Geotechnical Characterization of Quito’s North-Central Zone as Applied to Deep Excavation in the Urban Setting
Abstract
1. Introduction
2. Geological Setting

3. Geotechnical Characterization Study
3.1. In Situ Testing and Soil Samples
3.1.1. Standard Penetration Test
3.1.2. Soil Sampling
3.2. Index Properties and Soil Composition
3.2.1. Natural Water Content and Atterberg Limits
3.2.2. Particle Size Distributions
3.2.3. Specific Gravity and Bulk Density
3.2.4. Void Ratio and Porosity
3.2.5. Carbonate Content and Organic Content
3.2.6. Mineralogy
3.2.7. Microstructure
3.3. Compression Properties
3.4. Strength Properties
3.4.1. Undrained Shear Strength Properties
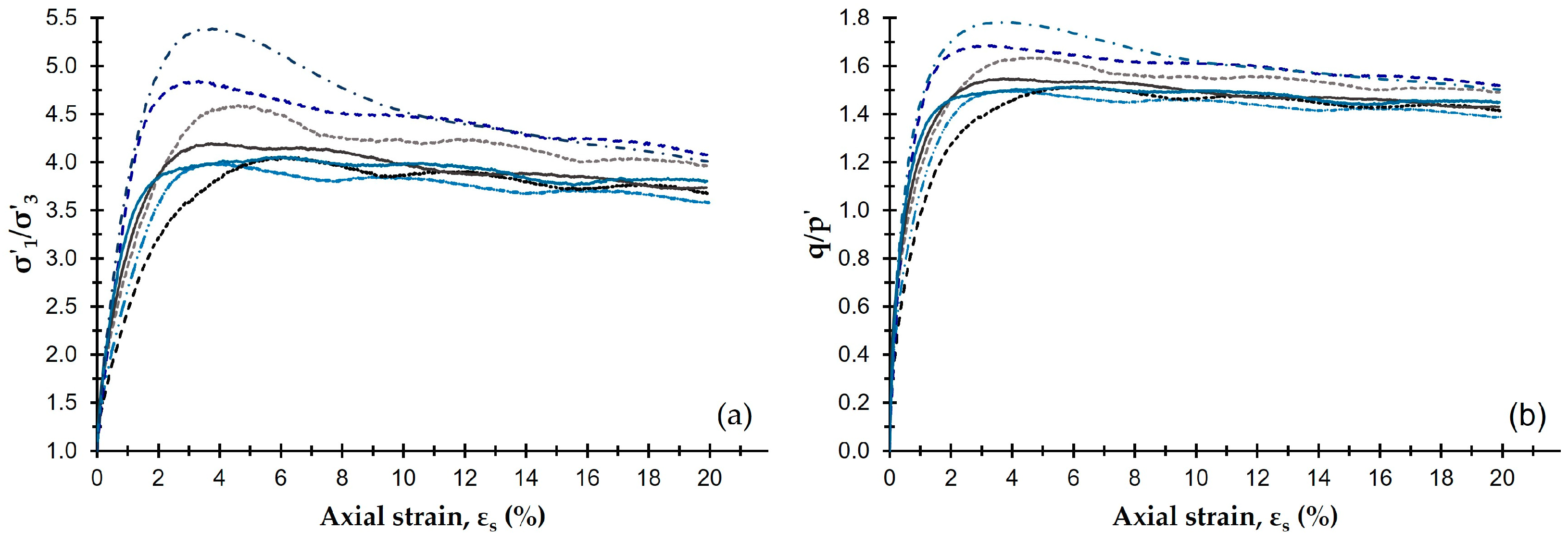
3.4.2. Drained Shear Strength Properties
3.5. Deformation Parameters
3.6. Discussion of the Geotechnical Characterization Study
4. Analysis of a Soil Nailing Structure Built in the Area of Study
4.1. Structure Characteristics
4.2. Geotechnical Parameters
4.3. Characteristics of the Facing and Soil Nails
4.4. Structure Analysis with Plaxis 2D: Discussion of Results
5. Conclusions
Supplementary Materials
Author Contributions
Funding
Institutional Review Board Statement
Informed Consent Statement
Data Availability Statement
Acknowledgments
Conflicts of Interest
References
- Capa, V.E. Estudio Experimental y Numérico del Comportamiento de Excavaciones Ejecutadas Mediante la Técnica de Suelo Claveteado (Soil Nailing) en Suelos de la Ciudad de Quito (Ecuador). Ph.D. Thesis, Universitat Politècnica de València, Valencia, Spain, 2021. [Google Scholar] [CrossRef]
- O’Rourke, T.D.; Crespo, E. Geotechnical Properties of Cemented Volcanic Soils. J. Geotech. Eng. 1988, 114, 1126–1147. [Google Scholar] [CrossRef]
- Belloni, L.; Morris, D. Earthquake-induced shallow slides in volcanic debris soils. Géotechnique 1991, 41, 539–551. [Google Scholar] [CrossRef]
- Vezzoli, L.; Apuani, T.; Corazzato, C.; Uttini, A. Geological and geotechnical characterization of the debris avalanche and pyroclastic deposits of Cotopaxi Volcano (Ecuador). A contribute to instability-related hazard studies. J. Volcanol. Geotherm. Res. 2017, 332, 51–70. [Google Scholar] [CrossRef]
- Bablon, M.; Quidelleur, X.; Samaniego, P.; Le Pennec, J.L.; Santamaría, S.; Liorzou, C.; Hidalgo, S.; Eschbach, B. Volcanic history reconstruction in northern Ecuador: Insights for eruptive and erosion rates on the whole Ecuadorian arc. Bull. Volcanol. 2020, 82, 11. [Google Scholar] [CrossRef]
- Santamaria, S.; Quidelleur, X.; Hidalgo, S.; Samaniego, P.; Le Pennec, J.; Liorzou, C.; Lahitte, P.; Córdova, M.; Espín, P. Geochronological evolution of the potentially active Iliniza Volcano (Ecuador) based on new K-Ar ages. J. Volcanol. Geotherm. Res. 2022, 424, 107489. [Google Scholar] [CrossRef]
- Andrade, S.D.; Vásconez Müller, A.; Vasconez, F.J.; Beate, B.; Aguilar, J.; Santamaría, S. Pululahua dome complex, Ecuador: Eruptive history, total magma output and potential hazards. J. S. Am. Earth Sci. 2021, 106, 103046. [Google Scholar] [CrossRef]
- Nauret, F.; Samaniego, P.; Ancellin, M.; Tournigand, P.; Le Pennec, J.; Vlastelic, I.; Gannoun, A.; Hidalgo, S.; Schiano, P. The genetic relationship between andesites and dacites at Tungurahua volcano, Ecuador. J. Volcanol. Geotherm. Res. 2018, 349, 283–297. [Google Scholar] [CrossRef]
- Bommer, J.J.; Rolo, R.; Mitroulia, A.; Berdousis, P. Geotechnical properties and seismic slope stability of volcanic soils. In Proceedings of the 12th European Conference on Earthquake Engineering (Paper Ref. 695), London, UK, 9–13 September 2002. [Google Scholar]
- Crosta, G.B.; Imposimato, S.; Roddeman, D.; Chiesa, S.; Moia, F. Small fast-moving flow-like landslides in volcanic deposits: The 2001 Las Colinas Landslide (El Salvador). Eng. Geol. 2005, 79, 185–214. [Google Scholar] [CrossRef]
- González de Vallejo, L.I.; Hijazo, T.; Ferrer, M. Engineering Geological Properties of the Volcanic Rocks and Soils of the Canary Islands. Soils Rocks 2008, 31, 3–13. [Google Scholar] [CrossRef]
- del Potro, R.; Hürlimann, M. Geotechnical classification and characterisation of materials for stability analyses of large volcanic slopes. Eng. Geol. 2008, 98, 1–17. [Google Scholar] [CrossRef]
- Brandes, H.G.; Nakayama, D.D. Creep, strength and other characteristics of Hawaiian volcanic soils. Géotechnique 2010, 60, 235–245. [Google Scholar] [CrossRef]
- Hürlimann, M.; Ledesma, A.; Martí, J. Characterisation of a volcanic residual soil and its implications for large landslide phenomena: Application to Tenerife, Canary Islands. Eng. Geol. 2001, 59, 115–132. [Google Scholar] [CrossRef]
- Moon, V.; Bradshaw, J.; Smith, R.; de Lange, W. Geotechnical characterisation of stratocone crater wall sequences, White Island Volcano, New Zealand. Eng. Geol. 2005, 81, 146–178. [Google Scholar] [CrossRef]
- Avşar, E.; Ulusay, R.; Mutlutürk, M. An experimental investigation of the mechanical behavior and microstructural features of a volcanic soil (Isparta, Turkey) and stability of cut slopes in this soil. Eng. Geol. 2015, 189, 68–83. [Google Scholar] [CrossRef]
- Okewale, I.A.; Coop, M.R. A study of the effects of weathering on soils derived from decomposed volcanic rocks. Eng. Geol. 2017, 222, 53–71. [Google Scholar] [CrossRef]
- Yamanouchi, T.; Murata, H. Brittle failure of a volcanic ash soil “Shirasu”. In Proceedings of the 8th International Conference on Soil Mechanics and Foundation Engineering, Moscow, Russia, 1973; Volume 1, pp. 495–500. Available online: https://www.issmge.org/publications/publication/brittle-failure-of-a-volcanic-ash-soil-shirasu (accessed on 14 May 2023).
- Thakur, M.; Kumar, N.; Dhiman, R.K.; Malik, J.N. Geological and geotechnical investigations of the Sataun landslide along the Active Sirmauri Tal Fault, Sataun, Northwestern Himalaya, India. Landslides 2023, 20, 1045–1063. [Google Scholar] [CrossRef]
- Cheung, R.W.M. Landslide risk management in Hong Kong. Landslides 2021, 18, 3457–3473. [Google Scholar] [CrossRef]
- Cook, M.E.; Brook, M.S.; Hamling, I.J.; Cave, M.; Tunnicliffe, J.F.; Holley, R.; Alama, D.J. Engineering geomorphological and InSAR investigation of an urban landslide, Gisborne, New Zealand. Landslides 2022, 19, 2423–2437. [Google Scholar] [CrossRef]
- Turner, A.K.; Schuster, R.L. Landslides: Investigation and Mitigation; National Academy Press: Washington, DC, USA, 1996. [Google Scholar]
- Erginal, A.E.; Türkes, M.; Ertek, T.A.; Baba, A.; Bayrakdar, C. Geomorphological investigation of the excavation-induced Dündar landslide, Bursa-Turkey. Geogr. Ann. 2008, 90, 109–123. [Google Scholar] [CrossRef]
- Ayalew, L.; Moeller, D.; Reik, G. Geotechnical Aspects and Stability of Road Cuts in the Blue Nile Basin, Ethiopia. Geotech. Geol. Eng. 2009, 27, 713–728. [Google Scholar] [CrossRef]
- Zhang, F.; Liu, G.; Chen, W.; Liang, S.; Chen, R.; Han, W. Human-induced landslide on a high cut slope: A case of repeated failures due to multi-excavation. J. Rock Mech. Geotech. Eng. 2012, 4, 367–374. [Google Scholar] [CrossRef]
- Burland, J.B.; Longworth, T.I.; Moore, J.F.A. A study of ground movement and progressive failure caused by a deep excavation in Oxford Clay. Geotechnique 1977, 27, 557–591. [Google Scholar] [CrossRef]
- Tsidzi, K.E.N. An engineering geological approach to road cutting slope design in Ghana. Geotech. Geol. Eng. 1997, 15, 31–45. [Google Scholar] [CrossRef]
- Bozzano, F.; Martino, S.; Priori, M. Natural and man-induced stress evolution of slopes: The Monte Mario hill in Rome. Environ. Geol. 2006, 50, 505–524. [Google Scholar] [CrossRef]
- Fuentes, R.; Pillai, A.; Ferreira, P. Lessons learnt from a deep excavation for future application of the observational method. J. Rock Mech. Geotech. Eng. 2018, 10, 468–485. [Google Scholar] [CrossRef]
- Lee, S.G.; Hencher, S.R. The repeated failure of a cut-slope despite continuous reassessment and remedial works. Eng. Geol. 2009, 107, 16–41. [Google Scholar] [CrossRef]
- Ehrlich, M.; Silva, R.C. Behavior of a 31 m high excavation supported by anchoring and nailing in residual soil of gneiss. Eng. Geol. 2015, 191, 48–60. [Google Scholar] [CrossRef]
- Liao, Y.; Derrega, S.M.; Hall, C.A. A case history study on causation of the landslide in Santa Clara, California, USA. J. Rock Mech. Geotech. Eng. 2015, 7, 185–192. [Google Scholar] [CrossRef]
- Turner, J.P.; Jensen, W.G. Landslide Stabilization Using Soil Nail and Mechanically Stabilized Earth Walls: Case Study. J. Geotech. Geoenviron. Eng. 2005, 131, 141–150. [Google Scholar] [CrossRef]
- Villalobos, S.A.; Oróstegui, P.L.; Villalobos, F.A. Re-assessing a soil nailing design in heavily weathered granite after a strong earthquake. Bull Eng. Geol. Environ. 2013, 72, 203–212. [Google Scholar] [CrossRef]
- Zhu, F.; Miao, L.; Gu, H.; Cheng, Y. A case study on behaviors of composite soil nailed wall with bored piles in a deep excavation. J. Cent. South Univ. 2013, 20, 2017–2024. [Google Scholar] [CrossRef]
- Menkiti, C.O.; Long, M.; Milligan, G.W.E.; Higgins, P. Soil Nailing in Dublin Boulder Clay. Geotech. Geol. Eng. 2014, 32, 1427–1438. [Google Scholar] [CrossRef]
- Fan, C.C.; Luo, J.H. Numerical study on the optimum layout of soil-nailed slopes. Comput. Geotech. 2008, 35, 585–599. [Google Scholar] [CrossRef]
- Singh, V.P.; Sivakumar Babu, G.L. 2D Numerical Simulations of Soil Nail Walls. Geotech. Geol. Eng. 2010, 28, 299–309. [Google Scholar] [CrossRef]
- Wei, W.B.; Cheng, Y.M. Soil nailed slope by strength reduction and limit equilibrium methods. Comput. Geotech. 2010, 37, 602–618. [Google Scholar] [CrossRef]
- Rabie, M. Performance of hybrid MSE/Soil Nail walls using numerical analysis and limit equilibrium approaches. HBRC J. 2016, 12, 63–70. [Google Scholar] [CrossRef]
- Rawat, S.; Gupta, A.K. Analysis of a Nailed Soil Slope Using Limit Equilibrium and Finite Element Methods. Int. J. Geosynth. Ground Eng. 2016, 2, 34. [Google Scholar] [CrossRef]
- Bayat, M.; Kosarieh, A.H.; Javanmard, M. Probabilistic Seismic Demand Analysis of Soil Nail Wall Structures Using Bayesian Linear Regression Approach. Sustainability 2021, 13, 5782. [Google Scholar] [CrossRef]
- Capa, V.E.; Calderón, P.A.; Torrijo, F.J. Experimental and numerical study on the behavior of soil nailing excavations in volcanic soils. In Proceedings of the 20th International Conference on Soil Mechanics and Geotechnical Engineering, Sydney, Australia, 1–5 May 2022. [Google Scholar]
- Plaxis. Plaxis 2D, Geotechnical Engineering Software; Plaxis: Delf, The Netherlands, 2020. [Google Scholar]
- Plaxis. Plaxis 2D Reference Manual; Plaxis: Delf, The Netherlands, 2020. [Google Scholar]
- Plaxis. Plaxis Material Models; Plaxis: Delf, The Netherlands, 2020. [Google Scholar]
- Hall, M.L.; Samaniego, P.; Le Pennec, J.L.; Johnson, J.B. Ecuadorian Andes volcanism: A review of Late Pliocene to present activity. J. Volcanol. Geotherm. Res. 2008, 176, 1–6. [Google Scholar] [CrossRef]
- Rodríguez-Peces, M.J.; Gordón-Pérez, D. Análisis automático de la susceptibilidad de las inestabilidades de laderas provocadas por terremotos en un sector de la Cordillera de Los Andes, Ecuador. Rev. Soc. Geológica España 2015, 28, 91–104. [Google Scholar]
- Coltorti, M.; Ollier, C.D. Geomorphic and tectonic evolution of the Ecuadorian Andes. Geomorphology 2000, 32, 1–19. [Google Scholar] [CrossRef]
- Spikings, R.; Simpson, G. Rock uplift and exhumation of continental margins by the collision, accretion, and subduction of buoyant and topographically prominent oceanic crust. Tectonics 2014, 33, 635–655. [Google Scholar] [CrossRef]
- Robin, C.; Samaniego, P.; Le Pennec, J.L.; Fornari, M.; Mothes, P.; van der Plicht, J. New radiometric and petrological constraints on the evolution of the Pichincha volcanic complex (Ecuador). Bull. Volcanol. 2010, 72, 1109–1129. [Google Scholar] [CrossRef]
- Robin, C.; Eissen, J.P.; Samaniego, P.; Martin, H.; Hall, M.; Cotten, J. Evolution of the late Pleistocene Mojanda-Fuya Fuya volcanic complex (Ecuador), by progressive adakitic involvement in mantle magma sources. Bull. Volcanol. 2009, 71, 233–258. [Google Scholar] [CrossRef]
- Samaniego, P.; Barba, D.; Robin, C.; Fornari, M.; Bernard, B. Eruptive history of Chimborazo volcano (Ecuador): A large, ice-capped and hazardous compound volcano in the Northern Andes. J. Volcanol. Geotherm. Res. 2012, 221–222, 33–51. [Google Scholar] [CrossRef]
- Winkler, W.; Villagómez, D.; Spikings, R.; Abegglen, P.; Tobler, S.; Egüez, A. The Chota basin and its significance for the inception and tectonic setting of the inter-Andean depression in Ecuador. J. S. Am. Earth Sci. 2005, 19, 5–19. [Google Scholar] [CrossRef]
- Ego, F.; Sébrier, M.; Lavenu, A.; Yepes, H.; Egüez, A. Quaternary state of stress in the Northern Andes and the restraining bend model for the Ecuadorian Andes. Tectonophysics 1996, 259, 101–116. [Google Scholar] [CrossRef]
- Hoja Geológica Sangolquí 1980, Escala: 1:50000, Quito, Ecuador; Instituto de Investigación Geológico y Energético (IIGE): Quito, Ecuador, 1980.
- Martin-Gombojav, N.; Winkler, W. Recycling of Proterozoic crust in the Andean Amazon foreland of Ecuador: Implications for orogenic development of the Northern Andes. Terra Nova 2008, 20, 22–31. [Google Scholar] [CrossRef]
- Ruiz, G.M.H.; Seward, D.; Winkler, W. Evolution of the Amazon Basin in Ecuador with special reference to hinterland tectonics: Data from zircon fission-track and heavy mineral analysis. Dev. Sedimentol. 2007, 58, 907–934. [Google Scholar] [CrossRef]
- Estudio Geológico-Geotécnico para la Línea 1 del Metro de la Ciudad de Quito, Ecuador; Empresa Pública Metropolitana Metro de Quito (EPMMQ): Quito, Ecuador, 2016.
- Mujtaba, H.; Farooq, K.; Sivakugan, N.; Das, B. Evaluation of Relative Density and Friction Angle Base on SPT-N Values. KSCE J. Civ. Eng. 2017, 22, 572–581. [Google Scholar] [CrossRef]
- ASTM D1586-2011; Standard Test Method for Standard Penetration Test (SPT) and Split-Barrel Sampling of Soils. ASTM International: West Conshohocken, PA, USA, 2011.
- Laad, C.C.; DeGroot, D.J. Recommended practice for soft ground site characterization: Arthur Casagrande Lecture. In Proceedings of the 12th Panamerican Conference on Soil Mechanics and Geotechnical Engineering, Cambridge, MA, USA, 22–25 June 2003. [Google Scholar]
- American Society for Testing and Materials (ASTM). Annual Book of ASTM Standards, Soil and Rock (I): D420-D5876; ASTM International: West Conshohocken, PA, USA, 2011. [Google Scholar]
- Asociación Española de Normalización y Certificación (AENOR). Geotecnia: Ensayos de Campo y de Laboratorio; Asociación Española de Normalización y Certificación (AENOR): Madrid, Spain, 1999. [Google Scholar]
- El Howayek, A.; Bobet, A.; Santagata, M. Geologic origin effects on mineralogy, index properties and fabric of a fine-grained carbonatic deposit. Eng. Geol. 2017, 216, 108–121. [Google Scholar] [CrossRef]
- ASTM D2435-2011; Standard Test Methods for One-Dimensional Consolidation Properties of Soils Using Incremental Loading. ASTM International: West Conshohocken, PA, USA, 2011.
- Leroueil, S.; Magnan, J.P.; Tavernas, F. Embankments on Soft Clays; Wood, D.M., Translator; Ellis Horwood: New York, NY, USA, 1990. [Google Scholar]
- ASTM D4767-2011; Standard Test Method for Consolidated Undrained Triaxial Compression Test for Cohesive Soils. ASTM International: West Conshohocken, PA, USA, 2011.
- Pineda, J.A.; Suwal, L.P.; Kelly, R.B.; Bates, L.; Sloan, W. Characterisation of Ballina clay. Géotechnique 2016, 66, 556–577. [Google Scholar] [CrossRef]
- Dai, F.; Lee, C.F.; Wang, S.; Feng, Y. Stress-strain behaviour of a loosely compacted volcanic-derived soil and its significance to rainfall-induced fill slope failures. Eng. Geol. 1999, 53, 359–370. [Google Scholar] [CrossRef]
- Konkol, J.; Międlarz, K.; Bałachowski, L. Geotechnical characterization of soft soil deposits in Northern Poland. Eng. Geol. 2019, 259, 105187. [Google Scholar] [CrossRef]
- Head, K.H.; Epps, R.J. Manual of Soil Laboratory Testing, Volume III: Effective Stress Tests, 3rd ed.; Whittles Publishing: Scotland, UK, 2014. [Google Scholar]
- ASTM D7181-2011; Standard Test Method for Consolidated Drained Triaxial Compression Test for Soils. ASTM International: West Conshohocken, PA, USA, 2011.
- Duncan, J.M.; Chang, C.Y. Non-linear analysis of stress and strain in soils. J. Soil Mech. Found. Div. 1970, 96, 1629–1653. [Google Scholar] [CrossRef]
- Wesley, L.D. Influence of structure and composition on residual soils. J. Geotech. Eng. 1990, 116, 589–603. [Google Scholar] [CrossRef]
- Hu, Y.; Lin, P.; Guo, C.; Mei, G. Assessment and calibration of two models for estimation of soil nail loads and system reliability analysis of soil nails against internal failures. Acta Geotech. 2020, 15, 2941–2968. [Google Scholar] [CrossRef]
- Mohamed, M.H.; Ahmed, M.; Mallick, J.; Hoa, P.V. An Experimental Study of a Nailed Soil Slope: Effects of Surcharge Loading and Nails Characteristics. Appl. Sci. 2021, 11, 4842. [Google Scholar] [CrossRef]
- Hong, C.Y.; Liu, Z.X.; Zhang, Y.F.; Zhang, M.X.; Borana, L. Influence of Critical Parameters on the Peak Pullout Resistance of Soil Nails Under Different Testing Conditions. Int. J. Geosynth. Ground Eng. 2017, 3, 19. [Google Scholar] [CrossRef]
- Rocscience. Slide2, 2D Limit Equilibrium Analysis for Slopes; Rocscience: Toronto, ON, Canada, 2020. [Google Scholar]























| Test | Cell Pressure | Triaxial | wnat | γ/γd 1 | c′ | Ø′ | |
|---|---|---|---|---|---|---|---|
| Borehole | Depth (m) | (kPa) | Test | (%) | (kN/m3) | (kPa) | (°) |
| JAP1 | 3.50 | 100, 200, 300 | CU | 43 | 16.8/11.7 | 21 | 33.7 |
| AMA1 | 4.50 | 100, 200, 300 | CU | 25 | 18.3/14.6 | 26 | 34.8 |
| AMA1 | 6.00 | 100, 300 | CU | 16 | 19.0/16.4 | 5 | 34.4 |
| JAP1 | 7.50 | 100, 200, 300 | CU | 50 | 16.4/10.9 | 14 | 34.6 |
| JAP1 | 9.00 | 100, 300 | CU | 30 | 17.8/13.7 | 17 | 37.6 |
| JAP1 | 11.00 | 100, 200 | CU | 32 | 14.4/10.9 | 10 | 37.1 |
| JAP1 | 14.50 | 100, 300 | CU | 34 | 17.0/12.7 | 20 | 38.0 |
| Test | Cell Pressure | Triaxial | wnat | γ/γd 1 | c′ | Ø′ | |
|---|---|---|---|---|---|---|---|
| Borehole | Depth (m) | (kPa) | Test | (%) | (kN/m3) | (kPa) | (°) |
| AMA1 | 8.00 | 100, 200, 300 | CD | 16 | 20.3/17.5 | 69 | 36.1 |
| JAP1 | 13.50 | 50, 100, 200, 300 | CD | 31 | 19.1/14.6 | 20 | 36.9 |
| Tangent Modulus | Secant Modulus | |||||||
|---|---|---|---|---|---|---|---|---|
| Test | m | 1 | m | Rf | ||||
| Borehole | Depth (m) | (kPa) | (kPa) | (-) | (kPa) | (-) | (-) | (-) |
| JAP1 | 3.50 | 100 | 20,000 | 1.20 | 7353 | 1.54 | 2.72 | 0.98 |
| AMA1 | 4.50 | 100 | 41,667 | 0.81 | 11,364 | 1.27 | 3.67 | 0.92 |
| AMA1 | 6.00 | 100 | 55,556 | 1.05 | 45,455 | 1.11 | 1.22 | 0.99 |
| JAP1 | 7.50 | 100 | 32,258 | 0.73 | 14,085 | 1.11 | 2.29 | 0.97 |
| JAP1 | 9.00 | 100 | 51,020 | 0.90 | 12,500 | 0.80 | 4.08 | 0.75 |
| JAP1 | 11.00 | 100 | 52,632 | 1.21 | 21,277 | 0.93 | 2.47 | 0.92 |
| JAP1 | 14.50 | 100 | 41,379 | 0.73 | 18,462 | 0.96 | 2.24 | 0.91 |
| Tangent Modulus | Secant Modulus | |||||||
|---|---|---|---|---|---|---|---|---|
| Test | m | 1 | m | Rf | ||||
| Borehole | Depth (m) | (kPa) | (kPa) | (-) | (kPa) | (-) | (-) | (-) |
| JAP1 | 13.50 | 100 | 25,000 | 0.60 | 16,815 | 0.59 | 1.49 | 0.99 |
| AMA1 | 8.00 | 100 | 85,714 | 0.60 | 32,370 | 0.60 | 2.65 | 0.99 |
| Researcher(s) | Soil | Location/ | Specific | Bulk | Void | Porosity | Triaxial Test | Peak Shear | Direct Shear | |||
|---|---|---|---|---|---|---|---|---|---|---|---|---|
| Description | Country | Gravity | Density | Ratio | (CU/CD) | Strength. Tx (UU) | Test | |||||
| Gs | e | n | c′ | Ø′ | c | Ø | c | Ø | ||||
| (Mg/m3) | (%) | (kPa) | (°) | (kPa) | (°) | (kPa) | (°) | |||||
| O’Rourke and Crespo [2] | Volcaniclastic deposit | Eastern Quito/ Ecuador | 2.58–2.59 | 1.31–1.69 | 0.76–1.30 | 43–56 | 111–201 | 39–40 | - | - | - | - |
| Hürlimann et al. [14] | Volcanic residual soil | Canary Islands/ Spain | 2.70 1 | 1.53 | 1.20–1.60 | 54–60 | - | - | - | - | 0 | 30–45 |
| Bommer et al. [9] | Volcanic soil, pyroclastic and epiclastic deposit | Tierra Blanca/ El Salvador | 2.25–2.50 | 1.33–1.53 | 0.80–1.14 | 51 | - | - | - | - | 25–30 | 35–40 |
| Crosta et al. [10] | Weakly to moderately cemented volcanic soil (pyroclastic) | Santa Tecla/ El Salvador | 1.90–2.70 | 1.52 | - | - | - | - | 8–950 | 3.2–39.6 | 7–13 | 20.5–29.2 |
| Avşar et al. [16] | Weakly bonded volcanic deposit | Isparta/Turkey | 2.35–2.65 | 1.43–1.70 | 0.49–0.85 2 | 33–46 | - | - | - | - | 0–52 | 41–59 |
| This study | Volcanic soil | Northern Quito/ Ecuador | 2.35–2.70 | 1.44–2.03 | 0.49–1.92 | 33–66 | 5–26 | 34–38 | - | - | - | - |
| Parameter | Depth | |
|---|---|---|
| 0–7.50 m | 7.50–15.50 m | |
| Effective cohesion, c′ (kN/m2) | 18 | 17 |
| Effective friction angle, Ø′ (°) | 34 | 36 |
| Angle of dilatancy, ψ (°) | 4 | 6 |
| Soil unit weight, γ (kN/m3) | 17.0 | 17.5 |
| Young’s modulus, E′ (kN/m2) | 20,000 | 25,000 |
| Poisson’s ratio, ν′ (-) | 0.3 | 0.3 |
| Overconsolidation ratio, OCR (-) | 1.6 | 1.3 |
| Coefficient of earth pressure at rest of the overconsolidated soil, K0 (-) | 0.555 | 0.461 |
| Parameter | Depth | |
|---|---|---|
| 0–7.50 m | 7.50–15.50 m | |
| Effective cohesion, c′ (kN/m2) | 18 | 17 |
| Effective friction angle, Ø′ (°) | 34 | 36 |
| Angle of dilatancy, ψ (°) | 4 | 6 |
| Soil unit weight, γ (kN/m3) | 17.0 | 17.5 |
| Secant stiffness in drained triaxial test, (kN/m2) | 11,268 | 16,815 |
| Tangent stiffness for primary oedometer loading, (kN/m2) | 9140 | 8683 |
| Unloading/reloading stiffness, (kN/m2) | 33,804 | 90,314 |
| Reference stress for stiffness, (kN/m2) | 100 | 100 |
| Power for stress-level dependency of stiffness, m (-) | 0.60 | 0.60 |
| Poisson’s ratio for unloading/reloading, νur (-) | 0.20 | 0.20 |
| Coefficient of lateral stress in normal consolidation, (-) | 0.441 | 0.412 |
| Overconsolidation ratio, OCR (-) | 1.6 | 1.3 |
| Coefficient of earth pressure at rest of the overconsolidated soil, K0 (-) | 0.555 | 0.461 |
| Parameter | Depth | |
|---|---|---|
| 0–7.50 m | 7.50–15.50 m | |
| Shear modulus at very small strains, (kN/m2) | 45,596 | 77,132 |
| Shear strain at which G = 0.7 G0, γ 0.7 (-) | 5.28 × 10−4 | 4.85 × 10−4 |
| Parameter | Value |
|---|---|
| Soil Nails and Shotcrete model | Elastic |
| Facing | |
| Vertical wall height (m) | 15.50 |
| Wall or facing thickness (m) | 0.25 |
| Modulus of elasticity of Concrete (MPa) | 22,800 |
| Axial stiffness, EA (kN/m) | 5,700,000 |
| Flexural rigidity, EI (kN.m2/m) | 29,685 |
| Unit weight, w (kN/m/m) | 6.00 |
| Soil Nails | |
| Modulus of elasticity of Soil Nail steel (MPa) | 200,000 |
| Modulus of elasticity of Soil Nail grout (MPa) | 21,320 |
| Borehole diameter (m) | 0.15 |
| Soil Nail rebar diameter (mm) | 25 |
| Soil Nail inclination in relation to horizontal plane (°) | 15 |
| Basement Level | Soil Nail Row | Soil Nail Length (m) | Horizontal Separation (m) | Axial Stiffness EA (kN/m) | Flexural Rigidity EI (kN.m2/m) | Unit Weight w (kN/m/m) |
|---|---|---|---|---|---|---|
| 1 | 1 | 15.0 | 2.00 | 232,203 | 327 | 0.208 |
| 2 | 2 | 15.0 | 1.70 | 273,180 | 384 | 0.245 |
| 3 | 3 | 12.0 | 1.60 | 290,254 | 408 | 0.260 |
| 4 | 4 | 12.0 | 1.60 | 290,254 | 408 | 0.260 |
| 5 | 12.0 | 1.60 | 290,254 | 408 | 0.260 | |
| 5 | 6 | 9.0 | 1.60 | 290,254 | 408 | 0.260 |
| Basement Level | Finite Element Method | Limit Equilibrium Methods | |||||
|---|---|---|---|---|---|---|---|
| Construction | Plaxis 2D | Slide2 | |||||
| Progress | Mohr– | Hardening | HSsmall | Bishop | Janbu | Morgenstern | Spencer |
| (%) | Coulomb | Soil | Simplified | Simplified | Price | ||
| 1 (20%) | 4.64 | 4.89 | 4.67 | 3.97 | 4.12 | 4.11 | 4.12 |
| 2 (40%) | 3.70 | 3.61 | 3.69 | 2.72 | 2.82 | 2.84 | 2.83 |
| 3 (60%) | 2.89 | 2.92 | 2.91 | 2.44 | 2.41 | 2.44 | 2.45 |
| 4 (80%) | 2.47 | 2.46 | 2.46 | 2.26 | 2.20 | 2.26 | 2.26 |
| 5 (100%) | 1.94 | 1.94 | 1.94 | 1.95 | 1.91 | 1.95 | 1.95 |
Disclaimer/Publisher’s Note: The statements, opinions and data contained in all publications are solely those of the individual author(s) and contributor(s) and not of MDPI and/or the editor(s). MDPI and/or the editor(s) disclaim responsibility for any injury to people or property resulting from any ideas, methods, instructions or products referred to in the content. |
© 2023 by the authors. Licensee MDPI, Basel, Switzerland. This article is an open access article distributed under the terms and conditions of the Creative Commons Attribution (CC BY) license (https://creativecommons.org/licenses/by/4.0/).
Share and Cite
Capa, V.E.; Torrijo, F.J.; Calderón, P.A.; Hidalgo Signes, C. Geotechnical Characterization of Quito’s North-Central Zone as Applied to Deep Excavation in the Urban Setting. Sustainability 2023, 15, 8272. https://doi.org/10.3390/su15108272
Capa VE, Torrijo FJ, Calderón PA, Hidalgo Signes C. Geotechnical Characterization of Quito’s North-Central Zone as Applied to Deep Excavation in the Urban Setting. Sustainability. 2023; 15(10):8272. https://doi.org/10.3390/su15108272
Chicago/Turabian StyleCapa, Vicente E., F. Javier Torrijo, Pedro A. Calderón, and Carlos Hidalgo Signes. 2023. "Geotechnical Characterization of Quito’s North-Central Zone as Applied to Deep Excavation in the Urban Setting" Sustainability 15, no. 10: 8272. https://doi.org/10.3390/su15108272
APA StyleCapa, V. E., Torrijo, F. J., Calderón, P. A., & Hidalgo Signes, C. (2023). Geotechnical Characterization of Quito’s North-Central Zone as Applied to Deep Excavation in the Urban Setting. Sustainability, 15(10), 8272. https://doi.org/10.3390/su15108272

