
To summarize, environmental sustainability, combined with consumer low-carbon conscious, has generated a market with the emerging characteristics of carbon-emission-sensitive demand. In response to this circumstance, chain members have sought appropriate decision-making approaches to stay competitive or obtain even greater advantages. A number of studies have discussed the issue of improving environmental performance through collaboration between suppliers and producers [17,18,19], heterogeneous producers [20], customers [21,22], and logistics service providers [23,24]. It has been proven that appropriate contracts may help partners to improve their performance and lead the supply chain to obtain coordination.
Being aware of such interconnectedness, the impact of low-carbon awareness and cooperation efforts between the manufacturer and supplier in a low-carbon supply chain operation needs further investigation. To study these issues, we considered a two-echelon supply chain consisting of two environmentally responsible partners, i.e., one supplier and one manufacturer. These two profit-maximizing partners work together in low-carbon production to meet consumer demands. The supplier determines the low carbon effort and charges for the downstream on the basis of the tradeoff between revenue and cost, while the manufacturer decides the product sale price and its carbon reduction. To investigate the performance distinction of supply chain cooperation, we organized three different decision scenarios, namely, a decentralized case, a centralized case, and a cost-sharing case. In addition, we developed a game-theoretical model and conducted a numerical experiment to analyze the results.
We contribute to the research on how the cooperation between the supplier and the manufacturer helps the supply chain be environmental responsible and how the supplier and the manufacturer can achieve coordination in the presence of low-carbon awareness. The results show that the level of improvement in environmental performance is positively correlated with the degree of cooperation between partners, and it would be significant when low-carbon awareness increases. Furthermore, a cost-sharing contract improves the profit of both members compared with that in the decentralized case. Finally, the results were verified through numerical experiments.
The remainder of this paper is organized as follows: Section 2 presents the related literature, and Section 3 describes the problem and establishes the assumptions. Centralized, decentralized, and cost-sharing cases are investigated in Section 4, and the results under different cases are analyzed. In Section 5, we describes the numerical experiments, and finally we conclude our paper in Section 6 and make some suggestions for future research.

2. Literature Review

There are mainly two streams of research close to our work. One discusses the issues around low-carbon supply chain management and another focuses on the investigation of supply chain preference, to be specific, consumer awareness. The former generally copes with problems such as the drivers and barriers of low-carbon supply chain and how to realize supply chain coordination. The latter basically investigates how to take consumer preferences into consideration and make certain decisions to promote the performance of the supply chain. We review related works and highlight the contribution of our works to the existing literature.

2.1. Low-Carbon Supply Chain

Research on the low-carbon supply chain may be traced back to the discussion of the relationship between environmental responsibility and economic performance [25,26]. Regarding the primary motivation for the supply chain to convert to low carbon, some researchers have provided evidence on the effect of over emission penalty [27]. Some researchers provided a theoretical explanation with corporations among industry, environment, society, and economy [28]. Therefore, most studies on the low-carbon supply chain have focused on the influence of government policies, i.e., carbon fees, carbon taxes, or both. From the responding point of view, some studies have mainly concerned the impact of carbon taxes on the upstream and investigated the optimal emission alternative of supply chain [29]. Some works have highlighted the importance of carbon emission constraints and discussed either centralized or decentralized systems [30], and most works have compared the mechanism of carbon taxes and carbon fees, with a decision framework for the supply chain [31,32]. Dey et al. [33] summarized three carbon emission policies and investigated how to realize maximum profit considering credit financing and investments.
To realize supply chain coordination, academics have also carried out many studies. Luo et al. [34] proposed that the cooperation within the supply chain could help reduce carbon emissions and promote the profits of the whole chain. Many researchers have attempted to address the problem of how to realize coordination. Taleizadeh et al. [35] concluded that the demand for low-carbon products depends on the pricing strategy and emission reductions. As a result, a large number of low-carbon supply chain coordination studies have concentrated on who and how to price or determine carbon emissions and describe many practice cases in various industries. Fan et al. [36] selected the imported electric vehicle industry, investigated the optimal pricing strategies of the manufacturer, and ultimately provided a reference for the government to formulate policies. Some researchers noticed the business mode change supported by information technology and introduced channel selection into low-carbon supply chain management. Hong et al. [37] reported that the manufacturers are facing more severe challenges with carbon emission constraints. From their point of view, the manufactures have to carry out emission reduction efforts; therefore, the core question under this circumstance is how to keep the balance between profit and emission reduction costs. The related studies have mainly concerned government regulation or support, and such conclusions can also be seen in the study of Cohen and Vandenbergh [38]. Dey et al. [39] integrated automated inspection, flexible eco-production, as well as smart transportation with a sustainable supply chain and maximized the total profit of the supply chain by optimizing a manufacturer’s and a retailer’s decision variables. In addition to carbon fees and taxes, there also exists carbon trade in real business settings. Some researchers have tried to find evidence that certain emerging industries benefit from the carbon trading mechanism [40]. Although there are extensive studies on low-carbon supply chain, significant gaps remain to be filled from the view point of practice, especially gaps regarding the sustainable relationships within the supply chain.

2.2. Consumer Awareness

Consumer awareness determines consumer behavior; therefore, it could represent the demand market preferences. Zhu et al. [41] argued that a supply chain network contains suppliers, manufacturers, consumers, and logistics service providers that complete the cycle with the help of the customer (reverse logistics). Based on this view, Balasubramanian and Shukala [42] emphasized that if any link fails, the supply chain would weaken the overall performance. In line with their perspective, we declare that it is vital to hold low-carbon conscious for each member within the chain. As the performance of the whole chain would be realized downstream, i.e., the consumer, we focused on the works related to consumer low-carbon awareness. The related studies have mainly focused on how consumer low-carbon awareness affects the performance of the supply chain and how the supply chain uses consumer low-carbon awareness to promote their performance. Based on the analysis above, it can be easily understood that the efforts to reduce emissions are stronger when the chain members cooperate to provide the final products. Therefore, when the supply chain is decentralized, coordination would help to strengthen the relationships among the chain members [43]. Some academics realized that it is vital to cooperate with consumers for improving supply chain performance [44], Subramanian et al. [45] used the EPR policy to analyze the manufacturer and the consumer. Ji et al. [46] considered the channel preference of consumers and concluded that when consumers prefer online channels, it would better to open online channels for enterprise because they could obtain more profits. Additionally, some researchers tried to break the assumption of rational members and investigated the mechanism of altruism [47]. Some authors deepened their study by discussing the optimal strategy when the retailer acts as a leader of the supply chain [48] or when the whole chain could not decide whether to cooperate [49]. Our study concentrated on low-carbon awareness and differs from the above-mentioned research. In our work, the consumer low-carbon consciousness in a data-driven low-carbon supply chain was involved in the demand function, and thus it contributed to the coordination between the supplier and manufacturer via a game theoretical approach. A cost-sharing contract as well as a centralized case and a decentralized case were analyzed to show how to achieve a certain cooperation level through decisions on carbon emission reduction effort and pricing.

2.3. A Summary of Differences from the Previous Studies

In summary, both academia and industry have produced a large body of achievements [47] in low-carbon supply-chain decision making and provided a sound foundation for this study. However, the aforementioned studies did not comprehensively take low-carbon awareness into consideration. In particular, the impact of data on supply chain decisions has been ignored. Additionally, most studies did not consider the impact of the cooperative effort of suppliers and manufacturers on carbon emission reduction. The main differences between this and the previous studies are listed in Table 1. To summarize, on the basis of this gap in the literature, our contributions mainly concern two aspects. First, both of the supplier and manufacturer make efforts to achieve low-carbon emissions; second, we took low-carbon awareness into consideration. Our work mainly concerned how the cooperation between the supplier and the manufacturer helps the supply chain be environmentally responsible and how the supplier and the manufacturer achieve coordination in the presence of low-carbon awareness. From this, we drew conclusions and highlighted our contributions.

3. Problem Description and Assumption

Consider a two-echelon supply chain with one supplier and one manufacturer. As the core part of the supply chain, the manufacturer purchases materials from the supplier and sells the product it produced to the consumer. The decision framework of this supply chain is depicted as Figure 1. Specifically, the supplier sells materials to the manufacturer at price w. During this process, the supplier lowers its carbon emission of material voluntarily with reduction es; thus, the emission reduction cost occurs with cse. While the manufacturer procures raw material at w according to market demand D and then sells the goods it produced to the consumer at price p. Similar to the supplier, the manufacturer may implement low-carbon production voluntarily, and it would cost cme to obtain the emission reduction em. In addition to the aforementioned, the consumer is environmentally conscious with low-carbon preference γ, which affects market demand D.
For simplicity, we propose the following assumptions based on certain attributes of the supply chain, acting as supplements to the supply chain decision framework stated in Figure 1.
  • Both the supplier and the manufacturer are completely rational, and the information flowing between them is totally symmetric. The market is efficient; that is, the market easily clears and reaches equilibrium without idle or shortage.
  • Both the supplier and the manufacturer are profitable, and they seek to maximize their profits. The manufacturer can produce one unit of low carbon goods with one unit of raw materials. The costs for supply cs and produce cm are both fixed and do not change until the introduction of a cost-sharing contract. Then, we have w > cs, p > w.
  • The low-carbon cost is a quadratic function of emission reductions, which is in line with Swami and Shah (2013) [50]. Therefore, the emission reduction cost is c s e = 1 2 η e s 2 , η > 0 for the supplier, and c m e = 1 2 η e m 2 , η > 0 for the manufacturer. Additionally, the emission reduction cost is independent of produce cost. Then, we obtain the demand under consumers’ low-carbon awareness as D p , e s , e m = α β p + γ e m + e s .
The related notations are summarized as Table 2.

4. Model Analysis

After optimization of the centralized case, a game theory approach was used to derive the optimal value for both the supplier and the manufacturer. The supplier is mainly concerned about its raw material price and emission reductions, while the manufacturer focuses on its wholesale price and emission reductions. A Stackelberg game was used to solve the problems under decentralized case. Moreover, a cost-sharing contract was used to coordinate the decentralized supply chain, based on which the profits of the chain members could be coordinated.

4.1. Centralized Decision

Under the centralized case, the supplier and the manufacturer aim at maximizing the profit of the whole chain. The problem was to determine the sale price p, emission reductions em, and emission reductions es. Then, we developed a profit equation of the whole supply chain in the centralized setting as follows:
π c p , e s , e m = p c s c m α β p + γ e s + e m
Under this setting, the optimization problem is solved as follows. First, the chain decides the emission reductions es and em, and then it decides the sale price p. The model can be solved backward with the decision sequence. The Hessian matrix is as follows:
H = 2 π C p 2 2 π c p e s 2 π c p e m 2 π C e s p 2 π c e s 2 2 π c e s e m 2 π c e m p 2 π c e m e s 2 π c e m 2 = 2 β γ γ γ λ 0 γ 0 λ
When the Hessian matrix is negative, the profit equation is strictly concave, and at that point, the optimal solution would be found. Additionally, to guarantee the solution makes sense, i.e., the profit, emission reductions, and sale price are non-negative, we supplement the constraint conditions with 2 β λ γ 2 > 0 and λ < β . If all these constraints hold, the Hessian matrix is negative.
Let us take the first partial derivative of π c with respect to p, and set this partial derivative to 0.
π c p = α + β c m + c s + γ e m + e s 2 β p = 0
Then, the optimal sale price could be expressed as:
p * = α + β c m + c s + γ e m + e s 2 β
Next, we substitute Equation (4) into Equation (1) and then take the first partial derivative of π c with respect to es and em, separately. By setting the two partial derivatives equal to 0, we solve them together, and obtain the optimal emission reduction of the whole supply chain under centralized case. Further substituting es and em into Equation (4), we obtain the optimal sale price. Based on the above solution, we can finally solve Equation (1), and the optimal profit of the centralized supply chain is also determined. Therefore, Proposition 1 is proposed.
Proposition 1.
Under the centralized case, the optimal profit of the whole supply chain is π c = 1 2 η λ α β c m + c s 2 λ 2 β η γ 2 η γ 2   with the emission reductions of the supplier and manufacturer being e s = η + λ γ β c m + c s α λ γ 2 2 β η γ 2 η  and  e m = λ γ β c m + c s α λ γ 2 2 β η γ 2 η   respectively; and the sale price for the manufacturer is p = γ 2 λ β η λ + γ 2 η c m + c s η λ α λ γ 2 2 β η + γ 2 η .
Proposition 1 gives the optimal carbon emission and price for the manufacturer and the optimal emission reduction for supplier. The sell price is determined by the carbon emission of the whole chain, involving the supplier, manufacturer, and consumer. In order to ensure the uniqueness of this solution, the demand is assumed to be monotonous, which is displayed in the aforementioned assumption. Note that, as a benchmark model for other cases, and specifically considering the emission reductions, the optimal profit π c = 1 2 η λ α β c m + c s 2 λ 2 β η γ 2 η γ 2 must yield to 2 β λ η λ + η γ 2 > 0 and α β c m + c s > 0 . The former constraint ensures that the supply chain is profitable, and the latter constraint underlines that the carbon emission reduction cost occurs and exactly affects the low-carbon supply chain.

4.2. Decentralized Decision

In the decentralized supply chain, the supplier and the manufacturer separately try to maximize their own profits. The sequence of events is as follows: First, the supplier determines its emission reductions and corresponding price w. Second, the manufacturer decides its emission reductions and selling price p. Under this setting, we employed the Stackelberg game model and solved it in reverse order. The ultimate questions for the supplier and the manufacturer are to decide their prices to maximize their profits in the presence of consumer low-carbon awareness. Based on this description, we propose the profit equation for the supplier and the manufacturer as follows.
π m p , e m = p c m w × D η 2 e m 2
π s ω , e s = ω c s × D λ 2 e s 2
To maximize the profits of both the supplier and the manufacturer, we have w * = α + γ e s + e m 2 β + c s c m 2 and p * = 3 α + γ e s + e m 2 β + c s + c m 4 .
Then, Equations (5) and (6) can be represented by Equations (7) and (8).
π m e m = α + γ e s + e m 2 16 β c s + c m α + γ e s + e m 8 + β c s + c m 2 16 η 2 e m 2
π s e s = α + γ e s + e m 2 8 β c s + c m α + γ e s + e m 4 + β c s + c m 2 8 η 2 e s 2
Therefore, the optimal emission reduction of the supplier is:
e s = 2 η γ α β c m + c s 8 β η λ 2 η γ 2 λ γ 2
The optimal emission reduction of the manufacturer is:
e m = λ γ α β c m + c s 8 β η λ 2 η γ 2 λ γ 2
Furthermore, the optimal price of manufacturer is:
p = λ η 6 α + 2 β c m + c s c m + c s λ γ 2 + 2 η γ 2 8 β η λ 2 η γ 2 λ γ 2
The optimal price of the supplier is:
ω = 4 λ η α β c m c s c s λ γ 2 + 2 η γ 2 8 β η λ 2 η γ 2 λ γ 2
The optimal profit of both the manufacturer and the supplier can be obtained by using the backward rule.
π m = 1 2 η λ 2 8 β η γ 2 α β c m + c s 2 8 β η λ 2 η γ 2 λ γ 2 2
π s = 2 λ η 2 4 β λ γ 2 α β c m + c s 2 8 β η λ 2 η γ 2 λ γ 2 2
Therefore, we obtain Proposition 2 as follows:
Proposition 2.
In the supplier-led supply chain, the optimal profits are  π s = 2 λ η 2 4 β λ γ 2 α β c m + c s 2 8 β η λ 2 η γ 2 λ γ 2 2  and  π m = 1 2 η λ 2 8 β η γ 2 α β c m + c s 2 8 β η λ 2 η γ 2 λ γ 2 2 . The optimal emission reductions are represented as  e s = 2 η γ α β c m + c s 8 β η λ 2 η γ 2 λ γ 2  and  e m = λ γ α β c m + c s 8 β η λ 2 η γ 2 λ γ 2 ; the optimal prices are  p = λ η 6 α + 2 β c m + c s c m + c s λ γ 2 + 2 η γ 2 8 β η λ 2 η γ 2 λ γ 2  and  ω = 4 λ η α β c m c s c s λ γ 2 + 2 η γ 2 8 β η λ 2 η γ 2 λ γ 2 .
This Proposition proposes a guideline for optimal emission reduction and price setting for both the supplier and the manufacturer. The optimal price decisions for both the supplier and the manufacturer depend on their product and emission reduction costs. As for the supplier, the price it charges increases with its cost for supply and emission reduction, consumers’ low-carbon awareness, and manufacturer’s effort input, but decreases the consumers’ sensitivity to price and the manufacturer’s cost of producing. The optimal price of the manufacturer increases with its cost of producing and reducing emissions, consumers’ low-carbon awareness, and supplier’s cost for supply and emission reduction, while decreasing consumers’ sensitivity to price. The different roles of cm can be explained from the perspective of cost structure. Production cost has a positive effect on the whole cost of manufacturing but negatively affects the whole cost of the supplier. Therefore, the supplier assigns its emission reductions as it pays a cost; the manufacturer determines its emission reduction and pays the cost correspondingly. As the manufacturer has to procure raw material from the supplier and is only able to produce after that, the supplier acts as a leader while the manufacturer acts a follower, and the aforementioned Stackelberg game model is established.
Comparing the emission reduction status, it is easy to determine that the emission reductions under the centralized case outperform those of the decentralized case. Moreover, taking environmental awareness into consideration, a greater emission reduction would lead to higher demand. Because the emission reduction e = γ α β c s + c m 2 β η γ λ + η γ 2 for the centralized case, e = γ α β c s + c m 8 β η γ λ + 2 η γ 2 for the decentralized case, and 2 β η γ λ + η γ 2 8 β γ η λ + 2 η γ 2 < 0 , we conclude the e > e by comparing their denominators. Additionally, as the market demand of low-carbon products depends on D p , e s , e m = α β p + γ e m + e s and γ > 0 , demand is a monotonic increasing function of emission reductions. Additionally, demand is a monotonic increasing function of emission reductions; thus, we suggest both the supplier and manufacturer make more effort to improve market demand.
Comparing the total profit for the centralized and decentralized cases, we determined that the maximal overall supply chain profit for the centralized case is higher than that for the decentralized case. This could be explained from the perspective of inefficient cost. Under the decentralized case, the supplier and manufacturer simultaneously make efforts to lower carbon emission, and inefficient cost occurs. Additionally, the cost is always higher than the profit it gained. That is, the supply chain never achieves coordination if the supplier and manufacturer separately make emission reduction efforts with a certain cost. In what follows, we review this problem under a cost-sharing contract, which is a classical contract to help many supply chains achieve coordination in decentralized scenarios.

4.3. Cost-Sharing Contract

Compared with the centralized case, the expected profits of both the supplier and manufacturer decrease in the decentralized case. This could be explained by when the supplier and manufacturer merely concentrate on their own emission reduction input to improve the profit, the related cooperation is ignored. Duplicate investment into carbon emission reduction results in increased costs and decreased profit. Therefore, we introduced the cost-sharing contract to help them coordinate.
We set the supplier as the leader in the supply chain, and we left the manufacturer as the follower. The main reason for such assignment was demonstrated in the decentralized case. The decision sequence is as follows: The supplier determines the proportion of the carbon emission reduction cost that it shares with the manufacturer, and the manufacturer decides whether to accept it. As aforementioned, once the manufacturer accepts the contract, it shares the emission reduction cost ce with supplier at proportion φ. Their profits are formulated as:
π m e m , p , φ = p c m w × D η 2 e m 2 φ × λ 2 ,  
π s e s , ω = ω c s × D 1 φ × λ 2 e s 2
We solve the problem similar to that in the decentralized case and propose Proposition 3.
Proposition 3.
The Stackelberg equilibrium under a cost-sharing contract is as follows:  ω = 32 λ η β α β c m c s 4 η γ 2 α β c m c s c s γ 4 + 8 β λ γ 2 + 24 β η γ 2 8 β η λ 2 η γ 2 λ γ 2 φ = γ 2 8 λ β e s = 16 β η γ α β c m + c s 8 β 8 λ η β 3 η γ 2 λ γ 2 γ 4 , and    e m = γ 3 + 8 λ γ β α β c m + c s 8 β 8 λ η β 3 η γ 2 λ γ 2 γ 4 .
By substituting the equilibrium solution into Equations (15) and (16), the optimal profit of the supplier is π m = η λ 2 + 8 λ β η α β c m + c s 2 16 β 8 β η λ 3 η γ 2 λ γ 2 2 γ 4 , and the profit of the manufacturer is π s = 8 β η 2 8 β λ 3 γ 2 8 β λ γ 2 α β c m + c s 2 8 β 8 β η λ 3 η γ 2 λ γ 2 γ 4 2 . Furthermore, the profit of the whole supply chain is π c = η α β c m + c s 2 1536 η λ 2 β 3 64 γ 2 β 2 λ 2 640 λ η β 2 γ 2 16 λ β γ 4 + 24 η β γ 4 γ 6 2 8 β 8 λ β η 3 η γ 2 λ γ 2 γ 4 2 .
Under the decentralized supply chain considering a cost-sharing contract, there exists a unique optimal solution to the cost-sharing coefficient. At that point, the profits of the supply chain members are functions of consumers’ low-carbon awareness, consumers’ price sensitivity, emission reduction cost-sharing proportion, and cost coefficient. There is a unique optimal solution for the cost-sharing proportion, and this coefficient increases for consumer low-carbon awareness and decreases for consumer price sensitivity and emission reduction cost of supplier. This can be proved through two steps. Firstly, as φ = γ 2 8 λ β , γ > 0 ,   β > 0 , λ > 0 , thus, φ γ = γ 4 λ β > 0 , φ β = γ 2 8 λ β 2 < 0 , and φ λ = γ 2 8 β λ 2 < 0 . The cost sharing coefficient increases for consumer low-carbon awareness and decreases for consumer price sensitivity and emission reduction cost of supplier. Taking the constraint of 2 β λ γ 2 > 0 , the optimal φ is φ 0.0.25 .
Compared with the decentralized case, the carbon reduction cost-sharing strategy of the supplier lowers the emissions of the product. That also displays advantage of a cost-sharing contract in providing a lower-carbon product. It can be easily proved by comparing the emission reductions under the decentralized case and under cost sharing. Furthermore, the overall profits of the supply chain tend to be higher under the decentralized case when the supplier provides a cost-sharing contract. The above results are verified in Section 5 via numerical analysis.

5. Numerical Analysis

A numerical experiment is presented in this section. We set some selected parameters, and we investigated the sensitivity of the decision variables and the supply chain profit. To verify the validity, we set values for the selected parameters according to the constraints of the aforementioned equations. Based on this processes, the low-carbon supply chain could find a way to implement this decision framework under data-driven business settings. Without loss of generality, we set the following simulation setting: α = 3000, β = 50, γ = 10, c m = 20 , c s = 10 , η = 4, and λ in the interval [1,3]. Then, we obtained Figure 2 and Figure 3.
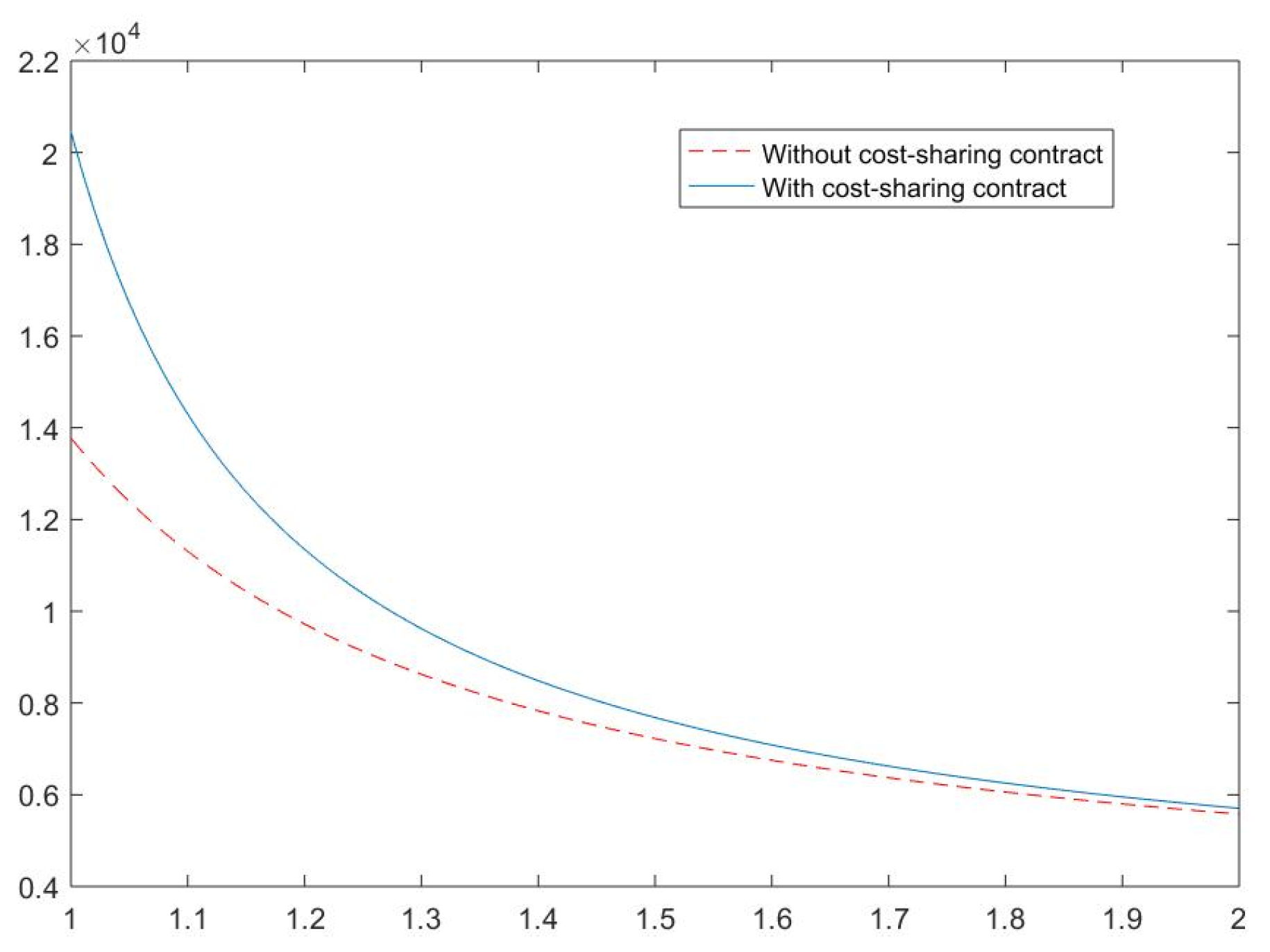
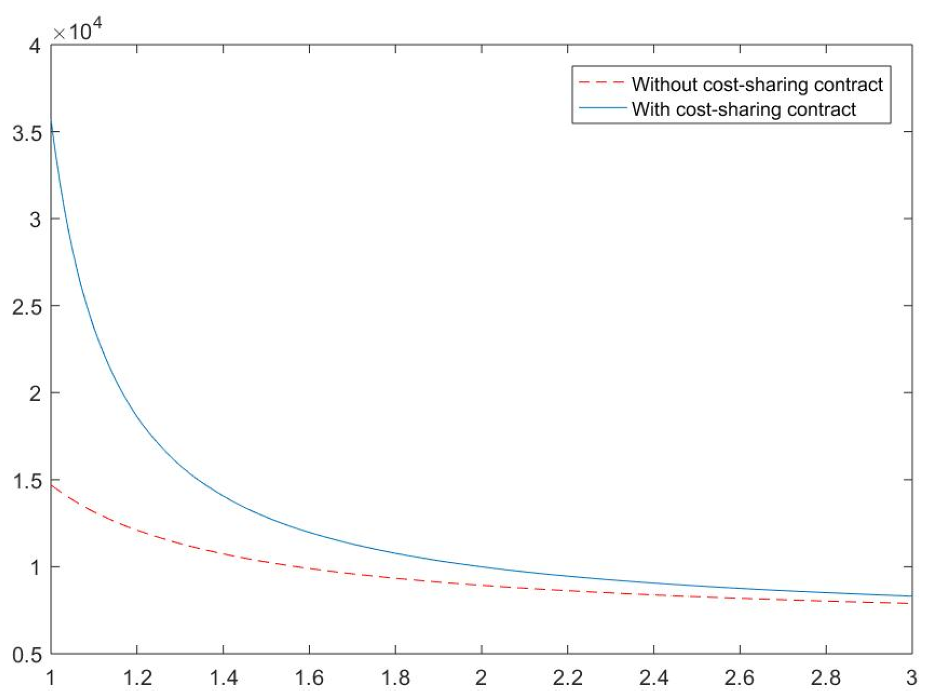
Figure 2 and Figure 3 indicate that the profits of the supplier and manufacturer are well improved by introducing a cost-sharing contract. Because the economic efficiency of the whole supply chain profit level is improved, this confirms that the introduction of a cost- sharing contract could help supply chain members to achieve their operational goals. The results can be analyzed from two aspects. For the supplier, the improvement in its profit is mainly due to the initial sharing of emission reduction costs with the manufacturer. At the same time, the lower-carbon product has an increased market demand and continuously improves the profit of the supplier. Such a positive growth in profit stimulates the supplier to further invest into emission reduction improvement as a feedback. For the manufacturer, the improvement in its profit is the result of a growth in economic benefits minus the emission reduction cost-sharing. This strategy helps to increase market demand of low-carbon products and ultimately improve the profit of the manufacturer; therefore, it prompts the manufacturer to bear a greater share of the emission reduction cost. To summarize, the benefits for both the supplier and the manufacturer are the basic reason for them adopting a cost-sharing contract to cooperate on emission reduction.
As shown by then tendency in Figure 2 and Figure 3, there is a negative correlation between the optimal profit of the supplier/manufacturer and the emission reduction cost coefficient of supplier. The profit decreases with increasing emission reduction cost coefficient; thus, the profit of the whole chain decreases when the emission reduction cost becomes too high. Under this circumstance, either the supplier or the manufacturer has to lower its emissions though it would lower the demand as a result; this is still accordance with the basic assumption of a rational decision maker. To solve this dilemma, we tried to improve the low-carbon-conscious consumer in real settings through various strategies such as advertising and training.
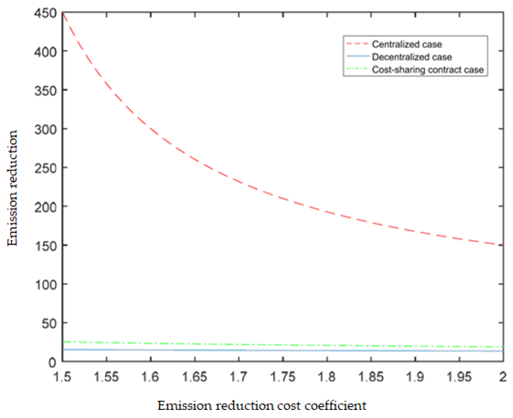
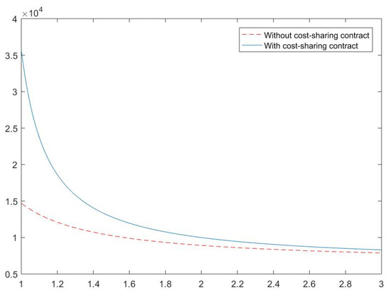
Combining Figure 2 to Figure 3, we obtain Figure 4, which indicates the change in profit across the supply chain with/without cost-sharing contracts. Additionally, it shows a comparison of the profit with that of the case of a centralized supply chain.
Figure 4 shows that the cost-sharing contract helps to improve the performance of the whole chain but the performance is still lower than that under the equilibrium status in the centralized case. The cost-sharing contract significantly and effectively improves the profit; however, it does not exceed that of the centralized supply chain. As shown in Figure 2 and Figure 3, the reason for this situation is the environmental consciousness of the consumer is relatively low.
Comparing the emission reductions of the supplier and manufacturer, as shown in Figure 5 and Figure 6, the emission reductions of the whole chain are improved. As a result, the emission reduction of the manufacturer is significantly promoted. Further considering the demand function, the market demand for low-carbon products has also been boosted. With respect to the effect of consumer low-carbon awareness, the emission reduction level of both the supplier and manufacturer increases and the market demand strengthens. All these factors interact together and finally lead to better status of the supply chain.
Compared with the decentralized case, the emission reductions under the cost-sharing contract is outperformed; however, the emissions are still lower than those under the centralized case. Similar to the analysis of profit tendency, the emission reductions of the whole chain decrease with decreased emission reduction cost. A higher emission reduction cost coefficient means higher emission reduction investment, which leads to lower carbon emissions. In order to solve this dilemma, both the supplier and manufacturer ought to invest considerable effort to reduce the carbon emission reduction cost, such as establishing new types of materials that are environmentally friendly or developing innovative low-carbon technology.
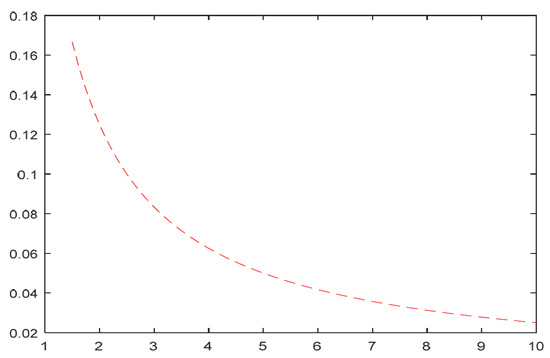
According to Figure 7, there exists a negative correlation between the ratio of the voluntary emission reduction cost undertaken by the manufacturer and the emission reduction cost coefficient of the supplier. In order to make the correlation more obvious, the value range of the independent variable is slightly expanded. When the supplier reduces its emission reduction cost coefficient, the manufacturer increases its share of emission reduction cost as a follower. As a result, the supplier reduces their costs on carbon emission control and further reduces carbon emission. In summary, the above simulation analysis is consistent with those of the previous model calculation, and the validity of the model is verified.

6. Conclusions

As consumer lo- carbon awareness is an important factor driving the supply chain to support the realization of the carbon peak and carbon neutrality goals, we explored a low-carbon production supply chain coordination problem based on the demand function considering consumer low-carbon awareness. We focused on a low-carbon supply chain consisting of one supplier and one manufacturer. Both the supplier and manufacturer determine their operation strategies, which were represented by the low-carbon effort and price, which we formulated under three cases including centralized, decentralized, and cost-sharing contract cases. The results provided managerial insights from the perspective of the supply chain members and their decision consequences.
The results showed that the level of improvement in environmental performance is positively correlated with the degree of cooperation between the partners. Additionally, cooperation between the supplier and manufacturer would be even more significant with increases in consumer low-carbon awareness. Furthermore, the cost-sharing contract improves the performance of entire supply chain compared with that of the decentralized case.
From the comparisons and discussions of the decisions of three cases, i.e., centralized, decentralized, and cost-sharing contract, we derived conclusions as follows:
First, the study findings provide guidelines on supply chain scenario selection for suppliers and manufacturers that care about consumer low-carbon awareness. Both the supplier and the manufacturer would be more profitable with cost-sharing contracts comparing with in the decentralized case, which means cost sharing promotes the performance of the low-carbon supply chain. Indeed, the value of cost-sharing contracts increases more if the consumer’s low-carbon consciousness increases.
Second, the discussion on carbon emission reductions provides the government with policy adjustment direction. As the carbon emission reductions of the supplier and the manufacturer are extremely high under the centralized case and extremely low under the decentralized case, the government is recommended to establish a policy supporting the supply chain close to the centralized case.
Third, the results of numerical analysis also provide a decision basis for the supply chain. As the analysis showed, the profit under the centralized, cost-sharing contracts, and decentralized cases successively decreases. However, although the centralized case is the best decision setting, it is difficult to realize for emerging low-carbon products; thus, cost-sharing contracts would be a proper choice. Furthermore, considering the continuous improvement in the low-carbon-sensitive market, cost-sharing contracts would be the most appropriate for the supply chain.
The results in this paper are based on several assumptions; thus, limitations should be noted. Meanwhile, future directions study directions could involve loosening these assumptions. First, we assumed consumer low-carbon awareness as common knowledge in the supply chain, which is not in line with reality. Therefore, future research may account for information asymmetry and make better use of data. Second, we considered only one product period; however, low-carbon products usually involve multicycle decisions in practice. So, academics could make efforts to continuously improve multitier decisions. Finally, we used a Stackelberg game by assuming that the supplier acts as leader and the manufacturer acts as a follower; however, the relationship can change considering the carbon emission reductions. Future research could focus on the impact of the power structure on the performance of the low-carbon supply chain.

Author Contributions

All the authors contributed to jointly conduct the research and write the paper. X.Q. and S.X. conducted the numerical studies and wrote the draft. D.S. solved most of the models, which were checked by X.Z., and both improve the organization of the whole manuscript. All authors have read and agreed to the published version of the manuscript.

Funding

This research was supported by the Humanities and Social Science Foundation of Ministry of Education of China (grant Nos. 17YJC630113 and 18YJC630260), National Social Science Foundation of China (grant No. 21BGL221), and National Natural Science Foundation of China (grant Nos. 71702021 and 71802143).

Conflicts of Interest

The authors declare no conflict of interest.

References

  1. Golgeci, I.; Kuivalainen, O. Does social capital matter for supply chain resilience? The role of absorptive capacity and marketing supply chain management alignment. Ind. Market. Manag. 2020, 84, 63–74. [Google Scholar] [CrossRef]
  2. Sarkis, J. A boundaries and flows perspective of green supply chain management. Supply Chain. Manag. Int. J. 2012, 17, 201–216. [Google Scholar] [CrossRef]
  3. Fahimnia, B.; Sarkis, J.; Davarzani, H. Green supply chain management: A review and bibliometric analysis. Int. J. Prod. Econ. 2015, 162, 101–114. [Google Scholar] [CrossRef]
  4. Seuring, S.; Müller, M. From a literature review to a conceptual framework for sustainable supply chain management. J. Clean. Prod. 2008, 16, 1699–1710. [Google Scholar] [CrossRef]
  5. Srivastava, S. Green supply chain management: A state of the art literature review. Int. J. Manag. Rev. 2007, 9, 53–80. [Google Scholar] [CrossRef]
  6. Wesseh, K.; Lin, B. Optimal carbon taxes for China and implications for power generation, welfare, and the environment. Energy Policy 2018, 118, 1–8. [Google Scholar] [CrossRef]
  7. Wu, Y.S.; Lu, R.H.; Yang, J.; Xu, F. Low carbon decision making of online shopping supply chain considering the O2O model. J. Retail. Consum. Serv. 2021, 59, 102388. [Google Scholar] [CrossRef]
  8. Qiao, X.; Zhao, X.; Zou, J. Remanufacturing marketing decisions in the presence of retailing platforms in the carbon neutrality era. Int. J. Environ. Res. Public Health 2021, 18, 384. [Google Scholar] [CrossRef]
  9. Zhang, Z.Y.; Yu, L.Y. Altruistic mode selection and coordination in a low-carbon closed-loop supply chain under the government’s compound subsidy: A differential game analysis. J. Clean. Prod. 2022, 366, 132863. [Google Scholar] [CrossRef]
  10. Hong, Z.; Guo, X. Green product supply chain contracts considering environmental responsibilities. Omega 2019, 83, 155–166. [Google Scholar] [CrossRef]
  11. Zhu, C.; Ma, J. Dynamic strategies of horizontal low-carbon supply chains under double carbon policies: A bounded rationality perspective. Comput. Ind. Eng. 2023, 181, 109309. [Google Scholar] [CrossRef]
  12. Yakita, A. Technology choice and environmental awareness in A trade and environment context. Aust. Econ. Pap. 2009, 48, 76–80. [Google Scholar] [CrossRef]
  13. Tseng, M.; Islam, M.; Karia, N.; Fauzi, F.; Afrin, S. A literature review on green supply chain management: Trends and future challenges. Resour. Conserv. Recycl. 2019, 141, 145–162. [Google Scholar] [CrossRef]
  14. Zu, Y.; Chen, L.; Fan, Y. Research on low-carbon strategies in supply chain with environmental regulations based on differential game. J. Clean. Prod. 2018, 177, 527–546. [Google Scholar] [CrossRef]
  15. Li, X.; Shi, D.; Li, Y.; Zhen, X. Impact of carbon regulations on the supply chain with carbon reduction effort. IEEE Trans. Syst. Man Cybern. Syst. 2017, 49, 1218–1227. [Google Scholar] [CrossRef]
  16. Olan, F.; Suklan, J.; Arakpogun, E.; Robson, A. Advancing consumer behavior: The role of artificial intelligence technologies and knowledge sharing. IEEE Trans. Eng. Manag. 2021, 1–13. [Google Scholar] [CrossRef]
  17. Bai, C.; Sarki, J. Integrating sustainability into supplier selection with grey system and rough set methodologies. Int. J. Prod. Econ. 2010, 124, 252–264. [Google Scholar] [CrossRef]
  18. Rostamzadeh, R.; Govindan, K.; Esmaeili, A.; Sabaghi, M. Application of fuzzy VIKOR for evaluation of green supply chain management practices. Ecol. Indic. 2015, 49, 188–203. [Google Scholar] [CrossRef]
  19. Tseng, M. Green supply chain management with linguistic preferences and incomplete information. Appl. Soft Comput. 2011, 11, 4894–4903. [Google Scholar] [CrossRef]
  20. Giallombardo, G.; Mirabelli, G.; Solina, V. An integrated model for the harvest, storage, and distribution of perishable crops. Appl. Sci. 2021, 11, 6855. [Google Scholar] [CrossRef]
  21. Chavez, R.; Yu, W.; Feng, M.; Wiengarten, F. The effect of consumer centric green supply chain management on operation performance and customer satisfaction. Bus. Strategy Environ. 2016, 25, 205–220. [Google Scholar] [CrossRef]
  22. Zhu, Q.; Feng, Y.; Choi, S.-B. The role of customer relational governance in environmental and economic performance improvement through green supply chain management. J. Clean. Prod. 2017, 155, 46–53. [Google Scholar] [CrossRef]
  23. Ameknassi, L.; Aït-Kadi, D.; Rezg, N. Integration of logistics outsourcing decisions in a green supply chain design: A stochastic multi-objective multi-period multi-product programming model. Int. J. Prod. Econ. 2016, 182, 165–184. [Google Scholar] [CrossRef]
  24. Entezaminia, A.; Heidari, M.; Rahmani, D. Robust aggregate production planning in a green supply chain under uncertainty considering reverse logistics: A case study. Int. J. Adv. Manuf. Technol. 2017, 90, 1507–1528. [Google Scholar] [CrossRef]
  25. Carter, C.R.; Rogers, D.S. A framework of sustainable supply chain management: Moving towards new theory. Int. J. Phys. Distrib. Logist. Manag. 2008, 38, 360–387. [Google Scholar] [CrossRef]
  26. Das, C.; Jharkharia, S. Low carbon supply chain: A state-of-the-art literature review. J. Manuf. Technol. Manag. 2018, 29, 398–428. [Google Scholar] [CrossRef]
  27. Metcalf, G. Market-based policy options to control U.S. greenhouse emissions. J. Econ. Perspect. 2009, 23, 5–27. [Google Scholar] [CrossRef]
  28. Seok, H.; Nof, S.Y.; Filip, F.G. Sustainability decision support system based on collaborative control theory. Annu. Rev. Control 2012, 36, 85–100. [Google Scholar] [CrossRef]
  29. Li, Y.; Deng, Q.; Zhou, C.; Feng, L. Environmental governance strategies in a two-echelon supply chain with tax and subsidy interactions. Ann. Oper. Res. 2020, 290, 439–462. [Google Scholar] [CrossRef]
  30. Liu, Z.; Hu, B.; Zhao, Y.; Lang, L.; Guo, H.; Florence, K.; Zhang, S. Research on intelligent decision of low carbon supply chain based on carbon tax constraints in human-driven edge computing. IEEE Access 2020, 8, 48264–48273. [Google Scholar] [CrossRef]
  31. Zhu, Q.; Sarkis, J. An inter-sectoral comparison of green supply chain management in China: Drivers and practices. J. Clean. Prod. 2006, 14, 472–486. [Google Scholar] [CrossRef]
  32. Holland, S. Emissions taxes versus intensity standards: Second-best environmental policies with incomplete regulation. J. Environ. Econ. Manag. 2012, 63, 375–387. [Google Scholar] [CrossRef]
  33. Dey, B.K.; Datta, A.; Sarkar, B. Effectiveness of carbon policies and multi-period delay in payments in a global supply chain under remanufacturing consideration. J. Clean. Prod. 2023, 402, 136539. [Google Scholar] [CrossRef]
  34. Luo, Z.; Chen, X.; Wang, X. The role of co-opetition in low carbon manufacturing. Eur. J. Oper. Res. 2016, 253, 392–403. [Google Scholar] [CrossRef]
  35. Taleizadeh, A.; Alizadehbasban, N.; Sarker, B. Coordinated contracts in a two-echelon green supply chain considering pricing strategy. Comput. Ind. Eng. 2018, 124, 249–275. [Google Scholar] [CrossRef]
  36. Fan, Z.; Cao, Y.; Huang, C.; Li, Y. Pricing strategies of domestic and imported electric vehicle manufacturers and the design of government subsidy and tariff policies. Transport Res. E-Log. 2020, 143, 102093. [Google Scholar] [CrossRef]
  37. Hong, Z.; Chu, C.; Yu, Y. Dual-mode production planning for manufacturing with emission constraints. Eur. J. Oper. Res. 2016, 251, 96–106. [Google Scholar] [CrossRef]
  38. Cohen, M.; Vandenbergh, M. The potential role of carbon labeling in a green economy. Energy Econ. 2012, 34, S53–S63. [Google Scholar] [CrossRef]
  39. Dey, B.K.; Yilmaz, I.; Seok, H. A sustainable supply chain integrated with autonomated inspection, flexibsle eco-production, and smart transportation. Processes 2022, 10, 1775. [Google Scholar] [CrossRef]
  40. Xia, X.; Li, C.; Zhu, Q. Game analysis for the impact of carbon trading on low-carbon supply chain. J. Clean. Prod. 2020, 276, 123220. [Google Scholar] [CrossRef]
  41. Zhu, Q.; Sarkis, J.; Lai, K. Confirmation of a measurement model for green supply chain management practices implementation. Int. J. Prod. Econ. 2008, 111, 261–273. [Google Scholar] [CrossRef]
  42. Balasubramanian, S.; Shukala, V. Green supply chain management: An empirical investigation on the construction sector. Supply Chain Manag. 2017, 22, 58–81. [Google Scholar] [CrossRef]
  43. Walker, H.; Di Sisto, L.; Mc Bain, D. Drivers and barriers to environmental supply chain management practice: Lessons from the public and private sectors. J. Purch. Supply Manag. 2008, 14, 69–85. [Google Scholar] [CrossRef]
  44. He, P.; Wang, Z.; Shi, V.; Liao, Y. The direct and cross effects in a supply chain with consumers sensitive to both carbon emissions and delivery time. Eur. J. Oper. Res. 2021, 292, 172–183. [Google Scholar] [CrossRef]
  45. Subramanian, R.; Gupta, S.; Taibot, B. Product design and supply chain coordination under extended producer responsibility. Produ. Oper. Manag. 2009, 29, 577–590. [Google Scholar] [CrossRef]
  46. Ji, J.; Zhang, Z.; Yang, L. Carbon emission reduction decisions in the retail-/dual-channel supply channel with consumers’ preference. J. Clean. Prod. 2017, 141, 852–867. [Google Scholar] [CrossRef]
  47. Ma, D.; Hu, J.; Yao, F. Big data empowering low-carbon smart tourism study on low-carbon tourism O2O supply chain considering consumer behaviors and corporate altruistic preferences. Comput. Ind. Eng. 2021, 153, 107061. [Google Scholar] [CrossRef]
  48. Yang, H.; Chen, W. Retailer-driven carbon emission abatement with consumer environmental awareness and carbon tax: Revenue-sharing versus cost-sharing. Omega 2018, 78, 179–191. [Google Scholar] [CrossRef]
  49. Leng, M.; Parlar, M. Game-theoretic analyses of decentralized assembly supply chains: Non-cooperative equilibria vs. coordination with cost-sharing contracts. Eur. J. Oper. Res. 2010, 204, 96–104. [Google Scholar] [CrossRef]
  50. Swami, S.; Shah, J. Channel coordination in green supply chain management. J. Oper. Res. Soc. 2013, 64, 336–351. [Google Scholar] [CrossRef]
Figure 1. Decision framework for low-carbon supply chain.
Figure 1. Decision framework for low-carbon supply chain.
Sustainability 15 09576 g001
Figure 2. Profit of manufacturer with/without cost-sharing contract.
Figure 2. Profit of manufacturer with/without cost-sharing contract.
Sustainability 15 09576 g002
Figure 3. Profit of supplier with/without cost-sharing contract.
Figure 3. Profit of supplier with/without cost-sharing contract.
Sustainability 15 09576 g003
Figure 4. Profit of supply chain under different case.
Figure 4. Profit of supply chain under different case.
Sustainability 15 09576 g004
Figure 5. Emission reduction of manufacturer with/without cost-sharing contract.
Figure 5. Emission reduction of manufacturer with/without cost-sharing contract.
Sustainability 15 09576 g005
Figure 6. Emission reduction of supplier with/without cost-sharing contract.
Figure 6. Emission reduction of supplier with/without cost-sharing contract.
Sustainability 15 09576 g006
Figure 7. Emission reduction cost share of supplier/manufacturer under equilibrium.
Figure 7. Emission reduction cost share of supplier/manufacturer under equilibrium.
Sustainability 15 09576 g007
Table 1. A summary of literature review.
Table 1. A summary of literature review.
ReferenceLow-Carbon Supply ChainData-Driven ImpactLow-Carbon AwarenessManufacturer’s EffortSupplier’s Effort
Carter and Roger (2008) [25]
Das and Jharkhari (2018) [26]
Metcalf (2009) [27]
Seok et al. (2012) [28]
Li et al. (2020) [29]
Liu et al. (2020) [30]
Zhu and Sarkis (2006) [31]
Holland (2012) [32]
Dey et al. (2023) [33]
Luo et al. (2016) [34]
Taleizadeh et al. (2018) [35]
Fan et al. (2020) [36]
Hong et al. (2016) [37]
Cohen and Vandenbergh (2012) [38]
Dey et al. (2022) [39]
Xia et al. (2020) [40]
Zhu et al. (2008) [41]
Balasubramanian and Shukala (2017) [42]
Walker et al. (2018) [43]
He et al. (2021) [44]
Subramanian et al. (2009) [45]
Ji et al. (2017) [46]
Ma et al. (2021) [47]
Yang and Chen (2018) [48]
Leng and Parlar (2010) [49]
Our work
Table 2. Symbol and notations.
Table 2. Symbol and notations.
Parameters
CsUnit supply cost of supplier
CmUnit production cost of product
CmeUnit emission reduction cost of product
CseUnit emission reduction cost of supplier
DMarket demand of product
αMarket size of product
βProduct price sensitivity coefficient, reflecting the dynamic influence of price on market demand
γConsumers’ low carbon awareness
ηEmission reduction cost coefficient of manufacturer
λEmission reduction cost coefficient of supplier
φManufacturer’s share of upstream supplier emission reduction costs
M/SDenote manufacture/supplier, respectively
Decision variables
pPrice for the product provided by the manufacturer
wPrice for the raw material provided by the supplier
emEmission reduction of manufacturer
esEmission reduction of supplier
Performance measures
π c Profit of centralized supply chain
π s Profit of supplier
π m Profit of manufacturer
Disclaimer/Publisher’s Note: The statements, opinions and data contained in all publications are solely those of the individual author(s) and contributor(s) and not of MDPI and/or the editor(s). MDPI and/or the editor(s) disclaim responsibility for any injury to people or property resulting from any ideas, methods, instructions or products referred to in the content.

Share and Cite

MDPI and ACS Style

Qiao, X.; Xu, S.; Shi, D.; Zhao, X. Data-Driven Sustainable Supply Chain Decision Making in the Presence of Low Carbon Awareness. Sustainability 2023, 15, 9576. https://doi.org/10.3390/su15129576

AMA Style

Qiao X, Xu S, Shi D, Zhao X. Data-Driven Sustainable Supply Chain Decision Making in the Presence of Low Carbon Awareness. Sustainability. 2023; 15(12):9576. https://doi.org/10.3390/su15129576

Chicago/Turabian Style

Qiao, Xiaojiao, Shimeng Xu, Dan Shi, and Xiukun Zhao. 2023. "Data-Driven Sustainable Supply Chain Decision Making in the Presence of Low Carbon Awareness" Sustainability 15, no. 12: 9576. https://doi.org/10.3390/su15129576

APA Style

Qiao, X., Xu, S., Shi, D., & Zhao, X. (2023). Data-Driven Sustainable Supply Chain Decision Making in the Presence of Low Carbon Awareness. Sustainability, 15(12), 9576. https://doi.org/10.3390/su15129576

Note that from the first issue of 2016, this journal uses article numbers instead of page numbers. See further details here.

Article Metrics

Back to TopTop