Green Bond Pricing and Optimization Based on Carbon Emission Trading and Subsidies: From the Perspective of Externalities
Abstract
1. Introduction
- (i)
- When the government faces the carbon emission constraint but can still provide sufficient allowances to green bond issuers, can the green bond price reach the equilibrium price under the condition of realizing the optimal allocation of public resources only through a carbon emission trading mechanism?
- (ii)
- When the government faces the carbon emission constraint and provides insufficient allowances to the issuer so that the carbon emission trading system cannot fully work, can the government subsidy policy help the green bond price reach the ideal level again? What is the best solution for the government to solve this problem?
2. The Model
2.1. Modeling of Green Bond’s Fixed Value
2.2. Modeling of Green Bond’s Floating Value
2.2.1. Real Options Framework
- Introduction of carbon emission trading mechanism:
- 2.
- Introduction of government subsidies:
2.2.2. Option Pricing Model
2.2.3. The Characteristic Function
2.2.4. Deduction of Pricing Formula
2.2.5. Fast Fourier Transform for Option Pricing
3. Simulation Studies
3.1. Valuation of Fixed Value for Green Bonds
3.2. Valuation of Floating Value for Green Bonds
- Only carbon emission trading markets exist
- 2.
- Introduce government subsidies
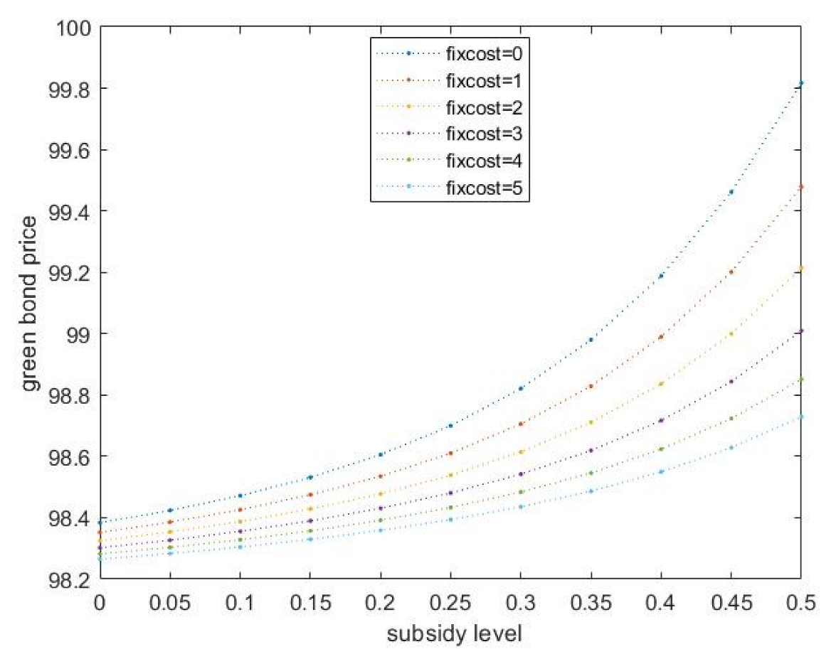
3.3. Sensitivity Analysis
4. Discussion
Author Contributions
Funding
Institutional Review Board Statement
Informed Consent Statement
Data Availability Statement
Conflicts of Interest
References
- Karpf, A.; Mandel, A. The changing value of the ‘green’ label on the US municipal bond market. Nat. Clim. Change 2018, 8, 161–165. [Google Scholar] [CrossRef]
- Louche, C.; Busch, T.; Crifo, P.; Marcus, A. Financial markets and the transition to a low-carbon economy: Challenging the dominant logics. Organ. Environ. 2019, 32, 3–17. [Google Scholar] [CrossRef]
- Flammer, C. Corporate green bonds. J. Financ. Econ. 2021, 142, 499–516. [Google Scholar] [CrossRef]
- Bartram, S.M.; Hou, K.; Kim, S. Real effects of climate policy: Financial constraints and spillovers. J. Financ. Econ. 2022, 143, 668–696. [Google Scholar] [CrossRef]
- Agliardi, E.; Agliardi, R. Pricing climate-related risks in the bond market. J. Financ. Stab. 2021, 54, 100868. [Google Scholar] [CrossRef]
- Jaffe, A.B.; Newell, R.G.; Stavins, R.N. Environmental policy and technological change. Environ. Resour. Econ. 2002, 22, 41–70. [Google Scholar] [CrossRef]
- Ghisetti, C.; Pontoni, F. Investigating policy and R&D effects on environmental innovation: A meta-analysis. Ecol. Econ. 2015, 118, 57–66. [Google Scholar]
- Jotzo, F.; Karplus, V.; Grubb, M.; Löschel, A.; Neuhoff, K.; Wu, L.; Teng, F. China’s emissions trading takes steps towards big ambitions. Nat. Clim. Change 2018, 8, 265–267. [Google Scholar] [CrossRef]
- Wang, B.; Ji, F.; Zheng, J.; Xie, K.; Feng, Z. Carbon emission reduction of coal-fired power supply chain enterprises under the revenue sharing contract: Perspective of coordination game. Energy Econ. 2021, 102, 105467. [Google Scholar] [CrossRef]
- Heine, D.; Semmler, W.; Mazzucato, M.; Braga, J.P.; Flaherty, M.; Gevorkyan, A.; Hayde, E.; Radpour, S. Financing low-carbon transitions through carbon pricing and green bonds. Vierteljahrsh. Zur Wirtsch. 2019, 88, 29–49. [Google Scholar] [CrossRef]
- Wang, W.; Zhang, Y.-J. Does China’s carbon emissions trading scheme affect the market power of high-carbon enterprises? Energy Econ. 2022, 108, 105906. [Google Scholar] [CrossRef]
- Zhang, Y.-J.; Wang, W. How does China’s carbon emissions trading (CET) policy affect the investment of CET-covered enterprises? Energy Econ. 2021, 98, 105224. [Google Scholar] [CrossRef]
- Charles, A.; Darné, O.; Fouilloux, J. Market efficiency in the European carbon markets. Energy Policy 2013, 60, 785–792. [Google Scholar] [CrossRef]
- Feng, Z.-H.; Zou, L.-L.; Wei, Y.-M. Carbon price volatility: Evidence from EU ETS. Appl. Energy 2011, 88, 590–598. [Google Scholar] [CrossRef]
- Wang, X.-Q.; Su, C.-W.; Lobonţ, O.-R.; Li, H.; Nicoleta-Claudia, M. Is China’s carbon trading market efficient? Evidence from emissions trading scheme pilots. Energy 2022, 245, 123240. [Google Scholar] [CrossRef]
- Saravade, V.; Chen, X.; Weber, O.; Song, X. Impact of regulatory policies on green bond issuances in China: Policy lessons from a top-down approach. Clim. Policy 2023, 23, 96–107. [Google Scholar] [CrossRef]
- Abrell, J.; Kosch, M.; Rausch, S. Carbon abatement with renewables: Evaluating wind and solar subsidies in Germany and Spain. J. Public Econ. 2019, 169, 172–202. [Google Scholar] [CrossRef]
- Bialek, S.; Unel, B. Efficiency in wholesale electricity markets: On the role of externalities and subsidies. Energy Econ. 2022, 109, 105923. [Google Scholar] [CrossRef]
- Tolliver, C.; Keeley, A.R.; Managi, S. Policy targets behind green bonds for renewable energy: Do climate commitments matter? Technol. Forecast. Soc. Change 2020, 157, 120051. [Google Scholar] [CrossRef]
- Xu, L.; Wang, C.; Miao, Z.; Chen, J. Governmental subsidy policies and supply chain decisions with carbon emission limit and consumer’s environmental awareness. RAIRO-Oper. Res. 2019, 53, 1675–1689. [Google Scholar] [CrossRef]
- Li, Y.; Deng, Q.; Zhou, C.; Feng, L. Environmental governance strategies in a two-echelon supply chain with tax and subsidy interactions. Ann. Oper. Res. 2020, 290, 439–462. [Google Scholar] [CrossRef]
- Uddin, G.S.; Jayasekera, R.; Park, D.; Luo, T.; Tian, S. Go green or stay black: Bond market dynamics in Asia. Int. Rev. Financ. Anal. 2022, 81, 102114. [Google Scholar] [CrossRef]
- Keeley, A.R.; Matsumoto, K.i. Relative significance of determinants of foreign direct investment in wind and solar energy in developing countries–AHP analysis. Energy Policy 2018, 123, 337–348. [Google Scholar] [CrossRef]
- Huang, W.; Zhou, W.; Chen, J.; Chen, X. The government’s optimal subsidy scheme under Manufacturers’ competition of price and product energy efficiency. Omega 2019, 84, 70–101. [Google Scholar] [CrossRef]
- Taghizadeh-Hesary, F.; Yoshino, N. The way to induce private participation in green finance and investment. Financ. Res. Lett. 2019, 31, 98–103. [Google Scholar] [CrossRef]
- Wang, J.; Chen, X.; Li, X.; Yu, J.; Zhong, R. The market reaction to green bond issuance: Evidence from China. Pac.-Basin Financ. J. 2020, 60, 101294. [Google Scholar] [CrossRef]
- Agliardi, E.; Agliardi, R. Financing environmentally-sustainable projects with green bonds. Environ. Dev. Econ. 2019, 24, 608–623. [Google Scholar] [CrossRef]
- Ehlers, T.; Packer, F. Green Bonds–certification, shades of green and environmental risks. Bank Int. Settl. 2016. Available online: https://unepinquiry.org/wp-content/uploads/2016/09/12_Green_Bonds_Certification_Shades_of_Green_and_Environmental_Risks.pdf (accessed on 1 March 2023).
- Seltzer, L.; Starks, L.T.; Zhu, Q. Climate Regulatory Risks and Corporate Bonds; Nanyang Business School Research Paper; NBER: Cambridge, MA, USA, 2020. [Google Scholar]
- Krueger, P.; Sautner, Z.; Starks, L.T. The importance of climate risks for institutional investors. Rev. Financ. Stud. 2020, 33, 1067–1111. [Google Scholar] [CrossRef]
- Karydas, C.; Xepapadeas, A. Pricing climate change risks: CAPM with rare disasters and stochastic probabilities. CER-ETH Work. Pap. Ser. Work. Pap. 2019, 19, 311. [Google Scholar] [CrossRef]
- Li, X.; Li, Z.; Su, C.-W.; Umar, M.; Shao, X. Exploring the asymmetric impact of economic policy uncertainty on China’s carbon emissions trading market price: Do different types of uncertainty matter? Technol. Forecast. Soc. Change 2022, 178, 121601. [Google Scholar] [CrossRef]
- Yu, J.; Zhang, M.; Liu, R.; Wang, G. Dynamic Effects of Climate Policy Uncertainty on Green Bond Volatility: An Empirical Investigation Based on TVP-VAR Models. Sustainability 2023, 15, 1692. [Google Scholar] [CrossRef]
- Li, H.; Li, Q.; Huang, X.; Guo, L. Do green bonds and economic policy uncertainty matter for a carbon price? New insights from a TVP-VAR framework. Int. Rev. Financ. Anal. 2023, 86, 102502. [Google Scholar] [CrossRef]
- Myers, S.C. Determinants of corporate borrowing. J. Financ. Econ. 1977, 5, 147–175. [Google Scholar] [CrossRef]
- Mason, S.P.; Merton, R.C. The role of contingent claims analysis in corporate finance. In World Scientific Reference on Contingent Claims Analysis in Corporate Finance: Volume 1: Foundations of CCA and Equity Valuation; World Scientific: Singapore, 2019; pp. 123–168. [Google Scholar]
- Lambrecht, B.M. Real options in finance. J. Bank. Financ. 2017, 81, 166–171. [Google Scholar] [CrossRef]
- Anda, J.; Golub, A.; Strukova, E. Economics of climate change under uncertainty: Benefits of flexibility. Energy Policy 2009, 37, 1345–1355. [Google Scholar] [CrossRef]
- Marzouk, M.; Ali, M. Mitigating risks in wastewater treatment plant PPPs using minimum revenue guarantee and real options. Util. Policy 2018, 53, 121–133. [Google Scholar] [CrossRef]
- Yao, X.; Fan, Y.; Zhu, L.; Zhang, X. Optimization of dynamic incentive for the deployment of carbon dioxide removal technology: A nonlinear dynamic approach combined with real options. Energy Econ. 2020, 86, 104643. [Google Scholar] [CrossRef]
- Zhang, S.; Yang, Z.; Wang, S. Design of green bonds by double-barrier options. Discret. Contin. Dyn. Syst.-S 2020, 13, 1867. [Google Scholar] [CrossRef]
- Xiang, S.; Cao, Y. Green finance and natural resources commodities prices: Evidence from COVID-19 period. Resour. Policy 2023, 80, 103200. [Google Scholar] [CrossRef]
- De Angelis, T.; Tankov, P.; Zerbib, O.D. Environmental impact investing. SSRN 2020, 3562534. [Google Scholar] [CrossRef]
- Eichholtz, P.; Holtermans, R.; Kok, N.; Yönder, E. Environmental performance and the cost of debt: Evidence from commercial mortgages and REIT bonds. J. Bank. Financ. 2019, 102, 19–32. [Google Scholar] [CrossRef]
- Metcalf, G.E. An emissions assurance mechanism: Adding environmental certainty to a US carbon tax. Rev. Environ. Econ. Policy 2020, 14, 114–130. [Google Scholar] [CrossRef]
- Pan, D.; Zhang, C.; Zhu, D.; Ji, Y.; Cao, W. A novel method of detecting carbon asset price jump characteristics based on significant information shocks. Financ. Res. Lett. 2022, 47, 102626. [Google Scholar] [CrossRef]
- Barro, R.J.; Liao, G.Y. Rare disaster probability and options pricing. J. Financ. Econ. 2021, 139, 750–769. [Google Scholar] [CrossRef]
- Frunza, M.-C.; Guegan, D. Derivative Pricing and Hedging on Carbon Market. CES Working Papers. 2010. Available online: https://shs.hal.science/halshs-00461474 (accessed on 1 March 2023).
- Zhou, K.; Li, Y. Influencing factors and fluctuation characteristics of China’s carbon emission trading price. Phys. A Stat. Mech. Its Appl. 2019, 524, 459–474. [Google Scholar] [CrossRef]
- Zou, S.; Zhang, T. Multifractal detrended cross-correlation analysis of the relation between price and volume in European carbon futures markets. Phys. A Stat. Mech. Its Appl. 2020, 537, 122310. [Google Scholar] [CrossRef]
- Liu, Z.; Huang, S. Carbon option price forecasting based on modified fractional Brownian motion optimized by GARCH model in carbon emission trading. N. Am. J. Econ. Financ. 2021, 55, 101307. [Google Scholar] [CrossRef]
- Aslam, F.; Ali, I.; Amjad, F.; Ali, H.; Irfan, I. On the inner dynamics between Fossil fuels and the carbon market: A combination of seasonal-trend decomposition and multifractal cross-correlation analysis. Environ. Sci. Pollut. Res. 2023, 30, 25873–25891. [Google Scholar] [CrossRef]
- Tang, A.; Chiara, N.; Taylor, J.E. Financing renewable energy infrastructure: Formulation, pricing and impact of a carbon revenue bond. Energy Policy 2012, 45, 691–703. [Google Scholar] [CrossRef]
- Chevallier, J.; Sévi, B. On the stochastic properties of carbon futures prices. Environ. Resour. Econ. 2014, 58, 127–153. [Google Scholar] [CrossRef]
- Merton, R.C. Option pricing when underlying stock returns are discontinuous. J. Financ. Econ. 1976, 3, 125–144. [Google Scholar] [CrossRef]
- Jarrow, R.A.; Turnbull, S.M. Pricing derivatives on financial securities subject to credit risk. J. Financ. 1995, 50, 53–85. [Google Scholar] [CrossRef]
- Kou, S.G. A jump-diffusion model for option pricing. Manag. Sci. 2002, 48, 1086–1101. [Google Scholar] [CrossRef]
- Carr, P.; Madan, D. Option valuation using the fast Fourier transform. J. Comput. Financ. 1999, 2, 61–73. [Google Scholar] [CrossRef]
- Zhylyevskyy, O. A fast Fourier transform technique for pricing American options under stochastic volatility. Rev. Deriv. Res. 2010, 13, 1–24. [Google Scholar] [CrossRef]
- Huang, J.; Zhu, W.; Ruan, X. Option pricing using the fast Fourier transform under the double exponential jump model with stochastic volatility and stochastic intensity. J. Comput. Appl. Math. 2014, 263, 152–159. [Google Scholar] [CrossRef]
- Park, Y.-H. The effects of asymmetric volatility and jumps on the pricing of VIX derivatives. J. Econom. 2016, 192, 313–328. [Google Scholar] [CrossRef]
- UNFCCC, D. 1/CP. 21, adoption of the Paris Agreement. In Proceedings of the Report of the Conference of the Parties on Its Twenty-First Session, Paris, France, 30 November–13 December 2015.
- IPCC. Climate Change 2014: Mitigation of Climate Change; Working Group III Contribution to the Fifth Assessment Report of the Intergovernmental Panel on Climate Change; IPCC: Geneva, Switzerland, 2014. [Google Scholar]
- Bacchiocchi, E.; Borghi, E.; Missale, A. Public investment under fiscal constraints. Fisc. Stud. 2011, 32, 11–42. [Google Scholar] [CrossRef]
- Andersen, J.J.; Greaker, M. Emission trading with fiscal externalities: The case for a common carbon tax for the non-ETS emissions in the EU. Environ. Resour. Econ. 2018, 71, 803–823. [Google Scholar] [CrossRef]







| Notations | Explanation | Notations | Explanation |
|---|---|---|---|
| Risk-neutral measure | Spot asset price | ||
| Drift rate without jumps | Volatility of asset price | ||
| Fractional Brownian motion | Hurst parameter | ||
| Poisson process | Intensity of Poisson process | ||
| Jump size with i.i.d | Mean of jump size | ||
| Probability of upwards | Probability of downwards | ||
| Mean of the exponential distribution of upward | Mean of the exponential distribution of downward | ||
| Maturity time | Call option price | ||
| Initial asset price | Log of initial asset price | ||
| Strike price | Log of trike price | ||
| Intensity of log asset price | α | Parameter of damping factor | |
| Integral size of trapezoid rule | Spacing size of fast Fourier transform |
| Variable | Financial Options | Real Options |
|---|---|---|
| Option price | Option value of projects | |
| Spot price of assets | Spot value of projects | |
| Strike price | Investment cost of projects | |
| Mature time | Investment period of projects | |
| Risk-free rate | Risk-free rate | |
| Volatility of assets | Volatility of project value |
| Variable | Value |
|---|---|
| Product price per unit | = 8 |
| Annual output per unit | = 5 |
| Spot carbon emission price per unit | 3 |
| Carbon emission amount per unit | |
| Carbon emission reduction amount per unit | |
| Annual fixed input of asset | |
| Carbon emission reduction cost per unit | 5 |
| Zero-Coupon Bond Price | Option Value | Green Bond Price |
|---|---|---|
| 98.11 | 6 | 104.11 |
Disclaimer/Publisher’s Note: The statements, opinions and data contained in all publications are solely those of the individual author(s) and contributor(s) and not of MDPI and/or the editor(s). MDPI and/or the editor(s) disclaim responsibility for any injury to people or property resulting from any ideas, methods, instructions or products referred to in the content. |
© 2023 by the authors. Licensee MDPI, Basel, Switzerland. This article is an open access article distributed under the terms and conditions of the Creative Commons Attribution (CC BY) license (https://creativecommons.org/licenses/by/4.0/).
Share and Cite
Hu, Y.; Tian, Y.; Zhang, L. Green Bond Pricing and Optimization Based on Carbon Emission Trading and Subsidies: From the Perspective of Externalities. Sustainability 2023, 15, 8422. https://doi.org/10.3390/su15108422
Hu Y, Tian Y, Zhang L. Green Bond Pricing and Optimization Based on Carbon Emission Trading and Subsidies: From the Perspective of Externalities. Sustainability. 2023; 15(10):8422. https://doi.org/10.3390/su15108422
Chicago/Turabian StyleHu, Yuanfeng, Yixiang Tian, and Luping Zhang. 2023. "Green Bond Pricing and Optimization Based on Carbon Emission Trading and Subsidies: From the Perspective of Externalities" Sustainability 15, no. 10: 8422. https://doi.org/10.3390/su15108422
APA StyleHu, Y., Tian, Y., & Zhang, L. (2023). Green Bond Pricing and Optimization Based on Carbon Emission Trading and Subsidies: From the Perspective of Externalities. Sustainability, 15(10), 8422. https://doi.org/10.3390/su15108422
