Next Article in Journal
A Framework and IoT-Based Accident Detection System to Securely Report an Accident and the Driver’s Private Information
Next Article in Special Issue
International Trade and Carbon Emissions: Evaluating the Role of Trade Rule Uncertainty
Previous Article in Journal
Designing an Ecological Network in Yichang Central City in China Based on Habitat Quality Assessment
Previous Article in Special Issue
The Influence of the Evolution of the Innovative Network on Technical Innovation from the Perspective of Energy Transformation: Based on Analysis of the New Energy Vehicle Industry in China
 
 
Font Type:
Arial Georgia Verdana
Font Size:
Aa Aa Aa
Line Spacing:
Column Width:
Background:
Article

The Impact of China’s National Sustainable Development Experimental Zone Policy on Energy Transition

College of Management, Xi’an University of Architecture and Technology, Xi’an 710055, China
*
Authors to whom correspondence should be addressed.
Sustainability 2023, 15(10), 8315; https://doi.org/10.3390/su15108315
Submission received: 7 April 2023 / Revised: 16 May 2023 / Accepted: 16 May 2023 / Published: 19 May 2023
(This article belongs to the Special Issue New Challenges to Energy Transition and Sustainable Development)

Abstract

Energy transition plays a crucial role in supporting sustainable economic growth and the reduction in carbon emissions. In fact, China implemented the national sustainable development experimental zone policy to achieve sustainable development goals, including an energy transition. This paper divided the energy transition dimension into energy consumption and carbon dioxide emissions based on the perspectives of energy input and output. Furthermore, using panel data for 214 cities at the prefecture level in China from 2006 to 2019, the study measured the impact of the national sustainable development experimental zone policy on energy transitions by employing a difference-in-difference (DID) model and an intermediary effect model. The results showed that the national sustainable development experimental zone policy reduced energy consumption and carbon dioxide emissions and accelerated energy transition. The conclusions still held after a series of robustness tests. Additionally, the results of the heterogeneity analysis of different experimental zone types indicated that, compared with prefecture-level experimental zones, county experimental zones play a more obvious role in reducing energy consumption and carbon dioxide emissions. In addition, the results of the heterogeneity analysis of the urban geographical location showed that the national sustainable development experimental zone policy had different negative effects on urban energy consumption and carbon dioxide emissions in different regions, and the impact of policy on energy transition was experienced, in decreasing order, by the western, central, and eastern regions. The results of the mechanism verification indicated that the national sustainable development experimental zone policy can affect energy consumption and carbon dioxide emissions via technological progress and upgrading industrial structure, which had a relatively high aggregation order in the variables deployed.

1. Introduction

Human society experienced an energy transition process from charcoal to coal, from coal to oil and gas, and from oil and gas to new energy. From the perspective of human development history, the energy structure on the energy supply side is constantly changing. The invention and use of steam engines and internal combustion engines, respectively, led to the replacement of charcoal by coal, and then, coal by oil and gas as the world’s leading energy source. However, with the arrival of the industrial revolution, economic and social development led to the requirement for significant fossil energy. Resource consumption, environmental pollution, and climate change caused by the large-scale exploitation and utilization of fossil energy seriously restricted the sustainable development of the social economy [1,2,3]. In the face of human concerns about the sustainability of economic growth under energy and environmental constraints, the world reached a consensus that the implementation of the third energy transition needs to be promoted [4,5]. The goal of the third energy transition is to replace oil and gas with low-carbon, clean energy sources as the dominant energy sources worldwide. This will reduce energy consumption and carbon dioxide emissions and push human society towards green and low-carbon development. However, it is necessary to determine how to achieve an energy transition and solve environmental problems caused by fossil energy consumption. In 1987, the World Commission on Environment and Development formally discussed the concept of sustainable development, making this a hot topic in global development [6]. The idea provided a new way to solve the severe challenges faced by human society. Currently, the United Nations 2030 Sustainable Development Goals (SDGs) are further charting the course for addressing energy issues. Among them, affordable clean energy, climate action, and other goals aim to achieve sustainable development through the energy transition from a carbon to a carbon-free energy development and utilization model [7]. Thus, the achievement of the sustainable development goal is inseparable from the implementation of energy transition. Drawing on the practical experience of various countries in the energy transition, policy [8], innovation [9], the market [10], and behavior [11] are the driving factors of energy transition. Previously, technical progress drove economic growth and energy transition. However, the third energy transition is a strategic choice of human society for sustainable development, not a technological progress. The initial driver is policy. Therefore, countries intervene in all aspects of sustainable development through sustainable development policies to achieve the sustainable development goals, including energy transition.
The Chinese government recognizes and attaches great importance to sustainable development and regards sustainable development as a basic national strategy. Since China’s reform and opening up, there were problems, such as lagging social undertakings and serious environmental pollution, in many regions of China. In view of this situation, China is actively exploring the construction of a national sustainable development experimental zone. This policy aims to explore the mechanism and models of the coordinated development of the economy, society, resources, and environment so as to achieve sustainable development [12].
Therefore, this study explores the following questions: What is the impact of the national sustainable development experimental zone policy on energy transition? Is there any heterogeneity in the impact of the policy? Furthermore, what are the channels associated with this influence? Few studies investigated the impact of the national sustainable development experimental zone policy on energy transition. Based on this, this paper tried to study the impact from the perspective of implementing the national sustainable development experimental zone policy. Using panel data for 214 cities at the prefecture level in China from 2006 to 2019, this paper studies the impact of the national sustainable development experimental zone policy on energy transition. This paper has the following main contributions: First, based on the idea of input–output, this paper divides energy transition into two dimensions, energy consumption and carbon dioxide emissions, and uses the difference-in-difference (DID) model to explore the impact of the national sustainable development experimental zone policy on the reduction in energy consumption and carbon dioxide emissions. Secondly, the heterogeneity effect of county- and prefecture-level sustainability experimental zones on energy consumption and carbon dioxide emissions is analyzed. Furthermore, the impact of policy on energy transition is analyzed in the western, central, and eastern regions. Finally, from the aspect of technological progress and industrial structure upgrading, the intermediary effect model is used to further explore the mediating effect of the national sustainable development experimental zone policy on energy transition.
The rest of this paper is organized as follows: Section 2 discusses the policy context, literature review, and theoretical mechanisms. Section 3 presents the research methods, variables, and data sources. Section 4 provides the empirical results and discussion. Section 5 provides the conclusions and the policy recommendations.

2. Policy Background, Literature Review, and Theorized Mechanisms

2.1. Policy Background of the National Sustainable Development Experimental Zone

In the late 1960s, humans began to pay attention to the environmental problems caused by fossil energy consumption. In 1987, the World Commission on Environment and Development (WCED) addressed the concept of sustainable development in its report on Our Common Future for the first time, raising concerns about economic sustainability under the environmental and energy constraints and extending sustainable development to all aspects of human social development. In 2015, the United Nations 2030 Agenda for Sustainable Development set out 17 Sustainable Development Goals, aiming to achieve sustainable development in three dimensions: economic, social, and environmental. The Chinese government always attached great importance to sustainable development, and as early as 1986, it began to promote the pilot work of local sustainable development experimental zones. The experimental zone of this period was named the comprehensive experimental area of social development. In 1994, the Chinese government adopted China’s Agenda 21. In the following year, sustainable development was identified as the basic strategy of the country. In 1997, the Chinese government renamed the social comprehensive experimental zone as the national sustainable development experimental zone, aiming to further promote sustainable development.
In the process of forming the sustainable development practices of the Chinese government, the construction of the national sustainable development experimental zone became an important base for the implementation of China’s Agenda 21 and the sustainable development strategy. The national sustainable development experimental zone is a local pilot area that is jointly promoted by 20 State Council departments and local governments, such as the Ministry of Science and Technology and the National Development and Reform Commission. National sustainable development experimental zone construction adopts the “government organizations, expert guidance, public participation, social establishment” method of working. According to the requirements of sustainable development, the Chinese government explored different types of economic and social resources and the environment coordinated development mechanism and mode in big cities, small town construction, community management, environmental protection; the sustainable utilization of resources, resource-based city development, and sustainable development; and the protection of tourism resources. Since 1986, after more than 30 years of development, the construction of the national sustainable development experimental zone experienced an exploration period, transition period, expansion period, and breakthrough period. By 2016, the State Council approved the construction of 189 national sustainable development experimental zones [13], covering various types of experimental areas, including towns, counties, and prefecture-level cities, covering more than 90% of the provinces. The construction of the national sustainable development experimental zone became an important carrier of the concept and policy of sustainable development, providing a demonstration model and leading role for achieving the sustainable development of the economy, society, and environment.
In 1986–1997, there was an exploration period regarding the construction of the experimental zone. In 1986, the former State Science and Technology Commission and the relevant ministries and commissions of the State Council began a comprehensive demonstration of, and pilot work for, urban social development in Changzhou city and Xishan city in Jiangsu Province. The pilot work aimed to achieve the coordinated development of economic development, social security, and environmental protection through scientific and technological progress, and it achieved positive results. In 1992, a number of national departments set up a coordination leading group, aiming to build a comprehensive experimental area for social development on the basis of the comprehensive demonstration and pilot area of social development, focusing on solving the problems associated with the population, resources, and ecology. The construction of this experimental zone laid an important practical foundation for the subsequent construction of the national sustainable development experimental area. In 1997–2006, there was a transition period in the construction of the experimental zone. In order to meet the needs of sustainable development, in 1997, the Chinese government renamed the social comprehensive experimental zone as the national sustainable development experimental zone and set up an inter-ministerial contact conference led by the Ministry of Science and Technology to promote the construction of the national sustainable development experimental zone. From 2006 to 2016, there was an expansion period in the construction of the experimental zone. There were 146 approved experimental zones, accounting for 77% of the total. This involved many cities with multiple administrative levels and different development states in the country. The construction of the experimental zone at this stage mainly addressed sustainable development problems, such as economic development, social governance, and environmental protection, and a series of sustainable development models were formed. There was a breakthrough period in the construction of the experimental zone after 2016. In 2016, the Chinese government pointed out that it would promote the construction of a number of sustainable development agenda innovation demonstration zones on the basis of the construction of the sustainable development experimental zone. This policy is an important measure and represents a new breakthrough for the Chinese government on the issue of sustainable development. Although the construction of China’s national sustainable development experimental zone plays an important role in promoting sustainable development in China, the sustainable development level among different cities is unbalanced and inadequate, and the improvement effect is not the same [14]. Therefore, in subsequent policy formulations, determining how to improve the balance of the sustainable development level among different cities is a notable concern.

2.2. Literature Review

Scholars conducted extensive explorations of the sustainable development experimental zone and energy transition and achieved significant results. At present, research on the sustainable development experimental zone is mainly focused on three aspects: tools for evaluating the sustainable development level in the experimental zone [14], the policy implementation effect [12], and case analyses [15]. The tools for evaluating the sustainable development level include the sustainable development index system, the ecological footprint model, energy value analysis, and other methods. Bonnet et al. established the sustainable development index from six aspects, environment and natural resources, energy transition, sustainable mobility, economic vitality, social cohesion and unity, and governance and citizens, by empirically comparing the sustainable development levels of 96 metropolitan ministries in France [16]. Based on the United Nations Sustainable Development Goals (SDGs) framework, Lin et al. built an urban sustainable development level evaluation index system containing 145 indicators [17]. In view of the implementation effect of the sustainable development policy, Zhang et al. adopted the dynamic stochastic general equilibrium (DSGE) method and the input–output method to quantitatively evaluate the natural, economic, and social impacts of the national sustainable development agenda innovation demonstration zone policy. They found that the demonstration zone policy will lead to a decline in the output of heavily polluting industries [18]. In terms of case analyses, many studies focused on the impact of sustainable development policies on a single region. For example, Medeiros and Van Der Zwet analyzed the application of the EU sustainable development strategy in Portugal and found that EU-funded urban projects could improve the level of sustainable development in the local cities [19].
Research on energy transition mostly focused on the concept and connotations of energy transition [20,21], as well as the influencing factors [11,22], transition path [23,24], and sustainability of energy transition [25,26]. The World Energy Council (WEC) defines energy transition as a fundamental change in the energy structure caused by an increase in the share of renewable energy and the phasing out of fossil fuels. At present, policy [27,28], innovation [29,30], the market [10,31], and behavior [32] are the main drivers of energy transition in countries around the world. Unlike the previous two energy transitions driven by technological progress, policy is the starting point of the third energy transition. The government fixed the climate and energy development goals in the form of legislation, forming strong legal constraints. Additionally, relevant policies and measures should guide enterprises to carry out new energy technology research and development and production, and replace the direct use of coal and oil and gas with electricity to increase the proportion of non-fossil energy use on the energy supply side and change the energy use behavior on the demand side. Some scholars believe that, even with policy promotion, there are still many obstacles to the achievement of energy transition [33,34]. However, some scholars believe that policy is crucial for energy transition [8,35].

2.3. Theoretical Mechanisms

Sustainable development is a long-term and multidimensional process. It is a coordinated development process involving the economy, society, energy, and the environment [36,37]. In order to achieve the United Nations 2030 Sustainable Development Goals, countries around the world are implementing various sustainable development policies [38,39]. By developing national plans, the government can achieve the Sustainable Development Goals by intervening in all aspects of sustainable development through legal, political, and economic methods [40]. In particular, the construction of the sustainable development experimental zone is an important carrier in the implementation of sustainable development policies, which is conducive to policy integration. Ma et al. found that the construction of the national sustainable development experimental zone can improve environmental sustainability [12]. In addition, many scholars pointed out that, through the formulation and implementation of sustainable development policies, economic, social, and environmental coordination can be achieved by relying on scientific and technological innovation, industrial structure adjustment, compulsory environmental compulsory regulations, and other measures [41,42,43]. Elavarasan et al. pointed out that the production of clean energy in an economic and practical manner is the basic goal of sustainable development [44]. The implementation of energy transition is the only way to achieve this goal. The implementation of the sustainable development policy is bound to affect the sustainable development of the energy system and will have an impact on energy transition [45,46]. However, from the perspectives of the energy supply and demand sides, controlling energy consumption and carbon dioxide emissions is an effective way to achieve an energy transition [8,27]. Therefore, this paper proposes the following hypothesis:
Hypothesis 1.
The national sustainable development experimental zone policy can effectively reduce energy consumption and carbon dioxide emissions.
Although policy factors are the starting point and impetus of the third energy transition, technological innovation is still an important driving force of the third energy transition. On one hand, the sustainable development policy could increase the cost of enterprise pollution discharge by strictly controlling various environmental indicators and through energy tax, environmental tax, and other tax means. Faced with strict environmental rules, enterprises have an incentive to carry out technological upgrades [47,48]. Through technological upgrades, enterprises can improve their energy efficiency and increase their investment in clean energy, thereby promoting an energy transition [49,50]. On the other hand, the government will increase subsidies to new energy enterprises through market means, such as tax policies and subsidy policies, improve research and development capabilities, and reduce the cost of new energy sources [51,52]. Guo et al. pointed out that promoting renewable energy technological progress is an important way for China to achieve its energy transition through the use of moderate renewable energy subsidies [53]. On one hand, the development of low-carbon energy technologies can increase the share of clean energy on the energy supply side, reduce the share of fossil energy consumption, and help to reduce carbon dioxide emissions [54,55,56]. On the other hand, the upgrading of enterprise energy-saving technology can improve the energy efficiency of enterprises and reduce energy consumption and carbon dioxide emissions. Technological progress and falling costs contribute to an energy transition, which also drives sustainable development [57,58]. Therefore, the core power of the third energy transition is still to drive technological progress through policy and achieve the production of new energy as the global leading energy source, replacing fossil energy. Therefore, this paper proposes the following hypothesis:
Hypothesis 2.
The national sustainable development experimental zone policy can effectively reduce energy consumption and carbon dioxide emissions through technological progress.
The adjustment of the industrial structure is the result of economic development to a certain stage. Many scholars pointed out that the government’s policies can effectively promote the upgrading and rationalization of the industrial structure [59,60,61]. The sustainable development experimental zone is the foothold on which the national and local governments can jointly promote the implementation of a series of sustainable development policies. The government can speed up the adjustment of the industrial structure by formulating strict environmental laws and regulations [62,63], fiscal policies [64], incentives [61], and other measures. Levinson and Sen pointed out that the formulation of environmental regulations can promote the upgrading of the industrial structure and reduce pollutant emissions [65,66]. Zheng et al. found that the entry of polluting enterprises could be prevented by improving the access standards of enterprises [61]. In addition, the government can guide and encourage the development of strategic emerging industries to adjust the industrial structure. At the same time, Ma et al. pointed out that the construction of the national sustainable development experimental zone can promote industrial transformation and reduce the proportion of the secondary industry [12]. However, Zhang et al. pointed out that the proportion of the secondary industry significantly inhibits the improvement of environmental problems [67]. By reducing the proportion of the secondary industry, the upgrading and rationalization of the industrial structure can effectively promote the energy transformation [68,69]. He et al. pointed out that the adjustment of the industrial structure can promote the coordinated development of the economy and the environment [70]. On one hand, industrial structure upgrading can effectively promote the efficient use of resources, reduce energy consumption and, thus, reduce the external effects of economic activities on the environment [71]. On the other hand, reducing industrial added value as a percentage can effectively reduce the curvature of the EKC curve and pollutant emissions while maintaining economic growth, and it can lead to the achievement of sustainable economic growth [69]. Therefore, this paper proposes the following hypothesis:
Hypothesis 3.
The national sustainable development experimental zone policy can effectively reduce energy consumption and carbon dioxide emissions through industrial structure upgrading.

3. Methods and Data

3.1. Methods

3.1.1. DID Model

The DID model was used to evaluate the policy effect of building a national sustainable development experimental zone on energy transition. Up to 2016, 189 experimental zones were approved by the State Council, which provided a good “quasi-natural experiment” for using the DID model. The national sustainable development experimental zones include county, urban, prefecture-level, and township zones. In previous research, scholars considered county-level experimental and prefecture-level experimental areas and excluded township experimental areas [12,13]. Additionally, Liu et al. pointed out that the construction of the national sustainable development experimental zone experienced exploration, transformation, expansion, and breakthrough periods [13]. In 2006–2016, there was an expansion period in the construction of the national sustainable development experimental zone. During this period, as many as 146 national experimental areas were approved, accounting for 77% of the total and covering multiple administrative levels and cities with different development states with good representativeness. Therefore, referring to the previous research results [12,13], considering the availability of data and the integrity of different development stages, this paper selected panel data from 214 prefecture-level cities collected from 2006 to 2019. Considering the availability of data, based on panel data for 214 cities at the prefecture level from 2006 to 2019, national sustainable development construction in county-level experimental zones and prefecture-level experimental zones after 2009 was regarded as the experimental group. For prefecture-level cities containing multiple county-level experimental areas, the start time was taken as the time at which the first experimental zone was established. Therefore, this paper excluded prefecture-level cities in which the national sustainable development experimental zone was built before 2009, prefecture-level cities in which the county-level cities of the national sustainable development experimental zone were built before 2009, and prefecture-level cities in which a township experimental zone was built. Finally, after screening and matching, and eliminating the samples with missing and abnormal data, 50 prefecture-level cities were included in the experimental group, and 164 prefecture-level cities were included in the control group, giving a total sample size of 2756 prefecture-level cities. For the screened experimental and control groups, dummy variables were set according to the effects of the policy and the time of policy implementation. When the prefecture-level cities affected by the policy began to set up national sustainable development experimental zones, they were assigned a value of 1; otherwise, they were assigned a value of 0. Accordingly, the dummy variable policy of the national sustainable development experimental zone was directly generated. At the same time, the dummy variable policy was used to construct a two-way fixed effect model to estimate the DID model. It can be used to test the net effect of the construction of the national sustainable development experimental zone on energy transition.
The specific model is set as follows:
E T i , t = α + α 0 p o l i c y i , t + γ x i , t + φ i + μ i + ε i , t
where the subscripts i and t denote the city and year, respectively; ET represents the energy transition; policy is denoted as the interaction term between the city dummy variable and year dummy variable, which takes a value of 1 if the prefecture-level cities affected by the policy begin to set up the national sustainable development experimental zones and 0 otherwise. x is the control variable; φ is the fixed city effect; μ is the fixed year effect; and ε is the random error.
In Equation (1), the coefficient α 0 is the core estimation parameter that is used to measure the net effect of the national sustainable development experimental zone policy on energy transition. If α 0 is negative, the national sustainable development experimental zone policy will help to promote energy transition; otherwise, there is an inhibitory effect.

3.1.2. Mediating Effect Model

The specific model was as follows. Based on the above analysis of the mechanisms, the study hypothesized that the national sustainable development experimental zone policy may have indirect effects on the energy consumption and carbon dioxide emissions through a path mediating technical progress and industrial structure upgrading. Therefore, a mediating effect model was introduced to verify this hypothesis. This paper adopted a standardized mediating effect model to carry out the identification mechanism. The model was divided into three steps. See Equation (1) for the first step. The second and third steps are shown below. As follows:
M i , t = β + β 0 p o l i c y i , t + γ x i , t + φ i + μ i + ε i , t
E T i , t = θ + θ 0 p o l i c y i , t + θ 1 M i , t + γ x i , t + φ i + μ i + ε i , t
here, the coefficient β 0 presents the effect of the national sustainable development experimental zone policy on the mediating variable; the coefficient θ 1 separates the effect of the mediating variable on energy transition; the product of coefficients β 0 and θ 1 denotes the mediating effect, which is used to identify the indirect effect of policy on energy transition; and the coefficient θ 0 represents the direct effect of policy on energy transition after excluding the mediating effect. The mediation effect exists if the coefficients β 0 , θ 0 , and θ 1 are significant.

3.2. Variable Definitions

(1) Explained variable. The explained variable is energy transition, and this mainly includes the aspects of reducing the energy consumption and carbon dioxide emissions. Thus, energy consumption and carbon dioxide emissions were selected as the explained variables.
(2) Explanatory variable. The core explanatory variable is the dummy variable policy of the national sustainable development experimental zone policy. According to the construction list of national sustainable development experimental zones published by the State Council, after screening and matching, the prefecture-level cities of the experimental group and the control group are assigned values according to whether the sustainable development experimental zones were built, and finally, the explanatory variable policy is obtained.
(3) Mediating variable. According to Hypotheses 2 and 3, this paper chose technological progress and industrial structure upgrading as the mediating variable, and the percentages of technology spending and industrial added value were selected as measures, respectively.
(4) Controlled variable. As the embodiment of the spatial equilibrium process of regional development, the spatial distribution situation of the economy and population is closely related to the formation of a regional gap. Therefore, the city-level control variables selected include the gross domestic product (GDP) and the total population.

3.3. Data

The data from the national sustainable development experimental zone were taken from the website of China’s Agenda 21 Management Center (https://www.acca21.org.cn/trs/0001003100020001/, accessed on 15 February 2023). The rest of the original data were taken from the China City Statistical Yearbook and China Energy Statistical Yearbook in 2007–2020 and the annual statistical bulletins of various prefecture-level cities. Using these resources, the accounting of the regional GDP was unified to give a constant price based on the 2005 conditions. To reduce the absolute value of the data, the energy consumption, carbon dioxide emissions, GDP, the total population, technology spending, and industrial added value as a percentage were taken as log numbers.
See Table 1 for the descriptive statistics of the variables in this study.

4. Regression Analysis

4.1. Benchmark Regression Analysis

In accordance with Equation (1), this study examined the direct impact of the national sustainable development experimental zone on energy transition, and the estimated results are shown in Table 2. Among them, columns (1) and (3) were the results without the addition of control variables, and columns (2) and (4) were the results after the addition of control variables. From this, under the premise of fixing the individual and year effects, the policy coefficient was significantly negative (passing the significance test at 5%) after adding the control variables, indicating that the national sustainable development experimental zone policy can effectively reduce energy consumption and carbon dioxide emissions, thereby promoting energy transition, and this result supports Hypothesis 1. Compared with prefecture-level cities without a national sustainable development experimental zone, prefecture-level cities could reduce their lnCO2 by 13.3% and their lnEC by 13.1%. This shows that by setting strict emission reduction targets and raising relevant technical standards, an increase in sustainable development construction can effectively reduce energy consumption at the energy input end and carbon dioxide emissions at the energy output end, thereby promoting energy transition [61,72]. Furthermore, through the analysis of the total energy consumption data of the experimental zone from 2006 to 2019, it was found that the reduction in the total energy consumption was mainly reflected in the overall decline of fossil energy consumption, especially the decline of coal consumption. At the same time, the consumption of renewable energy was also found to be increasing. The energy transition is a transition away from coal. Meanwhile, an energy transition is a transition to renewable energy.
Additionally, through a comparison of the regression coefficient, it was found that there was little difference between the impact of the national sustainable development experimental zone policy on the reduction in energy consumption and carbon dioxide emissions. This indicates that the experimental zone may reduce carbon dioxide emissions primarily by reducing energy consumption. The main reason for this is that a reduction in energy consumption is more sensitive to a reduction in carbon dioxide emissions than to adjusting the clean energy mix. At present, the reduction in carbon dioxide emissions may be due to a cleaner energy structure or a decrease in energy consumption. However, the adjustment of a cleaner energy structure mainly depends on the development and utilization of clean energy technologies and an increase in the demand for clean energy from the energy demand side with more capital, labor, technology, and other resources invested [73,74]. In contrast, reducing energy consumption is more sensitive and more likely to reduce carbon dioxide emissions in the short term.

4.2. Robustness Tests

4.2.1. Parallel Trend Tests

This study used the DID model to estimate the impact of the national sustainable development experimental area policy on energy consumption and carbon dioxide emissions. The model’s results became reliable when the experimental and control groups were reconciled by the developmental trend of the explanatory variables without the impact of the experimental area policy. Therefore, a parallel trend test was required in this study. The model was set as follows:
S t o t a l = α 0 + k = m n α k p o l i c y i , t k + γ x i , t + η i + μ i + ε i , t
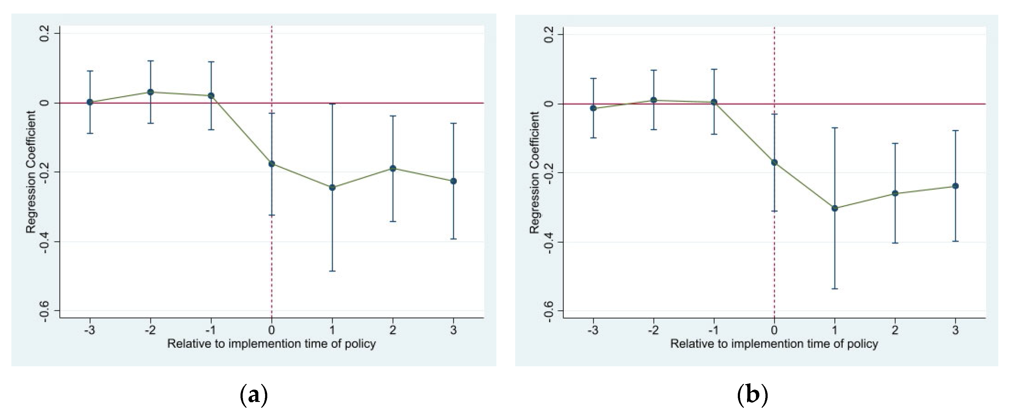
here, the subscripts n and m represent the number of periods before and after the policy time point in the experimental zone, respectively. Three periods were identified. If α 3 to α 1 is not significantly different from 0, there was no significant difference between the experimental and control groups before implementing the policy, and the results pass the parallel trend test. The test results are shown in Figure 1.
Before the impact of the experimental zone policy, when energy consumption and carbon dioxide emissions were used as the explained variables, the policy coefficient included a value of 0 on the 95% confidence interval. That is, the result was not significantly different from 0. Therefore, under the premise of fixing the individual and year effects, when the energy consumption and carbon dioxide emissions were used as the explained variables, the coefficient of policy was not significantly negative on the 95% confidence interval. This shows that before the impact of the experimental policy, the energy consumption and carbon dioxide emissions of the experimental group and the control group had the same development trend, and the parallel trend test was passed. Additionally, after the policy shock, the regression coefficient of lnEC and lnCO2 as the explained variable decreased significantly. The results of Figure 1 show that the regression coefficient of the dummy variable policy with energy consumption and carbon dioxide emissions decreased the most in the first year of the experimental policy’s implementation. The coefficients of the rest of the variables showed little change. This shows that both the energy consumption and carbon dioxide emissions decreased significantly after the experimental policy shock.

4.2.2. Counterfactual Tests

In order to further ensure the reliability of the study conclusions and avoid the influence of other policies or factors on the study’s conclusions, we conducted counterfactual tests by changing the policy’s implementation time. In addition to the national sustainable development experimental zone policy, some other policies or factors may also lead to differences in the energy consumption and carbon dioxide emissions. This difference is not related to the establishment of the national sustainable development experimental zone, which led to incomplete research conclusions. In order to eliminate the influences of such factors, this study assumed that the time taken to establish the national sustainable development experimental zone was one year, two years, and four years in advance, respectively. If the regression coefficient of dummy variable policy is not significantly negative at this time, it means that the changes in energy consumption and carbon dioxide emissions come from the construction of the national sustainable development experimental zone. Otherwise, it may be affected by other policies or factors. The results of the counterfactual tests are shown in Table 3. According to the regression results, when the time of the national sustainable development experimental zone policy was uniformly advanced by one year, two year, and four years, respectively, the regression coefficients of dummy variables policy were not significantly negative, which indicates that the changes in energy consumption and carbon dioxide emissions come from the construction of the national sustainable development experimental zone, rather than from other factors.

4.3. Heterogeneity Analysis

It can be seen from the above analysis that the national sustainable development experimental zone policy can effectively reduce energy consumption and carbon dioxide emissions and promote the energy transformation. However, this is based on the results of the whole sample analysis, which partly ignores the impact of the differences between the samples in terms of energy transition. First, the samples selected for this paper included prefecture-level cities and county-level experimental areas. However, different experimental area types belong to different administrative levels, and their control of resources is also different [13]. This may lead to differences in the construction of the national sustainable development experimental zone, which may have heterogeneous effects on energy consumption and carbon dioxide emissions. In addition, China has a wide region and has significant differences in resource endowment and the economic development level. Many studies pointed out that this difference will lead to different effects of policies in different regions [8,35]. Overall, there are significant regional differences in eastern, central, and western China, which may lead to a heterogeneous impact of the national sustainability pilot zone policy on energy consumption and carbon dioxide emissions. Therefore, this study further explored the heterogeneous impact of policy on energy transition in different types of experimental areas and urban locations.

4.3.1. Heterogeneity Analysis of Experimental Zone Types

From the above analysis, the experimental group included many prefecture-level cities in which county-level experimental zone and prefecture-level city experimental zones are located. Different types of experimental zones have different inputs in terms of capital, labor, technology, and other aspects and may have different effects on the overall energy consumption and carbon dioxide emissions in prefecture-level cities. Therefore, it was necessary to further divide the experimental groups for the heterogeneity analysis. According to different types of county- and prefecture-level cities, the study groups were divided into experimental groups. There were six prefecture-level cities in which the prefecture-level experimental zones were located and 44 prefecture-level cities in which the county-level experimental zones were obtained. Therefore, the experimental group was divided into prefecture experimental area (referred to as the prefecture-level) and the county experimental prefecture level (referred to as the county level). Corresponding control groups were selected for 164 cities. The study estimated the different impacts of the construction of national sustainable development experimental areas on energy transition, respectively. The regression results are shown in Table 4.
As can be seen from Table 4, in both the county- and prefecture-level experimental zones, the construction of national sustainable development experimental zones had significant negative impacts on energy consumption and carbon dioxide emissions for the prefecture-level cities. This shows that there may be a policy spillover effect in the county experimental zone. The implementation of the policy in the experimental zone can effectively reduce the energy consumption and carbon dioxide emissions of other county-level cities bordering on the experimental zone, which plays a certain role in the demonstration effect. Lee et al. identified negative spatial spillover effects of policy on energy transition [8]. The county-level experimental zones were shown to have spillover and demonstration effects on the surrounding county-level cities, so that the overall energy consumption and carbon dioxide emissions of the prefecture-level cities in which the county-level experimental area is located can be significantly reduced compared with those in the prefecture-level cities in which the prefecture-level experimental area is located. In addition, by comparing the regression coefficients, it was found that the energy consumption and carbon dioxide emission regression coefficients of the dummy variable policy had little differences within the same type of experimental zone. This shows that the construction of the same type of experimental zone has a similar impact on the reduction in energy consumption and carbon dioxide emissions.

4.3.2. Heterogeneity Analysis of City Location

This study divided the sample into east, central, and west areas based on city locations. Then, the heterogeneity results of city locations were estimated in terms of the impact of the national sustainable development experimental zone on energy consumption and carbon dioxide emissions. These results are shown in Table 5. As can be seen from the regression coefficient, the energy transition policy impacted, in decreasing order, the western, central, and eastern regions.
This may have been due to the regional differences between the eastern, central, and western regions, which led to different levels of dependence on resources. Generally speaking, from the perspective of the economic development level and population density, the eastern, central, and western regions declined, and their resource dependence and lock-in effect showed opposite trends [75]. Therefore, the national sustainable development experimental zone policy in the central and western regions was more sensitive to the reduction in energy consumption and carbon dioxide emissions.

4.4. Mechanism Analysis

4.4.1. Mediating Effect of Technological Progress

Table 6 shows the estimated results of the mediating effect with technological progress as the mediating variable. When technological progress was used as the explained variable, the coefficient of policy was significantly positive, indicating that the construction of the national sustainable development experimental zone can improve the level of technological progress. The reason for this result may be that the construction of the national sustainable development experimental zone aims to create a model of sustainable development, emphasizing the effect of scientific and technological innovation on the economy, society, energy, and the environment [12]. Some policies and measures formulated by the government can be centrally implemented and promoted intensively, and the construction of the experimental zone can be carried out through scientific and technological innovations to promote technological progress [40].
Based on columns (1), (2), (4), and (5), the coefficients of policy and technological progress were significantly negative. Among them, compared to the regression coefficients in the benchmark model and using energy consumption and carbon dioxide emissions as the explained variables, the absolute value of the policy regression coefficient is small in columns (4) and (5). The regression coefficients in columns (3) and (4) in Table 6 show that when carbon dioxide emissions were used as the explained variable, the mediation effect of technological progress was significant with a partial mediation effect. Similarly, when energy consumption was used as the explained variable, the partial mediation effect of technological progress was significant. This shows that the construction of the national sustainable development experimental zone can reduce energy consumption and carbon dioxide emissions by improving technological progress. That is, there is a transmission mechanism through which the national sustainable development experimental zone policy can increase technology progress, decreasing energy consumption and carbon dioxide emissions. This is because technological progress can improve the supply of clean energy, improve the efficiency of resource allocation and utilization, improve the energy efficiency and production efficiency, reduce energy consumption, and reduce carbon dioxide emissions [49,50]. Therefore, the construction of the national sustainable development experimental zone can reduce energy consumption and carbon dioxide emissions through technological progress. In order to further test the reliability of the results, this study selected the number of patents to characterize technological progress and further test whether technological progress plays an intermediary role in the national sustainable development experimental zone policy on energy transition. The test results are shown in Table 7. The results of the study show that when the energy consumption and carbon dioxide emissions were used separately as the explained variables, the mediation effect of technological progress was significant with a partial mediation effect. This further shows that technological progress plays an intermediary role in the national sustainable development experimental zone policy on energy transition.

4.4.2. Mediating Effect of Industrial Structure Upgrading

Table 8 shows the estimated results of the mediating effect, with industrial structure upgrading as the mediating variable. When industrial structure upgrading was used as the explained variable, the coefficient of policy was significantly negative, indicating that the construction of the national sustainable development experimental zone can reduce industrial added value as a percentage and promote industrial structure upgrading. This may be because the government can promote industrial structure upgrading through environmental regulations, green credit, and other measures [59,76,77]. For example, the government can effectively promote industrial structure upgrading through environmental regulation measures, such as market-incentive environmental regulations, command-controlled environmental regulations, and voluntary public participation environmental regulations [78].
Based on columns (1), (2), (4), and (5), the policy coefficients were significantly negative, while the coefficients of industrial structure upgrading were positive. Compared to the regression coefficients in the benchmark model, using energy consumption and the carbon dioxide emissions as the explained variables, the absolute value of the policy regression coefficient was small in columns (4) and (5). The regression coefficients shown in columns (3) and (4) in Table 7 indicate that when the carbon dioxide emissions were used as the explained variable, the mediation effect of industrial structure upgrading was significant and had a partial mediation effect. Similarly, when energy consumption was used as the explained variable, the partial mediation effect of industrial structure upgrading was significant. This indicates that the national sustainable development experimental zone policy can reduce the energy consumption and carbon dioxide emissions by improving industrial structure upgrading. That is, there is a transmission mechanism by which the national sustainable development experimental zone policy can increase industrial structure upgrading (reduce industrial added value as a percentage), thereby decreasing the energy consumption and carbon dioxide emissions. This is because the reduction in industrial added value as a percentage can reduce the consumption of fossil energy, while industrial structure upgrading can improve the energy efficiency and reduce pollutant emissions [79,80]. Therefore, the national sustainable development experimental zone policy can reduce energy consumption and carbon dioxide emissions through industrial structure upgrading. In order to further test the reliability of the results, this study selected the proportion of the secondary industry compared to the tertiary industry to characterize industrial structure upgrading and further test whether industrial structure upgrading plays an intermediary role in the national sustainable development experimental zone policy on energy transition. The test results are shown in Table 9. The results of the study show that when the energy consumption and carbon dioxide emissions were used separately as the explained variable, the mediation effect of industrial structure upgrading was found to be significant with a partial mediation effect. This further shows that industrial structure upgrading plays an intermediary role in the national sustainable development experimental zone policy on energy transition.

5. Conclusion and Policy Recommendations

5.1. Conclusions

Using panel data from 214 cities at the prefecture level collected in 2006 to 2019 and employing a difference-in-difference (DID) model and an intermediary effect model, this paper presented the direct impact and transmission mechanism of the national sustainable development experimental zone policy on energy transition. The study conclusions are summarized as follows: First, the national sustainable development experimental zone policy positively affected energy transition by reducing energy consumption and carbon dioxide emissions. Second, there is heterogeneity in the national sustainable development experimental zone policy on energy transition in terms of the different types of experimental zones. Specifically, the results of the heterogeneity analysis of different experimental zone types indicate that, compared with prefecture-level experimental areas, county-level experimental zones play a more obvious role in accelerating an energy transition. In addition, the results of the heterogeneity analysis of urban geographical locations showed that the national sustainable development experimental zone policy has different negative effects on urban energy consumption and carbon dioxide emissions in different regions, and the impact of the policy on energy transition is felt, in decreasing order, by the western, central, and eastern regions. Finally, technological progress and industrial structure upgrading have mediating effects on the policy to reduce energy consumption and carbon dioxide emissions and accelerate an energy transition, and there is a relatively high level of aggregation in the variables deployed.

5.2. Policy Recommendations

Based on the above research conclusion, the following three policy implications were deduced.
First, the empirical results of this paper showed that the policy of the national sustainable development experimental zone plays a significant role in reducing energy consumption and carbon dioxide emissions. According to the implementation progress of sustainable development by the Chinese government, the construction of the current sustainable development experimental zone entered a breakthrough period that will mark a new breakthrough period in the energy transformation and sustainable development of Chinese cities. Based on this, China should approve and promote the construction of experimental zones in a timely manner and fully consider the influences of different experimental zone types and experimental areas to provide a demonstration model for solving the economic, social, resource, and environmental challenges faced in the new era.
Second, based on the results of heterogeneity analysis in prefecture-level cities, the impacts of experimental zone types and regional differences on the reduction in energy consumption and carbon dioxide emissions can be fully considered. The construction of county-level experimental zones has a significant impact on the energy consumption and carbon dioxide emissions of prefecture-level cities. Therefore, the country should focus on the construction of the county-type sustainable development experimental zone, which is of great significance for accelerating the energy transformation and promoting sustainable development. Additionally, according to the conclusion, the construction of experimental zones in different regions has different effects on energy consumption and carbon dioxide emissions. Therefore, the impact of urban location heterogeneity on energy transition should be fully considered, and the construction of subsequent experimental areas should be selectively approved. In addition, the contradictions between economic, social, resource, and environmental factors in different regions are different. However, the eastern region is an important part of China’s high-quality economic development, and it is facing high contradiction pressure. According to the research results, the policies in the eastern region are less effective on promoting energy transition than those in the central and western regions. Therefore, the government should focus on the construction of the eastern experimental area and speed up its energy transition.
Third, the study of mediating mechanism showed that technological progress and the industrial structure play intermediary roles in the energy transformation of the national sustainable development experimental zone. Therefore, the two transmission paths of technological progress and industrial structure affect the reduction in energy consumption and carbon dioxide emissions. On the one hand, they will contribute to a change in the energy structure on the energy-supply side by increasing the investment in the research and development of low-carbon energy technologies, reducing the production cost and use cost of clean energy, and forming the market conditions for affordable use. An energy transition is a transition to renewable energy. Therefore, the progress of renewable energy technologies such as solar, wind, and biomass will help increase the supply of renewable energy. This is conducive to the realization of the energy transition. Globally, the United States, Germany, and other countries are accelerating the research and development of renewable technologies. At the same time, these countries are moving away from coal consumption. This is because the energy transition is a transition away from coal. Therefore, China’s continued investment in coal could delay the realization of China’s energy transition. In addition, to achieve a breakthrough in key technology cores, innovation in the core areas of electrification, decentralization, and digitization can help to promote energy use behavior on the energy demand side. On the other hand, on the basis of strictly controlling the entry threshold of industrial enterprises, the government should guide and encourage the integrated development of industrial enterprises in the experimental zone with emerging industries and characteristic industries, promote the low-carbon transformation and development of industries, and create a demonstration model for the sustainable development of other regions.

5.3. Limitations

There were some limitations in this study, which can be further addressed in subsequent studies. First, given the availability of data and the integrity of different development stages, this paper used data from the national sustainable development experimental zone collected in 2006–2019 to show that the policy can reduce energy consumption and carbon dioxide emissions. This stage was the expansion period and the breakthrough period of the national sustainable development experimental zone, and it had a certain level of representativeness. However, the impacts of the exploration period and the transition period in the construction of the national sustainable development experimental zone were ignored; that is, the data from 1986 to 2006 were not included. Therefore, it was uncertain whether the entire development stage of the national sustainable development experimental zone had an impact on energy transition. Therefore, in future studies, further data will be collected to study whether the entire development stage of the national sustainable development experimental zone had an impact on energy transition. Secondly, considering the different types of national sustainable development experimental zones, prefecture-level cities were selected as the research objects in this paper. In subsequent research, the county-level experimental areas can be directly taken as the research object to explore the impact of the construction of county-level experimental areas on the energy transformation to provide more specific suggestions for the construction of county-level experimental areas. Although the research conclusion of this paper confirmed that the policy of the national sustainable development experimental zone can effectively reduce energy consumption and carbon dioxide emissions, it was not clear whether the policy implementations have adverse effects on the economy and society and whether the original policy design has shortcomings in its design and implementation process. These issues can be explored further.

Author Contributions

Conceptualization, C.W. and T.F.; methodology, C.D.; software, C.D.; validation, C.D.; formal analysis, C.D.; data curation, C.D.; writing—original draft preparation, C.D.; writing—review and editing, C.D.; supervision, C.W. All authors have read and agreed to the published version of the manuscript.

Funding

This research was funded by the National Natural Science Foundation of China, grant number 71872141, and by the Shaanxi public welfare geological survey project, under grant number 202202.

Institutional Review Board Statement

Not applicable.

Informed Consent Statement

Not applicable.

Data Availability Statement

The data that support the findings of this study are available from the corresponding authors (C.D.).

Acknowledgments

First: we acknowledge the support from the Research Program at the NSFC. Furthermore, the authors would like to express special gratitude to the Administrative Center for China’s Agenda 21 for processing and providing valuable survey data for this study. Additionally, the researchers would like to express their gratitude to the anonymous reviewers for their efforts in improving the quality of this study.

Conflicts of Interest

The authors declare no conflict of interest.

References

  1. Wang, C.; Engels, A.; Wang, Z. Overview of research on China’s transition to low-carbon development: The role of cities, technologies, industries and the energy system. Renew. Sustain. Energy Rev. 2018, 81, 1350–1364. [Google Scholar] [CrossRef]
  2. Ybc, A.; Cclb, C. Effects of financial development on energy consumption: The role of country risks. Energy Econ. 2020, 90, 104833. [Google Scholar]
  3. Lee, C.C.; Wang, C.W.; Ho, S.J.; Wu, T.P. The impact of natural disaster on energy consumption: International evidence. Energy Econ. 2020, 97, 105021. [Google Scholar] [CrossRef]
  4. Ccla, B.; Zy, B.; Qwa, B. How does information and communication technology affect energy security? International evidence. Energy Econ. 2022, 109, 105969. [Google Scholar]
  5. Lee, C.C.; Ho, S.J. Impacts of export diversification on energy intensity, renewable energy, and waste energy in 121 countries: Do environmental regulations matter? Renew. Energy 2022, 199, 1510–1522. [Google Scholar] [CrossRef]
  6. Yang, Y.; Liu, Y. Progress in China’s sustainable development research: Contribution of Chinese geographers. J. Geogr. Sci. 2016, 26, 1176–1196. [Google Scholar] [CrossRef]
  7. Colglazier, W. Sustainable development agenda. Science 2015, 349, 1048–1050. [Google Scholar] [CrossRef]
  8. Lee, C.-C.; Feng, Y.; Peng, D. A green path towards sustainable development: The impact of low-carbon city pilot on energy transition. Energy Econ. 2022, 115, 106343. [Google Scholar] [CrossRef]
  9. Silvestre, B.S.; Ţîrcă, D.M. Innovations for sustainable development: Moving toward a sustainable future. J. Clean. Prod. 2019, 208, 325–332. [Google Scholar] [CrossRef]
  10. Pingkuo, L.; Pengbo, G.; Chen, Z. How to Promote Energy Transition with Market Design: A Review on China’s Electric Power Sector. Front. Energy Res. 2021, 9, 427. [Google Scholar] [CrossRef]
  11. Komendantova, N. Transferring awareness into action: A meta-analysis of the behavioral drivers of energy transitions in Germany, Austria, Finland, Morocco, Jordan and Iran. Energy Res. Soc. Sci. 2021, 71, 101826. [Google Scholar] [CrossRef]
  12. Ma, J.; Zhang, Z.; Lu, C.; Xue, B. Could the construction of sustainable development pilot zones improve the urban environment efficiency in china? Discret. Dyn. Nat. Soc. 2020, 2020, 7678525. [Google Scholar] [CrossRef]
  13. Liu, B.S.; Yang, Z.Q.; Xue, B.; Sun, X.Z. Evaluation of the effect of urban sustainable development policy in China—Based on the quasi-experimental evidence from the National Sustainable Development Experimental Zone. J. Public Manag. 2023, 20, 16. (In Chinese) [Google Scholar]
  14. Christodoulou, M.A. Review of sustainability indices and indicators: Towards a new City Sustainability Index (CSI). Environ. Impact Assess. Rev. 2012, 32, 94–106. [Google Scholar]
  15. Azunre, G.A.; Amponsah, O.; Takyi, S.A.; Mensah, H. Informality-sustainable city nexus: The place of informality in advancing sustainable Ghanaian cities. Sustain. Cities Soc. 2021, 67, 102707. [Google Scholar] [CrossRef]
  16. Bonnet, J.; Coll-Martínez, E.; Renou-Maissant, P. Evaluating Sustainable Development by Composite Index: Evidence from French Departments. Sustainability 2021, 13, 761. [Google Scholar] [CrossRef]
  17. Lin, W.; Hong, C.; Zhou, Y. Multi-Scale Evaluation of Suzhou City’s Sustainable Development Level Based on the Sustainable Development Goals Framework. Sustainability 2020, 12, 976. [Google Scholar] [CrossRef]
  18. Zhang, S.; Yang, Y.; Wen, Z.; Peng, M.; Zhou, Y.; Hao, J. Sustainable development trial undertaking: Experience from China’s innovation demon-stration zones. J. Environ. Manag. 2022, 318, 115370. [Google Scholar] [CrossRef]
  19. Medeiros, E.; Van Der Zwet, A. Evaluating integrated sustainable urban development strategies: A methodological framework applied in Portugal. Eur. Plan. Stud. 2020, 28, 563–582. [Google Scholar] [CrossRef]
  20. Solomon, B.D.; Krishna, K. The coming sustainable energy transition: History, strategies, and outlook. Energy Policy 2011, 39, 7422–7431. [Google Scholar] [CrossRef]
  21. Chen, Y.; Cheng, L.; Lee, C.-C. How does the use of industrial robots affect the ecological footprint? International evidence. Ecol. Econ. 2022, 198, 107483. [Google Scholar] [CrossRef]
  22. Guo, P.; Kong, J.; Guo, Y.; Liu, X. Identifying the influencing factors of the sustainable energy transitions in China. J. Clean. Prod. 2019, 215, 757–766. [Google Scholar] [CrossRef]
  23. Broska, L.H.; Vögele, S.; Shamon, H.; Wittenberg, I. On the Future(s) of Energy Communities in the German Energy Transition: A Derivation of Transformation Pathways. Sustainability 2022, 14, 3169. [Google Scholar] [CrossRef]
  24. Chen, H.; Yang, L.; Chen, W. Modelling national, provincial and city-level low-carbon energy transformation pathways. Energy Policy 2020, 137, 111096. [Google Scholar] [CrossRef]
  25. Hottenroth, H.; Sutardhio, C.; Weidlich, A.; Tietze, I.; Simon, S.; Hauser, W.; Neagler, T.; Becker, L.; Viere, T.; Buchgeister, J.; et al. Beyond climate change. Multiattribute decision making for a sustainability assessment of energy system transformation pathways. Renew. Sustain. Energy Rev. 2022, 156, 111996. [Google Scholar] [CrossRef]
  26. Naegler, T.; Becker, L.; Buchgeister, J.; Hottenroth, H.; Junne, T.; Lehr, U.; Scheel, O.; Schmidt-Scheele, R.; Simon, S.; Weidlich, A.; et al. Integrated multidimensional sustainability assessment of energy system transformation pathways. Sustainability 2021, 13, 5217. [Google Scholar] [CrossRef]
  27. Wang, Y.; Zhang, Y.; Yang, J.; Zhang, F.; Wang, S.; Ma, Y. The effect of electric-power substitution policy on the energy transformation in China: A system-dynamics approach. J. Renew. Sustain. Energy 2019, 11, 064702. [Google Scholar] [CrossRef]
  28. Yu, F.; Wang, L.; Li, X. The effects of government subsidies on new energy vehicle enterprises: The moderating role of intelligent transformation. Energy Policy 2020, 141, 111463. [Google Scholar] [CrossRef]
  29. Song, M.; Zheng, H.; Shen, Z.; Chen, B. How financial technology affects energy transformation in China. Technol. Forecast. Soc. Chang. 2023, 188, 122259. [Google Scholar] [CrossRef]
  30. Kittner, N.; Lill, F.; Kammen, D.M. Energy storage deployment and innovation for the clean energy transition. Nat. Energy 2017, 2, 17125. [Google Scholar] [CrossRef]
  31. Markard, J. The next phase of the energy transition and its implications for research and policy. Nat. Energy 2018, 3, 628–633. [Google Scholar] [CrossRef]
  32. Hasanov, M.; Zuidema, C. Local collective action for sustainability transformations: Emerging narratives from local energy initiatives in The Netherlands. Sustain. Sci. 2022, 17, 2397–2410. [Google Scholar] [CrossRef]
  33. Fischer, C.; Newell, R.G. Environmental and technology policies for climate mitigation. J. Environ. Econ. Manag. 2008, 55, 142–162. [Google Scholar] [CrossRef]
  34. Rao, K.U.; Kishore, V. A review of technology diffusion models with special reference to renewable energy technologies. Renew. Sustain. Energy Rev. 2010, 14, 1070–1078. [Google Scholar] [CrossRef]
  35. Pan, X.; Pan, X.; Li, C.; Song, J.; Zhang, J. Effects of China’s environmental policy on carbon emission efficiency. Int. J. Clim. Chang. Strateg. Manag. 2019, 11, 326–340. [Google Scholar] [CrossRef]
  36. Fonseca, L.M.; Domingues, J.P.; Dima, A.M. Mapping the Sustainable Development Goals Relationships. Sustainability 2020, 12, 3359. [Google Scholar] [CrossRef]
  37. Tang, Q.; Wang, J.; Jing, Z. Tempo-spatial changes of ecological vulnerability in resource-based urban based on genetic pro-jection pursuit model. Ecol. Indic. 2021, 121, 107059. [Google Scholar] [CrossRef]
  38. Derlukiewicz, N.; Mempel-Śnieżyk, A.; Mankowska, D.; Dyjakon, A.; Minta, S.; Pilawka, T. How do clusters foster sustainable development? An analysis of EU policies. Sustainability 2020, 12, 1297. [Google Scholar] [CrossRef]
  39. Salo, H.H.; Berg, A.; Korhonen-Kurki, K.; Lähteenoja, S. Small wins enhancing sustainability transformations: Sustainable de-velopment policy in Finland. Environ. Sci. Policy 2022, 128, 242–255. [Google Scholar] [CrossRef]
  40. Xie, H.; Wen, J.; Choi, Y. How the SDGs are implemented in China—A comparative study based on the perspective of policy instruments. J. Clean. Prod. 2021, 291, 125937. [Google Scholar] [CrossRef]
  41. Zhang, H.; Sun, X.; Bi, C.; Ahmad, M.; Wang, J. Can sustainable development policy reduce carbon emissions? Empirical evidence from re-source-based cities in China. Sci. Total Environ. 2022, 838, 156341. [Google Scholar] [CrossRef] [PubMed]
  42. Ma, J.; Hu, Q.; Shen, W.; Wei, X. Does the Low-Carbon City Pilot Policy Promote Green Technology Innovation? Based on Green Patent Data of Chinese A-Share Listed Companies. Int. J. Environ. Res. Public Health 2021, 18, 3695. [Google Scholar] [CrossRef] [PubMed]
  43. Sun, Z.; Zhang, J. Impact of Resource-Saving and Environment-Friendly Society Construction on Sustainability. Sustainability 2022, 14, 11139. [Google Scholar] [CrossRef]
  44. Elavarasan, R.M.; Pugazhendhi, R.; Jamal, T.; Dyduch, J.; Arif, M.; Kumar, N.M.; Shafiullah, G.; Chopra, S.S.; Nadarajah, M. Envisioning the UN Sustainable Development Goals (SDGs) through the lens of energy sustainability (SDG 7) in the post-COVID-19 world. Appl. Energy 2021, 292, 116665. [Google Scholar] [CrossRef]
  45. Zhang, H.; Sun, X.; Ahmad, M.; Lu, Y.; Xue, C. A Step Towards a Green Future: Does Sustainable Development Policy Reduce Energy Consumption in Resource-Based Cities of China? Front. Environ. Sci. 2022, 462, 156341. [Google Scholar] [CrossRef]
  46. Qiu, S.; Wang, Z.; Liu, S. The policy outcomes of low-carbon city construction on urban green development: Evidence from a quasi-natural experiment conducted in China. Sustain. Cities Soc. 2021, 66, 102699. [Google Scholar] [CrossRef]
  47. Ouyang, X.; Li, Q.; Du, K. How does environmental regulation promote technological innovations in the industrial sector? Evidence from Chinese provincial panel data. Energy Policy 2020, 139, 111310. [Google Scholar] [CrossRef]
  48. Wang, Y.; Yu, L. Can the current environmental tax rate promote green technology innovation?-Evidence from China’s re-source-based industries. J. Clean. Prod. 2021, 278, 123443. [Google Scholar] [CrossRef]
  49. Li, W.; Xu, J.; Ostic, D.; Yang, J.; Guan, R.; Zhu, L. Why low-carbon technological innovation hardly promote energy efficiency of China?—Based on spatial econometric method and machine learning. Comput. Ind. Eng. 2021, 160, 107566. [Google Scholar] [CrossRef]
  50. Wang, Y. Research on Energy Substitution in Chinese Industrial Sectors Based on Linear Logit Model. Feb-Fresenius Environ. Bull. 2021, 30, 8777. [Google Scholar]
  51. Shen, N.; Deng, R.; Liao, H.; Shevchuk, O. Mapping renewable energy subsidy policy research published from 1997 to 2018: A scien-tometric review. Util. Policy 2020, 64, 101055. [Google Scholar] [CrossRef]
  52. Che, X.-J.; Zhou, P.; Chai, K.-H. Regional policy effect on photovoltaic (PV) technology innovation: Findings from 260 cities in China. Energy Policy 2022, 162, 112807. [Google Scholar] [CrossRef]
  53. Guo, Z.; Zhang, X.; Feng, S.; Zhang, H. The impacts of reducing renewable energy subsidies on China’s energy transition by using a hybrid dynamic computable general equilibrium model. Front. Energy Res. 2020, 8, 25. [Google Scholar] [CrossRef]
  54. Vujanović, M.; Wang, Q.; Mohsen, M.; Duić, N.; Yan, J. Recent Progress in Sustainable Energy-Efficient Technologies and Environmental Impacts on Energy Systems. Appl. Energy 2021, 283, 116280. [Google Scholar] [CrossRef]
  55. Wang, Z.; Zhu, Y. Do energy technology innovations contribute to CO2 emissions abatement? A spatial perspective. Sci. Total. Environ. 2020, 726, 138574. [Google Scholar] [CrossRef]
  56. Zheng, Y.; Xiao, J.; Huang, F.; Tang, J. How do resource dependence and technological progress affect carbon emissions re-duction effect of industrial structure transformation? Empirical research based on the rebound effect in China. Environ. Sci. Pollut. Res. 2022, 29, 1–16. [Google Scholar] [CrossRef]
  57. Heyen, D.A.; Wolff, F. Drivers and barriers of sustainability transformations: A comparison of the “Energiewende” and the attempted transformation to organic agriculture in Germany. GAIA Ecol. Perspect. Sci. Soc. 2019, 28, 226–232. [Google Scholar] [CrossRef]
  58. Luderer, G.; Madeddu, S.; Merfort, L.; Ueckerdt, F.; Pehl, M.; Pietzcker, R.; Rottoli, M.; Schreyer, F.; Bauer, N.; Baumstark, L.; et al. Impact of declining renewable energy costs on electrification in low-emission scenarios. Nat. Energy 2021, 7, 32–42. [Google Scholar] [CrossRef]
  59. Zang, J.; Wan, L.; Li, Z.; Wang, C.; Wang, S. Does emission trading scheme have spillover effect on industrial structure upgrading? Evidence from the EU based on a PSM-DID approach. Environ. Sci. Pollut. Res. 2020, 27, 12345–12357. [Google Scholar] [CrossRef]
  60. Shen, B.; Yang, X.; Xu, Y.; Ge, W.; Liu, G.; Su, X.; Zhao, S.; Dagestani, A.A.; Ran, Q. Can carbon emission trading pilot policy drive industrial structure low-carbon restructuring: New evidence from China. Environ. Sci. Pollut. Res. 2023, 30, 41553–41569. [Google Scholar] [CrossRef]
  61. Zheng, J.; Shao, X.; Liu, W.; Kong, J.; Zuo, G. The impact of the pilot program on industrial structure upgrading in low-carbon cities. J. Clean. Prod. 2021, 290, 125868. [Google Scholar] [CrossRef]
  62. Chen, L.; Li, W.; Yuan, K.; Zhang, X. Can informal environmental regulation promote industrial structure upgrading? Evidence from China. Appl. Econ. 2022, 54, 2161–2180. [Google Scholar] [CrossRef]
  63. Yu, X.; Wang, P. Economic effects analysis of environmental regulation policy in the process of industrial structure upgrading: Evidence from Chinese provincial panel data. Sci. Total. Environ. 2021, 753, 142004. [Google Scholar] [CrossRef]
  64. Ding, G.; Hua, J.; Duan, J.; Deng, S.; Zhang, W.; Gong, Y. Research on the Strategy of Industrial Structure Optimization Driven by Green Credit Dis-tribution. Sustainability 2022, 14, 9360. [Google Scholar] [CrossRef]
  65. Levinson, A. Technology, International Trade, and Pollution from US Manufacturing. Am. Econ. Rev. 2009, 99, 2177–2192. [Google Scholar] [CrossRef]
  66. Sen, S. Corporate governance, environmental regulations, and technological change. Eur. Econ. Rev. 2015, 80, 36–61. [Google Scholar] [CrossRef]
  67. Zhang, Z.; Chen, X.; Xue, B.; Lu, C. Analysis of China’s urban environmental performance and its impact factors: Analysis based on super-efficiency DEA model and panel regression. J. Arid Land Resour. Environ. 2015, 29, 1–7. [Google Scholar]
  68. Wu, L.; Sun, L.; Qi, P.; Ren, X.; Sun, X. Energy endowment, industrial structure upgrading, and CO2 emissions in China: Revisiting resource curse in the context of carbon emissions. Resour. Policy 2021, 74, 102329. [Google Scholar] [CrossRef]
  69. Zheng, Y.; Peng, J.; Xiao, J.; Su, P.; Li, S. Industrial structure transformation and provincial heterogeneity characteristics evolution of air pollution: Evidence of a threshold effect from China. Atmos. Pollut. Res. 2020, 11, 598–609. [Google Scholar] [CrossRef]
  70. He, S.; Tan, Q.; Zhou, H. Calculating the Reverse Effect of Pollution Reduction on Industrial Structure: An Input-Output Perspective. Stat. Inf. Forum 2015, 30, 15–23. [Google Scholar]
  71. Minihan, E.S.; Wu, Z. Economic structure and strategies for greenhouse gas mitigation. Energy Econ. 2012, 34, 350–357. [Google Scholar] [CrossRef]
  72. Cui, L.; Li, R.; Song, M.; Zhu, L. Can China achieve its 2030 energy development targets by fulfilling carbon intensity reduction commitments? Energy Econ. 2019, 83, 61–73. [Google Scholar] [CrossRef]
  73. Kim, C. A review of the deployment programs, impact, and barriers of renewable energy policies in Korea. Renew. Sustain. Energy Rev. 2021, 144, 110870. [Google Scholar] [CrossRef]
  74. Xu, J.-H.; Yi, B.-W.; Fan, Y. Economic viability and regulation effects of infrastructure investments for inter-regional electricity transmission and trade in China. Energy Econ. 2020, 91, 104890. [Google Scholar] [CrossRef]
  75. Ahmad, M.; Wu, Y. Natural resources, technological progress, and ecological efficiency: Does financial deepening matter for G-20 economies? Resour. Policy 2022, 77, 102770. [Google Scholar] [CrossRef]
  76. Zhu, X. Does green credit promote industrial upgrading?—Analysis of mediating effects based on technological innovation. Environ. Sci. Pollut. Res. 2022, 29, 41577–41589. [Google Scholar] [CrossRef]
  77. Du, K.; Cheng, Y.; Yao, X. Environmental regulation, green technology innovation, and industrial structure upgrading: The road to the green transformation of Chinese cities. Energy Econ. 2021, 98, 105247. [Google Scholar] [CrossRef]
  78. Wang, L.; Wang, Z.; Ma, Y. Heterogeneous environmental regulation and industrial structure upgrading: Evidence from China. Environ. Sci. Pollut. Res. 2022, 29, 13369–13385. [Google Scholar] [CrossRef]
  79. Dong, J.; Dou, Y.; Jiang, Q.; Zhao, J. How Does Industrial Structure Upgrading Affect the Global Greenhouse Effect? Evidence From RCEP and Non-RCEP Countries. Front. Energy Res. 2021, 9, 683166. [Google Scholar] [CrossRef]
  80. Gu, r.; Li, C.; Li, D.; Yang, Y.; Gu, S. The impact of rationalization and upgrading of industrial structure on carbon emissions in the Bei-jing-Tianjin-Hebei urban agglomeration. Int. J. Environ. Res. Public Health 2022, 19, 7997. [Google Scholar] [CrossRef]
Figure 1. Parallel trend test results. (a) Parallel trend test for lnEC; (b) parallel trend test for lnCO2.
Figure 1. Parallel trend test results. (a) Parallel trend test for lnEC; (b) parallel trend test for lnCO2.
Sustainability 15 08315 g001
Table 1. Statistical description of the variables used in this study.
Table 1. Statistical description of the variables used in this study.
VariableObsMeanStd. Dev.MinMax
lnCO227565.9531421.0961652.0189929.180912
lnEC27564.190771.1654820.08891618.035709
policy27560.06095790.239296501
lngdp275616.043390.915144913.160219.41122
lnp27565.7913690.68125582.8684677.138073
lnT27569.4448871.5416282.07944215.52928
IS275646.8660210.9306311.784.39
Table 2. DID model regression results.
Table 2. DID model regression results.
VariablelnEClnCO2
(1)(2)(3)(4)
Policy−0.094−0.131 **−0.093−0.133 **
lngdp 0.634 *** 0.706 ***
lnp 0.103 0.072
Constant3.479 ***−6.742 ***5.380 ***−5.758 ***
City FEYESYESYESYES
Year FEYESYESYESYES
Experimental group50505050
Nonexperimental group164164164164
Observations2756275627562756
R-squared0.73460.75130.69060.7159
Control variablesNOYESNOYES
*** p < 0.01, ** p < 0.05.
Table 3. Counterfactual tests results.
Table 3. Counterfactual tests results.
VariablelnEClnCO2
Before1Before2Before4Before1Before2Before4
Policy−0.087−0.056−0.046−0.093−0.066−0.062
lngdp0.630 ***0.627 ***0.627 ***0.702 ***0.700 ***0.700 ***
lnp0.1010.0980.0950.070.0670.063
Constant−6.664 ***−6.616 ***−6.594 ***−5.682 ***−5.637 ***−5.615 ***
City FEYESYESYESYESYESYES
Year FEYESYESYESYESYESYES
Experimental group505050505050
Nonexperimental group164164164164164164
Observations275627562756275627562756
R-squared0.75080.75050.75040.71540.71510.715
Control variablesYESYESYESYESYESYES
*** p < 0.01.
Table 4. Heterogeneity analysis of different experimental zone types.
Table 4. Heterogeneity analysis of different experimental zone types.
VariablePrefecture-Level City TypeCounty-Level City Type
lnCO2lnEClnCO2lnEC
Policy−0.273 ***−0.248 ***−0.206 ***−0.186 ***
lngdp0.704 ***0.630 ***0.716 ***0.641 ***
lnp0.03550.3600.3620.367
Constant−7.332 ***−7.944 ***−7.569 ***−8.157 ***
City FEYESYESYESYES
Year FEYESYESYESYES
Experimental group664444
Nonexperimental group164164164164
Observations2320232026942694
R-squared0.90960.91250.91030.9129
Control variablesYESYESYESYES
*** p < 0.01.
Table 5. Heterogeneity analysis of city locations.
Table 5. Heterogeneity analysis of city locations.
VariableEastCentralWest
lnEClnCO2lnEClnCO2lnEClnCO2
Policy−0.106 *−0.100 *−0.178 **−0.215 ***−0.271 ***−0.304 **
lngdp0.629 ***0.703 ***0.629 ***0.703 ***0.644 ***0.720 ***
lnp0.3690.3630.3670.3630.3420.335
Constant−7.980 ***−7.363 ***−7.980 ***−7.376 ***−0.807 ***−7.476 ***
City FEYESYESYESYESYESYES
Year FEYESYESYESYESYESYES
Observations10281028668668779779
R-squared0.91250.90960.91260.90980.91280.9101
Control variablesYESYESYESYESYESYES
*** p < 0.01, ** p < 0.05, * p < 0.1.
Table 6. Mediating effect tests (1−1).
Table 6. Mediating effect tests (1−1).
VariablelnCO2lnEClnTlnCO2lnEC
(1)(2)(3)(4)(5)
Policy−0.133 **−0.131 **0.149 **−0.073 **−0.089 **
lnT −0.403 *−0.295 **
Constant−5.758 ***−6.742 ***6.836−2.218−3.319
City FEYESYESYESYESYES
Year FEYESYESYESYESYES
Experimental group5050505050
Nonexperimental group164164164164164
Observations27562756275627562756
R-squared0.71590.75130.77270.91770.9254
Control variablesYESYESYESYESYES
*** p < 0.01, ** p < 0.05, * p < 0.1.
Table 7. Mediating effect tests (1−2).
Table 7. Mediating effect tests (1−2).
VariablelnCO2lnEClnTlnCO2lnEC
(1)(2)(3)(4)(5)
Policy−0.133 **−0.131 **0.118 **−0.119 **−0.091 **
lnT −0.122 *−0.214 **
Constant−5.758 ***−6.742 ***−3.634−17.435−14.810
City FEYESYESYESYESYES
Year FEYESYESYESYESYES
Experimental group5050505050
Nonexperimental group164164164164164
Observations27562756275627562756
R-squared0.71590.75130.74320.68920.7309
Control variablesYESYESYESYESYES
*** p < 0.01, ** p < 0.05, * p < 0.1.
Table 8. Mediating effect tests (1-1).
Table 8. Mediating effect tests (1-1).
VariablelnCO2lnECISlnCO2lnEC
(1)(2)(3)(4)(5)
Policy−0.133 **−0.131 **−0.180 **−0.130 **−0.127 **
IS 0.014 *0.021 **
Constant−5.758 ***−6.742 ***−197.52 ***−5.251 **−5.90 ***
City FEYESYESYESYESYES
Year FEYESYESYESYESYES
Experimental group5050505050
Nonexperimental group164164164164164
Observations27562756275627562756
R-squared0.71590.75130.77270.91770.9254
Control variablesYESYESYESYESYES
*** p < 0.01, ** p < 0.05, * p < 0.1.
Table 9. Mediating effect tests (1-2).
Table 9. Mediating effect tests (1-2).
VariablelnCO2lnECISlnCO2lnEC
(1)(2)(3)(4)(5)
Policy−0.133 **−0.131 **−0.024 **−0.131 **−0.129 **
IS 0.066 *0.079 **
Constant−5.758 ***−6.742 ***−23.629 ***−15.026 **−13.173 ***
City FEYESYESYESYESYES
Year FEYESYESYESYESYES
Experimental group5050505050
Nonexperimental group164164164164164
Observations27562756275627562756
R-squared0.71590.75130.73540.68190.7171
Control variablesYESYESYESYESYES
*** p < 0.01, ** p < 0.05, * p < 0.1.
Disclaimer/Publisher’s Note: The statements, opinions and data contained in all publications are solely those of the individual author(s) and contributor(s) and not of MDPI and/or the editor(s). MDPI and/or the editor(s) disclaim responsibility for any injury to people or property resulting from any ideas, methods, instructions or products referred to in the content.

Share and Cite

MDPI and ACS Style

Du, C.; Wang, C.; Feng, T. The Impact of China’s National Sustainable Development Experimental Zone Policy on Energy Transition. Sustainability 2023, 15, 8315. https://doi.org/10.3390/su15108315

AMA Style

Du C, Wang C, Feng T. The Impact of China’s National Sustainable Development Experimental Zone Policy on Energy Transition. Sustainability. 2023; 15(10):8315. https://doi.org/10.3390/su15108315

Chicago/Turabian Style

Du, Chuanjia, Chengjun Wang, and Tao Feng. 2023. "The Impact of China’s National Sustainable Development Experimental Zone Policy on Energy Transition" Sustainability 15, no. 10: 8315. https://doi.org/10.3390/su15108315

APA Style

Du, C., Wang, C., & Feng, T. (2023). The Impact of China’s National Sustainable Development Experimental Zone Policy on Energy Transition. Sustainability, 15(10), 8315. https://doi.org/10.3390/su15108315

Note that from the first issue of 2016, this journal uses article numbers instead of page numbers. See further details here.

Article Metrics

Back to TopTop