Microclimatic Conditions Restrict the Radial Growth of Nothofagus antarctica Regeneration Based on the Type of Forest Environment in Tierra del Fuego
Abstract
1. Introduction
2. Materials and Methods
2.1. Study Area Characterization
2.2. Radial Growth of the Regeneration and Microclimate Characterization
2.3. Statistical Analyses
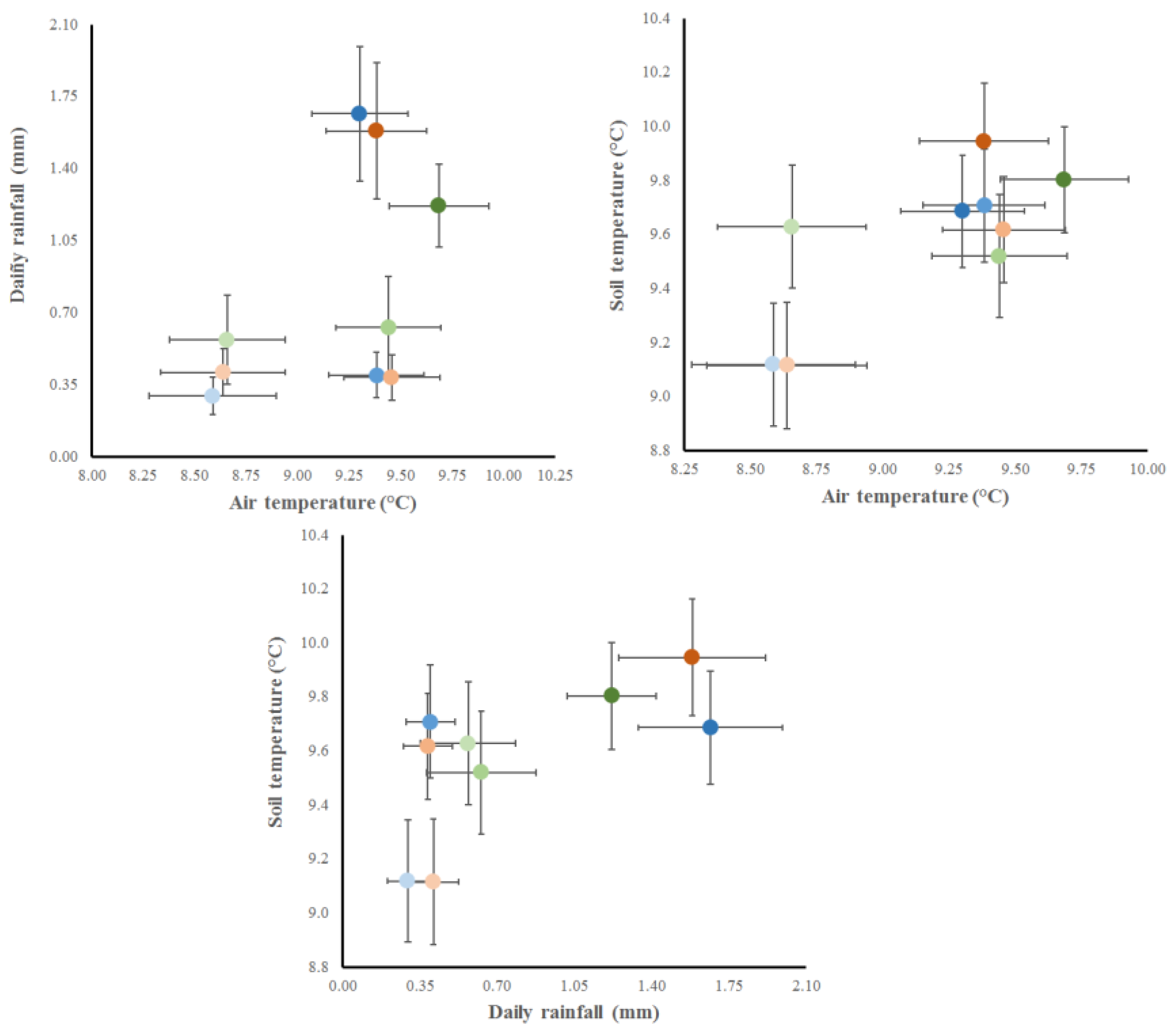
3. Results
3.1. Changes between the Forest Attributes of the Studied Environments
3.2. Daily Growth Increments of Regeneration Growth in Different Forest Environments
4. Discussion
4.1. The Influence of Overstory Cover and Management Practices on Forest Attributes
4.2. Regeneration Growth in Different Forest Environments
4.3. Management Implications
5. Conclusions
Author Contributions
Funding
Institutional Review Board Statement
Informed Consent Statement
Data Availability Statement
Acknowledgments
Conflicts of Interest
Appendix A

| Season | Month | Rain | AT | ST |
|---|---|---|---|---|
| 2018–2019 | OCT | 32.8 | 5.2 | 4.6 |
| NOV | 16.4 | 8.5 | 8.2 | |
| DEC | 27.6 | 10.7 | 10.6 | |
| JAN | 20.4 | 9.9 | 10.8 | |
| FEB | 20.2 | 9.4 | 10.7 | |
| MAR | 33.8 | 8.5 | 9.1 | |
| APR | 40.4 | 4.8 | 5.8 | |
| 2019–2020 | OCT | 12.6 | 5.5 | 5.3 |
| NOV | 31.0 | 7.7 | 7.9 | |
| DEC | 45.6 | 10.3 | 10.5 | |
| JAN | 52.0 | 10.8 | 11.4 | |
| FEB | 14.0 | 10.8 | 11.7 | |
| MAR | 20.8 | 8.4 | 9.5 | |
| APR | 3.1 | 4.6 | 5.5 |
| Rainfall | 0.0 | 0.0–0.2 | 0.2–1.0 | >1.0 |
|---|---|---|---|---|
| OCT | 64.5% | 16.1% | 9.7% | 9.7% |
| NOV | 60.0% | 10.0% | 11.7% | 18.3% |
| DEC | 66.1% | 9.7% | 12.9% | 11.3% |
| JAN | 50.0% | 16.1% | 14.5% | 19.4% |
| FEB | 51.3% | 25.6% | 12.8% | 10.3% |
| MAR | 51.6% | 12.9% | 12.9% | 22.6% |
| APR | 33.3% | 33.3% | 13.3% | 20.0% |
| SEASON | 56.1% | 16.2% | 12.4% | 15.3% |
| Air temperature | < 8.0 | 8.0–10.0 | > 10.0 | |
| OCT | 88.7% | 4.8% | 6.5% | |
| NOV | 46.7% | 33.3% | 20.0% | |
| DEC | 12.9% | 19.4% | 67.7% | |
| JAN | 12.9% | 32.3% | 54.8% | |
| FEB | 33.3% | 17.9% | 48.7% | |
| MAR | 41.9% | 25.8% | 32.3% | |
| APR | 90.0% | 10.0% | 0.0% | |
| SEASON | 43.9% | 21.1% | 35.0% | |
| Soil temperature | < 8.0 | > 8.0 | ||
| OCT | 100.0% | 0.0% | ||
| NOV | 40.0% | 60.0% | ||
| DEC | 0.0% | 100.0% | ||
| JAN | 0.0% | 100.0% | ||
| FEB | 0.0% | 100.0% | ||
| MAR | 6.5% | 93.5% | ||
| APR | 86.7% | 13.3% | ||
| SEASON | 32.9% | 67.1% |
References
- Hakkenberg, C.R.; Song, C.; Peet, R.K.; White, P.S. Forest structure as a predictor of tree species diversity in the North Carolina Piedmont. J. Veg. Sci. 2016, 27, 1151–1163. [Google Scholar] [CrossRef]
- Peri, P.L.; Hansen, N.E.; Bahamonde, H.A.; Lencinas, M.V.; von Müller, A.R.; Ormaechea, S.; Gargaglione, V.; Soler, R.M.; Tejera, L.; Lloyd, C.E.; et al. Silvopastoral systems under native forest in Patagonia, Argentina. In Silvopastoral Systems in Southern South America; Peri, P.L., Dube, F., Varella, A., Eds.; Advances in Agroforestry; Springer: Bern, Switzerland, 2016; Chapter 6; pp. 117–168. [Google Scholar]
- Martínez Pastur, G.; Rosas, Y.M.; Chaves, J.; Cellini, J.M.; Barrera, M.D.; Favoretti, S.; Lencinas, M.V.; Peri, P.L. Changes in forest structure values along the natural cycle and different management strategies in Nothofagus antarctica forests. For. Ecol. Manag. 2021, 486, e118973. [Google Scholar] [CrossRef]
- Goldenberg, M.G.; Nacif, M.E.; Oddi, F.; Garibaldi, L.A. Early response of Nothofagus antarctica forests to thinning intensity in northern Patagonia. Can. J. For. Res. 2020, 51, e1227. [Google Scholar] [CrossRef]
- Alonso, M.F.; Wentzel, H.; Schmidt, A.; Balocchi, O. Plant community shifts along tree canopy cover gradients in grazed Patagonian Nothofagus antarctica forests and grasslands. Agrofor. Syst. 2020, 94, 651–661. [Google Scholar] [CrossRef]
- Bahamonde, H.A.; Peri, P.L.; Álvarez, R.; Barneix, A. Producción y calidad de gramíneas en un gradiente de calidades de sitio y coberturas en bosques de Nothofagus antarctica (G. Forster) Oerst. en Patagonia. Ecol. Austral 2012, 22, 62–73. [Google Scholar]
- Gönc, R.L.; Casaux, R.; Szulkin-Dolhatz, D. Effects of disturbances generated by different management strategies on the vegetation strata of Nothofagus antarctica forests of Chubut, Argentina. Ecol. Austral 2015, 25, 231–241. [Google Scholar] [CrossRef]
- Martínez Pastur, G.; Cellini, J.M.; Chaves, J.; Rodriguez-Souilla, J.; Benítez, J.; Rosas, Y.M.; Soler, R.M.; Lencinas, M.V.; Peri, P.L. Changes in forest structure modify understory and livestock occurrence along the natural cycle and different management strategies in Nothofagus antarctica forests. Agrofor. Syst. 2022, 96, 1039–1052. [Google Scholar] [CrossRef]
- Martínez Pastur, G.; Rosas, Y.M.; Cellini, J.M.; Barrera, M.D.; Toro Manríquez, M.; Huertas Herrera, A.; Favoretti, S.; Lencinas, M.V.; Peri, P.L. Conservation values of understory vascular plants in even- and uneven-aged Nothofagus antarctica forests. Biodivers. Conserv. 2020, 29, 3783–3805. [Google Scholar] [CrossRef]
- Peri, P.L.; López, D.; Rusch, V.; Rusch, G.; Rosas, Y.M.; Martínez Pastur, G. State and transition model approach in native forests of Southern Patagonia (Argentina): Linking ecosystemic services, thresholds and resilience. Int. J. Biodiv. Sci. Ecosyst. Serv. Manag. 2017, 13, 105–118. [Google Scholar] [CrossRef]
- Veblen, T. Nothofagus regeneration in tree-fall gaps in northern Patagonia. Can. J. For. Res. 1989, 19, 365–371. [Google Scholar] [CrossRef]
- Navarro Cerrillo, R.M.; Rosenfeld, M.; Pérez-Aranda, J.; Padrón, E.; Guzmán, J.R.; Hernández Clemente, R.; González, L. Forest decline evaluation in Antarctic Beech Forests (Nothofagus antarctica) in Chilean Patagonia by using Landsat TM and ETM+. Bosque 2008, 29, 65–73. [Google Scholar]
- Soler, R.; Bustamante, G.; Cruz-Alonso, V.; Lenzner, B.; Essl, F. Herbivores regulate native-alien plants dynamics in sub-Antarctic beech (Nothofagus antarctica) forests of Tierra del Fuego, Argentina. Applied Veg. Sci. 2023, 26, e12721. [Google Scholar] [CrossRef]
- Martínez Pastur, G.; Peri, P.L.; Cellini, J.M.; Lencinas, M.V.; Barrera, M.D.; Ivancich, H. Canopy structure analysis for estimating forest regeneration dynamics and growth in Nothofagus pumilio forests. Ann. For. Sci. 2011, 68, 587–594. [Google Scholar] [CrossRef]
- Torres, A.D.; Cellini, J.M.; Lencinas, M.V.; Barrera, M.D.; Soler, R.M.; Díaz-Delgado, R.; Martínez Pastur, G. Seed production and recruitment in primary and harvested Nothofagus pumilio forests: Influence of regional climate and years after cuttings. For. Syst. 2015, 24, 11–21. [Google Scholar] [CrossRef]
- Shishov, V.V.; Arzac, A.; Popkova, M.I.; Yang, B.; He, M.; Vaganov, E.A. Experimental and theoretical analysis of tree-ring growth in cold climates. In Boreal Forests in the Face of Climate Change; Girona, M., Morin, H., Gauthier, S., Bergeron, Y., Eds.; Advances in Global Change Research; Springer: Cham, Switzerland, 2023; Volume 74. [Google Scholar]
- Gao, S.; Liang, E.; Liu, R.; Babst, F.; Camarero, J.; Fu, Y.; Piao, S.; Rossi, S.; Shen, M.; Wang, T.; et al. An earlier start of the thermal growing season enhances tree growth in cold humid areas but not in dry areas. Nat. Ecol. Evol. 2022, 6, 397–404. [Google Scholar] [CrossRef] [PubMed]
- Martínez-Sancho, E.; Treydte, K.; Lehmann, M.; Rigling, A.; Fonti, P. Drought impacts on tree carbon sequestration and water use-evidence from intra-annual tree-ring characteristics. New Phytol. 2022, 236, 58–70. [Google Scholar] [CrossRef] [PubMed]
- Gyenge, J.; Fernández, M.E.; Sarasola, M.; Schlichter, T. Stand density and drought interaction on water relations of Nothofagus antarctica: Contribution of forest management to climate change adaptability. Trees 2011, 25, 1111–1120. [Google Scholar] [CrossRef]
- De Frenne, P.; Lenoir, J.; Luoto, M.; Scheffers, B.; Zellweger, F.; Aalto, J.; Ashcroft, M.; Christiansen, D.; Decocq, G.; De Pauw, K.; et al. Forest microclimates and climate change, Importance; drivers and future research agenda. Glob. Chang. Biol. 2021, 27, 2279–2297. [Google Scholar] [CrossRef]
- Martínez Pastur, G.; Lencinas, M.V.; Cellini, J.M.; Mundo, I. Diameter growth: Can live trees decrease? Forestry 2007, 80, 83–88. [Google Scholar] [CrossRef]
- Sniderhan, A.E.; Mamet, S.D.; Baltzer, J.L. Non-uniform growth dynamics of a dominant boreal tree species (Picea mariana) in the face of rapid climate change. Can. J. For. Res. 2021, 51, 565–572. [Google Scholar] [CrossRef]
- Soto-Rogel, P.; Aravena, J.C.; Villalba, R.; Bringas, C.; Jens-Henrik Meier, W.; Gonzalez-Reyes, A.; Grießinger, J. Two Nothofagus species in Southernmost South America are recording divergent climate signals. Forests 2022, 13, 794. [Google Scholar] [CrossRef]
- Bonada, A.; Amoroso, M.M.; Gedalof, Z.; Srur, A.M.; Gallo, L. Effects of climate on the radial growth of mixed stands of Nothofagus nervosa and Nothofagus obliqua along a precipitation gradient in Patagonia, Argentina. Dendrochronologia 2022, 74, e125961. [Google Scholar] [CrossRef]
- Castellano, P.; Srur, A.; Bianchi, L. Climate-growth relationships of deciduous and evergreen Nothofagus species in Southern Patagonia, Argentina. Dendrochronologia 2019, 58, e125646. [Google Scholar] [CrossRef]
- Yang, J.; Cooper, D.; Li, Z.; Song, W.; Zhang, Y.; Zhao, B.; Han, S.; Wang, X. Differences in tree and shrub growth responses to climate change in a boreal forest in China. Dendrochronologia 2020, 63, e125744. [Google Scholar] [CrossRef]
- Kang, J.; Shishov, V.V.; Tychkov, I.; Zhou, P.; Jiang, S.; Ilyin, V.A.; Ding, X.; Huang, J.G. Response of model-based cambium phenology and climatic factors to tree growth in the Altai Mountains, Central Asia. Ecol. Ind. 2022, 143, e109393. [Google Scholar] [CrossRef]
- Peri, P.L.; Lencinas, M.V.; Bousson, J.; Lasagno, R.; Soler, R.M.; Bahamonde, H.A.; Martínez Pastur, G. Biodiversity and ecological long-term plots in Southern Patagonia to support sustainable land management: The case of PEBANPA network. J. Nat. Conserv. 2016, 34, 51–64. [Google Scholar] [CrossRef]
- Bitterlich, W. The Relascope Idea: Relative Measurements in Forestry; CAB: London, UK, 1984. [Google Scholar]
- Ivancich, H. Relaciones Entre la Estructura Forestal y el Crecimiento del Bosque de Nothofagus antarctica en Gradientes de Edad y Calidad de Sitio. Ph.D. Thesis, Universidad Nacional de La Plata, La Plata, Argentina, 2013. [Google Scholar]
- Bray, R.H.; Kurtz, L.T. Determination of total, organic, and available forms of phosphorus in soils. Soil Sci. 1945, 59, 39–45. [Google Scholar] [CrossRef]
- Supartono, T.; Adhya, I.; Hendrayana, Y.; Kosasih, D.; Yudayana, B. Use of faecal pellet count method in estimating population density of mammals in Gunung Ciremai National Park. IOP Conf. Ser. Earth Environ. Sci. 2021, 819, e012079. [Google Scholar] [CrossRef]
- Bustamante, G.; Soler, R.; Blazina, A.P.; Arena, M. Association between native tree sapling and spiny shrub mitigates browsing damage produced by large herbivores in fire-degraded forests. Flora 2021, 285, e151938. [Google Scholar] [CrossRef]
- Bustamante, G.; Arena, M.E.; Mosquera, M.R.; Soler, R. Nothofagus antarctica seedling performance under the influence of Berberis microphylla shrubs with different grazing intensities in burned forests of Tierra del Fuego. For. Ecol. Manag. 2023, 529, e120655. [Google Scholar] [CrossRef]
- Quinteros, P.; Hansen, N.; Kutschker, A. Composición y diversidad del sotobosque de ñire (Nothofagus antarctica) en función de la estructura del bosque. Ecol. Austral 2010, 20, 225–234. [Google Scholar]
- Quinteros, P.; López Bernal, P.M.; Gobbi, M.E.; Bava, J. Distance to flood meadows as a predictor of use of Nothofagus pumilio forest by livestock and resulting impact, in Patagonia, Argentina. Agrofor. Syst. 2012, 84, 261–272. [Google Scholar] [CrossRef]
- Piazza, M.V.; Garibaldi, L.; Kitzberger, T.; Chaneton, E. Impact of introduced herbivores on understory vegetation along a regional moisture gradient in Patagonian beech forests. For. Ecol. Manag. 2016, 366, 11–22. [Google Scholar] [CrossRef]
- Pollmann, W.; Veblen, T.T. Nothofagus regeneration dynamics in south-central Chile, A test of a general model. Ecol. Monogr. 2004, 74, 615–634. [Google Scholar] [CrossRef]
- Van Galen, L.; Lord, J.; Orlovich, D.; Larcombe, M. Restoration of southern hemisphere beech (Nothofagaceae) forests: A meta-analysis. Restor. Ecol. 2020, 29, e13333. [Google Scholar] [CrossRef]
- Echevarría, D.C.; von Müller, A.R.; Hansen, N.E.; Bava, J. Cattle browsing on Nothofagus antarctica saplings in Chubut province, Argentina, related to stocking rate and plant height. Bosque 2017, 35, 357–368. [Google Scholar]
- Soto, D.; Donoso, P.; Zamorano Elgueta, C.; Ríos, A.; Promis, A. Precipitation declines influence the understory patterns in Nothofagus pumilio old-growth forests in northwestern Patagonia. For. Ecol. Manag. 2021, 491, e119169. [Google Scholar] [CrossRef]
- Pérez-Haase, A.; Iturraspe, R.; Ninot, J. Macroclimate and local hydrological regime as drivers of fen vegetation patterns in Tierra del Fuego (Argentina). Ecohydrology 2019, 12, e2155. [Google Scholar] [CrossRef]
- Rosenfeld, J.M.; Navarro Cerrillo, R.; Guzman Alvarez, J.R. Regeneration of Nothofagus pumilio (Poepp. et Endl.) Krasser forests after five years of seed tree cutting. J. Environ. Manag. 2006, 78, 44–51. [Google Scholar] [CrossRef]
- Baker, T.; Jordan, G.; Steel, A.; Fountain-Jones, N.; Wardlaw, T.; Baker, S. Microclimate through space and time, Microclimatic variation at the edge of regeneration forests over daily, yearly and decadal time scales. For. Ecol. Manag. 2014, 334, 174–184. [Google Scholar] [CrossRef]
- Suárez, M.L.; Kitzberger, T. Recruitment patterns following a severe drought: Long-term compositional shifts in Patagonian forests. Can. J. For. Res. 2008, 38, 3002–3010. [Google Scholar] [CrossRef]
- Varela, S.A.; Gyenge, J.E.; Fernández, M.E.; Schlichter, T. Seedling drought stress susceptibility in two deciduous Nothofagus species of NW Patagonia. Trees 2010, 24, 443–453. [Google Scholar] [CrossRef]
- Amoroso, M.; Suarez, M.L.; Daniels, L. Nothofagus dombeyi regeneration in declining Austrocedrus chilensis forests: Effects of overstory mortality and climatic events. Dendrochronologia 2012, 30, 105–112. [Google Scholar] [CrossRef]
- Just, M.; Frank, S.D. Evaluation of an easy-to-install; low-cost dendrometer band for citizen-science tree research. J. For. 2019, 117, 317–322. [Google Scholar] [CrossRef]
- Olivar, J.; Rais, A.; Pretzsch, H.; Bravo, F. The impact of climate and adaptive forest management on the intra-annual growth of Pinus halepensis based on long-term dendrometer recordings. Forests 2022, 13, 935. [Google Scholar] [CrossRef]
- Van der Maaten, E.; Pape, J.; van der Maaten-Theunissen, M.; Scharnweber, T.; Smiljanić, M.; Cruz-García, R.; Wilmking, M. Distinct growth phenology but similar daily stem dynamics in three co-occurring broadleaved tree species. Tree Physiol. 2018, 38, 1820–1828. [Google Scholar] [CrossRef]
- Chillo, V.; Goldenberg, M.; Pérez-Méndez, N.; Garibaldi, L.A. Diversity, functionality, and resilience under increasing harvesting intensities in woodlands of northern Patagonia. For. Ecol. Manag. 2020, 474, e118349. [Google Scholar] [CrossRef]
- Kellomäki, S.; Väisänen, H. Modelling the dynamics of the forest ecosystem for climate change studies in the boreal conditions. Ecol. Model. 1997, 97, 121–140. [Google Scholar] [CrossRef]
- Pérez-Girón, J.C.; Álvarez-Álvarez, P.; Díaz-Varela, E.; Mendes Lopes, D. Influence of climate variations on primary production indicators and on the resilience of forest ecosystems in a future scenario of climate change: Application to sweet chestnut agroforestry systems in the Iberian Peninsula. Ecol. Ind. 2020, 113, e106199. [Google Scholar] [CrossRef]
- Groffman, P.M.; Driscoll, C.T.; Fahey, T.J.; Hardy, J.; Fitzhugh, R.; Tierney, G. Colder soils in a warmer world, A snow manipulation study in a northern hardwood forest ecosystem. Biogeochemistry 2001, 56, 135–150. [Google Scholar] [CrossRef]
- Kilpeläinen, J.; Domisch, T.; Lehto, T.; Piirainen, S.; Silvennoinen, R.; Repo, T. Separating the effects of air and soil temperature on silver birch. Part I. Does soil temperature or resource competition determine the timing of root growth? Tree Physiol. 2022, 42, 2480–2501. [Google Scholar] [CrossRef] [PubMed]
- Dantas, B.; Moura, M.; Pelacani, C.; Angelotti, F.; Taura, T.; Oliveira, G.; Bispo, J.; Matias, J.; Silva, F.; Pritchard, H.; et al. Rainfall, not soil temperature, will limit the seed germination of dry forest species with climate change. Oecologia 2020, 192, 529–541. [Google Scholar] [CrossRef] [PubMed]
- Belyazid, S.; Akselsson, C.; Zanchi, G. Water limitation in forest soils regulates the increase in weathering rates under climate change. Forests 2022, 13, 310. [Google Scholar] [CrossRef]
- Holmgren, M.; Scheffer, M.; Ezcurra, E.; Gutiérrez, J.; Mohren, G. El Niño effects on the dynamics of terrestrial ecosystems. Trends Ecol. Evol. 2001, 16, 89–94. [Google Scholar] [CrossRef] [PubMed]
- Maza-Villalobos, S.; Poorter, L.; Martínez-Ramos, M. Effects of ENSO and temporal rainfall variation on the dynamics of successional communities in old-field succession of a tropical dry forest. PLoS ONE 2013, 8, e82040. [Google Scholar] [CrossRef]
- Nunes, M.H.; Jucker, T.; Riutta, T.; Svátek, M.; Kvasnica, J.; Rejžek, M.; Matula, R.; Majalap, N.; Ewers, R.; Swinfield, T.; et al. Recovery of logged forest fragments in a human-modified tropical landscape during the 2015–2016 El Niño. Nat. Commun. 2021, 12, e1526. [Google Scholar] [CrossRef]
- Gaertner, B.; Zegre, N.; Warner, T.; Fernandez, R.; He, Y.; Merriam, E. Climate, forest growing season, and evapotranspiration changes in the central Appalachian Mountains, USA. Sci. Total Environ. 2019, 650, 1371–1381. [Google Scholar] [CrossRef]
- Prislan, P.; Gričar, J.; Čufar, K.; de Luis, M.; Merela, M.; Rossi, S. Growing season and radial growth predicted for Fagus sylvatica under climate change. Clim. Chang. 2019, 153, 181–197. [Google Scholar] [CrossRef]
- Cuevas, J. Tree recruitment at the Nothofagus pumilio alpine timberline in Tierra del Fuego, Chile. J. Ecol. 2000, 88, 840–855. [Google Scholar] [CrossRef]
- Bahamonde, H.A.; Peri, P.L.; Monelos, L.H.; Martínez Pastur, G. Aspectos ecológicos de la regeneración por semillas en bosques nativos de Nothofagus antarctica en Patagonia Sur, Argentina. Bosque 2011, 32, 20–29. [Google Scholar] [CrossRef]
- Piper, F.; Fajardo, A.; Cavieres, L. Simulated warming does not impair seedling survival and growth of Nothofagus pumilio in the southern Andes. Perspec. Plant Ecol. Evol. Syst. 2013, 15, 97–105. [Google Scholar] [CrossRef]
- Dey, D.; Knapp, B.; Battaglia, M.; Deal, R.; Hart, J.; O’Hara, K.; Schweitzer, C.; Schuler, T. Barriers to natural regeneration in temperate forests across the USA. New Forests 2019, 50, 11–40. [Google Scholar] [CrossRef]
- Vieira, J.; Campelo, F.; Nabais, C. Environment controls seasonal and daily cycles of stem diameter variations in Portuguese Oak (Quercus faginea Lambert). Forests 2022, 13, 170. [Google Scholar] [CrossRef]
- Betancourt, J.A.; Florez Yepes, G.; Hernández García, D. Innovation in agricultural systems facing climate change. J. Southwest Jiaotong Univ. 2022, 57, 257–267. [Google Scholar] [CrossRef]



| Treatment | BA | TD | TOBV | OC | TR |
|---|---|---|---|---|---|
| CF | 34.5c | 1789b | 172.4c | 73.1c | 37.2a |
| OF | 22.5b | 599ab | 117.3b | 53.7b | 61.9b |
| EF | <0.1a | <1a | <0.1a | 7.1a | 91.3c |
| F(p) | 42.15 (<0.001) | 4.31 (0.048) | 44.03 (<0.001) | 63.42 (<0.001) | 21.41 (0.001) |
| SD | SC | SN | SP | LD | |
| CF | 0.712a | 14.96 | 0.684 | 0.422a | 1.06a |
| OF | 0.976b | 14.31 | 0.738 | 0.549b | 4.36b |
| EF | 0.802a | 13.94 | 0.691 | 0.419a | 1.02a |
| F(p) | 17.48 (0.001) | 0.51 (0.615) | 0.47 (0.641) | 6.46 (0.018) | 4.89 (0.036) |
| RIC | UB | UC | DC | BS | |
| CF | 37.75b | 497.3a | 166.5b | 6.50b | 6.0 |
| OF | 36.75b | 714.1a | 149.0ab | 0.50a | 7.5 |
| EF | 28.25s | 3932.8b | 116.4a | 0.25a | 21.5 |
| F(p) | 6.53 (0.018) | 5.77 (0.024) | 6.60 (0.017) | 7.61 (0.012) | 4.46 (0.045) |
| Treatment | Level | SWC | GI |
|---|---|---|---|
| A: Treatment | CF | 26.7b | 0.0024 |
| OP | 22.4a | 0.0064 | |
| EP | 36.9c | 0.0134 | |
| F(p) | 2296.47 (<0.001) | 2.97 (0.052) | |
| B: Phase | Early | 30.5c | 0.0048a |
| Medium | 28.5b | 0.0176b | |
| Late | 27.1a | −0.0001a | |
| F(p) | 105.5 (<0.001) | 11.89 (<0.001) | |
| C: Season | 1 | 25.6a | 0.0052 |
| 2 | 31.8b | 0.0097 | |
| F(p) | 1190.99 (<0.001) | 1.48 (0.224) | |
| Interactions | A × B | 22.44 (<0.001) | 2.97 (0.019) |
| A × C | 282.05 (<0.001) | 0.03 (0.968) | |
| B × C | 44.29 (<0.001) | 0.60 (0.548) |
| Treatment | Level | CF | OF | EF |
|---|---|---|---|---|
| A: Phase | Early | 0.0154 | 0.0124ab | 0.0133ab |
| Medium | 0.0058 | 0.0225b | 0.0406ab | |
| Late | 0.0087 | 0.0087a | 0.0091a | |
| F(p) | 0.33 (0.719) | 3.01 (0.049) | 6.89 (0.001) | |
| B: Rainfall | 0.0 | −0.0082 a | −0.0051a | 0.0024a |
| 0.0–0.2 | −0.0008 ab | 0.0059a | 0.0113a | |
| 0.2–1.0 | 0.0195 ab | 0.0161ab | 0.0245ab | |
| >1.0 | 0.0293 b | 0.0412b | 0.0459b | |
| F(p) | 6.93 (<0.001) | 21.03 (<0.001) | 7.53 (<0.001) | |
| C: Season | 1 | 0.0065 | 0.0132 | 0.0171 |
| 2 | 0.0134 | 0.0158 | 0.0249 | |
| F(p) | 0.61 (0.435) | 0.23 (0.633) | 0.76 (0.385) | |
| Interactions | A × B | 1.82 (0.095) | 1.25 (0.279) | 0.78 (0.586) |
| A × C | 0.06 (0.944) | 0.53 (0.589) | <0.01 (0.997) | |
| B × C | 0.61 (0.612) | 3.46 (0.017) | 1.02 (0.385) |
| Treatment | Level | CF | OF | EF |
|---|---|---|---|---|
| A: Phase | Early | 0.0028 | −0.0011a | 0.0001ab |
| Medium | −0.0011 | 0.0159b | 0.0271b | |
| Late | −0.0013 | 0.0002ab | −0.0003a | |
| F(p) | 0.07 (0.934) | 4.64 (0.010) | 6.47 (0.002) | |
| B: Air temperature | <8.0 | −0.0039 | 0.0044 | 0.0091 |
| 8.0–10.0 | 0.0015 | 0.0086 | 0.0104 | |
| >10.0 | 0.0028 | 0.0021 | 0.0072 | |
| F(p) | 0.24 (0.787) | 0.34 (0.709) | 0.03 (0.966) | |
| C: Season | 1 | −0.0005 | 0.0035 | 0.0058 |
| 2 | 0.0007 | 0.0066 | 0.0121 | |
| F(p) | 0.02 (0.888) | 0.37 (0.543) | 0.67 (0.413) | |
| Interactions | A × B | 0.66 (0.618) | 0.35 (0.846) | 0.86 (0.490) |
| A × C | 0.53 (0.590) | 0.34 (0.713) | 0.72 (0.488) | |
| B × C | 0.41 (0.662) | 0.13 (0.874) | 0.52 (0.594) |
| Treatment | Level | CF | OF | EF |
|---|---|---|---|---|
| A: Phase | Early | −0.0007 | 0.0029 | 0.0074 |
| Medium | 0.0109 | 0.0012 | −0.0158 | |
| Late | −0.0043 | −0.0019 | −0.0039 | |
| F(p) | 0.21 (0.809) | 0.12 (0.180) | 0.64 (0.527) | |
| B: Soil Temperature | <8.0 | 0.0062 | −0.0073 | −0.0234a |
| >8.0 | −0.0022 | 0.0088 | 0.0152b | |
| F(p) | 0.24 (0.626) | 1.8 (0.180) | 4.87 (0.028) | |
| C: Season | 1 | 0.0011 | 0.0001 | −0.0056 |
| 2 | 0.0028 | 0.0013 | −0.0026 | |
| F(p) | 0.02 (0.894) | 0.04 (0.849) | 0.10 (0.748) | |
| Interactions | A × B | 0.49 (0.615) | 0.28 (0.754) | 1.58 (0.207) |
| A × C | 0.96 (0.328) | 0.16 (0.689) | 0.06 (0.799) | |
| B × C | 0.85 (0.428) | 0.16 (0.852) | 0.11 (0.899) |
Disclaimer/Publisher’s Note: The statements, opinions and data contained in all publications are solely those of the individual author(s) and contributor(s) and not of MDPI and/or the editor(s). MDPI and/or the editor(s) disclaim responsibility for any injury to people or property resulting from any ideas, methods, instructions or products referred to in the content. |
© 2023 by the authors. Licensee MDPI, Basel, Switzerland. This article is an open access article distributed under the terms and conditions of the Creative Commons Attribution (CC BY) license (https://creativecommons.org/licenses/by/4.0/).
Share and Cite
Martínez Pastur, G.; Rodríguez-Souilla, J.; Lencinas, M.V.; Cellini, J.M.; Chaves, J.E.; Aravena-Acuña, M.C.; Roig, F.A.; Peri, P.L. Microclimatic Conditions Restrict the Radial Growth of Nothofagus antarctica Regeneration Based on the Type of Forest Environment in Tierra del Fuego. Sustainability 2023, 15, 8687. https://doi.org/10.3390/su15118687
Martínez Pastur G, Rodríguez-Souilla J, Lencinas MV, Cellini JM, Chaves JE, Aravena-Acuña MC, Roig FA, Peri PL. Microclimatic Conditions Restrict the Radial Growth of Nothofagus antarctica Regeneration Based on the Type of Forest Environment in Tierra del Fuego. Sustainability. 2023; 15(11):8687. https://doi.org/10.3390/su15118687
Chicago/Turabian StyleMartínez Pastur, Guillermo, Julián Rodríguez-Souilla, María V. Lencinas, Juan M. Cellini, Jimena E. Chaves, Marie Claire Aravena-Acuña, Fidel A. Roig, and Pablo L. Peri. 2023. "Microclimatic Conditions Restrict the Radial Growth of Nothofagus antarctica Regeneration Based on the Type of Forest Environment in Tierra del Fuego" Sustainability 15, no. 11: 8687. https://doi.org/10.3390/su15118687
APA StyleMartínez Pastur, G., Rodríguez-Souilla, J., Lencinas, M. V., Cellini, J. M., Chaves, J. E., Aravena-Acuña, M. C., Roig, F. A., & Peri, P. L. (2023). Microclimatic Conditions Restrict the Radial Growth of Nothofagus antarctica Regeneration Based on the Type of Forest Environment in Tierra del Fuego. Sustainability, 15(11), 8687. https://doi.org/10.3390/su15118687

