The Dynamic Behavior of Silos with Grain-like Material during Earthquakes
Abstract
1. Introduction
2. Analytical Framework
2.1. The Hypotheses on Particulate Material Inside the Silos during Earthquakes
- (1)
- The particulate material is assumed to be a continuum, incompressible, and compact as if it were composed of a number of rigid and infinitely resistant spherical balls.
- (2)
- The silo–bulk material system obeys Da Vinci’s friction law: the wall–particulate friction coefficient remains unchanged, which is the external friction coefficient; the particulate friction coefficient is set to be constant, which is the internal friction coefficient; the particulate horizontal friction needs to be considered.
- (3)
- The silo walls are assumed to be rigid. Thus, it can be assumed that the silo structure absorbs no energy from the earthquake [41].
2.2. The Hypotheses Concerning the Seismic Acceleration
3. Analytical Mode
- mg is the gravity of the stored material;
- σz is the vertical pressure caused by gravity and the actions of the upper layer. It is stipulated as a function of z;
- τrg is the horizontal shear stress due to the action of the upper layer. It is stipulated that τrg is a function related to z and independent of r and θ; the internal friction coefficient between stored materials is μ′;
- τzw is the vertical shear stress between the stored material and the lateral wall, and τzw is defined as a function related to z and θ (r = R). The external friction coefficient between the stored material and the wall is μ0;
- σz + dσz is the supporting force from the lower layer;
- τrg + dτrg is the horizontal shear stress from the lower layer;
- σr is the horizontal pressure of the layer on the side wall, and σr is defined as a function related to z and θ (r = R);
- maez(z)g is the vertical inertial force of vertical acceleration caused by seismic energy; unit: N;
- maer(z)g is the horizontal inertial force caused by seismic energy; unit: N.
3.1. Static Equilibrium Model
3.2. Seismic Dynamic Equilibrium Model
- τrw is the horizontal shear stress between the stored material and the side wall. In this paper, the moment of inertia is neglected, and τγw is only caused by the vertical component of horizontal seismic acceleration acting on the sector;
- Prg is the horizontal force of the sector stock in the direction of θ1 + π on the stock in the direction of θ1;
- m′aer(z)g is the horizontal inertial force of the fan-shaped storage materials under seismic action;
- θ1 is the angle between the direction of the given horizontal acceleration and the midline of the sector;
- In Figure 4, certain other variables are not marked: the vertical shear stress between the stored material and the side wall τzw, gravity m′g, vertical inertia force m′aez(z)g, the horizontal shear stress τrg in the fan-shaped storage materials, the vertical pressure σz of the upper surface, the supporting force σz + dσz of the lower surface, and the horizontal shear stress τrg + dτrg of the lower surface.
- (1)
- Equilibrium equation of sector storage in a vertical direction at a depth of z.
- A1 is the sector area and can be expressed by 1/2·R2·dθ (the radian system);
- A2 is the area of contact between the sector and the side wall in the range of dz and can be expressed by Rdθdz;
- m′ is the quality of the sector-shaped stored material, which can be expressed by 1/2·ρR2·dθdz, where ρ is the density of the stored material;
- In this paper, it is assumed that the limit equilibrium state between the storage material and the side wall is reached; thus, τzw = μ0σr.
- (2)
- Horizontal sector equilibrium equation in θ1 direction.
- m′aeh⊥(z)g is the component of the horizontal inertial force of the earthquake in the direction of the sector midline (perpendicular to the side wall), which can be expressed by m′aeh(z)g·cosθ1;
- τrg = μ′σz is the horizontal shear force between the upper layer of storage and this layer. It is assumed that under the action of earthquakes, all reservoirs reach the limit equilibrium state;
- There is no shear stress between the fan-shaped storage material and the adjacent storage material;
- Prg is the horizontal force acting on the sector in the direction of θ1 + π.
- Formula (5) can be rewritten as follows:
- (3)
- Equilibrium equation of the circumferential force between the fan-shaped stored material and sidewall.
- m′aeh//(z)g is the component of the horizontal inertial force perpendicular to the direction of the sector’s midline (parallel to the side wall), which can be expressed by m′aeh(z)g·sinθ1;
- Assuming no dislocation between stored material and sidewall.
4. Horizontal Additional Stress of Sidewall under Earthquake Excitation
- (1)
- If the silo is almost rigid under the influence of horizontal seismic motion, the horizontal seismic acceleration can be assumed to have a constant distribution;
- (2)
- If the silo shows obvious shear lateral deformation characteristics, it can be assumed that the distribution of the horizontal seismic acceleration is linear;
- (3)
- If the silo shows the characteristics of bending lateral deformation, the horizontal seismic acceleration can be assumed to have a nonlinear (parabolic) distribution.
- Under the action of the vertical horizontal velocity ar(z), the horizontal pressure of the fan-shaped reservoir on the lateral wall changes from σ′r to σr under static load. It is assumed that there is still a limit equilibrium between the stored material and the side wall, so the friction force of the side wall changes from τ′zw = μ0σ′r at static load to τzw = μ0σr at static load;
- Setting σr(z,θ) = σxr(z) + Δσr(z,θ), where Δσr(z,θ1) is the horizontal additional stress of the silo wall under earthquake action. Under static load, σ′r(z) = Kσ′z(z). In addition, σr(z,θ1) = Kσ′z(z) + Δσr(z,θ1) τzw = μ0(σ′r + Δσr) = τ′zw + μ0Δσr(z,θ1).
5. The Effective Mass of Stored Materials under Earthquake Excitation
5.1. Derivation of Effective Mass Coefficient of Stored Materials
Error Analysis
5.2. Test Verifications
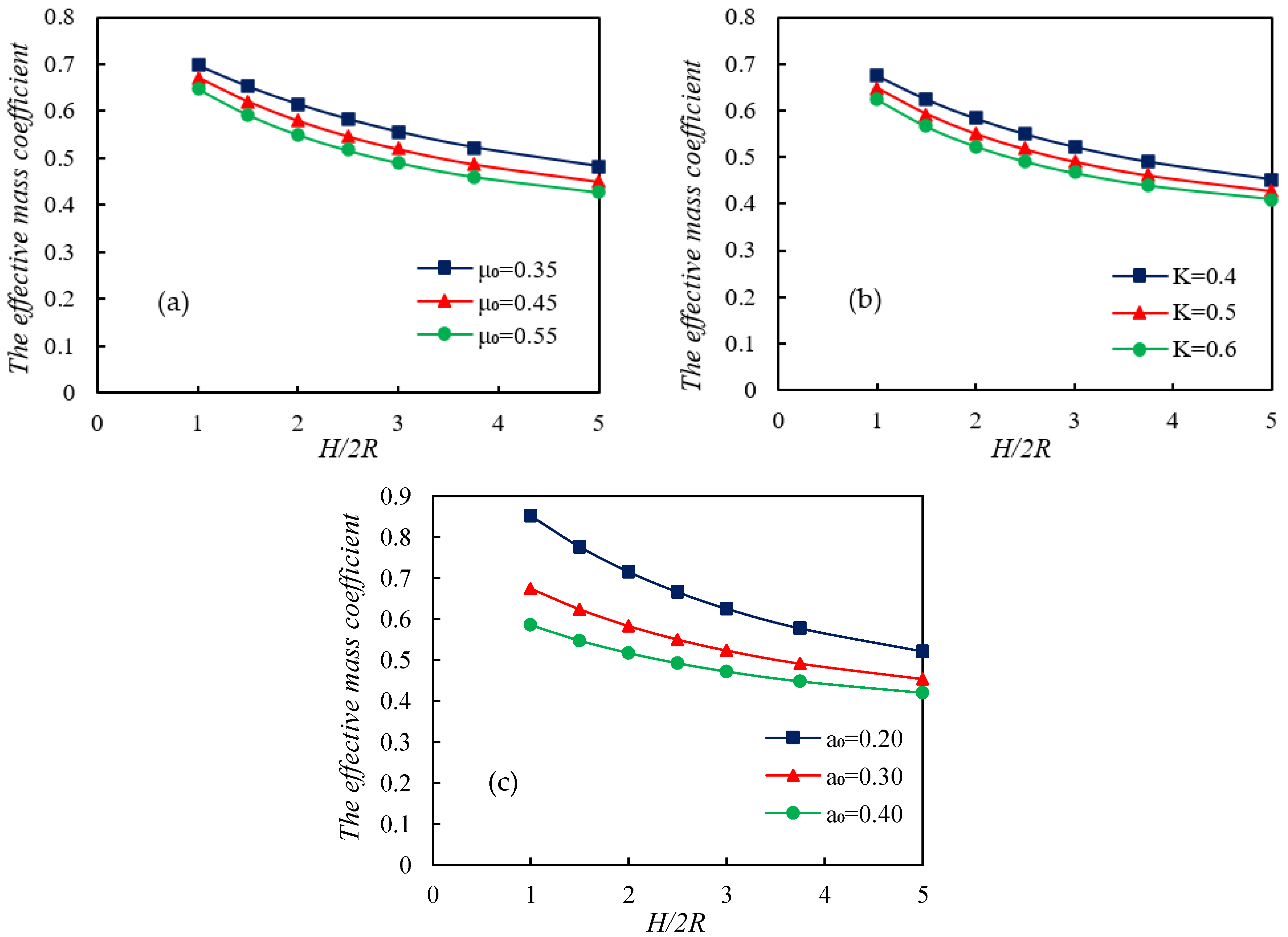
5.3. Sensitivity Analysis
6. Conclusions
- (1)
- On the basis of the Janssen continuum model, considering the seismic inertia force of stored materials and assuming that the storage itself has no energy loss, we hypothesized that the seismic energy is completely dissipated by the friction between the materials and the silo and between the materials themselves; thus, we established a dynamic equilibrium equation considering the vibration of stored materials under earthquake excitation. The dynamic equilibrium equation is a well-known Janssen formula without external force. The accuracy of the model was verified;
- (2)
- The vertical and horizontal equilibrium equations of any material storage unit and its circumferential equilibrium with the side wall were established, and the additional stresses at any point of the silo were calculated. The additional stress Δσr(z, θ) on the side wall obtained in this paper is not only related to the silo radius R, storage density ρ, internal friction coefficient μ′, lateral pressure coefficient K, and horizontal acceleration coefficient aer0, but also to the depth of the silo. That is to say, its distribution is affected by the size of the silo, the physical parameters of the storage bulk, the seismic magnitude, and changes along the height of the silo, rather than by a constant distribution;
- (3)
- On the basis of the additional stress of the sidewall and Newton’s second law, the effective mass coefficient of the actual participation of the stored material in the vibration state was deduced. It is shown that under seismic action, the effective mass coefficient of the actual participation of stored materials decreases gradually with the increase in the external friction coefficient, the lateral pressure coefficient, or the horizontal seismic acceleration, and the narrower the silo (i.e., the larger the height–diameter ratio), the lower the effective mass coefficient. Compared with the experimental data and numerical calculation data, the deviation of the results was less than 6%, which proves the validity and universality of this method;
- (4)
- On the basis of the dynamic model of the silo under earthquake action proposed in this paper, the base shear, the moment of bending, and the moment of inertia of the silo can be calculated, which will be discussed in a future paper.
Author Contributions
Funding
Institutional Review Board Statement
Informed Consent Statement
Data Availability Statement
Conflicts of Interest
References
- Guy, M.; Isabell, S.; Patrice, B.; Moisecort, M. Silo vulnerability: Structural aspect. J. Loss Prevent. Proc. 2003, 16, 165–172. [Google Scholar]
- Dogangun, A.; Karaca, Z.; Durmus, A.; Sezen, H. Cause of damage and failures in silo structures. J. Perform. Constr. Facil. ASCE 2009, 23, 65–71. [Google Scholar] [CrossRef]
- Robert, T.; Denis, M.; Rene, T. Damage to industrial structures due to the 27 February 2010 Chile earthquake. Can. J. Civil. Eng. 2013, 40, 735–749. [Google Scholar]
- Khalil, M.; Ruggieri, S.; Uva, G. Assessment of Structural Behavior, Vulnerability, and Risk of Industrial Silos: State-of-the-Art and Recent Research Trends. Appl. Sci. 2022, 12, 3006. [Google Scholar] [CrossRef]
- Mansour, S.; Pieraccini, L.; Palermo, M.; Foti, D.; Gasparini, G.; Trombetti, T.; Silvestri, S. Comprehensive Review on the Dynamic and Seismic Behavior of Flat-Bottom Cylindrical Silos Filled with Granular Material. Front. Built Environ. 2022, 7, 805014. [Google Scholar] [CrossRef]
- Zhao, Y.; Jiang, J. Vibration properties and earthquake responses of silo structures. Earthq. Eng. Eng. Vibrat. 1989, 3, 55–64. [Google Scholar]
- Sakai, M.; Matsumura, H.; Sasaki, M.; Nakamura, N.; Kobayashi, M.; Kitagawa, Y. Study on the dynamic behavior of coal silos against earthquakes. Bulk Solids Handl. 1995, 5, 1021–1026. [Google Scholar]
- Abdel-Fattah, M.T.; Moore, I.D.; Abdel-Fattah, T.T. A numerical investigation into the behavior of ground-supported concrete silos filled with saturated solids. Int. J. Solids Struct. 2006, 43, 3723–3738. [Google Scholar] [CrossRef]
- GB50077-2017; Standard for Design of Reinforced Concrete Silos. China Planning Press: Beijing, China, 2017.
- EN 1998-4; Eurocode-8: Design of Structures for Earthquake Resistance—Part 4: Silos, Tanks and Pipelines. European Committee for Standardization: Brussels, Belgium, 2006.
- Rotter, J.M.; Hull, T.S. Wall loads in squat steel silos during earthquakes. Eng. Struct. 1989, 11, 139–147. [Google Scholar] [CrossRef]
- Wagner, R.; Noh, S.Y.; Butenweg, C.; Meskouris, K. Seismic excited granular material silo. In Structural Dynamics—EURODYN 2002, Proceedings of the 4th International Conference on Structural Dynamics, Munich, Germany, 2–5 September 2002; Grundmann, H., Schueller, G.I., Eds.; CRC Press: Boca Raton, FL, USA, 2002; pp. 253–258. [Google Scholar]
- Nateghi, F.; Yakhchalian, M. Seismic behavior of reinforced concrete silos considering granular material-structure interaction. Procedia Eng. 2011, 14, 3050–3058. [Google Scholar] [CrossRef]
- Livaoglu, R.; Durmuş, A. A simplified approximation for seismic analysis of silo–bulk material system. Bull Earthq. Eng. 2016, 14, 863–887. [Google Scholar] [CrossRef]
- Chandrasekaran, A.R.; Jain, P.C. Effective Live Load of Sorted Materials under Dynamic Conditions. Indian Concr. J. 1968, 42, 364–365. [Google Scholar]
- Jaiswal, O.; Rai, D.; Jain, S. Review of seismic codes on liquid-containing tanks. Earthq. Spectra 2007, 23, 239–260. [Google Scholar] [CrossRef]
- AS 3774-1996; Standards Australia: Loads on Bulk Solids Containers. Standards Association of Australia: Homebush, NSW, Australia, 1996.
- ACI 313-97; Standard Practice for Design and Construction of Concrete Silos and Stacking Tubes for Storing Granular Materials. American Concrete Institute: Farmington Hills, MI, USA, 1997.
- Duan, J.; Han, Y.; Li, D.; Qiang, Z. Comparative study on steel concrete silos among Chinese, European and American code. J. Henan Univ. Technol. (Nat. Sci. Ed.) 2019, 40, 108–112. [Google Scholar]
- Shimamoto, A.; Kodama, M.; Yamamura, M. Shaking table tests of cylindrical coal storage silo models. In Proceedings of the Sixth Japan Earthquake Engineering Symposium, Tokyo, Japan, 15 August 1982; pp. 1249–1256. [Google Scholar]
- Yokota, H.; Sugita, M.; Mita, I. Vibration test and analysis of coal-silo model. In Proceedings of the 2nd International Conference on the Design of Silos for Strength and Flow, Stratford-upon-Avon, UK, 7–9 November 1983; pp. 107–116. [Google Scholar]
- Harris, E.C.; John, D. Experimental determination of effective weight of stored material for use in seismic design of silos. J. Am. Concr. Ins. 1985, 82, 828–833. [Google Scholar]
- Yuan, X.; Chen, D.; Chen, X. Study of the effective mass of storage materials in tube-supported silos. Spat. Struct. 2000, 17, 37–39. [Google Scholar]
- Huang, Y.; Yin, G. Silo’s dynamic response when considering the interaction between bulk solid and silo wall. Spat. Struct. 2002, 17, 3–9. [Google Scholar]
- Silvestri, S.; Gasparini, G.; Trombetti, T.; Foti, D. On the evaluation of the horizontal forces produced by grain-like material inside silos during earthquakes. Bull. Earthq. Eng. 2012, 10, 1535–1560. [Google Scholar] [CrossRef]
- Pieraccini, L.; Silvestri, S.; Trombetti, T. Refinements to the Silvestri’s theory for the evaluation of the seismic actions in flat-bottom silos containing grain-like material. Bull. Earthq. Eng. 2015, 13, 3493–3526. [Google Scholar] [CrossRef]
- Janssen, H.A. Experiments about pressures of grain in silos. Z. Ver. Dtsch. Ing. 1895, 39, 1045–1049. [Google Scholar]
- Koenen, M. Berechnung des seiten und bodendrucks in silozellen. Cent. Bauverwalt. 1896, 16, 446–449. [Google Scholar]
- Silvestri, S.; Ivorra, S.; Chiacchio, L. Shaking-table tests of flat-bottom circular silos containing grain-like material. Earthq. Eng. Struct. Dyn. 2016, 45, 69–89. [Google Scholar] [CrossRef]
- Silvestri, S.; Mansour, S.; Marra, M.; Distl, J.; Furinghetti, M.; Lanese, I.; Hernández-Montes, E.; Neri, C.; Palermo, M.; Pavese, A.; et al. Shaking table tests of a full-scale flat-bottom manufactured steel silo filled with wheat: Main results on the fixed-base configuration. Earthq. Eng. Struct. Dyn. 2021, 51, 169–190. [Google Scholar] [CrossRef]
- Xu, Q.; Zhang, H.; Liu, Q.; Wang, L. Seismic analysis on reinforced concrete group silos through shaking table tests. Struct. Concr. 2020, 22, 1285–1296. [Google Scholar] [CrossRef]
- Jing, H.; Chen, H.; Yang, J. Shaking table tests on a small-scale steel cylindrical silo model in different filling conditions. Structures 2022, 37, 698–708. [Google Scholar] [CrossRef]
- Yang, J.; Jing, H.; Li, P. Dynamic characteristics and viscous dampers design for pile-soil-structure system. Struct. Des. Tall Spéc. Build. 2020, 29, 1785. [Google Scholar] [CrossRef]
- Jing, H.; Wang, X.; Yang, J.; Chen, H. Static and seismic pressure of cylindrical steel silo model with granular materials. J. Concr. Steel Res. 2022, 198, 107515. [Google Scholar] [CrossRef]
- Olshanskyi, V.; Kharchenko, S.; Kharchenko, F.; Kovalyshyn, S.; Shchur, T.; Gabriel, Y.; Bałdowska-Witos, P.; Tomporowski, A.; Kasner, R. About Calculation and Forecast of Temperature in the Layer Cell of Self-Heating of Raw Materials in a Silo. Sustainability 2022, 14, 14362. [Google Scholar] [CrossRef]
- Li, F.J.; Shi, T.Y.; Cao, Y.; Wu, Y.; Tian, L. The current situation and development of grain storage technologies and facilities for Chinese farmers. J. Food Sci. Eng. 2016, 6, 260–266. [Google Scholar]
- Yang, J.; Lu, Z.; Li, P. Large-scale shaking table test on tall buildings with viscous dampers considering pile-soil-structure interaction. Eng. Struct. 2020, 220, 110960. [Google Scholar] [CrossRef]
- Lee, C.-B.; Lee, J.-H. Nonlinear Dynamic Response of a Concrete Rectangular Liquid Storage Tank on Rigid Soil Subjected to Three-Directional Ground Motion. Appl. Sci. 2021, 11, 4688. [Google Scholar] [CrossRef]
- Xu, Z.; Liang, P. Modified lateral pressure formula of shallow and circular silo considering the elasticities of silo wall and storage materials. Sci. Rep. 2022, 12, 7069. [Google Scholar] [CrossRef] [PubMed]
- Guo, K.; Zhou, C.; Meng, L. Seismic vulnerability assessment of reinforced concrete silo considering granular material-structure interaction. Struct. Des. Tall Spec. Build. 2016, 25, 1011–1030. [Google Scholar] [CrossRef]
- Ding, Y.G.; Luo, Q.; Xu, Q.K. Experimental study on lateral pressure of column-supported silo under earthquake. World Earthq. Eng. 2021, 37, 119–128. [Google Scholar]








| Acceleration | Horizontal Acceleration | |
|---|---|---|
| Express Form | ||
| Vertical Acceleration | aez(z) = aez0 | |
| Linear Function | aez(z) = aez0 + aez1(H − z) | |
| Nonlinear Function | aez(z) = aez0 + aez1(H − z) + aez2 (H − z)2 | |
| Wheat Variety | Density/(g·L−1) | Water Content/% | Internal Friction Angle/(°) | External Friction Angle/(°) |
|---|---|---|---|---|
| Henan wheat | 804.00 | 8.69 | 25.00 | 21.80 |
| Grain Height (mm) | Friction Coefficient μ0 | Lateral Pressure Coefficients K | Horizontal Seismic Acceleration Coefficient aer0 |
|---|---|---|---|
| 1600 | 0.50 | 0.41 | 0.15; 0.285 |
| Comparison of Parameters | Friction Coefficient μ0 | Lateral Pressure Coefficients K | Horizontal Seismic Acceleration Coefficient aer0 |
|---|---|---|---|
| No. 1 | 0.35; 0.45; 0.55 | 0.40 | 0.30 |
| No. 2 | 0.45 | 0.40; 0.50; 0.6 | 0.30 |
| No. 3 | 0.45 | 0.40 | 0.30; 0.40; 0.50 |
Disclaimer/Publisher’s Note: The statements, opinions and data contained in all publications are solely those of the individual author(s) and contributor(s) and not of MDPI and/or the editor(s). MDPI and/or the editor(s) disclaim responsibility for any injury to people or property resulting from any ideas, methods, instructions or products referred to in the content. |
© 2023 by the authors. Licensee MDPI, Basel, Switzerland. This article is an open access article distributed under the terms and conditions of the Creative Commons Attribution (CC BY) license (https://creativecommons.org/licenses/by/4.0/).
Share and Cite
Duan, J.; Han, Y.; Li, D. The Dynamic Behavior of Silos with Grain-like Material during Earthquakes. Sustainability 2023, 15, 7970. https://doi.org/10.3390/su15107970
Duan J, Han Y, Li D. The Dynamic Behavior of Silos with Grain-like Material during Earthquakes. Sustainability. 2023; 15(10):7970. https://doi.org/10.3390/su15107970
Chicago/Turabian StyleDuan, Junfeng, Yang Han, and Dongqiao Li. 2023. "The Dynamic Behavior of Silos with Grain-like Material during Earthquakes" Sustainability 15, no. 10: 7970. https://doi.org/10.3390/su15107970
APA StyleDuan, J., Han, Y., & Li, D. (2023). The Dynamic Behavior of Silos with Grain-like Material during Earthquakes. Sustainability, 15(10), 7970. https://doi.org/10.3390/su15107970
