Abstract
Carbon storage of urban woody vegetation is crucial for climate change mitigation. Biomass structure and species composition have been shown to be important determinants of carbon storage in woody vegetation. In this study, allometric equations were used to estimate the aboveground carbon storage of urban woody vegetation along an urban–rural transect in Shanghai. A random forest model was developed to evaluate the importance scores and influence of species diversity, canopy cover, species evenness, and tree density on aboveground carbon storage. The results showed that tree density, canopy cover, species diversity, species evenness, and aboveground carbon storage of urban woody vegetation vary with the degree of urbanization and urban–rural environment. In addition, the Bayesian optimization algorithm optimized the random forest model parameters to enhance model accuracy, and good modeling results were demonstrated in the study. The R2 was at 0.61 in the testing phase and 0.78 in the training phase. The root mean square errors (RMSEs) were 0.84 Mg/ha of carbon in the testing phase and 0.57 Mg/ha in the training phase, which is indicative of a low error of the optimized model. Tree species diversity, canopy cover, species evenness, and tree density were found to correlate with aboveground carbon storage. Tree density was the most important contributor, followed by species diversity and canopy cover, and species evenness was the least effective for aboveground carbon storage. Meanwhile, the results of the partial dependence analysis indicated the combination of factors most conducive to aboveground carbon storage at a tree density of 2200 trees/ha, canopy cover of 50%, species diversity of 1.2, and species evenness of 0.8 in the transect. The findings provided practical recommendations for urban forest managers to adjust the structure and composition of woody vegetation to increase carbon storage capacity and reduce greenhouse gas emissions.
1. Introduction
Urbanization has been known to cause accelerated greenhouse gas release. A 10% increase in the rate of urbanization can lead to a 7% increase in carbon dioxide emissions [1]. The continued rise in atmospheric carbon dioxide is considered to be the primary driver of global warming [2,3], which has become humanity’s major, if not clinching, environmental concern. It is essential to find effective ways to reduce carbon dioxide emissions and remove some of it from the atmosphere. In the ecosystem, urban woody vegetation, including trees and shrubs, are the crucial components of terrestrial ecosystems. Regarding the benefits of ecological environment, the woody members play a dominant role compared with other greenery forms, and they have a sizeable capacity to sequester and store carbon and lower their concentration of carbon dioxide in the atmosphere. The average annual carbon storage of urban woody vegetation could offset 3.9% of the annual increase of urban carbon emissions [4]. Carbon storage, a key ecosystem service of urban greenery, has the potential to improve air quality [5].
Carbon storage capacities vary among urban vegetation types, primarily due to varying photosynthetic rates and carbon sequestration competence. Meanwhile, urban woody vegetation grows in diverse habitats associated with diverse land uses. These include roadsides, brownfields, ruderal sites, gardens, remnant natural areas, such as inherited pre-urbanization forests, and afforested lands [6,7,8,9,10,11]. A broad range of vegetation types has been generated due to the diversity of site conditions; these processes vary according to species composition and biomass structure and are subject to varying strands and levels of management intervention [12]. As a result, the inherent traits and functions of urban woody vegetation, including carbon storage capacity, are molded by a basket of intrinsic and extrinsic as well as natural and artificial factors. When located in or proximal to built-up areas, urban vegetation is exposed to different types and intensities of anthropogenic impacts. For example, degradation, damage, the unnatural light regime [13], excessive shading from buildings, and felling can prune the aboveground carbon stock of a city and reduce the ability to capture carbon. Meanwhile, the level of disturbance might cause the carbon storage capacity to decrease by 9.2% to 70.7% [2,14]. In addition, the above litany of disturbances may also induce subtle changes in vegetation composition and structure, which may lead to lower tree density, species diversity, species evenness, and canopy cover and bring consequential changes in productivity and physiognomy. It was demonstrated that biomass productivity was positively related to carbon storage, which means that the disturbance of urban vegetation can impact carbon storage by affecting the vegetation composition and structure [15,16,17]. Aboveground carbon storage of woody vegetation was higher with high species diversity than with monocultures [18]. Thus, species diversity presents a primary determinant of aboveground carbon storage. Moreover, it has been found that high canopy cover elevated carbon storage of vegetation [19,20,21], and species evenness and tree density can also influence it [22,23]. Most relevant studies, however, centered around a single factor, and few studies investigated conjoint factors and compared their impact and effectiveness on aboveground carbon storage of woody vegetation. In addition, the level of disturbance on urban vegetation may be different from rural vegetation, and the influence of tree density, species diversity, species evenness, and canopy cover on carbon storage is unclear in the urban–rural transect under the disturbances of rapid urbanization.
The in-depth analysis of the research question demands appropriate and enabling quantitative methods. Recently, advances in artificial intelligence and machine learning have been increasingly tapped for their enhanced ability to quantify associations and interactions between variables [24]. A random forest model, which has a strong anti-interference capability to balance error for imbalanced data sets, has recently been applied to ecological studies [25,26]. Moreover, the random forest model can handle high dimensional data without feature selection and can identify more critical factors. Hasanuzzaman et al. analyzed drivers of floods using three models, namely extreme gradient boosting, naive bayes, and random forest, and ascertained the superiority of the random forest model [27]. Zhang et al. estimated aboveground carbon storage of woody vegetation by the random forest model and verified that it performs well [28]. However, the identification of crucial structural and compositional factors on aboveground carbon storage are seldom to be deciphered and clarified by the random forest model algorithm.
The best model results of random forest model can be optimized by the Bayesian optimization algorithm, which can optimize the random forest model parameters. The urban–rural transect of Shanghai, a region experiencing rapid urbanization development in China, provided the study area to test the hypotheses and methods. The study objectives are: (1) to evaluate the species diversity, tree density, species evenness, canopy cover, and aboveground carbon storage of urban woody vegetation in the transect; (2) to analyze the relationship between key vegetation traits of woody vegetation (species diversity, tree density, species evenness, canopy cover) and aboveground carbon storage; (3) to calculate partial dependency and importance scores of key vegetation traits vis-a-vis aboveground carbon storage using the random forest model. The study may provide a basis for optimizing the management of urban woody vegetation to shift more atmospheric carbon to vegetative storage in the urban context. This study can allow cities and their constituent greenery to contribute to the mitigation of climate change impacts.
2. Materials and Methods
2.1. Demarcating the Study Area
The urban–rural transect (hereinafter labeled as “the transect”) in Shanghai signifies a typical case of recent urbanization impacts on natural features in Chinese cities (Figure 1). The transect covers about 616 ha, extending from 121.43 to 121.54 degree east and from 30.80 to 31.23 degree north. The city center has the highest level of urbanization in the transect, followed by the Pudong new area, Minhang area, and Fengxian area. The average annual temperature is 18 °C, and rainfall is 1158 mm. Shanghai is a large metropolis with a population of 23 million. Nature in the urban–rural transect is represented by 113 tree species, 85 shrubs, and 534 herbaceous species [29] and has mostly neutral to alkaline soil inherited from the natural delta soil at the mouth of the Yangtze River.
Figure 1.
The study area and location of the urban–rural transect in Shanghai.
Cinnamomum camphora (L.) J.Presl, Metasequoia glyptostroboides Hu and W. C. Cheng, Populus tremuloides Michx, and Ginkgo biloba L. are the dominant urban–rural transect tree species in the study area. However, the distribution of urban woody vegetation is highly uneven among districts, mainly because Shanghai’s development includes an extensive underground rail network, whose construction had destroyed the root systems of numerous trees. In addition, many tall buildings cast heavy shading and changed natural light conditions for growth of plants. Therefore, city managers are increasingly aware of the importance of protecting urban vegetation and providing suitable growth conditions.
2.2. Sampling and Collecting Field Data
In 2017, 269 circular plots, each with a 0.04 ha area, were investigated according to the random placements in the transect to evaluate the urban woody vegetation [30]. The plot centers were located using GPS, photographs, and the distance and direction to reference objects (error: 1 m). In each plot, the latitude and longitude of the plot center and land use types were recorded to obtain the canopy cover, and the detailed locations was recorded. Meanwhile, all trees and species were counted. In addition, diameter at breast height (DBH) at 1.30 m above the ground surface, crown widths along the north–south and east–west directions and total height are recorded in each plot.
2.3. Measuring Aboveground Carbon Storage and Key Vegetation Traits
2.3.1. Key Vegetation Traits
Some key vegetation traits were assessed, including species diversity, tree density, and species evenness. Tree density at each plot is measured by Equation (1):
where PDi is the tree density in each plot (tree\ha); Ni is the number at plot i (tree); Si is the area of plot i (0.04 ha).
PDi = Ni/Si
The species diversity at each plot is measured by the Shannon–Wiener index (H) using Equations (2)–(4) [29]:
where the relative dominance of m species, the species diversity, the number of species present, the number of m species, and the number of all species are respectively denoted by Pm, H, S, nm, and N in plot i; E is the species evenness, which reflects the evenness of the distribution of individuals of each species.
E = H/lnS
2.3.2. Carbon Storage Estimation Methodology
The methodology of calculating the aboveground carbon storage for woody vegetation was adopted from Zhao et al. and Yao et al. [29,31] using tree growth models based on vegetation biomass. The carbon storage of trees and shrubs are estimated based on the aboveground woody plant biomass multiplied by a carbon coefficient of 0.5. Among them, Shanghai is located south of the Huaihe River in the Qinling Mountains of China. For this reason, our study’s baseline estimates are based on the average biomass value of shrubs south of the Huaihe River in the Qinling Mountains of China at 19.76 t/ha.
where GBi is the carbon storage of shrubs at plot i (unit: MgC); GUTBi is the orthogonal projection of shrub canopy onto the surface area of plot i; P is the mean biomass of shrubs in the region south of the Huaihe River in the Qinling Mountains (unit: Mg/ha); B is the biomass (Mg) of a certain tree species; V is the stock volume per unit area of a certain tree species (m3/ha); The values of a and b are constants (Table 1). In addition, the volume per unit area of trees (V) refers to the ratio of the volume of standing timber (v) to the area of the plot (i) in the growth process. Among them, standing timber volume (V, unit: m3), tree height (H, unit: m), and diameter at breast height (D, unit: cm) have a certain correspondence (V = c·Dd·Hf, c\d\f are constants) (Table 2); ZBi is the biomass (Mg) of woody vegetation of the i plot, GBi is the biomass (Mg) of all shrubs of the i plot, QBi is the biomass (Mg) of all trees of the i plot; Cci is the carbon storage (Mg C/ha) of all vegetation of the i plot; ZBi is the biomass (Mg) of all vegetation of the i plot; Cc is the conversion coefficient (0.5); Si is the area (0.04 ha).
GBi = GUTBi × P
ZBi = GBi + QBi
Table 1.
The regression equation parameters for the organisms of each tree species.
Table 2.
The regression equation parameters for the accumulation volume.
2.4. Machine Learning Methods
2.4.1. Building the Random Forest Model
The random forest model is a bag-based machine learning method that can be used for regression problems [32]. The study used a random forest model on the Anaconda platform through the Sklearn toolkit. The model splits the data into the training set and testing set, and the training model is deployed for prediction of the testing data. The basic principles of the random forest model is as follows: through the bootstrap resampling technique, k samples are randomly selected from the original training sample set N, with resamples as branching nodes of the classification tree to build a regression tree [33]. The regression trees serve the same purpose, and the final mean is taken as the final regression output of the random forest model. The accuracy of the random forest model can be adjusted by changing some parameters [34,35]: the number of random regression trees (n_estimators); the maximum depth of the decision tree (max_depth); the maximum number of samples randomly sampled when fitting the decision tree (max_sample); the minimum number of leaf sample nodes (min_samples_leaf); the maximum number of features when constructing a decision tree (max_features); and the minimum number of samples when splitting nodes (min_samples_split). In addition, the random forest model not only can solve the problem of the influence of input variables on output variables by setting up the regression model but also can calculate partial dependence to indicate the marginal effect of an input variable in the random forest model’s regression results. For the partial dependence function, the mean value of prediction functions of all combinations of other variables can be calculated by setting a certain variable using Equation (9) [36].
where f is the random forest model, the xs is the variable required for the partial dependency plot, and the xc denotes other variables used in the random forest model.
2.4.2. Optimizing Model Parameters by the Bayesian Optimization Algorithm
The parameters constitute the random forest model’s core that directly determines its accuracy. Therefore, optimizing the parameters of the random forest model is essential. The Bayesian optimization algorithm (BOA) can improve the result to the global maximum by learning the form of the objective function and optimizing the parameters. The basic idea of parameter optimization is to use Bayes’ theorem to estimate the posterior distribution of the objective function based on the data and then use this to choose the next sampled with the combination of optimizing parameters. BOA offers a practical and effective way to improve the random forest model’s accuracy. The mathematical principle of the Bayesian optimization algorithm was the following:
where A and B are random events, P (A), which are known as the prior probability is the probability of event A, P (B) is the probability of event B, P (B|A) is the conditional probability of B occurring under A, P (A|B), which known as the posterior probability, is the conditional probability of A occurring under B.
2.4.3. Evaluating Model Accuracy
The study evaluated the stability and accuracy of the random forest model using the mean absolute error (MAE), mean square error (MSE), root mean square error (RMSE), and R-square (R2). MAE, MSE, and RMSE are commonly used loss functions, with smaller values corresponding to less error. For R2, a value near 1 indicates a better model fit. In addition, the importance of each variable’s influence on the aboveground carbon storage perception score was calculated by Equations (11)–(14):
where f (xi) is the predicted value of the i-th plot of the model, yi is the true value, y is the mean of the plots, and n is the number of plots [33].
3. Results and Discussion
3.1. Key Vegetation Traits and Aboveground Carbon Storage of Urban Woody Vegetation
3.1.1. Key Vegetation Traits
The total transect, which covered 616 km2, contained 54 tree species and 36 shrub species. Similar to the previous survey conducted in 2012 (Table 3), Cinnamomum camphora (L.) Presl and Metasequoia glyptostroboides Hu and W. C. Cheng that are well suited to the subtropical monsoon climate remained the most prevalent species in Shanghai [29]. The mean of tree density was 264.03 trees·ha−1. Some 18% of the plots had no woody vegetation. In the remaining 71% of the plots, the mean tree density varied between 25 to 600 trees·ha−1; 5% of the plots ranged from 600 to 1000 trees·ha−1; and 6% of the plots ranged from 1000 to 3500 trees·ha−1. Most of plots with higher tree density were located in rural lands with many woodlands.
Table 3.
The importance of tree and shrub species in peri-urban transect.
Table 4 shows the mean and coefficients of variation (CV) of key vegetation traits in the transect. There were different types of land use in the study area, many of which were mainly covered by buildings to restrict the space for woody cover in the total transect. The mean canopy cover was 36.95% ± 2.03% (average ± SE). The 13% of plots in woodlands had 100% canopy cover. However, most plots had relatively low species diversity of woody plants, often dominated by one common species. The highest abundance was attained by C. camphora. Species diversity varied between 0 and 1 in nearly 31% of plots, 1 to 2 in 37%, and 2 to 3 in 3%. The species diversity mean was about 0.78, and the species evenness mean was about 0.55. In the total transect, coefficients of variation (CV) of most key vegetation traits exhibited a moderate degree of variability (10% < CV < 100%) except for tree density, which had heavy variability (CV = 168.1% > 100%). Meanwhile, the CV of tree density were larger than 100% for the Pudong new area, Minhang area, and Fengxian area, and the CV of most key vegetation traits (canopy cover, species diversity, and species evenness) were from 54.3% to 93.0% in those areas, indicating that the key vegetation traits degree of variability in the Pudong new area, Minhang area, and Fengxian area were the same as the total transect. In contrast, the city center, which has the highest level of urbanization, showed that key vegetation traits (tree density, canopy cover, species diversity, and species evenness) were significantly higher than 100% with heavy variability. Consequently, the coefficients of variation of tree density, canopy cover, species diversity, and species evenness vary with the degree of urbanization. These differences may result from the various urban–rural environments. For instance, the tree density and canopy cover of woody vegetation growing in gardens are larger than those growing on roadsides, and the larger impervious surface in the area with a higher degree of urbanization tends to decrease the phylogenetic and functional diversity of vegetation.
Table 4.
The mean of four vegetation attributes and coefficient of variation (CV) in the transect.
In addition, Didion et al. found that forest management, such as clipping, could cause shifts in canopy cover and species diversity [37]. It is also important to realize that urban forest cover can change over time because of area development. Fengxian is on the edge of Shanghai and is an industrialized area. It is not suitable to plant trees around the industries that easily pollute the vegetation. As a result, the canopy cover of the Minhang area > Pudong new area > city center > Fengxian area. Meanwhile, the city center focuses on the development of high-tech industries with more buildings. The mean of tree density, species diversity, and species evenness were minimum. However, the best vegetation attributes were in the Pudong new area. To sum up, there were a diverse range of ecological conditions, urbanization stages, and vegetation management included in the transect. Therefore, the four key vegetation traits of canopy cover, species evenness, tree density, and species diversity tended to vary considerably in the sampling plots.
3.1.2. Aboveground Carbon Storage of Urban Woody Vegetation
The aboveground carbon storage values of woody vegetation in 269 individual plots were calculated. Table 5 shows the data variabilities by computing the standard deviation (SD), mean, and coefficient of variation (CV). The aboveground carbon storage varied from 0 to 50 Mg C·ha−1 in about 90% of plots. In about 8% of plots, the results varied from 50 to 100 Mg C·ha−1. In about 2% of the plots, the results exceeded 100 Mg C·ha−1 due to the abundance of woody vegetation, such as C. camphora forest. The mean was 20.87 MgC·ha−1 (SE = 1.83 MgC·ha−1). The high CV was 143.8%, which indicated considerable spatial heterogeneity. The aboveground carbon storage of each area in the transect showed that the Pudong new area > Minhang area > Fengxian area > city center. The results indicated that the greater aboveground carbon storage of urban vegetation is in the city center and Fengxian transition zone and might be correlated with the better mean of four vegetation attributes in the Pudong new area and Minhang area. This result may be because most ecosystem services from trees are linked directly to the amount of healthy urban forest structure and are often measured by tree canopy cover [38]. Therefore, it is suggested to increase the canopy cover in the city center and Fengxian and to plant some vegetations with strong vitality in Fengxian to avoid industrial pollution in order to accomplish the balanced development of an urban forest.
Table 5.
The mean of variation of aboveground carbon storage (MgC/ha) of woody vegetation in the transect.
3.2. Correlations between Key Vegetation Traits and Aboveground Carbon Storage of Urban Woody Vegetation
The 269 plots included four independent variables (tree density, canopy cover, species diversity, and species evenness) and one dependent variable (aboveground carbon storage) in the total transect. Advance statistical methods were used to verify the relationship between key vegetation traits and aboveground carbon storage. First, the study tested the homogeneity of variances by Bartlett statistical test before factor analysis. The results showed that the data distributions were normal, and it was suitable to analyze the correlation between factors by Pearson correlation analysis. The Pearson correlation analysis showed that canopy cover had the largest impact on aboveground carbon storage, followed by tree density. Species diversity and species evenness showed the least effect on aboveground carbon storage (Figure 2). However, it was difficult for the Pearson coefficients to accurately depict the relationship between the individual input variables and the output variable. This limitation was due to complex nonlinear relationships between multiple independent and dependent variables [35]. The random forest model offered an appropriate method to assess the nonlinear correlations.
Figure 2.
Pearson correlation analysis.
3.3. The Partial Dependency and Importance Scores of the Key Vegetation Traits vis-a-vis Aboveground Carbon Storage by Random Forest Model
3.3.1. The Accuracy of Random Forest Model
Figure 3 shows a different approach which was provided in the study to quantify the impacts of urban woody vegetation structure and composition on aboveground carbon storage using the random forest model. In random forest modeling, the data was split into a training set and a testing set at a 9:1 ratio. According to the testing and training data, the BOA adjusted the parameters of model to the optimal state. In the model’s optimal parameters, the n_estimators, max_depth, max_samples, min_samples_leaf, max_features, and min_samples_split were 13, 14, 140, 3, 3, and 5, respectively. The error metrics of MAE, MSE, RMSE, and R2 of training dataset were respectively 0.46, 0.61, 0.57, and 0.78, and were 0.44, 0.71, 0.84, and 0.61 for the testing dataset. Meng Zhang estimated the forest aboveground carbon storage in Hangjia-Hu using the random forest model, and the R2 from 0.65 to 0.73 in the training and testing phase that were similar to the results of the study [28]. Thus, the high R2 values of training and testing datasets confirmed the accuracy and applicability of the random forest model, which could be used to analyze the relationships between the four independent variables (woody vegetation traits) and the dependent variable (aboveground carbon storage).
Figure 3.
The correlation between the predicted and actual in training dataset (a) and testing dataset (b).
3.3.2. The Partial Dependency and Importance Scores of the Key Vegetation Traits vis-a-vis Aboveground Carbon Storage
Several studies found that woody vegetation structure and composition influence aboveground carbon storage [39]. In the study, importance scores were calculated in the random forest model, and the higher the score, the greater influence on aboveground carbon storage. The results indicated the relationships between aboveground carbon storage and four vegetation traits in descending sequence: tree density > species diversity > canopy cover > species evenness (Figure 4). Species evenness was found to be relatively weak in explaining aboveground carbon storage in the transect because there are abundant dominant deciduous broad-leaved vegetation species with relatively uniform distribution in Shanghai. Liu et al. shown that urban forest aboveground carbon storage increased according to tree density [40], and Wekesa et al. found that tree density increase brought larger quantities of carbon of 0.9−44.4% with different urbanization disturbance levels [41]. Meanwhile, in the transect, tree density of the city center, Pudong new area, Minhang area, and Fengxian area had heavy variability. Those could lead to tree density being identified as the most important variable of aboveground carbon storage. In addition, Timilsina et al. showed that the relationship between canopy cover and aboveground carbon storage was not direct, and forest diversity could directly and indirectly affect aboveground carbon storage [42], meaning that the influence of canopy cover and species diversity on aboveground carbon storage is uncertain and affected by other factors. Therefore, the importance scores of canopy cover and species diversity were smaller than tree density.
Figure 4.
The importance of scores in random forest model.
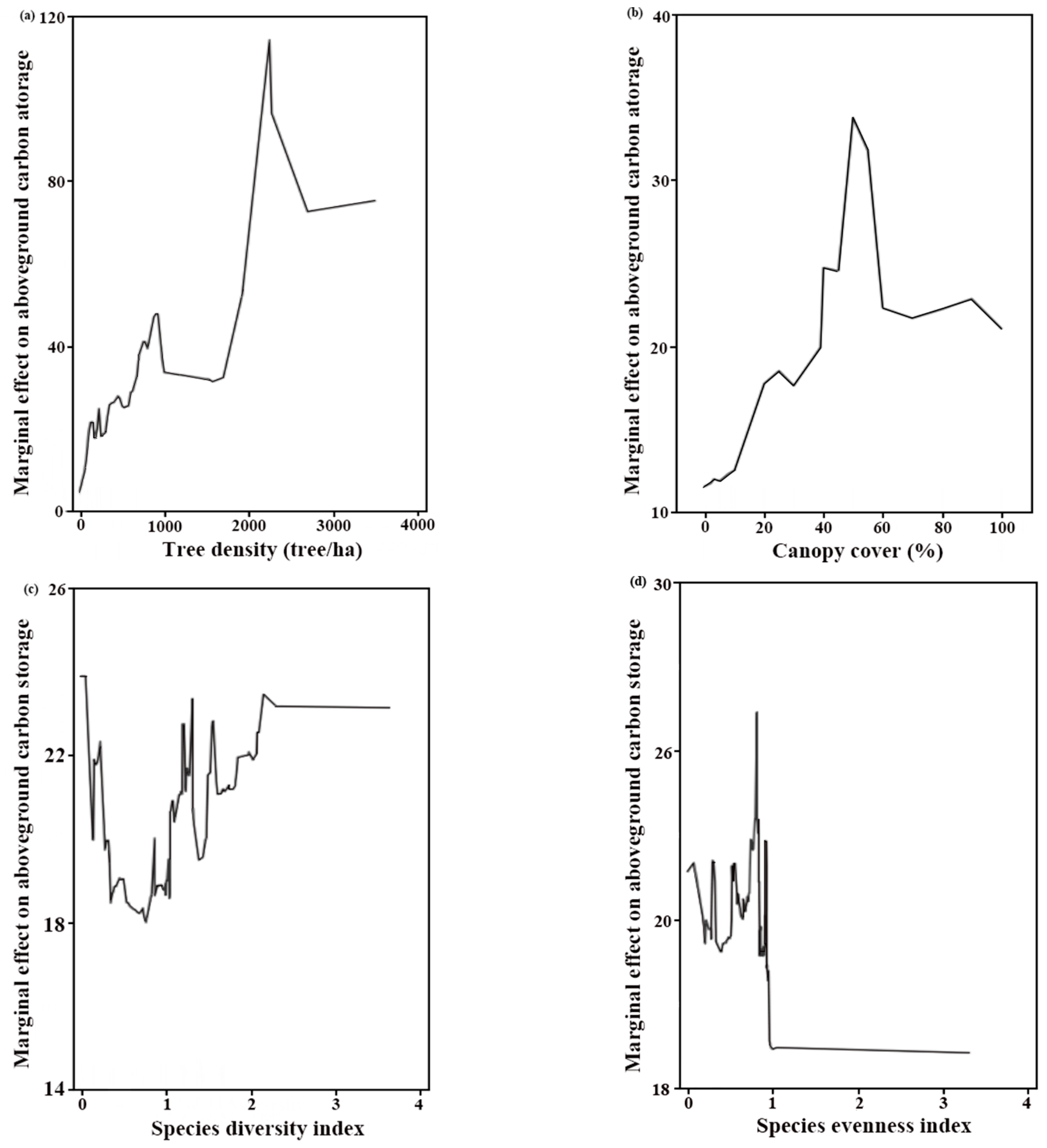
At present, few researchers calculated partial dependence to indicate the marginal effect of tree density, canopy cover, species diversity, and species evenness on aboveground carbon storage. In Figure 5, the curves depicting the marginal effects of tree density, species evenness, canopy cover, and species diversity are shown. At <1000 trees/ha tree density, there is a significant positive correlation between tree density and aboveground carbon storage. The aboveground carbon storage decreased at 1000–1800 trees/ha but increased rapidly at 1800–2200 trees/ha, after which, aboveground carbon storage decreased and gradually flattened out at >3000 trees/ha. The relationship of canopy cover and aboveground carbon storage was similar to tree density. Aboveground carbon storage sharply increased at canopy cover < 50% but notably decreased at 50–60%. At >60%, aboveground carbon storage decreased and gradually flattened. Species diversity and species evenness shared similar partial dependence on aboveground carbon storage. At 0–0.5, species diversity and species evenness displayed the same influence on aboveground carbon storage. From 0 to 0.2, aboveground carbon storage gradually decreased. At 0.2–0.4, aboveground carbon storage increased sharply, and it decreased from 0.4–0.5. At >0.5, species diversity and evenness displayed different influences on aboveground carbon storage. Aboveground carbon storage gradually decreased when species diversity was 1.2–1.5. Aboveground carbon storage gradually increased with the species diversity at 1.0–1.2 and 1.5–1.8 and flattened at >2.2. However, aboveground carbon storage sharply increased at 0.6–0.8, decreased sharply at 0.8–1.0, and flattened with species evenness at >1.0.
Figure 5.
Partial dependency effect on aboveground carbon storage of: (a) tree density, (b) canopy cover, (c) species diversity, and (d) species evenness.
Grimm et al. showed that human management, such as collection of illegal logging, directly controlled species diversity, and tree species diversity might contribute to aboveground carbon storage with functional diversity and dominance [43]. Therefore, aboveground carbon storage in our transect showed changing increases or decreases in different species diversity ranges. In the meantime, tree canopy cover is an indicator of the health of urban wood vegetation structures. Tòta et al. showed that the CO2 transport was significant in the lowest 10 m layer of the forest structure [44]. It means that tree canopy cover was an important influencing factor on aboveground carbon storage. In our study, the curve of marginal effect indicated that aboveground carbon storage reached a maximum when canopy cover was about 50%. Few researchers have quantified the impact of canopy cover on aboveground carbon storage like our study. Our study indicated that aboveground carbon storage was the largest at tree density of approximately 2200 trees/ha. To sum up, tree density of 2200 trees/ha, canopy cover of 50%, species diversity of 1.2, and species evenness of 0.8 could furnish a combination of factors most conducive to aboveground carbon storage in the transect.
4. Conclusions
The study analyzed the aboveground carbon storage, tree density, canopy cover, species diversity, and species evenness of the city center, Pudong new area, Minhang area, and Fengxian area in the urban–rural transect. In the total transect, the mean of aboveground carbon storage was 20.87 MgC·ha−1 (SE = 1.83 MgC·ha−1), and the high CV was 143.8%, which indicated considerable spatial heterogeneity. The city center with the highest level of urbanization showed the lowest key vegetation traits (tree density, canopy cover, species diversity, and species evenness) and aboveground carbon storage, was followed by the Fengxian area, which included some industries that easily pollute vegetation. The more aboveground carbon storage and the better key vegetation traits (tree density, canopy cover, species diversity, and species evenness) of urban vegetation were in the city center and the Fengxian transition zone.
In order to research the relationship between key vegetation traits and aboveground carbon storage, an optimized random forest model was developed in the study to effectively capture complicated nonlinear correlations between the independent and dependent variables in the total transect. The model was used to predict aboveground carbon storage on an urban–rural transect in Shanghai. Vegetation structure and composition were assessed by four key variables: species diversity, canopy cover, species evenness, and tree density. Their differential influence on aboveground carbon storage was verified using the random forest model. Tree density exerted the largest effect, followed by canopy cover and species diversity. The impact of species evenness was limited within the study area. In addition, the study also analyzed the curves of marginal effects of the four vegetation factors on aboveground carbon storage by the partial dependence function in the random forest model. The results provided an accurate quantitative analysis of the associations between independent and dependent variables. The tree density of 2200 trees/ha, canopy cover of 50%, species diversity of 1.2, and species evenness of 0.8 might furnish the combination of factors most conducive to aboveground carbon storage in the transect.
Some limitations of our study could be evaluated. Wei et al. showed that urban center temperatures were at least 1 °C higher than in rural areas, and the temperature was one of the factors of plant carbon uptake in Shanghai [45]. Therefore, the distance of plots to the city center could mold species composition and vegetation structure. Furthermore, the effects of vegetation structure and composition on aboveground carbon storage could be influenced by other factors, such as soil properties and moisture supply. Further investigations of a wider spectrum of key factors and their synergistic or antagonistic impacts could improve the understanding of the research questions. In addition, some underlying reasons for the partial dependence results remained unclear in the study. As such, other factors driving wood vegetation structure and composition can be further analyzed to improve the model’s explanatory power, such as land use type, plant-available moisture, soil quality, and microclimate, and can impact aboveground carbon storage. A more comprehensive investigation can permit a deeper understanding of complex relationships.
Author Contributions
Y.W.: data collection, data analysis, data curation, writing—original draft, writing—review and editing. J.G. and C.-Y.J.: methodology, writing—review and editing. M.Z.: data collection, methodology, writing—review and editing. All authors have read and agreed to the published version of the manuscript.
Funding
This research was funded by National Natural Science Foundation of China (No. 31100354, No. 41271554 and No. 41571047), Yangtze River Delta Urban Wetland Ecosystem National Field Scientific Observation and Research Station in Shanghai.
Institutional Review Board Statement
Not applicable.
Informed Consent Statement
Not applicable.
Data Availability Statement
Data are available upon request by mail to the corresponding authors.
Acknowledgments
We thank Kaidi Zhang, Liang Xu, Xin Yao, and Liping Zhang who assisted with field data collection.
Conflicts of Interest
The authors declare no conflict of interest.
References
- Wu, Y.; Shen, J.; Zhang, X.; Skitmore, M.; Lu, W. Reprint of: The impact of urbanization on carbon emissions in developing countries: A Chinese study based on the U-Kaya method. J. Clean. Prod. 2017, 163, S284–S298. [Google Scholar] [CrossRef]
- Pan, Y.; Birdsey, R.A.; Fang, J.; Houghton, R.; Kauppi, P.E.; Kurz, W.A.; Phillips, O.L.; Shvidenko, A.; Lewis, S.L.; Canadell, J.G.; et al. A Large and Persistent Carbon Sink in the World’s Forests. Science 2011, 333, 988–993. [Google Scholar] [CrossRef] [PubMed]
- Lai, L.; Huang, X.; Yang, H.; Chuai, X.; Zhang, M.; Zhong, T.; Chen, Z.; Chen, Y.; Wang, X.; Thompson, J.R. Carbon emissions from land-use change and management in China between 1990 and 2010. Sci. Adv. 2016, 2, e1601063. [Google Scholar] [CrossRef]
- Ren, Z.; Zheng, H.; He, X.; Zhang, D.; Shen, G.; Zhai, C. Changes in spatio-temporal patterns of urban forest and its above-ground carbon storage: Implication for urban CO2 emissions mitigation under China’s rapid urban expansion and greening. Environ. Int. 2019, 129, 438–450. [Google Scholar] [CrossRef]
- David, J.; Nowak, D.E.C.J.; Bond, J. A Ground-Based Method of Assessing Urban Forest Structure and Ecosystem Services. Arboric. Urban. For. 2008, 6, 347–358. [Google Scholar]
- Tian, Y.; Jim, C.Y. Development potential of sky gardens in the compact city of Hong Kong. Urban. For. Urban. Green 2012, 11, 223–233. [Google Scholar] [CrossRef]
- Tian, Y.; Jim, C.Y.; Wang, H. Assessing the landscape and ecological quality of urban green spaces in a compact city. Landsc. Urban. Plan. 2014, 121, 97–108. [Google Scholar] [CrossRef]
- Harris, V.; Kendal, D.; Hahs, A.K.; Threlfall, C.G. Green space context and vegetation complexity shape people’s preferences for urban public parks and residential gardens. Landsc. Res. 2018, 43, 150–162. [Google Scholar] [CrossRef]
- Akbar, K.F.; Hale, W.H.G.; Headley, A.D. Assessment of scenic beauty of the roadside vegetation in northern England. Landsc. Urban. Plan. 2003, 63, 139–144. [Google Scholar] [CrossRef]
- Desjardins, D.; Nissim, W.G.; Pitre, F.E.; Naud, A.; Labrecque, M. Distribution patterns of spontaneous vegetation and pollution at a former decantation basin in southern Québec, Canada. Ecol. Eng. 2014, 64, 385–390. [Google Scholar] [CrossRef]
- Wang, J.; Zhao, W.W.; Wang, G.; Pereira, P. Afforestation changes the trade-off between soil moisture and plant species diversity in different vegetation zones on the Loess Plateau. Catena 2022, 219, 106583. [Google Scholar] [CrossRef]
- Wang, Z.; Cui, X.; Yin, S.; Shen, G.; Han, Y.; Liu, C. Characteristics of carbon storage in Shanghai’s urban forest. Chin. Sci. Bull. 2013, 58, 1130–1138. [Google Scholar] [CrossRef]
- Godefroid, S.; Koedam, N. Urban plant species patterns are highly driven by density and function of built-up areas. Landsc. Ecol. 2007, 22, 1227–1239. [Google Scholar] [CrossRef]
- Zhou, D.; Zhao, S.Q.; Liu, S.; Oeding, J. A meta-analysis on the impacts of partial cutting on forest structure and carbon storage. Biogeosciences 2013, 10, 3691–3703. [Google Scholar] [CrossRef]
- Osei, R.; Titeux, H.; Bielak, K.; Bravo, F.; Collet, C.; Cools, C.; Cornelis, J.; Heym, M.; Korboulewsky, N.; Löf, M.; et al. Tree species identity drives soil organic carbon storage more than species mixing in major two-species mixtures (pine, oak, beech) in Europe. For. Ecol. Manag. 2021, 481, 118752. [Google Scholar] [CrossRef]
- Li, Y.; Dong, S.; Liu, S.; Su, X.; Wang, X.; Zhang, Y.; Zhao, Z.; Gao, X.; Li, S.; Tang, L. Relationships between plant diversity and biomass production of alpine grasslands are dependent on the spatial scale and the dimension of biodiversity. Ecol. Eng. 2019, 127, 375–382. [Google Scholar] [CrossRef]
- Ruiz-Jaen, M.C.; Potvin, C. Can we predict carbon stocks in tropical ecosystems from tree diversity? Comparing species and functional diversity in a plantation and a natural forest. New Phytol. 2011, 189, 978–987. [Google Scholar] [CrossRef]
- Ali, A.; Mattsson, E.; Nissanka, S.P.; Wang, L. Topmost trees and foremost species underlie tropical forest structure, diversity and biomass through opposing mechanisms. For. Ecol. Manag. 2020, 473, 118299. [Google Scholar] [CrossRef]
- Baul, T.K.; Chowdhury, A.I.; Uddin, M.J.; Hasan, M.K.; Kilpeläinen, A.; Nandi, R.; Sultana, T. Forest carbon stocks under three canopy densities in Sitapahar natural forest reserve in Chittagong Hill Tracts of Bangladesh. For. Ecol. Manag. 2021, 492, 119217. [Google Scholar] [CrossRef]
- Shah, S.K.; Acharya, H. Modelling the relationship between canopy projection area and above-ground carbon stock of intermingled canopy trees using high-resolution satellite imagery. Banko Janakari 2016, 23, 20–29. [Google Scholar] [CrossRef]
- Larreguy, C.; Carrera, A.L.; Bertiller, M.B. Effects of long-term grazing disturbance on the belowground storage of organic carbon in the Patagonian Monte, Argentina. J. Environ. Manag. 2014, 134, 47–55. [Google Scholar] [CrossRef] [PubMed]
- Chalcraft, D.R.; Wilsey, B.J.; Bowles, C.; Willig, M.R. The relationship between productivity and multiple aspects of biodiversity in six grassland communities. Biodivers. Conserv. 2009, 18, 91–104. [Google Scholar] [CrossRef]
- Hofhansl, F.; Chacón-Madrigal, E.; Fuchslueger, L.; Jenking, D.; Morera-Beita, A.; Plutzar, C.; Silla, F.; Andersen, K.M.; Buchs, D.M.; Dullinger, S.; et al. Climatic and edaphic controls over tropical forest diversity and vegetation carbon storage. Sci. Rep. 2020, 10, 1–11. [Google Scholar]
- Li, X.; Wang, X.; Jiang, X.; Han, J.; Wang, Z.; Wu, D.; Lin, Q.; Li, L.; Zhang, S.; Dong, Y. Prediction of riverside greenway landscape aesthetic quality of urban canalized rivers using environmental modeling. J. Clean. Prod. 2022, 367, 133066. [Google Scholar] [CrossRef]
- Frescino, E.A.F.A. Evaluating effectiveness of down-sampling for stratified designs and unbalanced prevalence in Random Forest models of tree species distributions in Nevada. Ecol. Model. 2012, 233, 1–10. [Google Scholar]
- Grossmann, E.; Ohmann, J.; Kagan, J.; May, H.; Gregory, M. Mapping ecological systems with a random foret model: Tradeoffs between errors and bias. Gap Anal. Bull. 2010, 17, 16–22. [Google Scholar]
- Hasanuzzaman, M.; Islam, A.; Bera, B.; Shit, P.K. A comparison of performance measures of three machine learning algorithms for flood susceptibility mapping of river Silabati (tropical river, India). Phys. Chem. Earth Parts A/B/C 2022, 127, 103198. [Google Scholar] [CrossRef]
- Zhang, M.; Du, H.; Zhou, G.; Li, X.; Mao, F.; Dong, L.; Zheng, J.; Liu, H.; Huang, Z.; He, S. Estimating Forest Aboveground Carbon Storage in Hang-Jia-Hu Using Landsat TM/OLI Data and Random Forest Model. Forests 2019, 10, 1004. [Google Scholar] [CrossRef]
- Yao, X.; Zhao, M.; Escobedo, F.J. What Causal Drivers Influence Carbon Storage in Shanghai, China’s Urban and Peri-Urban Forests? Sustainability 2017, 9, 577. [Google Scholar] [CrossRef]
- Timilsina, N.; Staudhammer, C.L.; Escobedo, F.J.; Lawrence, A. Tree biomass, wood waste yield, and carbon storage changes in an urban forest. Landsc. Urban. Plan. 2014, 127, 18–27. [Google Scholar] [CrossRef]
- Zhao, M.; Escobedo, F.J.; Wang, R.; Zhou, Q.; Lin, W.; Gao, J. Woody Vegetation Composition and Structure in Peri-urban Chongming Island, China. Environ. Manag. 2013, 51, 999–1011. [Google Scholar] [CrossRef] [PubMed]
- Zhang, W.; Liu, S.; Wang, L.; Samui, P.; Chwała, M.; He, Y. Landslide Susceptibility Research Combining Qualitative Analysis and Quantitative Evaluation: A Case Study of Yunyang County in Chongqing, China. Forests 2022, 13, 1055. [Google Scholar] [CrossRef]
- Huang, Z.; Xu, X.; Ma, M.; Shen, J. Assessment of NO2 population exposure from 2005 to 2020 in China. Environ. Sci. Pollut. Res. 2022, 29, 80257–80271. [Google Scholar] [CrossRef] [PubMed]
- Du, H.; Mao, F.; Zhou, G.; Li, X.; Xu, X.; Ge, H.; Cui, L.; Liu, Y.; Zhu, D.E.; Li, Y. Estimating and Analyzing the Spatiotemporal Pattern of Aboveground Carbon in Bamboo Forest by Combining Remote Sensing Data and Improved BIOME-BGC Model. IEEE J. Sel. Top. Appl. Earth Observ. Remote Sens. 2018, 11, 2282–2295. [Google Scholar] [CrossRef]
- Jiang, Y.; Li, H.; Zhou, Y. Compressive Strength Prediction of Fly Ash Concrete Using Machine Learning Techniques. Buildings 2022, 12, 690. [Google Scholar] [CrossRef]
- Riccardo, G.; Anna, M.; Salvatore, R.; Franco, T.; Fosca, G.; Dino, P. A Survey of Methods For Explaining Black Box Models. ACM Comput. Surv. 2018, 51, 1–42. [Google Scholar]
- Didion, M.; Kupferschmid, A.D.; Bugmann, H. Long-term effects of ungulate browsing on forest composition and structure. For. Ecol. Manag. 2009, 258, S44–S55. [Google Scholar] [CrossRef]
- Escobedo, F.; Varela, S.; Staudhammer, C.; Thompson, B.; Jarratt, A.J. Pensacola and Southern Escambia County, Florida’s Urban Forests. School For. Resour. Conserv. Available online: https://edis.ifas.ufl.edu (accessed on 11 May 2022).
- Mensah, S.; Veldtman, R.; Assogbadjo, A.E.; Kakaï, R.G.; Seifert, T. Tree species diversity promotes aboveground carbon storage through functional diversity and functional dominance. Ecol. Evol. 2016, 6, 7546–7557. [Google Scholar] [CrossRef]
- Liu, C.F.; Li, X.M. Carbon storage and sequestration by urban forests in Shenyang, China. Urban. For. Urban. Green. 2012, 11, 121–128. [Google Scholar] [CrossRef]
- Wekesa, C.; Leley, N.; Maranga, E.; Kirui, B.; Muturi, G.; Mbuvi, M.; Chikamai, B. Effects of Forest Disturbance on Vegetation Structure and Above-Ground Carbon in Three Isolated Forest Patches of Taita Hills. Open. J. For. 2016, 6, 142–161. [Google Scholar] [CrossRef]
- Timilsina, N.; Escobedo, F.J.; Staudhammer, C.L.; Brandeis, T. Analyzing the causal factors of carbon stores in a subtropical urban. Ecol. Complex. 2014, 20, 23–32. [Google Scholar] [CrossRef]
- Grimm, N.B.; Faeth, S.H.; Golubiewski, N.E.; Redman; Wu, J.; Bai, X.; Briggs, J.M. Global change and the ecology of cities. Science 2008, 319, 756–760. [Google Scholar] [CrossRef] [PubMed]
- Tóta, J.; Fitzjarrald, D.R.; Staebler, R.M.; Sakai, R.K.; Moraes, O.; Acevedo, O.C.; Wofsy, S.C.; Manzi, A.O. Amazon rain forest subcanopy flow and the carbon budget: Santarém LBA-ECO site. J. Geophys. Res. 2008, 113, 1–16. [Google Scholar] [CrossRef]
- Wei, S.; Chen, Q.; Wu, W.; Ma, J. Quantifying the indirect effects of urbanization on urban vegetation carbon uptake in the megacity of Shanghai, China. Environ. Res. Lett. 2021, 16, 064088. [Google Scholar] [CrossRef]
Disclaimer/Publisher’s Note: The statements, opinions and data contained in all publications are solely those of the individual author(s) and contributor(s) and not of MDPI and/or the editor(s). MDPI and/or the editor(s) disclaim responsibility for any injury to people or property resulting from any ideas, methods, instructions or products referred to in the content. |
© 2023 by the authors. Licensee MDPI, Basel, Switzerland. This article is an open access article distributed under the terms and conditions of the Creative Commons Attribution (CC BY) license (https://creativecommons.org/licenses/by/4.0/).




