Abstract
The air source heat pump (ASHP) is developing rapidly and is widely used for space heating due to its potential for increasing energy efficiency and reducing greenhouse gas emissions. The choice of appropriate low global warming potential (GWP) alternative refrigerants is one of the challenges that ASHP systems face. Alternative refrigerants also affect the energy performance of these systems. Thus, it is essential to evaluate the performance of ASHP using environmentally friendly refrigerants to facilitate reasonable refrigerant selection. A theoretical model for simulating ASHP performance with different refrigerants is developed in this study. Experiments are conducted to validate the theoretical model. The simulation and the experimental results are found to be in good agreement. The ASHP performance indices, such as compression ratio (CR), discharging temperature (DT) and coefficients of performance (COP), are investigated using R22, R417A, R410A, R134a, R152a, R161 and R1234yf as working fluids. The results show that R152a has an average COP of 2.7% higher than R22, and R161 has an average COP of 1.4% higher than R22. R152a and R161 also have a higher CR but a lower DT than R22 under the same design conditions. In addition, R152a and R161 have ozone depletion potentials (ODP) of zero and extremely low GWPs; thus, they can be candidates to replace R22 in ASHP heating systems. This research provides a reference on refrigerant replacements for ASHP heating systems in North China.
1. Introduction
Extensive energy consumption and environmental pollution are two major problems the world is facing today [1]. The coal burned in stoves has been commonly used for a long time for daily cooking and heating in northern China [2,3]. With the continuous development of China’s economy and the expansion of the urban scale, the shortcomings of these traditional heating methods have become more and more prominent and cannot meet the requirements of sustainable development. The particulate matter, nitrogen oxides, and sulfur oxides emitted from coal-fired and gas-fired boiler heating systems, have become one of the main causes of air pollution in China. The release of these pollutants also has a negative impact on human health [4,5]. Due to the strict emission control objective, new clean heating systems are expected to replace traditional heating methods. Air source heat appropriate alternative energy source due to their high efficiency, energy-saving potential, and environmentally friendly operation. Researchers have conducted correlative studies on the energy performance of ASHPs. The study by Wang et al. [6] showed that the primary energy consumption and pollutant emissions of ASHPs are lower than those of other traditional heating methods, except for combined heat and power generation systems. Su et al. [7] proposed a new heating system using capillary mats as terminals that could use ASHP and solar energy as heat sources to be more energy efficient. Yang et al. [8] proposed a multimode single-fluid cascade ASHP, which could work steadily and efficiently in cold areas. In another work, Yu et al. [9] compared different heating systems and found that the ASHP combined with a latent thermal energy storage system had better performance in cold regions.
Although the ASHP has shown energy-saving and environmentally friendly advantages for space heating applications, it still faces challenges such as reduced coefficients of performance (COP) under low ambient temperatures, frosting and alternative refrigerants selection. Hydrochlorofluorocarbons (HCFCs), such as R22, are still commonly used in the air conditioning industry in developing countries due to their good thermal performance and safety characteristics [10]. However, an accelerated phase-out of the extensive use of HCFCs was required by the Montreal Protocol, which is intended to protect the ozone layer. According to the recent Kigali amendment in 2016, ozone-depleting substances (ODS) and high global warming potential (GWP) refrigerants must be phased out [10]. In addition, HCFCs will be completely phased-out by 2030 in developing countries [11,12,13]. Other traditional refrigerants, such as R134a and R410A, also have large risks relating to global warming potential. Therefore, ASHP systems should use appropriate alternative refrigerants in the coming years.
At present, a number of new unsaturated hydrocarbon refrigerants with low GWP have been proposed [14,15,16,17]. A new refrigerant, developed by mixing a little C3H8 with CO2, was proposed by Shi et al. [15] to raise the critical temperature. Wang et al. [16] studied the performance of CO2/R41 mixed refrigerant for refrigerators, ASHP water heaters, and water source heat pumps. The results showed that the exergy efficiency is increased in all three systems. In another work, Ju et al. [17] used an R744/R290 mixed refrigerant for a heat pump water heater. Their measurements showed that the mixed refrigerant yielded higher COP and heating capacity than R22. Wang et al. [18] conducted an analysis of the performance of an ASHP water heater system using a CO2/R170 azeotropic mixture to replace R134a. The results showed that the CO2/R170 system has a higher COP, compression ratio and lower discharging temperature than the R134a system. Moreover, Mateu-Royo et al. [19] analyzed the possibility of using low-GWP refrigerants R1234ze (E) and R515B to replace R134a in high-temperature heat pump systems. Molinaroli et al. [20] discussed the results of an experimental analysis using R450A and R513A as drop-in alternatives to R134a in a water-to-water heat pump. It was reported that R513A seems to be the better choice for R134a drop-in substitution with a low-GWP mixture. A new refrigerant, HCFO-1224yd (Z), was investigated by Mateu-Royo et al. [21] as an alternative to HFC-245fa, and its feasibility was verified by theoretical simulations. In their study, Sieres et al. [22] compared the thermal performance of low GWP refrigerants R452B and R454B with that of the R410A system, and the results showed that the two refrigerants have a thermal performance comparable to that of R410A. Wang et al. [23] established and modified a model to predict the performance of HFC/HFO refrigerants by using the excess entropy scaling (EES) method.
The literature review presented above highlighted the research on air conditioners and water heaters refrigerant substitution, along with the alternatives. However, alternative refrigerants also affect the operation performance of heat pump systems, such as the CR and the COP [24]. Thus, it is essential to select applicable refrigerants for ASHP space heating systems in cold areas, especially under the background of ASHP’s large-scale promotion. In this study, six refrigerants, R417A, R410A, R134a, R152a, R161, and R1234yf, are selected and investigated with R22 as the baseline. A theoretical model for ASHP performance simulation is established. Experiments were carried out in two climate chambers to investigate ASHP performance with two refrigerants and validate the theoretical model. The operating performance with seven refrigerants is simulated and analyzed by the validated theoretical model under varied ambient temperatures. This study is expected to facilitate the selection of suitable low-GWP refrigerants for space heating ASHP applications.
2. Method
2.1. Theoretical Model
The main factors affecting the energy efficiency and the field operation of ASHPs, such as the COP, CR and DT, are selected as simulation indices in the theoretical model. REFPROP 9.1 [25] software, developed by the National Institute of Standards and Technology (Gaithersburg, MT, USA), is used to provide fluid properties for the theoretical model. The enhanced vapor injection air source heat pump (EVIASHP) system, commonly used in North China, is considered the theoretical simulated object. The thermal dynamic process of the refrigerant in the EVIASHP system is shown in Figure 1.
Figure 1.
(a) The schematic diagram of the EVIASHP system; (b) The pressure-enthalpy diagram of the EVIASHP system.
In the EVIASHP, the gas-liquid mixture refrigerant at state 4′ with a low temperature and pressure evaporates in the evaporator to become gaseous refrigerant at a low pressure (state 1′). It is then compressed to state 1‴, which has equal pressure with the refrigerant from the outlet of the economizer and mixed with the medium-temperature gaseous refrigerant from the outlet of the economizer (state 1″) to form state 1. The mixed refrigerant is then compressed to a gas refrigerant (state 2′) at a high temperature and pressure. After condensation in the condenser, the high-temperature and pressure gaseous refrigerant becomes a high-temperature and pressure liquid refrigerant (state 3). The refrigerant from the condenser is then divided and goes two ways. Along the 3-3′-4′ way, after heat transfer in the economizer, the refrigerant becomes super-cooled liquid refrigerant (state 3′) and then expands in expansion valve B to become a low-temperature and pressure gas–liquid mixture refrigerant (state 4′). In the 3-4-1″ way, the refrigerant becomes medium temperature and pressure gas–liquid mixture through expansion valve A, and then takes heat from the high-temperature refrigerant in the economizer to become a gaseous refrigerant. The gas phase refrigerant is then taken into the auxiliary inlet of the compressor to start a new cycle.
In the EVIASHP thermal dynamic cycle, the compression energy input per unit mass of refrigerant could be calculated using Equation (1).
where is the enthalpy of the refrigerant at the outlet of the evaporator, kJ·kg−1 and is the enthalpy of the refrigerant at the outlet of the economizer flowing through the 3-4-1″ way, kJ·kg−1. is the mass flow ratio of the refrigerant flowing into the evaporator (3-3′-4′) to the refrigerant and then flowing out of the condenser.
The refrigerant takes heat from the outdoor air during the evaporation process and releases heat during the condensation process. The heat released per unit mass of refrigerant in the condenser could be calculated using Equation (2).
where is the enthalpy of the refrigerant at the outlet of the compressor, kJ/kg. It is calculated by Equation (3).
where, is the enthalpy of the refrigerant compressed by mixing the refrigerants from 3-4-1″ and 3-3′-4′ ways in the compressor, kJ·kg−1. It is calculated by Equation (4).
is the isentropic efficiency of the compression process from state 1 to 2′, is the enthalpy of the refrigerant from the 3-3′-4′ way, which has been compressed to equal pressure with the refrigerant from the 3-4-1″ way. It is calculated by Equation (5).
where is the enthalpy of the refrigerant from 3-3’-4’ ways which has been isentropically compressed to equal pressure with the refrigerant from the 3-4-1″ way.
is the isentropic efficiency of the compression process from state 1′ to state 1‴.
Equation (6) is used to calculate the theoretical of the ASHP.
The energy and heat losses occur in the practical operation of the ASHP. Thus, the actual value of the EVIASHP could be calculated by Equation (7).
where is the frictional efficiency of the compressor.
is the efficiency of energy transmission from the motor to the compressor.
is the motor efficiency.
is the heat transfer efficiency.
To begin the theoretical simulation, a refrigeration efficiency, is used to represent the influence of ,
,
, and . From the literature study [26], a value of 0.86 is considered for and 0.76 is used for . The simulation model was coded with Matlab 2018a software.
The theoretical model is used to call the properties of the refrigerant from REFPROP. The COP, CR and DT of the ASHP unit with a predetermined refrigerant or new refrigerant mixtures can be calculated by inputting the supply water temperature, the outdoor air temperature and the mass flow ratio of the refrigerant into the calculation program. The input and output parameters of the model and the calculation process are shown in Figure 2.
Figure 2.
The flowchart of the computation process of the refrigerant performance simulation.
2.2. Physical Properties of Refrigerants
The ideal refrigerant should have an ozone depletion potential (ODP) of zero, a low GWP, good heating performance (refrigeration capacity and efficiency), and be safe (non-toxic and non-flammable). Many potential low-GWP alternative refrigerants have the problem of flammability and need to be evaluated regarding their safety performance. The working fluid safety classification consists of one letter, one number, and one letter, “L”, for the low burning rate. The majuscule represents the toxicity category, with category A being low chronic toxicity and category B being high chronic toxicity. The flammability of refrigerants can be classified into four categories: 1 (nonflammability), 2L (weak flammability), 2 (flammability), and 3 (inflammability and explosion). According to this classification principle of toxicity and flammability, refrigerants are classified into eight categories regarding safety, as shown in Table 1.
Table 1.
Classification of refrigerant safety based on flammability and toxicity.
According to the refrigerant selection requirements mentioned above, some typical HFC refrigerants, including R134a and R410A, in addition to other low GWP HFC refrigerants, including R152a, R161, and R1234yf, are selected as performance simulation objects. The HCFC refrigerant R22 is still the most commonly used refrigerant in ASHP of North China, which is used as the simulation comparison object. Based on the research of Gao et al. [27] and Tang et al. [28], refrigerant R417A was considered a candidate for HFC refrigerant, and it can be directly used with, mineral oil, AB, or POE without replacing the compressor and oil in the original R22 system. Thus, R417A was considered as another candidate for the ASHP experiment. The physical properties of the simulated refrigerants are shown in Table 2.
Table 2.
Physical characteristics of refrigerants.
2.3. Experimental Verification
As mentioned above, experiments were conducted to validate the developed theoretical model. A commercially available EVIASHP unit was considered as the experimental object, and its basic parameters using the refrigerant R22 are shown in Table 3.
Table 3.
EVIASHP unit performance parameters under standard working conditions.
The experiments were carried out in twin climate chambers, with one chamber simulating the indoor thermal environment and the other simulating the outdoor thermal environment. Both chambers are equipped with a set of air-handling units to regulate air temperature and humidity. The principle of the experiment and the arrangement of the measuring points are shown in Figure 3.
Figure 3.
A schematic of the measurement points.
On the evaporator side, two working conditions were considered experimental cases. Considering the outdoor temperature for space heating design in Beijing, −7.6 °C (dry bulb temperature)/−10 °C (wet bulb temperature) was selected as the design condition (TDE). According to the meteorological statistical analysis, the nominal condition on the evaporator side of the ASHP is −12 °C (dry bulb temperature)/−13.5 °C (wet bulb temperature), which was considered as the nominal condition (TNO) in this study. On the condenser side, the return water temperature was controlled to remain stable at 38 °C by using a thermostatic water tank during the experiment.
Furthermore, several thermometers were used to monitor the air temperature and humidity in the twin climate chambers. Agilent 34970a was used to record the measured thermal data. The measured parameters for the ASHP unit mainly include: the inspiratory and discharging pressure and temperature of the compressor; the refrigerant temperature at the inlet/outlet of the condenser; the refrigerant temperature at the inlet/outlet of the evaporator; the temperature of the water flowing in and out of the ASHP unit; the water flow rate; and the power consumption of the ASHP.
The water temperatures at the inlet/outlet of the ASHP were measured by a thermistor with an accuracy of ±0.1 °C. The other temperature measuring points in the experimental unit were all equipped with T-type thermocouples with a ±0.1 °C accuracy. The thermocouples were all calibrated before the experiments. The power consumption of the ASHP was measured by a power meter with an accuracy of ±0.5%. Also, externally-welded pressure gauges were used to measure the refrigerant pressures. The high-pressure gauge has a range of 0~3.5 MPa with an accuracy of ±0.1 MPa, while the low-pressure gauge has a range of 0~1.8 MPa with an accuracy of ±0.02 MPa.
Considering the presented design conditions, the experiment was then carried out, and the experimental COP value of the ASHP unit was calculated using Equation (8).
where is the heating capacity of the ASHP, kW;
is the power consumption of the ASHP, kW;
is the specific heat capacity of water, J·(kg °C) −1;
is the mass flow rate of water, kg·s−1;
is the supply water temperature of the ASHP, °C;
is the return water temperature of the ASHP, °C.
The theoretically simulated results of COP, CR, and DT of the ASHP using different refrigerants were then validated with the experimental measurement results.
3. Results and Discussion
3.1. Experiment Measurements
Experiments were carried out to assess the performance of the ASHP with R417A and R22 as working fluids under the designed cases above. The results were used to validate the theoretical model. Experimental data were taken each minute after the system reached a steady state, and the average value for every 10 min is considered as the measured value.
Figure 4 shows the inspiratory (Pins) and discharging pressure (Pdis) of the compressor with R22 and R417A working fluids under two operating conditions. It is shown that the inspiratory pressures of R22 and R417A are similar. However, the compressor discharging pressure of the ASHP with R417A under the design and nominal conditions is, respectively, 11.0% and 9.8% lower than that of R22.

Figure 4.
(a) Variations in compressor inspiratory (Pins) and discharging pressure (Pdis) under design condition (TDE); (b) Variations in compressor inspiratory and discharging pressure under nominal condition (TNO).
In addition, the inspiratory (Tins) and discharging temperatures (Tdis) of the ASHP with R22 and R417A working fluids under two operating conditions are shown in Figure 5. The inspiratory temperatures of the two systems are similar as well. However, the maximum DT of the ASHP with R417A under operating design and nominal conditions is, respectively, 41% and 34% lower than that of the R22 unit.
Figure 5.
(a) Variations in the compressor inspiratory (Tins) and discharging temperature (Tdis) under design condition (TDE); (b) Variations in the compressor inspiratory and discharging temperature under nominal condition (TNO).
Nevertheless, the high discharging pressure will impose high requirements on the ASHP components. Also, the high DT will reduce the service life of the lubricating oil. An ASHP charged with R417A has obvious advantages compared to that charged with R22 in terms of the operation’s stability and serving life.
Figure 6 shows the ASHP power and the operating time with the two refrigerants under design and nominal conditions. As shown in the Figure, the power of the ASHP filled with R22 is higher than that in the case of R417A. For R22, the average power under the design condition is 1.07 kW, while the average power of the ASHP with R417A is 0.84 kW, around 21.5% lower. Under nominal conditions, the average power of the ASHP with R22 is 1.05 kW, while the average compressor power of the ASHP with R417A is 21.0% lower at 0.82 kW.

Figure 6.
(a) Variation of the compressor power under design condition (TDE); (b) Variation of the compressor power under nominal condition (TNO).
Furthermore, to compare the energy efficiencies of using the two refrigerants, the heating capacity is another key parameter to consider. Figure 7 shows the heating capacity of the ASHP and the operating time under the two working conditions. Under the design condition, the average heating capacity with R22 is 4.0 kW, while an average heating capacity of 2.9 kW was obtained using R417A, which is 26% lower. Under the nominal condition, an average heating capacity of 4.0 kW was obtained using R22, and the average heating capacity of the ASHP filled with R417A is 2.7 kW, which is 31% lower. This could be because R417A is a three-component non-azeotropic mixture with temperature slippage. This affects the heat transfer performance of R417A, especially the bubble escape resistance.
Figure 7.
(a) Variations in the ASHP heating capacity under design condition (TDE); (b) Variations in the ASHP heating capacity under nominal condition (TNO).
In addition, the COP under the two working conditions is displayed in Figure 8. It is shown that the average COP of the ASHP using R417A and R22 fluids is 3.5 and 3.71, respectively, under the design conditions. Under the nominal condition, the average COP employing R417A and R22 is 3.33 and 3.77, respectively. Even though the power consumption of the ASHP with R22 is higher than that when using R417A, its high heating capacity makes it more energy efficient.

Figure 8.
(a) Variation in the heating COP of the ASHP under design condition (TDE); (b) Variation in the heating COP of the ASHP under nominal condition (TNO).
3.2. Evaluation of the Experimental Measurement Uncertainty
The measured ASHP COP is determined by using the independent variables , , , and .
3.2.1. Analysis of the Temperature Measurements Uncertainty
The standard uncertainty component , caused by the repeatability of measurement results, could be calculated using Equation (9).
where is the number of the random measurement. In addition, the standard uncertainty component caused by the repeatability of measurement results could be calculated using Equation (10).
The standard uncertainty is due to the indication error of the temperature measuring instruments. The accuracy of the thermocouple employed in this study is ±0.1 °C, and the evaluated uncertainty is °C, considering a uniform distribution. The relative extended uncertainty given by Agilent Technologies is = 4.0 × 10−5% with an inclusion factor , while the relative standard uncertainty is = 2.0 × 10−5%. The resulting standard uncertainties are presented in Equations (11) and (12).
The synthetic standard uncertainties are thus listed in Equations (13) and (14).
3.2.2. Analysis of the Water Flowrate Measurements Uncertainty
The standard uncertainty component , caused by the repeatability of measurement results, could be calculated using Equation (15).
The standard uncertainty is caused by the indicated error of the flowmeter. The accuracy of the used flow meter is ±0.1 L/h. If a uniform distribution is assumed, the uncertainty is . The synthetic standard uncertainty could be calculated using Equation (16).
3.2.3. Analysis of the Power Measurement Uncertainty
The standard uncertainty component , caused by the repeatability of the power measurement results could be calculated using Equation (17).
The standard uncertainty is caused by the indication error of the power meter. The accuracy of the power meter is ±0.5%, and the uncertainty is , assuming a uniform distribution. The synthetic standard uncertainty could thus be calculated by using Equation (18).
Taking all the uncertainty parameters into account, the synthesis standard uncertainty of the COP could be calculated by using Equation (19).
When employing the uncertainty parameters and the equations above, the COP uncertainty result is calculated to be 0.3.
3.3. Theoretical Validation
In order to validate the developed theoretical model, the simulation process is considered to be operating under the same working conditions as the experiment. These conditions are outdoor air dry/wet bulb temperatures of −7.6 °C/−10 °C(design condition, TDE), outdoor air dry/wet bulb temperatures of −12 °C/−13.5 °C(nominal condition, TNO), and a heating supply water temperature of 43 °C. The mass flow ratio of the refrigerant flowing to the evaporator is set to be 0.7, according to the equipment selected for the experiment.
The results of the ASHP COP simulation are shown and compared with the experimental measurements in Table 4.
Table 4.
The simulation and experimental results of ASHP COP.
From the validation results presented in the table above, the COP calculated by the developed theoretical model is found to be in line with the experimental results. The maximum relative error of COP between the experiment and the simulation results is 5.3%, which indicates that the model is feasible.
3.4. Refrigerant Performance Simulation and Comparison
Considering the dynamic outdoor thermal conditions during the heating season, different outdoor air temperatures were considered as simulation cases in this study. According to the meteorological parameters in the north of China, the outdoor working conditions were set to be in the range of −25~5 °C, with a step of 5 °C. Considering different heating terminals, the supply water temperature was set to be in the range of 30~55 °C with a step of 5 °C. Table 5 and Table 6 show the heating conditions under different outdoor air temperatures (Tout,air) and various supply water temperatures (Tin).
Table 5.
Different outdoor air temperatures considered in the simulation cases.
Table 6.
The supply water temperatures considered in the simulation cases.
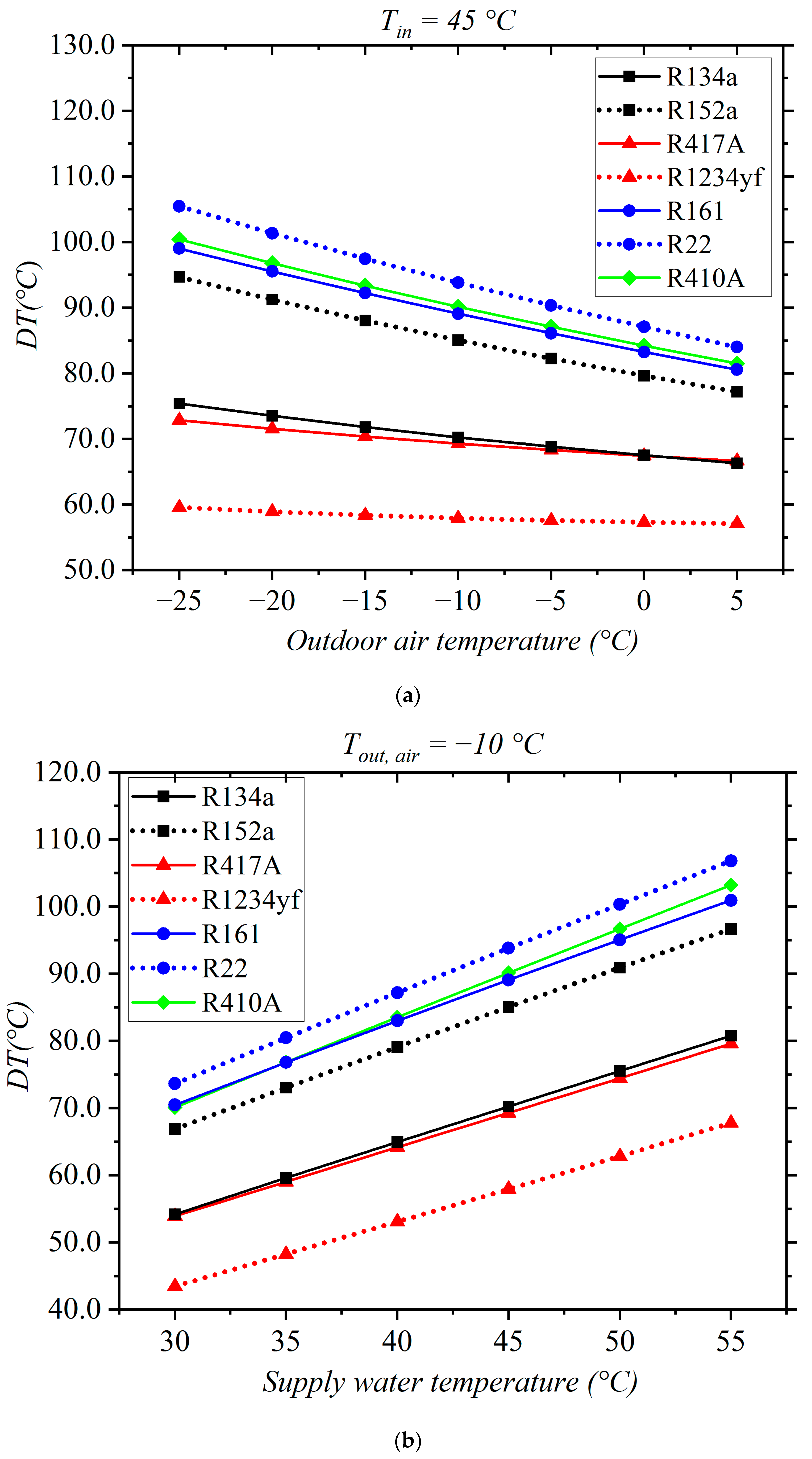
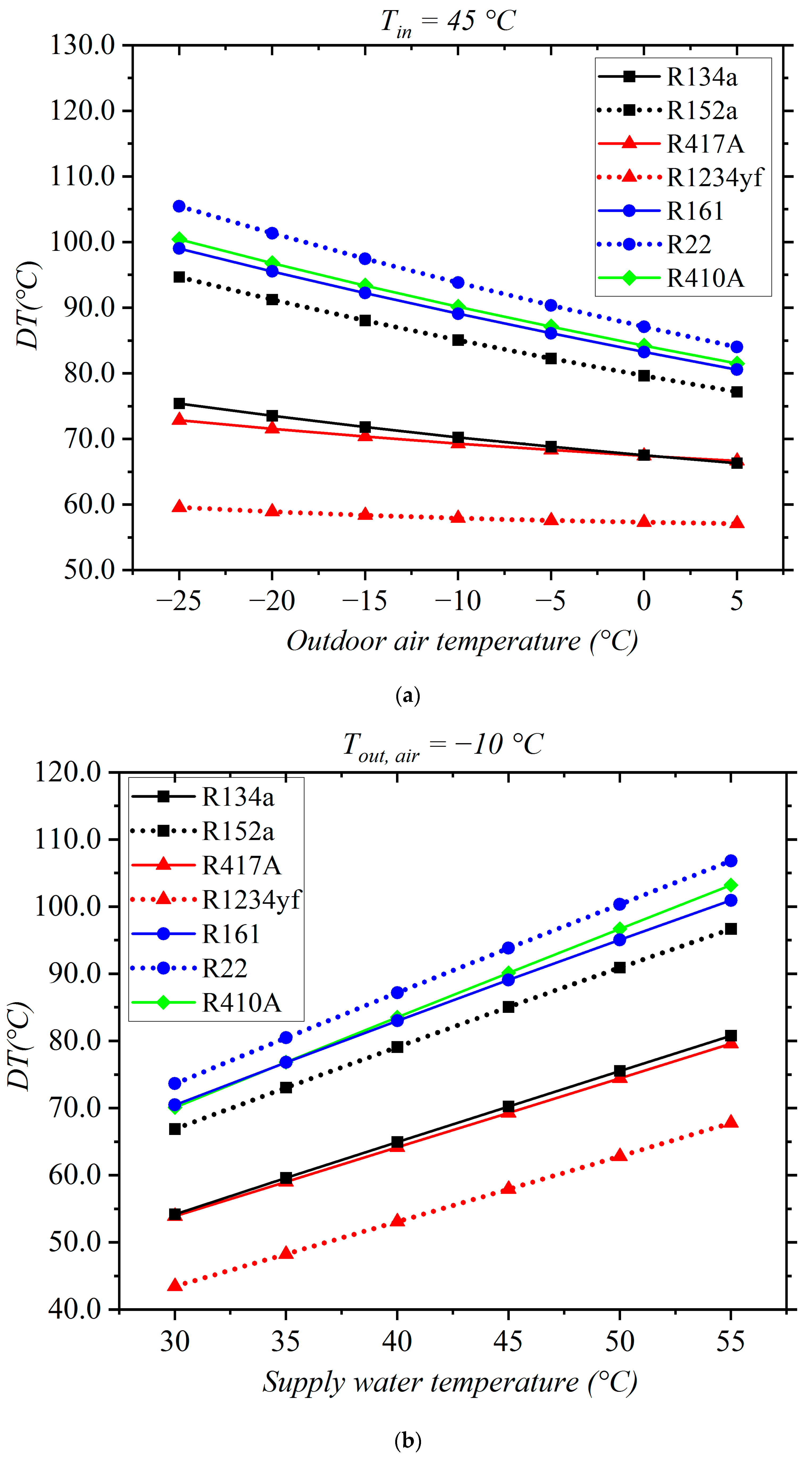
The CR is an important parameter for the ASHP performance. When the CR of the ASHP increases, the volumetric efficiency of the compressor decreases, and the DT of the compressor increases. This leads to a reduction in the ASHP performance. In addition, the compressor’s CR is directly related to its service life which is the key factor affecting the compressor’s stability. Moreover, the DT of the refrigerant is another important index to evaluate the ASHP performance. Based on the working conditions considered, the ASHP performance with seven commonly used refrigerants was simulated, and the results for CR, DT, and COP are presented in Figure 9, Figure 10 and Figure 11.

Figure 9.
(a) Compression ratio (CR) of the ASHP with different refrigerants under different outdoor air temperatures; (b) Compression ratio (CR) of the ASHP with different refrigerants under different supply water temperatures.
Figure 10.
(a) Discharging temperature (DT) of the ASHP with different refrigerants under different outdoor air temperatures; (b) Discharging temperature (DT) of the ASHP with different refrigerants under different supply water temperatures.

Figure 11.
(a) COP of the ASHP with different refrigerants under different outdoor air temperatures; (b) COP of the ASHP with different refrigerants under different supply water temperatures.
Figure 9 shows the CR of the ASHP employing seven different refrigerants under the design heating conditions. As shown in Figure 9, the CR increases with the supply water temperature and decreases with the outdoor air temperature. Under the simulation cases, the CR of all refrigerants is higher than that of R22, except for R410A. When the supply water temperature increases from 30 to 55 °C at a fixed outdoor air temperature, the CR of the R161 system increases from 5.64 to 10.05, which is, on average, 2.5% higher than R22. In addition, a CR in the range of 5.37 to 9.53 is obtained for R410A, which is, on average, 2.6% lower than that of R22. As the outdoor air temperature rises from −25 °C to 5 °C at a fixed supply water temperature, the CR of the R161 system decreases from 14.92 to 4.69, which is, on average, 2.6% higher than R22. Similarly, the CR of the R410A system decreases from 13.84 to 4.54, which is, on average, 2.8% lower than R22.
Figure 10 displays the DT of ASHP under different outdoor air and supply water temperatures. The DT of the R22 system is obviously higher than that of other systems. The R1234yf system has the lowest DT, followed by the R417A system. As the supply water temperature increases from 30 °C to 55 °C, at a fixed outdoor air temperature of −10 °C, the average DT of the R22 system is on average 38.7%, 26.2%, 25.3%, 9.3%, 4.9% and 4.1% higher than that of the R1234yf, R417A, R134a, R152a, R161, and R410A systems, respectively. As the outdoor air temperature rises from −25 °C to 5 °C, at a fixed supply water temperature of 45 °C, the average DT of the R22 system is on average 38%, 26%, 25%, 9.3%, 5.1%, and 3.9% higher than that of the R1234yf, R417A, R134a, R152a, R161, and R410A systems, respectively. Overall, an ASHP with a low DT could prolong the service life of the lubricating oil, reduce unit loss, and improve operation stability. Thus, compared to the R22 system, the refrigerants R1234yf, R417A, R134a, R152a, R161, and R410A can effectively prevent lubricating oil decomposition and deterioration.
It is shown that the ASHP COP decreases gradually with the increase in the supply water temperature and increases gradually with the increase in the outdoor air temperature, as shown in Figure 11. R152a has the highest COP among the seven refrigerant candidates, followed by R161. The average COP using R152a is 2.7% higher than the case with R22, and R161 yields an average COP that is 1.4% higher than R22.
The higher COP of the HFC refrigerants R152a and R161 indicates that they could be potential candidates for R22 substitution from an energy efficiency perspective. On the other hand, the refrigerants R152a and R161 have low GWP, which are 124 and 12, respectively. Their GWPs are one to two orders of magnitude less than that of R22 and other commonly used HFC refrigerants, such as R134a, R410A, and R417A. According to the work of Wang et al. [29], R152a yields the lowest total emissions of 2632.89 tCO2eq under the fixed design method compared to R1234yf, R134a, and the others. From the perspective of environmental friendliness, R152a and R161 could be used as alternative refrigerants for R22 as an ASHP working medium. The disadvantages of R152a and R161 are their safety classifications, which are A2 and A2L, respectively, indicating that they are flammable and weakly flammable, respectively. Thus, attention should be paid to the leakage problem during the ASHP operation when it is filled with R152a and R161.
4. Conclusions
In order to evaluate the performance of ASHP systems using suitable low-GWP refrigerants and facilitate reasonable refrigerant selection, a theoretical model of the ASHP performance with different refrigerants was developed, and its feasibility was validated by experimental data. The results showed that the maximum relative error of the ASHP COP between the experimental and simulation results is around 5.3%. The performance of the ASHP using R22, R417A, R410A, R134a, R152a, R161, and R1234yf refrigerants, including the CR, DT, and COP, is thus simulated and compared. The main conclusions are summarized as follows:
- (1)
- The CR of ASHP systems with R417A, R134a, R152a, R161, and R1234yf refrigerants is higher than that of the R22 system.
- (2)
- The DT of ASHP systems with the selected refrigerants is lower than that of the R22 system under the designed conditions. The DT of the R1234yf system is the lowest, followed by the R417A system.
- (3)
- Compared to R22, the refrigerants R152a and R161 showed higher COP under different water supply and outdoor air temperature conditions.
- (4)
- R152a and R161 have the advantages of 0 ODP and low GWP compared to R22 and the rest of the refrigerants.
With a comprehensive consideration of various factors, including energy efficiency, GWP, CR and DT, R152a and R161 are potential alternatives to replace R22 for space heating ASHP. The theoretical model could be further used to provide suggestions for the selection of ASHP refrigerants to aid in achieving carbon neutrality.
Author Contributions
Methodology and idea proposal, J.N.; Validation and formal analysis, S.Z.; Writing—review and editing, K.W.; Software, Writing—original draft preparation, H.Z.; writing—review and editing, X.K.; Visualization, X.K.; Project administration and funding acquisition, J.N. All authors have read and agreed to the published version of the manuscript.
Funding
This work was supported by the National Key R&D Program of China (NO. 2021YFF0306305), Pyramid talent training project of the Beijing University of Civil Engineering and Architecture (No. JDJQ20200303), National Natural Science Foundation of China (No. 51708013), Fundamental Research Funds for the Central Universities (No. 3142019017, 3142021005).
Data Availability Statement
All of the data, models, or codes that support the findings of this study are available from the corresponding author upon reasonable request.
Conflicts of Interest
The authors declare no conflict of interest.
References
- Galimova, T.; Ram, M.; Breyer, C. Mitigation of air pollution and corresponding impacts during a global energy transition towards 100% renewable energy system by 2050. Energy Rep. 2022, 8, 14124–14143. [Google Scholar] [CrossRef]
- Peng, L.; Zhang, Q.; Yao, Z.; Mauzerall, D.L.; Kang, S.; Du, Z.; Zheng, Y.; Xue, T.; He, K. Underreported coal in statistics: A survey-based solid fuel consumption and emission inventory for the rural residential sector in China. Appl. Energy 2019, 235, 1169–1182. [Google Scholar] [CrossRef]
- Tao, S.; Ru, M.Y.; Du, W.; Zhu, X.; Zhong, Q.R.; Li, B.G.; Shen, G.F.; Pan, X.L.; Meng, W.J.; Chen, Y.L.; et al. Quantifying the rural residential energy transition in China from 1992 to 2012 through a representative national survey. Nat. Energy 2018, 3, 567–573. [Google Scholar] [CrossRef]
- Li, X.; Xie, Y.; Li, C.; Wang, Z.; Hopke, P.K.; Xue, C. Using the carbon balance method based on fuel-weighted average concentrations to estimate emissions from household coal-fired heating stoves. Chemosphere 2022, 307, 135639. [Google Scholar] [CrossRef]
- Shen, H.Z.; Luo, Z.H.; Xiong, R.; Liu, X.; Zhang, L.; Li, Y.; Du, W.; Chen, Y.; Cheng, H.; Shen, G.; et al. A critical review of pollutant emission factors from fuel combustion in home stoves. Environ. Int. 2021, 157, 106841. [Google Scholar] [CrossRef] [PubMed]
- Wang, M.; Cheng, Y.; Yu, J. Analysis of a dual-temperature air source heat pump cycle with an ejector. Appl. Therm. Eng. 2021, 193, 116994. [Google Scholar] [CrossRef]
- Su, J.; Li, J.; Luo, X.; Yu, C.W.; Gu, Z. Experimental evaluation of a capillary heating bed driven by an air source heat pump and solar energy. Indoor Built Environ. 2020, 29, 1399–1411. [Google Scholar] [CrossRef]
- Yang, Y.; Li, R.; Zhu, Y.; Sun, Z.; Zhang, Z. Experimental and simulation study of air source heat pump for residential applications in northern China. Energy Build 2020, 224, 110278. [Google Scholar] [CrossRef]
- Yu, M.; Li, S.; Zhang, X.; Zhao, Y. Techno-economic analysis of air source heat pump combined with latent thermal energy storage applied for space heating in China. Appl. Therm. Eng. 2021, 185, 116434. [Google Scholar] [CrossRef]
- Utage, A.S.; Mali, K.V.; Phadake, H.C. Performance simulation of HFC-161 as an alternative refrigerant to HCFC-22 for room air conditioner. Mater. Today Proc. 2021, 47, 5594–5597. [Google Scholar] [CrossRef]
- United Nations Environment Programme. Ozonaction Special Issue Dedicated to HCFC Phase Out: Convenient Opportunity to Safeguard the Ozone Layer and Climate. 2008. Available online: http://www.unep.fr/ozonaction/information/mmcfiles/3139-eoanHCFCspecialissue.pdf (accessed on 16 February 2022).
- United National Environment Programme. Ozone Secretariat Country Data. 2021. Available online: http://ozone.unep.org/countries/data-table (accessed on 16 February 2022).
- Yu, Y.; Xu, H.; Yao, B.; Pu, J.; Jiang, Y.; Ma, Q.; Fang, X.; O’Doherty, S.; Chen, L.; He, J. Estimate of hydrochlorofluorocarbon emissions during 2011–2018 in the Yangtze River Delta, China. Environ. Pollut. 2022, 307, 119517. [Google Scholar] [CrossRef]
- Wang, X.; Yan, Y.; Wright, E.; Hao, X.; Gao, N. Prospect Evaluation of Low-GWP Refrigerants R1233zd (E) and R1336mzz (Z) Used in Solar-Driven Ejector-Vapor Compression Hybrid Refrigeration System. J. Therm. Sci. 2021, 30, 1572–1580. [Google Scholar] [CrossRef]
- Shi, W.; Pan, L.; Jin, S.; Dong, Y.; Li, T.; Zhao, J.; Wei, X. Combustion Characteristic and Mechanism of a Mixture Working Fluid C3H8/CO2. J. Therm. Sci. 2021, 30, 1768–1779. [Google Scholar] [CrossRef]
- Wang, D.; Lu, Y.; Tao, L. Thermodynamic analysis of CO2 blends with R41 as an azeotropy refrigerant applied in small refrigerated cabinet and heat pump water heater. Appl. Therm. Eng. 2017, 125, 1490–1500. [Google Scholar] [CrossRef]
- Ju, F.; Fan, X.; Chen, Y.; Wang, T.; Tang, X.; Kuang, A.; Ma, S. Experimental investigation on a heat pump water heater using R744/R290 mixture for domestic hot water. Int. J. Refrig. 2018, 132, 1–13. [Google Scholar] [CrossRef]
- Wang, D.; Liu, Y.; Kou, Z.; Yao, L.; Lu, Y.; Tao, L.; Xia, P. Energy and exergy analysis of an air-source heat pump water heater system using CO2 /R170 mixture as an azeotropy refrigerant for sustainable development. Int. J. Refrig. 2019, 106, 628–638. [Google Scholar] [CrossRef]
- Mateu-Royo, C.; Mota-Babiloni, A.; Navarro-Esbrí, J.; Barragán-Cervera, Á. Comparative analysis of HFO-1234ze (E) and R-515B as low GWP alternatives to HFC-134a in moderately high temperature heat pumps. Int. J. Refrig. 2020, 124, 197–206. [Google Scholar] [CrossRef]
- Molinaroli, L.; Lucchini, A.; Colombo, L. Drop-in analysis of R450A and R513A as low-GWP alternatives to R134a in a water-to-water heat pump. Int. J. Refrig. 2022, 135, 139–147. [Google Scholar] [CrossRef]
- Mateu-Royo, C.; Mota-Babiloni, A.; Navarro-Esbrí, J. Semi-empirical and environmental assessment of the low GWP refrigerant HCFO-1224yd(Z) to replace HFC-245fa in high temperature heat pumps. Int. J. Refrig. 2021, 127, 121–127. [Google Scholar] [CrossRef]
- Sieres, J.; Ortega, I.; Cerdeira, F.; Álvarez, E. Drop-in performance of the low-GWP alternative refrigerants R452B and R454B in an R410A liquid-to-water heat pump. Appl. Therm. Eng. 2021, 182, 116049. [Google Scholar] [CrossRef]
- Wang, X.; Wright, E.; Gao, N.; Li, Y. Evaluation on excess entropy scaling method predicting thermal transport properties of liquid HFC/HFO refrigerants. J. Therm. Sci. 2022, 5, 1465–1475. [Google Scholar] [CrossRef]
- Pishkariahmadabad, M.; Ayed, H.; Xia, W.-F.; Aryanfar, Y.; Almutlaq, A.M.; Bouallegue, B. Thermo-economic analysis of working fluids for a ground source heat pump for domestic uses. Case Stud. Therm. Eng. 2021, 27, 101330. [Google Scholar] [CrossRef]
- Dipippo, R. Geothermal Power Plants, 2nd ed.; Butterworth-Heinemann Press: Oxford, UK, 2008. [Google Scholar]
- Nie, J.; Fang, L.; Zhang, G.; Sheng, Y.; Kong, X.; Zhang, Y.; Olesen, B.W. Theoretical study on volatile organic compound purification and energy performance of a novel heat pump assisted solid desiccant cooling system. Energy Build. 2015, 85, 233–242. [Google Scholar] [CrossRef]
- Gao, Z.; Mei, V.; Chen, F.; Tomlinson, J. Investigation of R417A as a Drop-In Alternative for R22 in a Residential Heat Pump. In Proceedings of the 9th AIAA/ASME Joint Thermophysics and Heat Transfer Conference, San Francisco, CA, USA, 5–8 June 2006. [Google Scholar] [CrossRef]
- Tang, J.; Hu, X.; Herman, C.; Gong, G. Computational modeling and prediction of the performance of air source heat pumps under frost prevention and retardation conditions. Energy Build. 2020, 224, 110264. [Google Scholar] [CrossRef]
- Wang, F.; You, T. Comparative analysis on the life cycle climate performance of ground source heat pump using alternative refrigerants. Case Stud. Therm. Eng. 2023, 42, 102761. [Google Scholar] [CrossRef]
Disclaimer/Publisher’s Note: The statements, opinions and data contained in all publications are solely those of the individual author(s) and contributor(s) and not of MDPI and/or the editor(s). MDPI and/or the editor(s) disclaim responsibility for any injury to people or property resulting from any ideas, methods, instructions or products referred to in the content. |
© 2023 by the authors. Licensee MDPI, Basel, Switzerland. This article is an open access article distributed under the terms and conditions of the Creative Commons Attribution (CC BY) license (https://creativecommons.org/licenses/by/4.0/).















