Next Article in Journal
Water and Carbon Footprints of Biomass Production Assets: Drip and Center Pivot Irrigation Systems
Next Article in Special Issue
Socioeconomic Impacts of Food Waste Reduction in the European Union
Previous Article in Journal
Unveiling the Spatial Effects of Climate Change on Economic Growth: International Evidence
Previous Article in Special Issue
Sustainability Assessment of Food-Waste-Reduction Measures by Converting Surplus Food into Processed Food Products for Human Consumption
 
 
Font Type:
Arial Georgia Verdana
Font Size:
Aa Aa Aa
Line Spacing:
Column Width:
Background:
Article

Sustainable Ultrasound Assisted Extractions and Valorization of Coffee Silver Skin (CS)

by
Vedran Biondić Fučkar
1,
Marinela Nutrizio
2,
Anamarija Grudenić
2,
Ilija Djekić
3 and
Anet Režek Jambrak
2,*
1
Faculty of Pharmacy and Biochemistry, University of Zagreb, 10000 Zagreb, Croatia
2
Faculty of Food Technology and Biotechnology, University of Zagreb, 10000 Zagreb, Croatia
3
Faculty of Agriculture, University of Belgrade, Nemanjina 6, Zemun, 11080 Belgrade, Serbia
*
Author to whom correspondence should be addressed.
Sustainability 2023, 15(10), 8198; https://doi.org/10.3390/su15108198
Submission received: 28 February 2023 / Revised: 29 April 2023 / Accepted: 11 May 2023 / Published: 18 May 2023
(This article belongs to the Special Issue New Food Waste Horizons)

Abstract

The Sustainable Development Goals (SDG) encourage the efficient use of sustainable technologies. Ultrasound-assisted extraction (UAE) is one of the extraction process techniques, which are also directed towards sustainability as a goal. Coffee silver skin (CS), being a healthy raw material as well as a waste, could be utilized in the manufacturing process of new dietary products. The goal of this research was to isolate proteins and polyphenols from CS using UAE and to employ spectrophotometry to determine the yields. Three parts of the research were conducted: ultrasonic extraction, the optimization of UAE conditions for the isolation of proteins and polyphenols from CS, and the analysis of the amino acid extract obtained with the optimal use of UAE. According to the results, it was reported that the highest yields of total polyphenols isolated from the CS using UAE were obtained by applying an amplitude of 75% and a time interval of 9 min. The optimal parameters of UAE, when considering the proportions of total polyphenols and proteins, are an amplitude of 100% and a time of 9 min. The most abundant amino acids in isolated proteins (Asp, Glu, Pro, Gly, and Ala) were defined as well. Based on the use of energy, it was obvious that UAE is a promising technology. This concurs with the proposed practice that when non-thermal technologies are analyzed from an environmental point of view, the first common denominator is the use of electricity to run the equipment, in relation to resource depletion. As expected, CS poses a great waste to be recycled, being a nutritionally rich raw material with great potential. Quantitative consideration on the environmentally friendly applicability of CS in mass production should be carried out to validate the entire process of developing a new product from both economic and environmental aspects.

1. Introduction

The investigation of all potential applicable approaches in regard to food processing is an ongoing process with many improvements. There exists a strong connection with customer needs and marketing value. However, the target goals are safe, healthy, sustainable, and minimally processed food. Therefore, it has become obvious that the need for the intensification of food processing came into place, becoming one of the focal points of the food industry. Ultrasound imaging and data analysis is one of the milestones in the food industry, enabling us to perform different methods of analysis and food processing. Some of these examples include cutting, freezing, tempering, drying, homogenizing, degassing, antifoaming, filtering, and extracting [1]. It possesses well-known advantages that are associated with its use during food processing, such as effective mixing, mass transfer increment, energy consumption reduction, and lowering product temperature, as well as the increase of yield of the product. Since the ultrasound can eliminate enzymes and microorganisms while preserving the nutrients, it can serve as a method of choice in the preservation of food, being less destructive in comparison to thermal treatment. This ultrasound of low output properties can overcome problems that burden the heat treatment of the food, such as changes due to chemical and physical processes, loss in nutritional value, and the modification of organolepticity [2].
It is very important to promote sustainable development such as commitment to social progress, environmental balance, and economic growth. The Sustainable Development Guidelines (SDG) encourage the use of effective techniques in extraction processes. One of these is extraction assisted by high-power ultrasound (Ultrasound-assisted extraction, UAE). Its main advantages are increased extraction yield and a significant reduction in extraction time, energy consumption, and type of solvent. In new extraction techniques, the use of environmentally friendly solvents is involved. The main goal of the industry is to produce efficient products, use energy efficient processes, and make the most of resources and reduce waste. The global goals of sustainable development are listed in Agenda 2030, and their purpose is to shape the strategies and policies of the continuous monetary and social progress, while preserving the environment and natural resources [3].
SDG 12 “Sustainable consumption and production” is one of UN SDG goals targeting food waste with the latest assumption that 13% of food is lost after harvesting and before reaching the retail, combined with an additional 17% of food wasted at the consumer level [4]. Food loss and waste that occur along the food value chain need to be decreased to achieve sustainability goals [5]. Regarding the coffee industry, where by-products are produced in large amounts, coffee silver skin (CS) has become an interesting material for research [6]. Literature reviews on coffee waste, and CS in particular, reveal that it has been analyzed in terms of its phenolic antioxidants and functional compounds [7], regarding the evaluation of coffee waste as mineral sources [8], and in a review article as one of valuable by-products of the coffee industry [9]. However, when it comes to the use of non-thermal technologies, and specifically UAE, the results are limited. Zhang et al. analyzed utilization in producing polyphenol-rich extracts from CS by using ultrasound extractions [10].
Therefore, the aim of this research was to isolate proteins and polyphenols using UAE from CS and to spectrophotometrically determine their proportions. In addition, the perspective was widened to compare the environmental impact of non-thermal techniques with all available research associated with the processing of CS, which displayed a faint correlation when comparing enzyme inhibitory effects and bioactive compounds. This proved that the inhibitory activities could be a result of the activity of non-phenolic molecules, for example terpenoids and alkaloids. Some of these correlations were investigated in previous research [11,12,13,14,15,16,17].

2. Materials and Methods

2.1. Samples

Once the roasting of coffee was completed, the samples of by-products (CS samples) were utilized in the research. Samples were acquired from a company that specializes in the production of tea, coffee, and snack products based in Zagreb, Croatia—Franck Ltd. These samples contain a blend of Coffea robusta and Coffea arabica coffee, since the company collects by-products collected from each of the roasters, which are then transformed into briquettes at that time. Samples of by-products were delivered in the briquette form and were ground into powder to expedite the analysis.

2.2. Chemicals

The following chemicals were used to perform this research: acetone (Lach-Ner, Neratovice, Czech Republic); acetonitrile (Applichem, Darmstadt, Germany); ammonium formate (GramMol, Zagreb, Croatia); argon, 99.9995% (Messer, Bad Soden am Taunus, Germany); certified element reference material (CPAChem, Bogomilovo, Bulgaria); distilled water; nitric acid (Gram-Mol, Zagreb, Croatia); helium, 6.0 (Messer, Bad Soden am Taunus, Germany); methanol (GramMol, Zagreb, Croatia); a mixture of magnesium sulphate, sodium 85 chloride, and citrate salts (Citrate-Kit-01, BEKOlut, Bruchmühlbach-Miesau, Germany); a mixture of magnesium sulphate salt, primary secondary amine, and GCB (PSA-Kit-06, BEKOlut, Bruchmühlbach-Miesau, Germany); sodium hydroxide (T.T.T., Sveta Nedelja, Croatia); petrol ether (Applichem, Chicago, IL, USA); sulfuric acid (Chemistry, Zagreb, Croatia); and hydrogen peroxide (Gram-Mol, Zagreb, Croatia).

2.3. Methods for Determination of Target Compounds in CS Sample

The experimental part of this research was divided into three parts. In the first part, extraction from the CS was performed under certain conditions, and the mass fraction of protein and polyphenols from the extract was determined spectrophotometrically. During the second part of the research, UAE conditions for the isolation of proteins and polyphenols from CS were optimized. Finally, in the third part, an analysis of the amino acid extract obtained under optimal UAE conditions was performed.

2.3.1. Ultrasonic Extraction

Proteins and polyphenolic compounds were isolated by applying UAE to CS samples. UAE extraction was performed with an Ultrasonic processor Q700 (manufacturer Qsonica, SAD), using deionized water as the extraction solvent.
In the first part of the research, ultrasound-assisted extraction was performed using different variations of the extraction parameters, such as time (3, 6, and 9 min) and amplitude (50, 75, and 100%). Temperature was not allowed to exceed 40 °C (to prevent protein denaturation), thus obtaining 9 extracts as shown in Table 1. Each extraction was performed in duplicate. The experimental design was made in STATGRAPHICS Centurion software (StatPoint technologies, Inc., Warrenton, VA 20186, USA) [5]. This research in fact consisted of 18 experiments since the extraction was performed in duplicate (9 × 2). The goal of designing an experiment is to determine the statistical impact of each factor. Therefore, this was organized in factorial design. The independent variables were amplitude (A) and treatment time (B). The output values were the proportion of total proteins and the proportion of total polyphenols. The goal of this analysis was to monitor the change of parameters (temperature, power, energy, dT, total change) every 15 seconds.
In the second part of the study, the optimization of UAE conditions was performed using the STATGRAPHICS software to define the optimal extraction conditions at which the highest yields of polyphenolic compounds and proteins were achieved. The analysis of the results using the Response Surface Methodology (RSM) was performed with 95% confidence. Additionally, the analysis of variance (ANOVA) found a statistically significant difference (p ≤ 0.05) between dependent and independent variables and the relationship between independent and dependent variables. Since the RSM method usually does not determine the form of connection of dependent and independent variables, a lower-order polynomial was used in the corresponding range of independent variables, in the form of a linear function of independent variables. From the results obtained, the analysis obtained optimal UAE parameters.

2.3.2. Spectrophotometric Determination of Total Polyphenols

Principle of Determination
The determination of total polyphenolic compounds was carried out in an aqueous extract using the spectrophotometric method. The method is based on the colorimetric reaction of the Folin-Ciocalteu reagent (FCR) with a reducing reagent [18]. The intensity of staining was directly proportional to the proportion of polyphenolic compounds in the tested sample. These were performed with all samples U1–U9.
Sample Preparation
The provided extract should be diluted 2 times with water prior to the procedure for the determination of total polyphenols.
Determination Procedure
In a glass tube, 0.1 mL of extract, 7.9 mL of distilled water, and 0.5 mL of FCR (previously diluted 1:2 into water) were pipetted, and 1.5 mL 20% sodium carbonate solution (Na2CO3) was added. The contents of the tube were stirred well again on the Vortex device. The prepared samples were allowed to stand for 2 h at room temperature (Figure 1); after that, the blue color absorbance was measured at 765 nm, in correlation with the negative control. The negative control was set up in the same way as the testing samples, but instead of the sample, 0.1 mL of distilled water was added to the mixture.

2.4. Environmental Impact

The environmental impact of using UAE was performed by analyzing its impacts associated with the functional unit of one UAE treatment. The chosen environmental footprint used in this research was the Global Warming Potential (GWP), as it outlines the weighted impacts of greenhouse gases for the time span of 100 years (IPPC, 2013) [19]. It is expressed as g CO2 equivalent (CO2e). Calculations based on the identified inventory of the use of electric energy were performed using data from the open life cycle assessment (LCA) and corresponding life cycle inventory (LCI) database (PEF launched by the European Commission in 2013) [20].

2.4.1. Determination of Protein Concentration by the Lowry Method

Principle of Determination
The determination of protein concentration according to the Lowry method was carried out in the water extract of the sample using spectrophotometry [21]. The reaction was based on the formation of a complex of copper ions with peptide bonds; in alkaline conditions, the copper ion Cu2+ formed a complex with peptide bonds, reducing to Cu+. While the FCR reagent was reduced, the amino acid residues of tyrosine, tryptophan, and cysteine reacted with the reagent, forming an unstable product, which was then reduced to molybdenum/tungsten. At the same time, a complex of blue-violet coloring was formed with an absorbance maximum of 740 nm. These were performed with all samples, U1–U9.
Sample Preparation
A total of 10 mL of the sample (extract) was piped into a Falcon test tube. Then, 40 mL of acetone was added to precipitate the proteins. The Falcon tube with the sample was stored in the freezer for 15 min at −18 °C. Then, the samples were tempered and centrifuged at 10,000 rpm for 10 min. The supernatant was separated from the precipitate by decantation. The precipitate was washed out with 10 mL of acetone and finally dissolved in 10 mL of distilled water. Before determining the protein concentration, the samples were diluted 5 times with distilled water.
Determination Procedure
Firstly, 0.4 mL of the protein sample and 2 mL of reagent C (mixture of reagent A, i.e., 2% sodium carbonate in 0.1 M sodium hydroxide, and reagent B, i.e., 0.5% copper sulphate pentahydrate in 1% potassium sodium tartrate, all in the ratio 1:50) were piped into a glass test tube, mixed, and incubated at room temperature for 10 to 15 min.
Then, 0.2 mL of FCR was all at once added and well again stirred using the Vortex device. The reaction mixture was incubated at room temperature for 40 to 60 min. Absorbance was measured at a wavelength of 740 nm with a spectrophotometer (Lambda 25, UV/VIS spectrophotometer). The negative control was prepared in the same way, but instead of the sample, the extraction solvent (distilled water) was added.

2.4.2. Amino Acid Analysis

The quantitative analysis of amino acids was performed using the Waters AccQ•Tag method according to the manufacturer’s instructions (Waters), and it included hydrolysis, the derivatization of amino acids with the AccQ•Fluor derivatization reagent, and high-performance liquid chromatography (HPLC) quantitative analysis.
The size-exclusion high-performance liquid chromatography (SEC-HPLC) method used protein separation based on size with the following parameters:
Column: 3 μm, 4.6 × 300 mm, BioSec-3, Agilent Volumen inject. sample: 10 μL;
Injection volume. Standard: 5 μL, Detection: 215;
Flow: 0.3 mL/min;
Mobile phase A: 145 mM NaH2PO4, pH = 7.0;
Column temperature: 20 °C;
Flushing: Isocratic.
Hydrolysis
A total of 5 μL of each sample was evaporated to dryness in a vacuum concentrator. The precipitate was dissolved in 200 μL of 6 M HCl with the addition of 4% phenol. Hydrolysis was carried out for 24 h under a vacuum at 114 °C. The resulting hydrolysate was evaporated to dryness in a vacuum concentrator at 60 °C.
Derivatization
After drying, the sample was dissolved in 20 μL of 20 mM HCl. Derivatization was performed using AccQ•Fluor Reagent according to the manufacturer’s instructions (Waters AccQ•Tag Chemistry Package Instruction Manual). After derivatization, the samples were filtered through a 0.2 μm pore size filter. A standard solution of amino acids with a concentration of 2.5 mM was diluted to a concentration of 100 pmol/μL. Derivatization was performed using AccQ•Fluor Rea.
Sodium Dodecyl Sulphate–Polyacrylamide Gel Electrophoresis, SDS-PAGE
After protein extraction and precipitation, protein separation was performed using Invitrogen™ Novex™ Tris-Glycine, 4–12%, 1.5 mm gel according to the manufacturer’s instructions. Next to that, the proteins were visualized with Coomassie brilliant blue G250 dye. After protein digestion in the gel, peptide analysis was performed using a mass spectrometer.
After recording the MS and MS/MS spectra, the obtained data were used for a database search using the ProteinScape program, version 3.0 (Bruker, Mannheim, Germany). An in-house database containing proteins from Coffea canephora was created. The protein sequences used were downloaded from the UniProt database (26,073 entries).

2.4.3. Statistical Analysis

The STATGRAPHICS 19 software system (Statgraphics Technologies, Inc., Plains, VA, USA) was used for the experimental design of the experiment and statistical data processing [21]. In the experimental part of the research related to the optimization of extraction parameters for the isolation of bioactive compounds from CS samples, the independent variables were, as mentioned, treatment time interval (3, 6, and 9 min) and amplitude (50, 75, and 100%). On the other side, dependent variables were the proportion of total polyphenols (mg 100 g1) and the proportion of total proteins (mg L1). To compare samples, variance analysis (ANOVA) was used to identify discrepancies in the treatments performed.
The parameters had a statistically significant effect if p < 0.05. The results processed in Statgraphics are presented using response surface methodology (RSM). RSM encompasses a set of statistical and mathematical methods used to develop, improve, and optimize processes. The precision of the quadratic empirical model was verified by analysis of variance (ANOVA) with a 95% confidence level.

3. Results

In the first part of this research, the UAE extraction of polyphenols and proteins from CS was performed. Deionized water was used as the extraction solvent because it is a cheap, ecologically, and technologically acceptable solvent and, at the same time, one of the most common solvents of “Green Chemistry”. The mass fraction of total polyphenols and proteins in the sample was determined by spectrophotometric analysis. The obtained results were processed and presented in the form of tables as the mean value of two parallel measurements with the associated standard error. Additionally, the data recorded during the execution of UAE for each sample were processed.
The optimization of UAE conditions was performed as the second part of this research. The extraction parameters were varied, e.g., amplitude (50, 75, and 100%) and treatment time (3, 6, and 9 min), where the temperature of the extraction mixture should not exceed 40 °C. To optimize the results, they were statistically processed using STATGRAPHICS and are shown graphically and tabularly.
In the last part of this research, the analysis of protein and amino acid samples obtained by optimal UAE parameters was performed. The results are presented in the form of chromatograms and tables.

3.1. Results of Physical Parameters during UAE Processing

The data presented in Table 2 are the mean values of the monitored values of temperature, power, and energy every 15 seconds during the treatment. The goal of this analysis was to monitor the change of the mentioned parameters every 15 seconds. The increasing trend of power, energy, and temperature during the performance of UAE was monitored. Furthermore, the total change in energy was calculated with respect to the time interval (15 s), the change in the temperature of the sample within that interval, the specific heat capacity of CS (calculated based on its composition), and the mass of the sample. From the results, it was concluded that the most intensive treatment (U3) achieved the highest energy value (19,447.380 ± 0.526 J), while the lowest energy value was recorded with sample U9 (4890.222 ± 0.533 J). Both results are logical considering the extraction conditions and their correlation.
However, this is not the rule for all parameters; thus, the highest power was recorded for sample U8 (85.167 ± 0.032 W) and the lowest for sample U4 (48.042 ± 0.075 W). A possible source of error is the existence of agglomerates in some samples. If such an agglomerate came close to the ultrasonic probe, it crushed it, but at the same time, it used more power than with a homogeneous sample and then an incorrect value was recorded.

3.2. Influence of UAE on the Proportion of Total Polyphenols

Table 3 shows the results of measuring the mass fraction of total polyphenols after UAE. The mass fraction of total polyphenols in the CS sample ranged from 375.5722 ± 0.05 mg GAE 100 g−1 to 525.6778 ± 0.03 mg GAE 100 g−1. Sample U8, which was treated for 9 min and with an amplitude of 75%, showed the highest mass fraction of total polyphenols (525.6778 ± 0.03 mg GAE 100−1 g−1). A slightly lower value of the share of total polyphenols was shown by sample U6 treated for 6 min with an amplitude of 100% (483.9389 ± 0.03 mg GAE 100 g−1); sample U9 showed a lower value than expected. Considering that it was treated with the highest amplitude and for the longest time, it was assumed that it would show the highest value of the share of total polyphenols.
However, this did not happen; the sample was only third in the series (456.8556 ± 0.03 mg GAE 100 g−1). As expected, the lowest value was measured in sample U1, which was subjected to a treatment of 3 min and an amplitude of 50% (375.5722 ± 0.05 mg GAE 100 g−1). The lower value of the mass fractions of polyphenols of the samples was the result of poor solvent selection.
When performing the extraction, it is necessary to pay strong attention to all factors that can affect the success of the extraction, such as UAE device design, treatment temperature, treatment time interval, type of solvent, ultrasonic intensity, frequency, and amplitude. According to the mentioned recent research, colorimetric methods are not considered a precise method for determining the exact chemical composition of a sample. Namely, the problem arises from the fact that the FCR reacts not only with phenols, but also with some other compounds; thus, the results obtained in this way are not fully representative of the percentage of phenols in the extracts.

Statistical Processing of Results and Optimization of Parameters

The analysis of variance (ANOVA) table splits the variability of the proportion of total polyphenols for each of the factors. The results of the variance analysis for the share of total polyphenols (Table 4) showed that the change in the height of the amplitude and the time interval had no significant effect on the share of total polyphenols (p > 0.05). Additionally, the inter-relationships of independent variables on the proportion of polyphenols were analyzed, and no statistically significant influence was observed (p > 0.05). Therefore, when designing the extraction model, attention should be paid to the influence of the mentioned parameters.
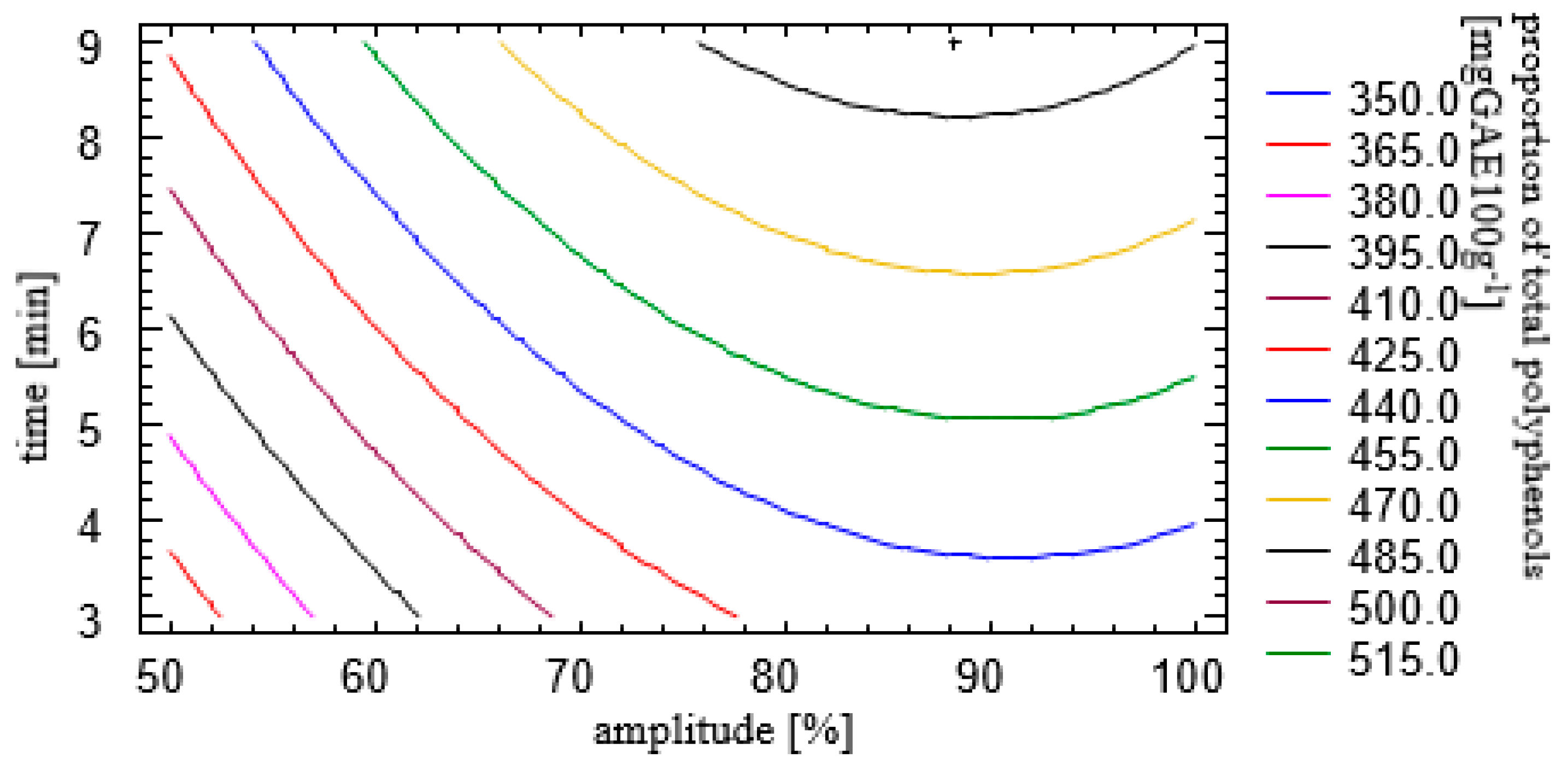
Figure 2 and Figure 3 show response surface diagrams for the proportion of total polyphenols, from which it is clear that time and amplitude did not have a statistically significant effect on the proportion of polyphenols, but it is noted that time still affected the extraction yield. With a longer extraction time, the proportion of extracted polyphenols increased. With the help of these diagrams, certain factors can be corrected in future research, given that, in the mentioned diagrams, the response to the smallest change in experimental factors is the fastest.

3.3. Influence of UAE on the Proportion of Total Proteins

From the results shown in Table 5, it is visible that the highest mass fraction of protein was measured in the U3 sample (1.10 ± 0.08 mg L−1), which was treated with ultrasound for 3 min with an amplitude of 100%. Then, the samples U9 and U6 followed, where a similar value of protein content was measured, 0.87 ± 0.09 mg L−1 and 0.87 ± 0.06 mg L−1. All three samples had the same amplitude (100%), which proved to be the most effective in protein extraction, while the same thesis was not valid for polyphenols. The negative trend continued.
The lowest value of the protein mass fraction was measured in the sample U4 (0.51 ± 0.12 mg L−1), which was treated for 6 min with an amplitude of 50%. When performing the experiment, it was assumed that sample U9 would contain the highest proportion of protein and sample U1 the lowest proportion of protein. Since the highest value of time (9 min) and amplitude (100%) was applied during the treatment of sample U9 and the lowest value of time (3 minutes) and amplitude (50%) was applied to sample U1, the results of the research showed otherwise. A possible reason is the human factor during the experiment and the creation of extremely high temperature micro areas caused by cavitation.
Zhang et al. found a protein content of 10.16% in a CS sample after UAE [10]. In his research, Wen measured a slightly higher proportion of protein (14.62%) compared to the already mentioned research by Zhang et al. [22].

Statistical Processing of Results and Optimization of Parameters

From the results obtained by the analysis of variance for the proportion of total proteins (Table 6), where the statistical significance of each factor was tested by comparing the mean square with the experimental error estimate, amplitude had a significant statistical effect on the proportion of total proteins (p < 0.05). The p-value was 0.0365, indicating that it was significantly different from zero at the 95.0% confidence level. From this, it can be concluded that the height of the amplitude had the greatest effect on protein yield during UAE. Therefore, when optimizing UAE parameters, the height of the amplitude should be carefully adjusted to achieve optimal extraction results.
The graphic representation of the 3D diagram (Figure 4) and the contour diagram (Figure 5) represents a hypothetical model that changes the proportion of total proteins by changing the value of the amplitude and treatment time. The model was created after it was noted that the amplitude value during extraction had the most significant effect.
The semicircular lines of the contour diagram show the path of the steepest ascent or descent. The graphical representation represents the path from the center of the current experimental region along which the estimated response changed the fastest for the smallest change in the experimental factors. With its help, it can be easier to manipulate the process if it is needed to increase or decrease the amount of protein.

3.4. Results of Amino Acid Analysis

Isolated protein samples subjected to protein and amino acid analysis were selected based on the optimal results of the proportion of total proteins. Statistical analysis revealed the influence of amplitude on the proportion of protein, while time had no significant effect. Therefore, the U3 sample (100% and 3 min) showed the highest protein concentration, and sample U2 (75% and 3 min) (Table 7). It is important to take into consideration the influence of the amplitude change on the protein composition, independent of the protein concentration and the time interval.
After the amino acid analysis of samples U2 and U3, the concentrations of individual amino acids were read from the obtained HPLC chromatograms (Figure 6 and Figure 7) and are shown in Table 7. It is noted that the highest concentration of amino acids is Asx in both samples. Asx represents the cumulative concentration of amino acids Asn and Asp. Namely, during the implementation of acid hydrolysis, the conversion of Asp to Asn occurred, which is why it was not possible to define the exact proportion of an individual amino acid. Furthermore, the samples contained a significant concentration of the amino acid Pro. It was 486.73 pmol μL−1 in sample U2, while it was 523.03 pmol μL−1 in sample U8. Amino acid Glx was slightly less concentrated in both samples. Additionally, a cumulative concentration was noted due to conversion during hydrolysis, Glu to Gln. The amino acids Asp and Glu are known as umami amino acids, due to the specific effect on taste during the consumption of foods rich in these amino acids. The amino acid Gly, which is also the simplest amino acid in terms of structure, follows in the order of representation. The analysis revealed the presence of almost all essential amino acids (Phe, His, Ile, Leu, lys, Met, Tyr, Val). Thr is missing, which cannot be measured by this method because its degradation occurs. This presents the great potential of CS application in human nutrition. The concentrations of amino acids in both samples differed minimally, but the concentrations of all amino acids were slightly higher in sample U3 (Table 7). The reason for this is that sample U3 contained a higher mass fraction of total proteins (1.10 ± 0.08 mg L−1) compared to sample U2 (0.61 ± 0.10 mg L−1).

3.5. Results of SEC-HPLC Analysis

The results of the HPLC-SEC analysis are shown in Figure 8. However, due to the low resolution, the SEC HPLC method was not used as a separation technique that preceded identification with a mass spectrometer. Therefore, the SDS-PAGE protein analysis was performed.
All protein lines marked on the gel were used for MS identification (Figure 9). The analysis was performed on samples U2 and U3. On SDS-PAGE, the molecular weight (Mw) of proteins were visible. After protein extraction and separation, peptide analysis was performed with a mass spectrometer. The obtained results were identified using the UniProt database (Table 8).

3.6. Environmental Impact

Derived from the design of the experiment, a mass-energy balance model of a lab-scale UAE was developed, as proposed by Režek Jambrak et al. [23]. The main environmental impact was associated with the consumption of electric energy depending on the power and time needed for the treatment. Table 9 presents the results of calculated global warming potential (GWP).

4. Discussion

The presented results show that the amino acid concentrations in both samples differed only slightly, but the concentrations of all amino acids were somewhat higher in sample U3 (Table 7). The reason for this is that sample U3 contained a higher mass fraction of total proteins (1.10 ± 0.08 mg L1) compared to sample U2 (0.61 ± 0.10 mg L1), as presented in Table 5.
Similar results were obtained by Zhang et al. in their research [10]. They compared the proportions of phenolic compounds and amino acids in CS samples, beer wort, and potato peel after UAE. In their research, deionized water was used as an extraction solvent. The authors carried out acid hydrolysis using a 6 M solution of hydrochloric acid. They found that the most abundant amino acids were Asx and Glx (9± 0.2 mg g1). However, the amino acid Pro was not detected. Amino acids Gly (6 ± 0.1 mg g1) and Ala (5 ± 0.2 mg g1) followed in order of abundance. No essential amino acids were detected. They measured the total amount of amino acids, being equal to 85 ± 4 mg g1. Potato peel samples showed significantly lower values of amino acids, which can be read from the total amount of amino acids (42 ± 3 mg g1). On the other hand, the beer wort samples contained a significantly higher proportion of amino acids (237 ± 16 mg g1) compared to the other samples. Consequently, the authors concluded that beer wort has the greatest potential as a raw material for the isolation of certain amino acids. Nzekoue et al., in their research, showed that water is the worst solvent for the extraction of polyphenols [24].
In his research, Wen studied the influence of UAE on the proportion of amino acids in CS sample [22]. It is important to emphasize that he carried out sequential alkaline-acidic extraction and applied an ultrasound intensity of 38 W cm−2 and a time interval of 10 min. Finally, he carried out the alkaline hydrolysis of proteins. Consequently, he acquired somewhat different results. The concentration of total amino acids was 230.98 ± 17.50 nmol mL1 (0.2 M NaOH) and 435.61 ± 1.80 nmol mL1 (0.6 M NaOH). The most abundant amino acid in both cases was Gly, followed by Asp and Glu. However, he did not detect most of the essential amino acids; only a few were identified.
Due to the low resolution of the SEC-HPLC method, the SDS-PAGE protein analysis was performed. The analysis was performed on samples U2 and U3. Looking at the image after SDS-electrophoresis, it was visible that both samples contained proteins of similar value. It was concluded that changing the extraction parameter does not significantly affect the protein size. The protein paths are clearly visible in the picture (Figure 9). The electrophoretic mobility of proteins depends on their charge density; the higher the charge density ratio, the higher the mobility.
When the protein solution is subjected to the action of an electric field, the molecules move depending on the density of their charge. They move at different speeds towards the anode or cathode and thus separate. Each protein has its characteristic isoelectric point.
The largest identified protein mass was 70.2 kDa, while the lowest mass was 15.7 kDa. A protein with a mass of 15.7 kDa was characterized as a protein containing a Barwin domain. It was assumed that its structure contained about 125 amino acids and three disulfide bridges due to the content of the amino acid Cys. The second protein that was found had no specific characteristics, except for its large mass. During his research, Wen (2019) analyzed the mass of isolated proteins and recorded somewhat different results. However, he used different extraction methods. The protein mass range was between 4.99 and 6.89 kDa. He performed SEC-HPLC analysis for certain proteins and detected a significantly large peak related to high molecular weight (Mw) proteins (between 375 kDa and 520 kDa) and smaller peptides ranging from 1.8 to 8.8 kDa. Therefore, he concluded that the application of sequential acid and alkaline extraction can affect the hydrolysis of proteins into smaller proteins or shorter peptides.
According to the obtained results, a conclusion can be made that the highest yields of total polyphenols (525.68 ± 0.03 mg GAE 100 g1) isolated from CS using UAE were obtained by applying an amplitude of 75% and a time interval of 9 min, while the highest total protein yield (1.10 ± 0.08 mg L1) was achieved using an amplitude of 100% and a treatment time of 3 min. The statistical analysis of the parameters revealed that the amplitude has a statistically significant influence on the protein mass concentration (p < 0.05). However, none of the parameters had a statistically significant influence on the mass fraction of polyphenols.
Regarding the results obtained by the analysis of variance for the proportion of total proteins, where the statistical significance of each factor was tested by making a comparison of the mean square with the experimental error estimate, the amplitude had a significant statistical effect on the proportion of total proteins (p < 0.05). The p-value was 0.0365, indicating that it was significantly different from zero at the 95.0% confidence level. From this point of view, a conclusion can be made that the height of the amplitude had the greatest effect on protein yield during UAE. Therefore, when optimizing UAE parameters, the height of the amplitude should be carefully adjusted to achieve optimal extraction results.
The results of the UAE optimization showed that the optimal values of the proportion of protein (0.8685 mg L1) and polyphenols (485.317 mg GAE 100 g1) were achieved by applying an amplitude of 100.00% and a time of 9 min. However, in individual analyses, the height of the amplitude had a significant influence on the proportion of proteins. The influence of time on the proportion of polyphenols was visible, but it was not statistically significant. Consequently, this should be considered when designing the UAE to reduce the unnecessary consumption of energy and other resources.
The optimal UAE parameters for the proportion of total polyphenols were an amplitude of 88.09% and a treatment time of 9 min. Additionally, the optimal UAE parameters for the proportion of total proteins were an amplitude of 100% and a treatment time of 3 min. The optimal parameters of UAE, when considering the proportions of total polyphenols and proteins, were an amplitude of 100% and a time of 9 min.
Moreover, life cycle assessment (LCA) methodology is widely employed to evaluate the product system’s life cycle impact on the environment [14]. Taking into consideration that CS represents a nutritionally rich raw material with great potential, especially regarding the production of functional food, the results encourage sustainable development in the food industry. Finally, with the quantitative consideration of sustainability (life-cycle assessment, LCA analysis) in mind, some assumptions are necessary. One of the main considerations that affect the model outcome is whether CS is considered a potential useful material in reprocessing. Generally, CS is a residue and, when performing an LCA, can therefore be seen as either a co-product or as a waste. If CS is considered a waste, then system boundary is supposed to be set to begin with the waste itself. Additionally, a production system cut-off should be applied. Conversely, if CS is looked upon as a co-product, then the system boundary should be set in order to include every necessary process required to achieve that co-product, such as coffee cultivation, transport, handling, and roasting.
According to all mentioned, based on the use of energy, it was obvious that UAE is a promising technology. This concurs with the proposed practice that, when non-thermal technologies are analyzed from an environmental point of view, the first common denominator is the use of electric energy for running the equipment, related to resource depletion [25]. It is common that the cleaning and sanitation of the equipment may also be considered, but in our case, as this activity occurred in between all treatments, their impact could bias the results; thus, they were excluded.
The sustainability of these technologies is still under the scrutiny of research. It is obvious that, besides short food treatments and their energy friendly perspective, these technologies also use deionized water which is an environmentally friendly extraction solvent. However, technology readiness levels (and their application at industrial level) are still obscure. As discussed by Mulder et al., all new technologies are perceived as an “open design challenge” since different sustainability aspects must be considered, such as how are the initial costs (as the economic dimension of sustainability) for setting up the technology at an industrial level estimated [26].

5. Conclusions

Based on the obtained results and the performed statistical analysis, it can be concluded that UAE was successfully carried out, during which changes in energy, power, and temperature values were monitored. Proteins and polyphenols were isolated from a CS sample.
According to obtained results, a conclusion can also be made that the highest yields of total polyphenols isolated from the CS using UAE were obtained by applying an amplitude of 75% and a time interval of 9 min. The optimal parameters of UAE, when considering the proportions of total polyphenols and proteins, were an amplitude 100% and time 9 min.
The most abundant amino acids in isolated proteins are Asp, Glu, Pro, Gly, and Ala. Isolated proteins contain almost all essential amino acids. The analysis of the isolated proteins revealed an average protein mass of 15.7 kDa and 70.2 kDa. The protein with an average mass of 15.7 kDa contained a Barwin domain.
CS represents a nutritionally rich raw material with great potential, especially in the production of functional food, encouraging sustainable development in the food industry. As expected, CS represents a nutritionally rich raw material with a bright future. A quantitative consideration of sustainability (life cycle assessment, LCA analysis) on the applicability of CS in mass production should be performed to validate the whole process of developing new products, regarding both economic and environmental aspects.
Another potential use of these results could be as the sustainable reusage of waste material (CS) and the UAE of proteins. These aspects can present an answer for the industry to obtain valuable proteins.

Author Contributions

Conceptualization, A.R.J. and I.D.; writing—original draft preparation, V.B.F.; analysis, A.G. and M.N.; writing—review and editing, A.R.J. and I.D. All authors have read and agreed to the published version of the manuscript.

Funding

This research received no external funding.

Institutional Review Board Statement

Not applicable.

Informed Consent Statement

Not applicable.

Data Availability Statement

Not applicable.

Conflicts of Interest

The authors declare no conflict of interest.

References

  1. Myo, H.; Khat-udomkiri, N. Optimization of ultrasound-assisted extraction of bioactive compounds from coffee pulp using propylene glycol as a solvent and their antioxidant activities. Ultrason. Sonochem. 2022, 89, 106127. [Google Scholar] [CrossRef] [PubMed]
  2. Chemat, F.; Rombaut, N.; Sicaire, A.G.; Meullemiestre, A.; Fabiano-Tixier, A.-S.; Abert-Vian, M. Ultrasound assisted extraction of food and natural products. Mechanisms, techniques, combinations, protocols and applications. Ultrason. Sonochem. 2017, 34, 540–560. [Google Scholar] [CrossRef] [PubMed]
  3. UN. Transforming Our World: The 2030 Agenda for Sustainable Development. Available online: https://sdgs.un.org/2030agenda (accessed on 11 November 2022).
  4. UN. Ensure Sustainable Consumption and Production Patterns. Available online: https://sdgs.un.org/goals/goal12 (accessed on 13 November 2022).
  5. Djekic, I.; Batlle-Bayer, L.; Bala, A.; Fullana-i-Palmer, P.; Jambrak, A.R. Role of the Food Supply Chain Stakeholders in Achieving UN SDGs. Sustainability 2021, 13, 9095. [Google Scholar] [CrossRef]
  6. Martuscelli, M.; Esposito, L.; Di Mattia, C.D.; Ricci, A.; Mastrocola, D. Characterization of Coffee Silver Skin as Potential Food-Safe Ingredient. Foods 2021, 10, 1367. [Google Scholar] [CrossRef] [PubMed]
  7. Murthy, P.S.; Naidu, M.M. Recovery of Phenolic Antioxidants and Functional Compounds from Coffee Industry By-Products. Food Bioprocess Technol. 2012, 5, 897–903. [Google Scholar] [CrossRef]
  8. Ninčević Grassino, A.; Šušić, I.; Fiket, Ž. Evaluation of coffee and coffee waste fractions as mineral sources based on their multi-element composition. Int. J. Environ. Anal. Chem. 2022, 1–20. [Google Scholar] [CrossRef]
  9. Arya, S.S.; Venkatram, R.; More, P.R.; Vijayan, P. The wastes of coffee bean processing for utilization in food: A review. J. Food Sci. Technol. 2022, 59, 429–444. [Google Scholar] [CrossRef] [PubMed]
  10. Zhang, Z.; Poojary, M.M.; Choudhary, A.; Rai, D.K.; Lund, M.N.; Tiwari, B.K. Ultrasound processing of coffee silver skin, brewer’s spent grain and potato peel wastes for phenolic compounds and amino acids: A comparative study. J. Food Sci. Technol. 2021, 58, 2273–2282. [Google Scholar] [CrossRef] [PubMed]
  11. Zengin, G.; Sinan, K.I.; Mahomoodally, M.F.; Angeloni, S.; Mustafa, A.M.; Vittori, S.; Maggi, F.; Caprioli, G. Chemical composition, antioxidant and enzyme inhibitory properties of different extracts obtained from spent coffee ground and coffee silverskin. Foods 2020, 9, 713. [Google Scholar] [CrossRef] [PubMed]
  12. Angeloni, S.; Nzekoue, F.K.; Navarini, L.; Sagratini, G.; Torregiani, E.; Vittori, S.; Caprioli, G. An analytical method for the simultaneous quantification of 30 bioactive compounds in Spent Coffee Ground by HPLC-MS/MS. J. Mass Spectrom. 2020, 55, e4519. [Google Scholar] [CrossRef] [PubMed]
  13. Iriondo-DeHond, A.; Martorell, P.; Genovés, S.; Ramón, D.; Stamatakis, K.; Fresno, M.; Molina, A.; Del Castillo, M.D. Coffee silverskin extract protects against accelerated aging caused by oxidative agents. Molecules 2016, 21, 721. [Google Scholar] [CrossRef] [PubMed]
  14. Nzekoue, F.K.; Angeloni, S.; Navarini, L.; Angeloni, C.; Freschi, M.; Hrelia, S.; Vitali, L.A.; Sagratini, G.; Vittori, S.; Caprioli, G. Coffee silverskin extracts: Quantification of 30 bioactive compounds by a new HPLC-MS/MS method and evaluation of their antioxidant and antibacterial activities. Food Res. Int. 2020, 133, 109128. [Google Scholar] [CrossRef] [PubMed]
  15. Ramón-Gonçalves, M.; Gómez-Mejía, E.; Rosales-Conrado, N.; León-González, M.E.; Madrid, Y. Extraction, identification and quantification of polyphenols from spent coffee grounds by chromatographic methods and chemometric analyses. Waste Manag. 2019, 96, 15–24. [Google Scholar] [CrossRef] [PubMed]
  16. Janissen, B.; Huynh, T. Chemical composition and value-adding applications of coffee industry by-products: A review. Resour. Conserv. Recycl. 2018, 128, 110–117. [Google Scholar] [CrossRef]
  17. Kamgang Nzekoue, F.; Khamitova, G.; Angeloni, S.; Sempere, A.N.; Tao, J.; Maggi, F.; Xiao, J.; Sagratini, G.; Vittori, S.; Caprioli, G. Spent coffee grounds: A potential commercial source of phytosterols. Food Chem. 2020, 325, 126836. [Google Scholar] [CrossRef] [PubMed]
  18. Shortle, E.; O’Grady, M.N.; Gilroy, D.; Furey, A.; Quinn, N.; Kerry, J.P. Influence of extraction technique on the anti-oxidative potential of hawthorn (Crataegus monogyna) extracts in bovine muscle homogenates. Meat Sci. 2014, 98, 828–834. [Google Scholar] [CrossRef] [PubMed]
  19. IPCC. AR5 Reports, Climate Change, Fifth Assessment Report of the Intergovernmental Panel on Climate Change; Cambridge University Press: Cambridge, UK, 2014; Available online: https://www.ipcc.ch/assessment-report/ar5/ (accessed on 21 November 2022).
  20. European Platform on Life Cycle Assessment. Available online: https://eplca.jrc.ec.europa.eu/EnvironmentalFootprint.html (accessed on 21 November 2022).
  21. Laxminandan, S.; Deeptimayi, D.; Pritijyotsna, S.; Taslima, N.A.; Siba, P.P. Quantitation of total protein content in some common edible food sources by lowry protein assay. Lett. Appl. NanoBioSci. 2020, 9, 1275–1283. [Google Scholar] [CrossRef]
  22. Wen, L.; Zhang, Z.; Rai, D.; Sun, D.-W.; Tiwari, B.K. Ultrasound-assisted extraction (UAE) of bioactive compounds from coffee silverskin: Impact on phenolic content, antioxidant activity, and morphological characteristics. J. Food Process Eng. 2019, 42, e13191. [Google Scholar] [CrossRef]
  23. Jambrak Režek, A.; Vukušić, T.; Donsi, F.; Paniwnyk, L.; Djekic, I. Three Pillars of Novel Nonthermal Food Technologies: Food Safety, Quality, and Environment. J. Food Qual. 2018, 2018, 8619707. [Google Scholar] [CrossRef]
  24. Statgraphics 19 Centurion. Available online: https://www.statgraphics.com/ (accessed on 21 November 2022).
  25. Djekic, I.; Tomasević, I. Analysis and Comparison of Environmental Impacts of Nonthermal Food Technologies. In Nonthermal Processing in Agri-Food-Bio Sciences; Režek Jambrak, A., Ed.; Food Engineering Series; Springer: Cham, Switzerland, 2022. [Google Scholar] [CrossRef]
  26. Mulder, K.; Ferrer, D.; Lente, H.V. What Is Sustainable Technology? Perceptions, Paradoxes and Possibilities; Sustainability Responsibility Accountability; Routledge: London, UK, 2011; Volume 44, pp. 1–7. [Google Scholar]
Figure 1. CS samples with visible blue color.
Figure 1. CS samples with visible blue color.
Sustainability 15 08198 g001
Figure 2. Three-dimensional response surface diagram for the proportion of total polyphenols.
Figure 2. Three-dimensional response surface diagram for the proportion of total polyphenols.
Sustainability 15 08198 g002
Figure 3. Contour diagram of the response surface for the proportion of total polyphenols.
Figure 3. Contour diagram of the response surface for the proportion of total polyphenols.
Sustainability 15 08198 g003
Figure 4. Three-dimensional response surface plot for the proportion of total proteins.
Figure 4. Three-dimensional response surface plot for the proportion of total proteins.
Sustainability 15 08198 g004
Figure 5. Contour plot of the response surface for the proportion of total proteins.
Figure 5. Contour plot of the response surface for the proportion of total proteins.
Sustainability 15 08198 g005
Figure 6. HPLC chromatogram of sample U2.
Figure 6. HPLC chromatogram of sample U2.
Sustainability 15 08198 g006
Figure 7. HPLC chromatogram of sample U3.
Figure 7. HPLC chromatogram of sample U3.
Sustainability 15 08198 g007
Figure 8. SEC-HPLC chromatogram of sample U2 and U3.
Figure 8. SEC-HPLC chromatogram of sample U2 and U3.
Sustainability 15 08198 g008
Figure 9. Gel obtained after SDS-PAGE.
Figure 9. Gel obtained after SDS-PAGE.
Sustainability 15 08198 g009
Table 1. Experimental design optimization of UAE conditions.
Table 1. Experimental design optimization of UAE conditions.
Sample No.Amplitude (%)Time (min)
U1503
U2753
U31003
U4506
U5756
U61006
U7509
U8759
U91009
Table 2. Average values of parameters monitored during UAE processing.
Table 2. Average values of parameters monitored during UAE processing.
Sample No.Time (min)Amplitude (%)Temperature (°C)Power (W)Energy (J)dTTotal Change
(J s−1) *
U135020.64 ± 0.1050.72 ± 0.034890.22 ± 0.530.31 ± 1.692.12 ± 0.34
U237522.38 ± 0.1269.58 ± 0.026585.21 ± 0.551.000 ± 1.325.10 ± 0.41
U3310025.88 ± 0.1085.17 ± 0.038203.71 ± 0.521.21 ± 0.764.27 ± 0.27
U465021.64 ± 0.1649.75 ± 0.049401.94 ± 0.550.82 ± 2.104.48 ± 0.56
U567518.54 ± 0.1761.85 ± 0.1112,235.23 ± 0.530.92 ± 1.594.08 ± 0.57
U6610018.04 ± 0.2468.24 ± 0.2814,256.51 ± 0.521.00 ± 0.834.37 ± 0.27
U795017.11 ± 0.1448.04 ± 0.0813,727.17 ± 0.560.82 ± 1.933.23 ± 0.81
U897519.82 ± 0.3660.74 ± 0.1818,151.55 ± 0.531.82 ± 1.349.04 ± 0.29
U9910020.19 ± 0.3263.68 ± 0.3219,447.38 ± 0.501.19 ± 1.295.50 ± 0.34
* The mass of the sample is 110 g, and the specific heat capacity of the sample is 15,114 J K−1 g−1.
Table 3. Results of measuring the mass fraction of total polyphenols in the CS sample.
Table 3. Results of measuring the mass fraction of total polyphenols in the CS sample.
Sample No.Time (min)Amplitude (%)Total Polyphenols
(mg GAE */100 g)
U1350375.57 ± 0.05
U2375397.72 ± 0.06
U33100434.33 ± 0.05
U4650386.97 ± 0.03
U5675436.48 ± 0.03
U66100483.95 ± 0.03
U7950413.23 ± 0.09
U8975525.68 ± 0,03
U99100456.86 ± 0.03
* GAE—Gallic acid equivalent.
Table 4. The analysis of variance for the proportion of total polyphenols.
Table 4. The analysis of variance for the proportion of total polyphenols.
SourceSum SquareDegrees of FreedomMean Value SquareF-Ratiop-Value
A: amplitude6623.816623.84.300.13
B: time5899.7615899.763.830.15
AA1584.2111584.211.030.39
AB57.2141157.210.040.86
BB7.2187317.220.000.95
Total error4626.5731542.19--
Total (correlation)18,798.88---
R-quadrant = 75.389%. R-quadrant (adjusted for degrees of freedom) = 34.3706%. Standard error, estimate = 39.2707. Mean absolute error = 19.8987. Durbin-Watson statistic = 2.17122 (p = 0.7028). Lag 1 residual autocorrelation = −0.190183.
Table 5. Results of measuring the mass fraction of total proteins in the CS sample.
Table 5. Results of measuring the mass fraction of total proteins in the CS sample.
Sample No.Time (min)Amplitude (%)Total Proteins
(mg/L Sample)
U13500.66 ± 0.10
U23750.61 ± 0.10
U331001.10 ± 0.08
U46500.51 ± 0.12
U56750.74 ± 0.14
U661000.87 ± 0.06
U79500.71 ± 0.12
U89750.62 ± 0.05
U991000.87 ± 0.09
Table 6. Statistically significant variables for the proportion of total proteins.
Table 6. Statistically significant variables for the proportion of total proteins.
SourceSum SquareDegrees of FreedomMean Value SquareF-Ratiop-Value
A: amplitude0.15446510.15446513.020.0365
B: time0.0050983410.005098340.430.5589
AA0.034278310.03427832.890.1877
AB0.018796410.01879641.580.2972
BB0.006164210.00616420.520.5231
Total error0.035590930.0118636--
Total (correlation)0.2543938---
R-squared = 86.0095%. R-squared (adjusted for degrees of freedom) = 62.692%. Standard error of estimate = 0.10892. Mean absolute error = 0.0521975. Durbin-Watson statistic = 1.65259 (p = 0.1959). Lag 1 residual autocorrelation = 0.107298. Value marked in italic indicate statistically significant values (p ≤ 0.05).
Table 7. Calculated concentrations of amino acids in the CS samples.
Table 7. Calculated concentrations of amino acids in the CS samples.
Amino AcidsRTU2 (pmol μL−1)U3 (pmol μL−1)
Asx *12.45539.03577.53
Ser14.05148.91163.49
Glx *14.75423.38454.45
Gly16.15382.67412.37
His16.6934.2238.87
Arg20.42110.81121.82
Thr21.1792.49100.72
Ala22.47206.32226.69
Pro24.63486.73523.03
Tyr28.0641.7246.99
Val29.09110.71125.81
Met29.5412.0814.12
Lys31.6144.6048.98
Ile32.5082.3694.52
Leu33.0385.1798.27
Phe34.1152.3360.83
* During acid hydrolysis, Asp was converted to Asn, and Glu to Gln therefore cannot be individually quantified. Therefore, Asp and Asn were determined together and denoted as Asx, and Glu and Gln as Glx. Note: Tryptophan and cysteine were degraded during hydrolysis; therefore, these amino acids were not determined by this method.
Table 8. List of identified proteins in the samples.
Table 8. List of identified proteins in the samples.
Line on the GelAccess Number *MW
(kDa)
Evaluation of the Hit **Number of Identified PeptidesProtein
1A0A068TV8548.9416.17Uncharacteristic
2A0A068V70770.2827.412Uncharacteristic
4A0A068VGK615.7244.56Contains Barwin domains
5A0A068V70770.2599.59Uncharacteristic
7A0A068VGK615.7144.24Contains Barwin domains
8A0A068V70770.2322.66Uncharacteristic
10A0A068VGK615.7144.24Contains Barwin domains
11A0A068V70770.2851.315Uncharacteristic
13A0A068VGK615.7144.24Contains Barwin domains
* Accession number in the UniProt database. ** Values above 35 are considered statistically significant (p < 0.05).
Table 9. List of calculated global warming potential (GWP).
Table 9. List of calculated global warming potential (GWP).
Sample No.Amplitude (%)Time (min)GWP (g CO2e)
U15031.31
U27531.80
U310032.21
U45062.58
U57563.21
U610063.54
U75093.74
U87594.72
U910094.95
Functional unit–one treatment. In this table, the results of GWP are shown in accordance with amplitude and time. All nine samples were included for the calculation.
Disclaimer/Publisher’s Note: The statements, opinions and data contained in all publications are solely those of the individual author(s) and contributor(s) and not of MDPI and/or the editor(s). MDPI and/or the editor(s) disclaim responsibility for any injury to people or property resulting from any ideas, methods, instructions or products referred to in the content.

Share and Cite

MDPI and ACS Style

Biondić Fučkar, V.; Nutrizio, M.; Grudenić, A.; Djekić, I.; Režek Jambrak, A. Sustainable Ultrasound Assisted Extractions and Valorization of Coffee Silver Skin (CS). Sustainability 2023, 15, 8198. https://doi.org/10.3390/su15108198

AMA Style

Biondić Fučkar V, Nutrizio M, Grudenić A, Djekić I, Režek Jambrak A. Sustainable Ultrasound Assisted Extractions and Valorization of Coffee Silver Skin (CS). Sustainability. 2023; 15(10):8198. https://doi.org/10.3390/su15108198

Chicago/Turabian Style

Biondić Fučkar, Vedran, Marinela Nutrizio, Anamarija Grudenić, Ilija Djekić, and Anet Režek Jambrak. 2023. "Sustainable Ultrasound Assisted Extractions and Valorization of Coffee Silver Skin (CS)" Sustainability 15, no. 10: 8198. https://doi.org/10.3390/su15108198

APA Style

Biondić Fučkar, V., Nutrizio, M., Grudenić, A., Djekić, I., & Režek Jambrak, A. (2023). Sustainable Ultrasound Assisted Extractions and Valorization of Coffee Silver Skin (CS). Sustainability, 15(10), 8198. https://doi.org/10.3390/su15108198

Note that from the first issue of 2016, this journal uses article numbers instead of page numbers. See further details here.

Article Metrics

Back to TopTop