Multi-Response Optimization of Semi-Lightweight Concrete Incorporating Expanded Polystyrene Beads
Abstract
1. Introduction
2. Experimental Program
2.1. Materials
2.2. Mixture Proportioning
2.3. Batching and Test Methods
3. Test Results and Discussion
3.1. SP Deamand
3.2. Density and Strength
3.3. Ultrasonic Pulse Velocity Measurements
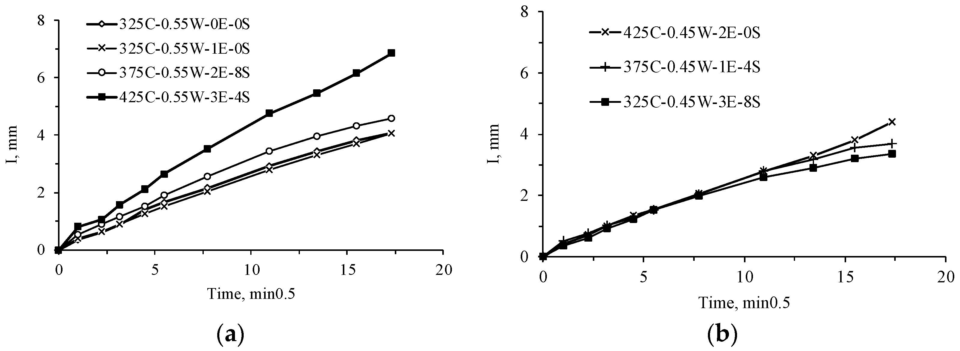
3.4. Water Absorption and Sorptivity
3.5. Abrasion Mass Loss
3.6. Multicriteria Optimization
3.6.1. TOPSIS Optimization
3.6.2. Analysis of Variance (ANOVA)
3.6.3. Multivariate Regression
4. Conclusions
- The concrete density gradually decreased by 3.4% to 14.8% with EPS additions. The lowest value of 1996 kg/m3 was recorded for the mixture containing 3 kg/m3 EPS and a w/b of 0.55, which can be attributed to the lightweight nature of EPS and the increased amount of mixing water that could collectively reduce the concrete density.
- Despite the drop in density, the strength of SLC mixtures can still be maintained by proper mixture proportioning, including the reduction of w/b and the incorporation of higher binder content, or SF. Hence, the f′c, fsp, and UPV responses are comparable to the control concrete prepared without any EPS addition.
- The reduction in w/b and incorporation of SF seem to play a determinate role in improving the SLCs durability, including its resistance against water permeation and abrasion. This was mainly attributed to reduced porosity and an enhanced interfacial transition zone between the cement paste and EPS beads. Such practices confirm the suitability of SLC mixtures for durable applications, despite the decrease in density.
- The ANOVA results showed that the w/b and EPS content were the controlling parameters of the mechanical and durability properties of SLC mixtures. Meanwhile, binder content and SF replacement percentages were the least influential parameters.
- The multi-response optimization approach revealed that the optimum concrete performance can be achieved when the binder content, w/b, EPS content, and SF replacement percentages are set to 375 kg/m3, 0.45, 3 kg/m3, and 8%, respectively.
- Predictions for the mechanical and durability properties of SLC are made using the mix design parameters through the development of multivariable regression models. The predicted-to-actual responses exhibited strong relationships, with R2 values ranging from 0.70 to 0.89.
Author Contributions
Funding
Data Availability Statement
Acknowledgments
Conflicts of Interest
Nomenclature
| ACI | American Concrete Institute |
| EPS | Expanded Polystyrene |
| SLC | Semi-Lightweight Concrete |
| TOPSIS | Technique for Order of Preference by Similarity to Ideal Solution |
| SF | Silica Fume |
| w/b | Water-to-Binder Ratio |
| S/N | Signal-to-Noise Ratio |
| SP | Superplasticizer |
| UPV | Ultrasonic Pulse Velocity |
| f’c | Compressive Strength |
| fsp | Splitting Tensile Strength |
| Wabs | Water Absorption |
References
- Shi, X.; Xie, N.; Fortune, K.; Gong, J. Durability of Steel Reinforced Concrete in Chloride Environments: An Overview. Constr. Build. Mater. 2012, 30, 125–138. [Google Scholar] [CrossRef]
- El-Mir, A.; Assaad, J.J.; Nehme, S.G.; El-Hassan, H. Correlating Strength and Durability to Time-Temperature Profiles of High-Performance Mass Concrete. Case Stud. Constr. Mater. 2022, 16, e01055. [Google Scholar] [CrossRef]
- Li, C.; Li, J.; Ren, Q.; Zheng, Q.; Jiang, Z. Durability of Concrete Coupled with Life Cycle Assessment: Review and Perspective. Cem. Concr. Compos. 2023, 139, 105041. [Google Scholar] [CrossRef]
- Li, X.J.; Zheng, Y. Using LCA to Research Carbon Footprint for Precast Concrete Piles during the Building Construction Stage: A China Study. J. Clean. Prod. 2020, 245, 118754. [Google Scholar] [CrossRef]
- Li, Z.; Shen, G.Q.; Xue, X. Critical Review of the Research on the Management of Prefabricated Construction. Habitat Int. 2014, 43, 240–249. [Google Scholar] [CrossRef]
- Bakhshi, M.; Soheili, H.; Dalalbashi, A. Optimization of a Structural Lightweight Fiber-Reinforced Concrete for Best Performance under Impact Loading. Cem. Concr. Compos. 2023, 136, 104875. [Google Scholar] [CrossRef]
- Babu, D.S.; Ganesh Babu, K.; Wee, T.H. Properties of Lightweight Expanded Polystyrene Aggregate Concretes Containing Fly Ash. Cem. Concr. Res. 2005, 35, 1218–1223. [Google Scholar] [CrossRef]
- Prasittisopin, L.; Termkhajornkit, P.; Kim, Y.H. Review of Concrete with Expanded Polystyrene (EPS): Performance and Environmental Aspects. J. Clean. Prod. 2022, 366, 132919. [Google Scholar] [CrossRef]
- ACI 213R-03; Guide for Structural Lightweight-Aggregate Concrete. American Concrete Institute: Farmington Hills, MI, USA, 2003.
- BS En 206:2013; Concrete—Specification, Performance, Production and Conformity. BSI Standards Publication: London, UK, 2013.
- Allahverdi, A.; Azimi, S.A.; Alibabaie, M. Development of Multi-Strength Grade Green Lightweight Reactive Powder Concrete Using Expanded Polystyrene Beads. Constr. Build. Mater. 2018, 172, 457–467. [Google Scholar] [CrossRef]
- Adhikary, S.K.; Ashish, D.K.; Sharma, H.; Patel, J.; Rudžionis, Ž.; Al-Ajamee, M.; Thomas, B.S.; Khatib, J.M. Lightweight Self-Compacting Concrete: A Review. Resour. Conserv. Recycl. Adv. 2022, 15, 200107. [Google Scholar] [CrossRef]
- Sadrmomtazi, A.; Sobhani, J.; Mirgozar, M.A.; Najimi, M. Properties of Multi-Strength Grade EPS Concrete Containing Silica Fume and Rice Husk Ash. Constr. Build. Mater. 2012, 35, 211–219. [Google Scholar] [CrossRef]
- Assaad, J.; Chakar, E.; Zéhil, G.P. Testing and Modeling the Behavior of Sandwich Lightweight Panels against Wind and Seismic Loads. Eng. Struct. 2018, 175, 457–466. [Google Scholar] [CrossRef]
- Maghfouri, M.; Alimohammadi, V.; Gupta, R.; Saberian, M.; Azarsa, P.; Hashemi, M.; Asadi, I.; Roychand, R. Drying Shrinkage Properties of Expanded Polystyrene (EPS) Lightweight Aggregate Concrete: A Review. Case Stud. Constr. Mater. 2022, 16, e00919. [Google Scholar] [CrossRef]
- Pecce, M.; Ceroni, F.; Bibbò, F.A.; Acierno, S. Steel–concrete Bond Behaviour of Lightweight Concrete with Expanded Polystyrene (EPS). Mater. Struct. Constr. 2015, 48, 139–152. [Google Scholar] [CrossRef]
- Cui, C.; Huang, Q.; Li, D.; Quan, C.; Li, H. Stress-Strain Relationship in Axial Compression for EPS Concrete. Constr. Build. Mater. 2016, 105, 377–383. [Google Scholar] [CrossRef]
- Mohammed, H.J.; Aayeel, O.K. Flexural Behavior of Reinforced Concrete Beams Containing Recycled Expandable Polystyrene Particles. J. Build. Eng. 2020, 32, 101805. [Google Scholar] [CrossRef]
- Liu, N.; Chen, B. Experimental Study of the Influence of EPS Particle Size on the Mechanical Properties of EPS Lightweight Concrete. Constr. Build. Mater. 2014, 68, 227–232. [Google Scholar] [CrossRef]
- Laoubi, H.; Djoudi, A.; Dheilly, R.M.; Bederina, M.; Goullieux, A.; Quéneudéc, M. Durability of a Lightweight Construction Material Made with Dune Sand and Expanded Polystyrene. J. Adhes. Sci. Technol. 2019, 33, 2157–2179. [Google Scholar] [CrossRef]
- Nikbin, I.M.; Golshekan, M. The Effect of Expanded Polystyrene Synthetic Particles on the Fracture Parameters, Brittleness and Mechanical Properties of Concrete. Theor. Appl. Fract. Mech. 2018, 94, 160–172. [Google Scholar] [CrossRef]
- Chung, S.Y.; Abd Elrahman, M.; Stephan, D. Effects of Expanded Polystyrene (EPS) Sizes and Arrangements on the Properties of Lightweight Concrete. Mater. Struct. Constr. 2018, 51, 57. [Google Scholar] [CrossRef]
- Bakhshi, M.; Shahbeyk, S. Experimental and Microstructural Study of the Compressive Strength of Concrete Samples Containing Low Volumes of Expanded Polystyrene Beads. Struct. Concr. 2019, 20, 1379–1390. [Google Scholar] [CrossRef]
- Kachouh, N.; El-Hassan, H.; El-Maaddawy, T. Effect of Steel Fibers on the Performance of Concrete Made with Recycled Concrete Aggregates and Dune Sand. Constr. Build. Mater. 2019, 213, 348–359. [Google Scholar] [CrossRef]
- Assaad, J.J.; El Mir, A. Durability of Polymer-Modified Lightweight Flowable Concrete Made Using Expanded Polystyrene. Constr. Build. Mater. 2020, 249, 118764. [Google Scholar] [CrossRef]
- Li, C.; Miao, L.; You, Q.; Hu, S.; Fang, H. Effects of Viscosity Modifying Admixture (VMA) on Workability and Compressive Strength of Structural EPS Concrete. Constr. Build. Mater. 2018, 175, 342–350. [Google Scholar] [CrossRef]
- Fathi, M.; Yousefipour, A.; Hematpoury Farokhy, E. Mechanical and Physical Properties of Expanded Polystyrene Structural Concretes Containing Micro-Silica and Nano-Silica. Constr. Build. Mater. 2017, 136, 590–597. [Google Scholar] [CrossRef]
- Chen, B.; Liu, J.; Chen, L.Z. Experimental Study of Lightweight Expanded Polystyrene Aggregate Concrete Containing Silica Fume and Polypropylene Fibers. J. Shanghai Jiaotong Univ. 2010, 15, 129–137. [Google Scholar] [CrossRef]
- Şimşek, B.; Pakdil, F.; Iç, Y.T.; Güvenç, A.B. Building a Graphical User Interface for Concrete Production Processes: A Combined Application of Statistical Process Control and Design of Experiment. Arab. J. Sci. Eng. 2019, 44, 4373–4393. [Google Scholar] [CrossRef]
- Rashid, K.; Rehman, M.U.; de Brito, J.; Ghafoor, H. Multi-Criteria Optimization of Recycled Aggregate Concrete Mixes. J. Clean. Prod. 2020, 276, 124316. [Google Scholar] [CrossRef]
- Fantous, T.; Yahia, A. Effect of Viscosity and Shear Regime on Stability of the Air-Void System in Self-Consolidating Concrete Using Taguchi Method. Cem. Concr. Compos. 2020, 112. [Google Scholar] [CrossRef]
- El-Mir, A.; Hwalla, J.; El-Hassan, H.; Assaad, J.J.; El-Dieb, A.; Shehab, E. Valorization of Waste Perlite Powder in Geopolymer Composites. Constr. Build. Mater. 2023, 368, 130491. [Google Scholar] [CrossRef]
- Korucu, H.; Şimşek, B.; Yartaşı, A. A TOPSIS-Based Taguchi Design to Investigate Optimum Mixture Proportions of Graphene Oxide Powder Synthesized by Hummers Method. Arab. J. Sci. Eng. 2018, 43, 6033–6055. [Google Scholar] [CrossRef]
- ASTM C150/C150M-19; Standard Specification for Portland Cement. ASTM International: West Conshohocken, PA, USA, 2019.
- ASTM C1240-20; Standard Specification for Silica Fume Used in Cementitious Mixtures. ASTM International: West Conshohocken, PA, USA, 2020.
- ASTM C33/C33M-16; Standard Specification for Concrete Aggregates. ASTM International: West Conshohocken, PA, USA, 2016.
- ASTM C165-23; Standard Test Method for Measuring Compressive Properties of Thermal Insulations. ASTM International: West Conshohocken, PA, USA, 2023.
- ASTM C494/C494M-19; Standard Specification for Chemical Admixtures for Concrete. ASTM International: West Conshohocken, PA, USA, 2019.
- Sharifi, E.; Sadjadi, S.J.; Aliha, M.R.M.; Moniri, A. Optimization of High-Strength Self-Consolidating Concrete Mix Design Using an Improved Taguchi Optimization Method. Constr. Build. Mater. 2020, 236, 117547. [Google Scholar] [CrossRef]
- Siddique, R. Utilization of Silica Fume in Concrete: Review of Hardened Properties. Resour. Conserv. Recycl. 2011, 55, 923–932. [Google Scholar] [CrossRef]
- El-Mir, A.; Nehme, S.; Assaad, J.J. Feasibility of Concrete Mixtures Containing Coarse and/or Fine Recycled Brick Aggregates. Mag. Civ. Eng. 2022, 116, 11603. [Google Scholar] [CrossRef]
- ASTM C143/C143M-20; Standard Test Method for Slump of Hydraulic-Cement Concrete. ASTM International: West Conshohocken, PA, USA, 2020.
- ASTM C39/C39M-03; Standard Test Method for Compressive Strength of Cylindrical Concrete Specimens. ASTM International: West Conshohocken, PA, USA, 2003.
- ASTM C496/C496M-17; Standard Test Method for Splitting Tensile Strength of Cylindrical Concrete Specimens. ASTM International: West Conshohocken, PA, USA, 2017.
- ASTM C138/C138M-01a; Standard Test Method for Density (Unit Weight), Yield, and Air Content (Gravimetric) of Concrete. ASTM International: West Conshohocken, PA, USA, 2001.
- ASTM C597-22; Standard Test Method for Ultrasonic Pulse Velocity through Concrete. ASTM International: West Conshohocken, PA, USA, 2022.
- ASTM C642-13; Standard Test Method for Density, Absorption, and Voids in Hardened Concrete. ASTM International: West Conshohocken, PA, USA, 2013.
- ASTM C1585-20; Standard Test Method for Measurement of Rate of Absorption of Water by Hydraulic-Cement Concretes. ASTM International: West Conshohocken, PA, USA, 2020.
- ASTM C1747/C1747M-11; Standard Test Method for Determining Potential Resistance to Degradation of Pervious Concrete by Impact and Abrasion. ASTM International: West Conshohocken, PA, USA, 2011.
- El-Mir, A.; Nehme, S.G.; Assaad, J.J. Effect of Binder Content and Sand Type on Mechanical Characteristics of Ultra-High Performance Concrete. Arab. J. Sci. Eng. 2022, 47, 13021–13034. [Google Scholar] [CrossRef]
- Madandoust, R.; Ranjbar, M.M.; Yasin Mousavi, S. An Investigation on the Fresh Properties of Self-Compacted Lightweight Concrete Containing Expanded Polystyrene. Constr. Build. Mater. 2011, 25, 3721–3731. [Google Scholar] [CrossRef]
- Assaad, J.J. Influence of Recycled Aggregates on Dynamic/static Stability of Self-Consolidating Concrete. J. Sustain. Cem. Mater. 2017, 6, 345–365. [Google Scholar] [CrossRef]
- El Mir, A.; Nehme, S.G. Utilization of Industrial Waste Perlite Powder in Self-Compacting Concrete. J. Clean. Prod. 2017, 156, 507–517. [Google Scholar] [CrossRef]
- Boquera, L.; Castro, J.R.; Fernandez, A.G.; Navarro, A.; Laura, A.; Cabeza, L.F. Thermo-Mechanical Stability of Concrete Containing Steel Slag as Aggregate after High Temperature Thermal Cycles. Sol. Energy 2022, 239, 59–73. [Google Scholar] [CrossRef]
- Saint-Pierre, F.; Philibert, A.; Giroux, B.; Rivard, P. Concrete Quality Designation Based on Ultrasonic Pulse Velocity. Constr. Build. Mater. 2016, 125, 1022–1027. [Google Scholar] [CrossRef]
- Nogueira, C.L.; Rens, K.L. Ultrasonic Wave Propagation in EPS Lightweight Concrete and Effective Elastic Properties. Constr. Build. Mater. 2018, 184, 634–642. [Google Scholar] [CrossRef]
- Assaad, J.J.; Mikhael, C.; Hanna, R. Recycling of Waste Expanded Polystyrene Concrete in Lightweight Sandwich Panels and Structural Applications. Clean. Mater. 2022, 4, 100095. [Google Scholar] [CrossRef]
- Chokkalingam, P.; El-Hassan, H.; El-Dieb, A.; El-Mir, A. Multi-Response Optimization of Ceramic Waste Geopolymer Concrete Using BWM and TOPSISbased Taguchi Methods. J. Mater. Res. Technol. 2022, 21, 4824–4845. [Google Scholar] [CrossRef]
- Amlashi, A.T.; Abdollahi, S.M.; Goodarzi, S.; Ghanizadeh, A.R. Soft Computing Based Formulations for Slump, Compressive Strength, and Elastic Modulus of Bentonite Plastic Concrete. J. Clean. Prod. 2019, 230, 1197–1216. [Google Scholar] [CrossRef]
- Revilla-Cuesta, V.; Skaf, M.; Serrano-López, R.; Ortega-López, V. Models for Compressive Strength Estimation through Non-Destructive Testing of Highly Self-Compacting Concrete Containing Recycled Concrete Aggregate and Slag-Based Binder. Constr. Build. Mater. 2021, 280. [Google Scholar] [CrossRef]









| Parameter, P | Level 1 | Level 2 | Level 3 |
|---|---|---|---|
| P1: Binder content, kg/m3 | 325 | 375 | 425 |
| P2: water-to-binder ratio (w/b) | 0.55 | 0.50 | 0.45 |
| P3: EPS content, kg/m3 | 1 | 2 | 3 |
| P4: SF replacement rate, % | 0 | 4 | 8 |
| Mix No. | Mix Codification * | Binder Content, kg/m3 | w/b | EPS Content, kg/m3 | SF Replacement Rate, % |
|---|---|---|---|---|---|
| 1 | 325C-0.55W-1E-0S | 325 | 0.55 | 1 | 0 |
| 2 | 325C-0.50W-2E-4S | 325 | 0.50 | 2 | 4 |
| 3 | 325C-0.45W-3E-8S | 325 | 0.45 | 3 | 8 |
| 4 | 375C-0.55W-2E-8S | 375 | 0.55 | 2 | 8 |
| 5 | 375C-0.50W-3E-0S | 375 | 0.50 | 3 | 0 |
| 6 | 375C-0.45W-1E-4S | 375 | 0.45 | 1 | 4 |
| 7 | 425C-0.55W-3E-4S | 425 | 0.55 | 3 | 4 |
| 8 | 425C-0.50W-1E-8S | 425 | 0.50 | 1 | 8 |
| 9 | 425C-0.45W-2E-0S | 425 | 0.45 | 2 | 0 |
| 10 | 325C-0.55W-0E-0S | 325 | 0.55 | 0 | 0 |
| Mix Codification | SP, % | Density, kg/m3 | f′c, MPa | fsp, MPa | UPV, m/s | Wabs, % | Sorptivity, mm/min 0.5 | Abrasion Mass Loss, % |
|---|---|---|---|---|---|---|---|---|
| 325C-0.55W-1E-0S | 0.51 | 2229 | 36.2 | 3.70 | 4264 | 5.8 | 0.232 | 29.9 |
| 325C-0.50W-2E-4S | 1.03 | 2245 | 39.2 | 3.74 | 4357 | 4.9 | 0.196 | 19.4 |
| 325C-0.45W-3E-8S | 2.36 | 2181 | 38.6 | 3.73 | 4280 | 4.8 | 0.195 | 19.7 |
| 375C-0.55W-2E-8S | 0.74 | 2224 | 41.1 | 3.57 | 4301 | 6.1 | 0.264 | 23.7 |
| 375C-0.50W-3E-0S | 1.71 | 2074 | 29.6 | 2.72 | 4020 | 6.0 | 0.263 | 30.5 |
| 375C-0.45W-1E-4S | 2.06 | 2262 | 43.3 | 4.08 | 4347 | 5.6 | 0.212 | 18.0 |
| 425C-0.55W-3E-4S | 0.71 | 1996 | 21.2 | 2.21 | 3890 | 7.6 | 0.385 | 38.7 |
| 425C-0.50W-1E-8S | 1.47 | 2218 | 42.0 | 3.58 | 4329 | 6.0 | 0.203 | 28.4 |
| 425C-0.45W-2E-0S | 1.52 | 2198 | 40.3 | 3.88 | 4319 | 5.2 | 0.240 | 22.4 |
| 325C-0.55W-0E-0S | 0.85 | 2343 | 40.1 | 3.76 | 4415 | 4.8 | 0.237 | 25.5 |
| Performance Criterion | Code | S/N Target Value | Weights (w) | Normalized w |
|---|---|---|---|---|
| SP demand | C1 | Larger is better | 8 | 0.131 |
| Density | C2 | Smaller is better | 9 | 0.148 |
| f′c | C3 | Larger is better | 9 | 0.148 |
| fsp | C4 | Larger is better | 5 | 0.082 |
| UPV | C5 | Larger is better | 6 | 0.098 |
| Water absorption | C6 | Smaller is better | 8 | 0.131 |
| Sorptivity | C7 | Smaller is better | 8 | 0.131 |
| Abrasion mass loss | C8 | Smaller is better | 8 | 0.131 |
| Performance Criterion | Binder Content (%) | w/b (%) | EPS Content (%) | SF (%) |
|---|---|---|---|---|
| SP demand | 4.2 | 85.8 | 6.3 | 3.5 |
| Density | 16.0 | 10.2 | 68.1 | 5.4 |
| f′c | 8.6 | 23.1 | 52.4 | 15.7 |
| fsp | 14.2 | 27.4 | 51.9 | 6.3 |
| UPV | 10.6 | 18.6 | 60.5 | 10.1 |
| Water absorption | 12.1 | 49.7 | 34.2 | 3.8 |
| Sorptivity | 22.9 | 43.0 | 22.8 | 11.0 |
| Abrasion mass loss | 21.7 | 49.6 | 21.0 | 7.6 |
| Properties | β0 (Binder) | β1 (w/b) | β2 (EPS) | β3 (SF) | β4 (Intercept) | SE | R2 |
|---|---|---|---|---|---|---|---|
| SP demand | −0.00147 | −12.513 | 0.0468 | 0.0246 | 7.98 | 0.33 | 0.84 |
| Density | −0.83806 | −611.615 | −79.452 | 4.673 | 2942.06 | 42.30 | 0.89 |
| f′c | −0.03086 | −83.139 | −4.984 | 0.693 | 97.08 | 4.06 | 0.80 |
| fsp | −0.00443 | −7.9414 | −0.3925 | 0.03135 | 9.7384 | 0.320 | 0.70 |
| UPV | −1.214 | −1631.71 | −125.49 | 12.729 | 5705.813 | 94.01 | 0.81 |
| Water absorption | 0.0119 | 12.35 | 0.2822 | 0.0134 | −5.555 | 0.51 | 0.80 |
| Sorptivity | 0.0579 | 48.688 | 2.196 | −0.2623 | −26.858 | 2.62 | 0.80 |
| Abrasion mass loss | 0.068 | 107.14 | 2.09 | −0.4578 | −56.020 | 4.38 | 0.79 |
Disclaimer/Publisher’s Note: The statements, opinions and data contained in all publications are solely those of the individual author(s) and contributor(s) and not of MDPI and/or the editor(s). MDPI and/or the editor(s) disclaim responsibility for any injury to people or property resulting from any ideas, methods, instructions or products referred to in the content. |
© 2023 by the authors. Licensee MDPI, Basel, Switzerland. This article is an open access article distributed under the terms and conditions of the Creative Commons Attribution (CC BY) license (https://creativecommons.org/licenses/by/4.0/).
Share and Cite
El-Mir, A.; Fayad, E.; Assaad, J.J.; El-Hassan, H. Multi-Response Optimization of Semi-Lightweight Concrete Incorporating Expanded Polystyrene Beads. Sustainability 2023, 15, 8757. https://doi.org/10.3390/su15118757
El-Mir A, Fayad E, Assaad JJ, El-Hassan H. Multi-Response Optimization of Semi-Lightweight Concrete Incorporating Expanded Polystyrene Beads. Sustainability. 2023; 15(11):8757. https://doi.org/10.3390/su15118757
Chicago/Turabian StyleEl-Mir, Abdulkader, Elias Fayad, Joseph J. Assaad, and Hilal El-Hassan. 2023. "Multi-Response Optimization of Semi-Lightweight Concrete Incorporating Expanded Polystyrene Beads" Sustainability 15, no. 11: 8757. https://doi.org/10.3390/su15118757
APA StyleEl-Mir, A., Fayad, E., Assaad, J. J., & El-Hassan, H. (2023). Multi-Response Optimization of Semi-Lightweight Concrete Incorporating Expanded Polystyrene Beads. Sustainability, 15(11), 8757. https://doi.org/10.3390/su15118757

