Next Article in Journal
Managerial Myopia and Long-Term Investment: Evidence from China
Next Article in Special Issue
A Fractal Dimension Feature Model for Accurate 4D Flight-Trajectory Prediction
Previous Article in Journal
A Methodology to Estimate Functional Vulnerability Using Floating Car Data
Previous Article in Special Issue
Optimal Vertiport Airspace and Approach Control Strategy for Urban Air Mobility (UAM)
 
 
Font Type:
Arial Georgia Verdana
Font Size:
Aa Aa Aa
Line Spacing:
Column Width:
Background:
Article

Method of Vertiport Capacity Assessment Based on Queuing Theory of Unmanned Aerial Vehicles

College of Civil Aviation, Nanjing University of Aeronautics and Astronautics, Nanjing 211106, China
*
Author to whom correspondence should be addressed.
Sustainability 2023, 15(1), 709; https://doi.org/10.3390/su15010709
Submission received: 22 November 2022 / Revised: 19 December 2022 / Accepted: 27 December 2022 / Published: 30 December 2022
(This article belongs to the Special Issue Airspace System Planning and Management)

Abstract

:
Urban air traffic has gradually attracted attention in recent years, which will bring endless vitality to future urban development. An objective and accurate method of assessing vertiport capacity is the basis for the air traffic flow management of UAVs, which plays an important role in improving the efficiency of urban airspace resources. First of all, this paper establishes a theoretical capacity calculation model for ground facilities such as takeoff and landing platforms, taxiways and aprons, respectively. Next, this paper analyzes the service characteristics of each ground facility and establishes different types of UAV queuing systems to obtain UAV delay curves based on a UAV Poisson flow arrival model. Subsequently, a suitable acceptable delay level is selected to obtain the corresponding UAV flow, which means the actual capacity of UAV operations. Eventually, the validity of the model is verified through actual drone data arithmetic examples. The calculation results show that the combination of “1 landing + 2 takeoffs” can achieve better capacity results and that the landing platform is more prone to congestion than the takeoff platform. Change in average service time has the greatest impact on the apron capacity, and the takeoff platform is the most sensitive to changes in the acceptable delay level.

1. Introduction

With the rapid development of UAV-related technologies, the concept of urban air traffic has gradually aroused people’s attention. As a new transportation mode, urban air traffic can bring endless vitality to the future of urban development. As a typical representative of vertical takeoff and landing aircraft, UAVs have a broad prospect of application in the field of logistics and distribution for the “last mile” of transport in cities. Research on the capacity assessment of vertiports for UAVs, the analysis of design for various vertiport operation modes and the establishment of vertiport capacity assessment models for urban logistics UAVs can lay the foundation for the intelligent regulation and control of UAV traffic, which can help to build a complete UAV transportation system in order to improve UAV operation efficiency and ensure the safe and efficient operation of UAVs.
Among low-altitude-transportation-related studies, Rohacs [1] summarized general aviation transportation concepts such as Personal Air Transport System (PATS), Small Aircraft Transport System (SATS), etc. Parker [2] noted that NASA started to study the new airborne urban mobility (UAM) concept, namely On-Demand Air Mobility (ODM). NASA, UAB and Airbus have been exploring the operation and control of vertical takeoff and landing aircraft for urban air transportation [2,3,4,5,6,7]. Holden et al. discussed the overall concept of UAM and described typical urban areas, showing potential vertiport locations in urban areas [5].
In terms of airport capacity assessment, the main research in the traditional civil aviation field includes runway capacity assessment, taxiway capacity assessment, terminal building capacity assessment, etc. At present, most classic civil aviation airport capacity assessment methods can be divided into four types, including computer-based simulation models, radar simulators based on controller workload, historical statistical data analysis and mathematical model-based assessment methods:

1.1. Capacity Assessment Method Based on Mathematical Modeling

The earliest development of capacity assessment methods based on mathematical modeling originated from the simulation of flight arrival flow models using a Poisson distribution [8], which assumed a certain value of runway service time for each arriving flight, considered that there is always a deviation in the actual arrival time of aircraft and used this model to estimate the average delay time of landing aircraft. Subsequently, the effects of runway occupancy time, aircraft arrival interval and final arrival route length on airport capacity were analyzed based on the concept of ultimate capacity (ultimate capacity) [9].

1.2. Capacity Assessment Method Based on Historical Data

The method of assessing airport operational capacity based on historical data mining can also be referred to as airport historical peak service sortie assessment [10]. The application of this method requires high data quality. Data collection, cleaning and feature selection directly affects the accuracy of the assessment results [11]. The method of assessing airport operational capacity by mining historical airport operational data is applicable to busy airports; the number of aircraft movements during peak hours is considered to reflect the actual service capacity of the airport and is close to the airport capacity.

1.3. Capacity Assessment Method Based on Control Work Load

Control work load (CWL) can be defined as the objective task demands placed on controllers by the flight of aircraft in the airspace, resulting in physical and mental stress on controllers to meet these demands. This is relieved by consuming time to relieve the pressure and fulfill the objective task requirements, and the length of this time consumption is the size of the controller’s work load [12]. Controller workload assessment methods can be distinguished according to subjective and objective aspects, among which the DORATASK method and MBB method are more commonly used [13]. In recent years, some scholars have started to incorporate network flow theory into airspace capacity assessment methods based on controller workload, using the “maximum flow–minimum cut” theorem to solve for terminal area capacity [14].

1.4. Computer-Simulation-Based Capacity Assessment Methods

Computer-simulation-based airspace capacity assessment methods are implemented through computer technology to model the airspace and operational structure of airports while taking into account aircraft operation rules, field infrastructure, controller behavior and other factors. The method can solve complex airport capacity assessment problems and make up for the shortcomings of mathematical modeling methods that rely on assumptions and simplification problems [15]. Currently, the more mature airspace capacity assessment and analysis software includes SIMMOD, TAAM, RAMS and AIRTOP [16], all of which are microscopic, dynamic and comprehensive airport simulation software that can simulate aircraft operations over various parts of the airspace and airport.
However, not all of the four methods mentioned above are applicable to the capacity assessment of vertiports for logistics drones. As the concept of urban air traffic has only recently emerged, the operational systems and related methods have not yet been perfected and there is a lack of large amounts of actual operational data, which means the assessment methods based on historical statistical data analysis cannot be used. As the future urban air traffic model is one in which a large number of drones operate autonomously, the controller does not directly issue takeoff or landing instructions in the actual operation process, so the capacity of the vertiport is independent of the work compliance of the controllers. This leads to the fact that evaluation methods based on mathematical models and computer simulation should be the main way to study vertiports for UAVs.
In recent years, scholars from various countries have started to study and discuss the evaluation methods of vertiports for UAVs while analyzing the effects of different apron configurations, arrival and departure procedures and flight flow rates at each corridor entrance on the capacity of vertiports. Parker et al. reviewed existing heliport designs, summarized four topological types of vertical airport layouts, explored the envelope of the theoretical capacity of vertiports and conducted an analysis of the topological structure and operational factors, including the number and layout of landing and takeoff pads, taxiways, gates and parking pads (i.e., vertical port topology) [17].
Nelson et al. calculated urban air traffic vertiport capacity and throughput while evaluating and comparing them based on a first-come-first-served vertical takeoff and landing scheduling algorithm [18]. The results show that the first-come-first-served scheduling method is relatively inefficient in terms of the use of vertical transport resources. Maheshwari et al. discussed the impact of ground traffic congestion on the UAM vertiport’s location and size from a community perspective, as well as the impact that airport topology and operating conditions bring to actual operations [19]. Karolin et al. proposed a new airport capacity evaluation concept [20] to predict and evaluate the airside traffic flow performance of the vertiport under the specific needs of passengers, UAV operators and vertiport operators. Kleinbekman et al. studied the throughput of a vertiport with dual landing platforms by proposing a new airspace design for the terminal area of the vertical airport and a scheduling algorithm with path-selection capability [21]. The results show that the delay time of each UAV is expected to be about 50 s during peak commuting hours, while the delay time is expected to be less than 10 s during off-peak hours. However, urban air traffic has not yet been practically applied on a large scale and lacks the support of a large-scale simulation platform for UAM vertiport operations. The above conclusions regarding theoretical capacity do not consider UAM delay scenarios and need further refinement.
To address the above problems, this paper firstly analyzes the influence of different UAV operation modes and ground layout structures, respectively, for landing platforms, taxiways and aprons, and establishes a theoretical capacity calculation model for each facility. Secondly, using the UAV Poisson flow arrival model, our research analyzes the service characteristics of each ground facility and establishes different types of queuing systems, after which a UAV delay curve can be obtained. Then, a suitable acceptable delay level is selected and the corresponding UAV flow is found on the delay curve as the actual capacity of UAV operation. Finally, the validity of the model is verified through actual UAV data arithmetic examples. At the same time, the advantages and disadvantages of each operation mode and set of layout characteristics are analyzed based on the calculation results, thus providing a scientific decision-making basis for the planning, deployment and operation management of vertiports.

2. Description

The definition of a vertiport is “an area for landing, takeoff and taxiing of UAVs with vertical takeoff and landing capability”. The structure of a vertiport includes a landing platform, taxiway, apron and hangar. As shown in Figure 1, the UAV descends from the nearby airspace to the terminal area of the vertiport and lands on the platform through vertical takeoff and landing operations. According to its own performance (whether it has taxiing function), it chooses to taxi autonomously or is carried to the apron by a taxi truck. In the apron turnaround area, staff or automated equipment perform operations such as cargo loading and unloading, equipment testing, etc. If special operations such as charging and reworking are required, they are transported to the hangar for completion. When the drone completes the apron turnaround, it will apply for takeoff, move to the takeoff platform via the taxiway and take off vertically from the landing strip to complete the next section of its mission.
The capacity of a vertiport represents its ability to provide services for UAVs—specifically, the maximum number of UAV takeoffs and landings per unit of time under a specific airspace structure, UAV takeoff and landing procedures, safety interval requirements and other system conditions—while taking into account the influence of human factors, UAV reliability and other variable circumstances.
The capacity of a vertiport can be divided into theoretical and actual capacity. Theoretical capacity is defined as the maximum number of sorties that can be serviced by a vertiport per unit time with a continuous presence of takeoff and landing requests from drones. Actual capacity is defined as the maximum number of service sorties per unit time that a vertiport can provide for drones within a certain acceptable level of delay.
The difference between the theoretical capacity and the actual capacity is whether the delay time of the UAV is taken into account. The theoretical capacity reflects the maximum service capacity of the vertiport when it is operating at full capacity without taking into account the waiting time after a request is made by the UAV and the congestion of the whole system. In practice, the hovering endurance, delay level and congestion of the UAVs are important factors affecting the service capacity of the vertiport, so the actual capacity of the vertiport is more informative at a suitable acceptable delay level.
In this paper, a theoretical capacity calculation method for vertiports is obtained by establishing the UAV operation model of each ground structure. On this basis, the ground structure of the vertiport is analyzed and an evaluation model of the actual capacity of the vertiport is established by using the UAV queuing system.

3. Theoretical Capacity

3.1. Landing Platform

The capacity of a single takeoff and landing platform can be expressed as the number of consecutive service UAV takeoffs and landings per unit time without considering platform idleness, as in Equation (1).
C p = T   u n i t T p ¯
where C p is the capacity of the landing platform; T p ¯ is the average service time of the landing platform for the UAV; and T u n i t is the unit time. The size of T p ¯ depends on the flight parameters of each type of UAV, the safety interval, the occupancy time of the platform and the operation mode of the landing platform, etc. In this paper, we analyze the continuous arrival, continuous takeoff and mixed arrival/takeoff operation scenarios of the landing platform, respectively.

3.1.1. Continuous Arrival Operation

In the case of a continuous stream of UAV arrivals, according to the frequency of the different UAV models and their sequential relationship, the average service time for the arrival of the landing platform can be expressed as follows:
T p a ¯ = u 1 U u 2 U P u 1 u 2 T u 1 u 2 a
where U is the set of all UAV types; u 1 , u 2 is any two types of UAV in the set; and P u 1 u 2 is the probability of the appearance of the UAV pair with type u 1 as the front and type u 2 as the rear among consecutively arriving UAVs. Since the distribution of the appearance of each type of UAV in actual operation is independent of other UAVs, then we have P u 1 u 2 = P u 1 P u 2 .
T u 1 u 2 a is the time interval between the use of the landing platform for safety when pairs of UAVs of type u 1 front and type u 2 rear are present, and is calculated as the greater of the time occupied by the landing of the front UAV and the time interval created to ensure safe separation between the UAVs:
T u 1 u 2 a = max ( t u 1 a , t u 1 u 2 a )
where t u 1 a is the platform occupancy time of the preceding UAV and t u 1 u 2 a is the time interval to ensure safe separation between the UAVs. The calculation of t u 1 u 2 a is discussed in terms of the final descent speed of the preceding and following one in the UAV pair.
When the forward descent rate v u 1 a is greater than the backward descent v u 2 a rate, the distance between the UAVs gradually increases as they descend, so that only the initial distance between the UAVs needs to be kept greater than the safety interval throughout the final descent leg, as in Figure 2. The time interval set for safety at this point is:
t u 1 u 2 a = D u 1 u 2 a v u 2 a
where D u 1 u 2 a is the safety interval between UAV u 1 and UAV u 2 during descent.
When the rate of descent of the former UAV v u 1 a is smaller than the rate of descent of the latter UAV v u 2 a , the drone pairs show a tendency to catch up and the distance between the drones gradually shrinks with the descent process. In order to ensure that, for the entire descent process of the drone, spacing is greater than the safety interval D u 1 u 2 a , it needs to be grounded from the former state backwards to the final descent section entrance of the drone interval D u 1 u 2 a . As shown in Figure 2, The relationship (5) can be obtained based on the fact that the movement times of the drones before and after are the same.
H D u 1 u 2 a v u 1 a = H D u 1 u 2 a v u 2 a
where H is the altitude of the whole descent route. From the equation above we get:
D u 1 u 2 a = H H D u 1 u 2 a v u 1 a v u 2 a
Combining the above equations provides the time interval to be configured at the entrance to the final descent leg as:
t u 1 u 2 a = D u 1 u 2 a v u 1 a = D u 1 u 2 a v u 2 a + H v u 1 a H v u 2 a
In summary, the average service time of the landing platform in the case of continuous UAV arrivals can be expressed in terms of the relationship between front and rear UAV speed as:
t u 1 u 2 a = D u 1 u 2 a v u 2 a ,   v u 1 a > v u 2 a D u 1 u 2 a v u 2 a + H v u 1 a H v u 2 a ,   v u 1 a v u 2 a

3.1.2. Continuous Takeoff Operation

The capacity of the takeoff and landing platform under continuous takeoff and departure UAV operating conditions is similar to the continuous arrival case. The difference is that, in general, the speed of the rear UAV just off the ground is less than the speed of the front UAV, so the analysis is relatively simple. The average service time of the takeoff and landing platform can be expressed as:
T p d ¯ = u 1 U u 2 U P u 1 u 2 T u 1 u 2 d
where T u 1 u 2 d is the time interval between takeoff and landing on the platform used for ensuring safety, which is calculated by taking the greater of the takeoff occupancy time of the previous UAV and the time interval created to ensure safe intervals between UAVs:
T u 1 u 2 d = max ( t u 1 d , t u 1 u 2 d )
t u 1 u 2 d = D u 1 u 2 d v u 2 d
where t u 1 d is the platform occupancy time of the front UAV u 1 ; t u 1 u 2 d is the time interval to ensure the safety interval D u 1 u 2 d of the UAV; and v u 2 d is the departure speed of the rear UAV.

3.1.3. Mixed Arrival/Departure Operation

The mixed arrival/departure operation of a single takeoff and landing platform is relatively complex due to the interaction between the arrival and departure UAV flows, at which time the capacity of the takeoff and landing platform should be divided into arrival capacity and departure capacity:
C p = C p a + C p d
where C p is the mixed operating capacity of a single takeoff and landing platform; C p a is the arrival capacity; and C p d is the takeoff capacity.
In absolute terms, the relationship between arrival capacity and takeoff capacity in the mixed capacity is not fixed, and it depends on the relationship between the number of incoming and outgoing UAVs under the current operation situation and the control strategy for UAVs in high-traffic conditions. Usually, the safety interval required for UAV landing is larger and the average service time of the landing platform is longer. In order to make the UAV arrival/departure operation more orderly, drawing on the single-runway mixed-operation rules of civil aviation, a departure UAV can be inserted between two adjacent arrival UAVs as shown in Figure 3.
The relationship between arrival capacity C p a and takeoff capacity C p d can be expressed by inserting the number of takeoff drones as:
C p d = k C p a
Combining with Equation (12) provides:
C p = ( k + 1 ) C p a
The calculation of the mixed UAV arrival/departure operating capacity can then be translated into a continuous arrival capacity, for which the required configuration time interval may increase for two adjacent arriving UAVs.
T u 1 u 2 a = max ( t u 1 u 2 a , t u 1 a + k T p d )

3.2. Taxiway

Taxiways are used to connect the landing platform with the apron. In actual operations, the taxiway capacity should be much larger than the capacity of the landing platform and the apron in order to ensure operational efficiency, and the limit capacity of a taxiway is discussed below.

3.2.1. One-Way Taxiway

The one-way taxiway only allows UAVs to taxi in a fixed direction, which means the taxiway operating characteristics are similar to those of a surface road. The transport capacity of a one-way taxiway can be expressed as the ratio of average UAV speed to average spacing.
C t = T u n i t v ¯ d ¯
d ¯ = u 2 U u 1 U P u 1 u 2 d u 1 u 2
v ¯ = u U P u v u
where d u 1 u 2 is the nose distance between the front and rear UAV; P u 1 u 2 is the probability of appearance of the UAV pair with the front UAV u 1 and the rear UAV u 2 ; v u is the ground glide speed of the UAV; and P u is the probability of appearance of the UAV.

3.2.2. Two-Way Taxiway

Two-way taxiways allow drones to taxi in different directions. However, only single-direction taxiing is allowed during uniform hours to avoid conflicts and congestion. Several consecutive UAVs in the same direction on a two-way taxiway can form a unit and only when that UAV group is completely removed from the taxiway can a UAV group from the other direction enter the taxiway. Therefore, the time that a group of same-directional units containing one UAV occupies the taxiway can be calculated as:
T t = L t + ( n u 1 ) d ¯ + D v ¯
where L t is the taxiway length; d ¯ is the average UAV spacing; v ¯ is the average UAV taxiing speed; and D u is the last UAV size, which can be weighted by the probability of occurrence of each UAV while considering different tail UAV types:
D = u U P u D u
From this, the number of possible UAV groups per unit time can be denoted by T u n i t / T t . The bidirectional taxiway capacity is:
C t = n u T u n i t T t = n u T u n i t v ¯ L t + ( n u 1 ) d ¯ + D u

3.2.3. Taxiway Intersection

The operational characteristics of the taxiway intersection are similar to those of a two-way taxiway. When one group of UAVs occupies the intersection, the group of UAVs on the other taxiway cannot enter the intersection area with length L c , from which the taxiway intersection capacity can be obtained as:
C t = n u T u n i t v ¯ L c + ( n 1 ) d ¯ + D u

3.3. Aprons

Assuming that all types of UAVs can be served by the apron in the vertiport, the maximum number of UAVs that can be served by the apron system per unit time under continuous service requests depends on the size and type of UAV, the number of aprons, etc., and is expressed as follows:
C g = n g T u n i t T g ¯
T g ¯ = u U P u T u g
where C g is the apron capacity; T g ¯ is the average apron occupancy time; n g is the number of aprons; T u g is the apron occupancy time of a certain type of UAV; and P u is the probability of the occurrence of that type of UAV.

4. Actual Capacity

4.1. Unmanned Queuing Systems

Analysis of the operational characteristics of the vertiport shows that UAV arrival and departure behavior is a discrete event with some uncertainty. At the same time, landing time and takeoff time are random and independent of each other for each UAV, obeying a negative exponential distribution, which means the arrival and departure of the UAV are Poisson flows [8]. Therefore, the queueing theory model can be established separately for different ground facilities according to different operation modes, as shown in Figure 4.
To simplify the model and facilitate faster capacity results, it is assumed that:
(1)
The taxiway serves as a medium to connect the arrival/departure queuing system to the ground queuing system, and has a greater service capacity than the landing platform and apron.
(2)
The spacing between landing and takeoff platforms meets the safety requirements for the arrival and departure of drones, and there is no need to configure drone spacing when adjacent landing and takeoff platforms are operating at the same time.
(3)
The airspace above the landing platform has enough space for UAVs to queue.
(4)
The queuing system adopts the rule of “first come, first serve”, regardless of the priority of UAV.
(5)
The UAV will leave immediately after completing the turnover and will no longer occupy the apron.
The process of receiving services at a vertiport for UAVs can therefore be divided into three queuing systems:
  • Arrival queuing system.
  • Ground-level queuing system.
  • Departure queuing system
Among them, the UAV arrival traffic is used as the input intensity λ for each queuing system; the average number of service sorties per unit time for each system is the service intensity μ ; and the average system queuing time is the average delay time W for the UAV.
If λ > μ , it means that the arrival intensity is greater than the service intensity; i.e., the number of arriving UAVs per unit of time is always more than those that complete the service and leave, and the queuing system will never reach a stable state. Meanwhile, the queue will get longer and longer, causing large delays which fail to meet the requirements of UAV operation. On the contrary, if λ < μ , it means the queuing system can reach a stable state, and the main analysis at this point is the capacity of each queuing system in the vertiport under a certain waiting (delay) level.

4.1.1. Arrival Queuing System

For the landing platform (queuing system with serial number 4.1.a), the flow of UAV arrivals can be considered infinite, which means there are sufficient UAVs in the airspace ready to land. The number of UAV arrivals per unit time—namely, the input intensity—is λ 1 . The average time taken to land for a UAV is T u n i t / μ 1 = T p ¯ ; namely, the service intensity is μ 1 .
The UAV queuing system with a single landing platform is served according to the first-come-first-served rule. When the UAV arrives at the terminal area of the landing field, if the landing platform is already occupied, it queues up, waits and considers the waiting airspace to be unbounded. Its system conforms to the single service platform queuing model in queuing theory, which can be expressed as M/M/1/∞/∞ (abbreviated as M/M/1); the transfer relationship of each state is shown in Figure 3.
When analyzing the queuing state of drones in the terminal area, the probability P n 1 ( t ) that the state of the system at any given moment t in a steady-state is (indicating the presence of n drones in the system) required, where the probability in a steady-state is independent of time. Additionally, the probability of the state n of the system is P n 1 .
For a stable system, the input rate for each state should be equal to the output rate. As in Figure 3, the transfer rate for the number of drones shifting from 0 to 1 is λ 1 P 0 1 . Conversely, the transfer rate for the number of drones shifting from 1 to 0 is μ 1 P 1 1 . For state 0, there is the equilibrium equation:
λ 1 P 0 1 = μ 1 P 0 1
Similarly, for the system state n > 0 , there is the equilibrium equation:
λ 1 P n 1 1 + μ 1 P n + 1 1 = ( λ 1 + μ 1 ) P n 1
From Equations (24) and (25), it follows that:
P n 1 = λ 1 μ 1 n P 0 1
According to the normalization of probabilities in each state, we have n = 0 P n 1 = 1 ; in other words, P 0 1 + n = 1 P n 1 = 1 , thus:
P 0 1 = 1 1 + n = 1 λ 1 μ 1 n = 1 n = 0 λ 1 μ 1 n = 1 λ 1 μ 1
P n 1 = 1 λ 1 μ 1 λ 1 μ 1 n , n = 0 , 1 , 2 ,
In Equation (28), let ρ 1 = λ 1 / μ 1 ,which means the ratio of the average arrival speed of UAVs to the average service speed of the landing platform. When n = 0 , P 0 1 = ( 1 ρ 1 ) , indicating that the system is idle; in other words, the landing platform is not occupied by UAVs. Conversely, n = 1 P n 1 = 1 P 0 1 = ρ 1 indicates that there is at least one UAV in the queue system and the landing platform is busy; thus, ρ 1 also represents the average utilization of the landing platform.
Based on Equation (28), the average number of UAVs in the arrival queue system can be further derived as:
L s 1 = n = 0 n P n 1 = n = 0 n 1 ρ 1 ρ 1 n = ρ 1 1 ρ 1 = λ 1 μ 1 λ 1
From this, the average drone arrival time can be calculated as W s 1 :
W s 1 = L s 1 λ 1 = 1 μ 1 λ 1
where W s 1 is the average arrival time for drones; L s 1 is the number of drones (average length of the line); and λ 1 is the average inflow rate.
The arrival time of a drone can be divided into two parts, the queuing time and the landing time, so the average queuing (delay) time of a drone can be expressed as:
W q 1 = W s 1 1 μ 1 = λ 1 μ 1 ( μ 1 λ 1 )
where W q 1 is the average queuing (delay) time for drones and 1 / μ 1 is the average landing time for drones (average service time).

4.1.2. Ground Queuing System

For the vertiport ground apron (queuing system with serial number 4.1.b), the UAVs are still in Poisson flow on the taxiway. The landing UAVs move from the taxiway to each apron, find a free apron and slide in to complete the turnaround tasks such as loading and unloading cargo, etc. If all aprons are occupied, they need to wait in line and follow the first-come-first-served rule. Therefore, the vertiport apron is in line with the single-queue multi-service desk queuing system characteristics in queuing theory—which can be expressed as M/M/c/∞/∞—and, according to the equilibrium state, can be derived from the state probability:
P 0 2 = n = 0 c g 1 1 n ! λ 2 μ 2 n + λ 2 μ 2 c g ! 1 λ 2 c g μ 2 1
P n 2 = 1 n ! λ 2 μ 2 n P 0 2 ,   1 n < c g 1 c 2 ! c 2 n c 2 λ 2 μ 2 n P 0 2 , n c g
where c g is the number of aprons in the vertiport; P 0 2 represents the probability that the apron is completely empty, namely, all aprons are available; and P n 2 represents the probability that there are n UAVs in the apron system. When n < c g , it means that the apron system is not saturated and there are still empty aprons to be used. When n c g , the apron system is saturated and UAVs need to queue to enter, resulting in delays.
Furthermore, the number of drones in the ramp queuing system (average captain) and the average waiting (delay) time are:
L s 2 = n = c g ( n c g ) P n 2 = ρ 2 ( c g ρ 2 ) c g c g ! ( 1 ρ 2 ) 2 P 0 2 + μ 2 λ 2
W q 2 = L s 2 μ 2 λ 2 λ 2
where ρ 2 = λ 2 / c g μ 2 denotes the average ramp occupancy, or the average number of drones accepted per ramp; c g ρ 2 = λ 2 / μ 2 denotes the average number of drones parked on the ground at a vertiport; and W q denotes the average waiting (delay) time for drones.

4.1.3. Departure Queuing System

For the takeoff platform (queuing system with serial number 4.1.c), each UAV completes its turnaround on the apron and then randomly requests a takeoff departure with the request times obeying an independent and identical negative exponential distribution; thus, the departing UAVs are also in Poisson flow. If the takeoff platform is free, the UAV requests takeoff to leave the apron and slides into the platform via the taxiway to perform the takeoff task. Conversely, if the takeoff platform is already occupied, the UAV waits in place, which leads to delays, and takes off sequentially according to the first-come-first-served principle. The number of aprons is the maximum number of UAV takeoffs within the queue.
The takeoff platform is, therefore, an M/M/1/N/∞ queuing system where the probability of each state at stability is:
P n 3 = λ 3 μ 3 n P 0 3 = 1 ρ 3 1 ρ 3 c g + 1 ρ 3 n , 0 n c g
where P n 3 is the probability of n UAVs being sortied in the takeoff platform queuing system and P 0 3 is the probability of an idle takeoff platform. However, ρ 3 = λ 3 / μ 3 does not represent the average takeoff platform utilization due to the limited queuing space.
Further, the operational indicators in the takeoff queuing system are as follows:
L s 3 = n = 0 N n P n 3 = ρ 3 1 ρ 3 ( c g + 1 ) ρ 3 c g + 1 1 ρ 3 c g + 1
W q 3 = L s 3 μ 3 ( 1 P 0 3 ) 1 μ 3
where L s 3 is the number of drones (average captain) and W q 3 is the average waiting (delay) time.

4.2. Capacity Solutions

Using the equation for the average delay time of drones versus the average arrival traffic in each of the above queuing systems, a function curve is drawn which is shown in Figure 5.
According to the different UAV operation policies, the maximum accepted UAV queuing time T max for each queuing system is determined and the UAV arrival flow λ max corresponding to that UAV queuing time is found on the delay curve, which denotes the operating capacity of that queuing system.
In the vertiport, the whole process of UAV operation is connected by three types of queuing systems in sequence. The takeoff and landing platform and the apron can be regarded as the network nodes of UAV operation, and the operating capacity of each queuing system represents the capacity of the nodes, as shown in Figure 6.
According to network flow theory [14], the minimum value of the capacity of each node is the flow bottleneck of the system; in other words, it is the overall operational capacity of the entire vertiport.
C = min λ max 1 , λ max 2 , λ max 3
where C is the vertiport operating capacity and λ max 1 , λ max 2 , λ max 3 is the capacity of each queuing system, respectively.

5. Analysis of Algorithms

5.1. Basic Parameter Settings

Typical civilian UAV models were selected and parameters such as maximum UAV size, maximum ascent speed and maximum descent speed were queried from the DJI UAV website. Simultaneously, 60% of the maximum speed was used as the actual operating speed. The initial settings were set randomly for each drone occurrence probability, and the apron turnaround time was set according to the drone model with the following parameters (Table 1).
According to each UAV type and their basic parameters, combined with the operational characteristics of the landing and takeoff phases, a suitable UAV safety interval is set according to the risk of collision between UAVs [22] as shown in Table 2.
With reference to the operating characteristics of civil aviation, the fixed operating parameters of the vertiport are set according to the design characteristics of the vertiport and the operating mode of the UAV. In particular, the average ground taxiing speed of the UAV, the safety interval of the UAV ground taxiing, the average occupation time of the landing platform and the average occupation time of the takeoff platform are directly set, which can be calculated according to the detailed information of the UAV in actual operation in order to simplify the calculation, as shown in Table 3.

5.2. Theoretical Capacity

5.2.1. Takeoff and Landing Platforms

Using the base data above, the safety time interval t u 1 u 2 between the front and rear UAVs under continuous arrival and continuous takeoff operations is calculated according to Equations (8) and (11), respectively, as shown in Table 4 and Table 5 and Figure 7.
Comparing Figure 7a,b, it can be seen that the greater the safe spacing between UAV models, the greater the required interval length to be maintained. However, the speed of the UAV during landing and takeoff also has a significant impact on the calculation. When the speed of the preceding UAV is less than the speed of the following UAV, an additional interval needs to be allowed to ensure safe flight, which is particularly significant in the continuous arrival model. As shown in Figure 7a and Table 4, the safety interval is only 2.8 s when the UAV Mavic Air 2 is the front aircraft and the Phantom 4 is the rear aircraft. Conversely, the safety interval increases to 9.0 s when the UAV Phantom 4 is the front aircraft and the Mavic Air 2 is the rear aircraft.
Firstly, according to the safety time interval of the front and rear UAVs, we substitute the data into Equations (3), (10) and (15). Secondly, we compare the computed result with the average occupancy time of the landing platform, the average occupancy time of the takeoff platform and the average occupancy time of the mixed operation UAV group, respectively. Finally, the larger one is taken to obtain the average landing/takeoff time of the UAV in the operation situation, and is then substituted into Equations (1), (2) and (9) to find out the landing platform capacity in the three operation modes as shown in Table 4.
According to Table 6, it can be seen that the average time for both continuous arrival and continuous takeoff operations is determined by the platform occupancy time in Table 3. This is because UAVs have relatively good maneuverability and the safety interval set aside for flight safety is much less than the length of time the UAV stays on the flight platform compared to civil airliners. Therefore, the landing platform capacity is almost independent of the safety interval between UAVs when substituting Equations (3), (10) and (15).
According to Equations (14) and (15), the average platform time is determined by the number of takeoff drones k inserted between the two arriving drones when the takeoff/landing platform is mixed. As shown in Table 4, the larger k is, the higher the percentage of takeoff UAVs in the hybrid operation and the shorter the average platform time, since the takeoff UAVs take up less time on the platform. For a more visual analysis of the impact of inserting takeoff drones on the platform capacity, the number of takeoff drones was taken from k = 0 to k = 20 as shown in Figure 8.
As shown in Figure 8, when k increases from 0 to 2, the capacity of the takeoff and landing platform surges from 80 to 102.9 sorties/h. When k > 2 , the platform capacity still increases, but the growth rate slows down significantly. This represents the fact that an excessive k value will cause an imbalance between UAV takeoff and landing traffic, resulting in congestion. Therefore, when the landing platform adopts a mixed operation mode, the fleet combination of “1 landing + 2 takeoffs” can achieve a better capacity.

5.2.2. Taxiway

  • One-way Taxiway
The average UAV ground taxiing speed v ¯ = 1   m / s and the UAV ground taxiing safety interval d ¯ = 3   m in Table 3 are substituted into Equation (16) to obtain the one-way taxiway capacity C t = 1200 sorties/h. The one-way taxiway capacity under different operating rules is calculated by varying the UAV taxiing speed and safety interval, as shown in Table 4.
As can be seen from Table 7, the one-way taxiway capacity is independent of the taxiway length. The faster the ground speed of the UAV, the larger the taxiway capacity. Conversely, the larger the UAV taxiing safety interval, the smaller the taxiway capacity.
2.
Two-way Taxiway
According to Equation (21), we firstly substitute the maximum size, type-share and unit time of each UAV in the above base data. Secondly, the taxiway length is taken as 5 m, 10 m, 15 m and 20 m, respectively, and the number of UAVs in the fleet of one-way continuous movement is changed. Finally, two-way taxiway capacity in each case is acquired as in Figure 9.
In Figure 9, the longer the taxiway length, the lower the capacity when the number of UAVs is constant. This is because a group of UAVs taxiing in a certain direction on a taxiway will cause that taxiway to become unavailable in the opposite direction resulting in a decrease in taxiway capacity. The longer the taxiway, the longer it takes for the UAV fleet to leave the taxiway, resulting in more wasted capacity resources. The reason that taxiway capacity is proportional to the number of UAVs in the fleet when the taxiway length is given is that the more UAVs in the fleet, the less “idle” the taxiway will be, which means the less capacity resources will be wasted.
3.
Taxiway Intersection
According to Equation (22), the capacity characteristics of a taxiway intersection are consistent with a two-way taxiway. If the intersection is occupied, it will result in other UAVs not being able to enter that intersection area, which will cause a reduction in capacity.
On the whole, regardless of the form of taxiway, the taxiway capacity is usually sufficient compared to the landing platform. Sufficient taxiway capacity can ensure the normal ground taxiing of the UAV, and thus guarantee the full utilization of the landing platform.

5.2.3. Aprons

The average turnaround time of UAVs is 386.95 s when substituting the data of ramp turnaround time and model-share in Table 1 into Equation (24). Changing the number of aprons and substituting this into Equation (23), respectively, allows us to obtain the apron capacity under different configurations, as shown in Table 8.
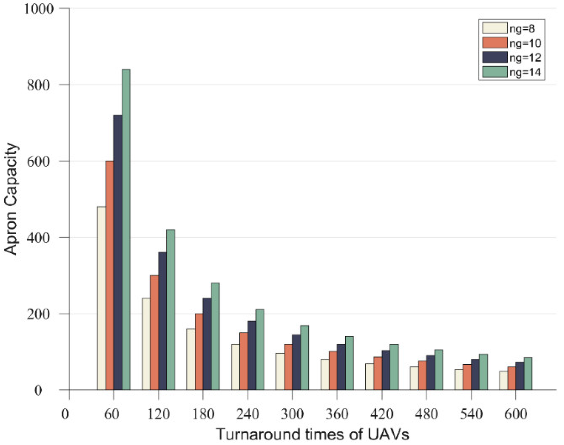
According to Table 8, the apron capacity is proportional to the number of aprons for a given UAV apron turnaround time and proportion of different aircraft types. As the number of aprons increases from 2 to 20, its capacity subsequently increases from 18.6 to 186.1 sorties/h. If the average UAV turnaround time is changed, the apron capacity will also change, as shown in Figure 10.
When the average turnaround time of the UAV is small, the impact on the apron is greater. As shown in Figure 10, the turnaround time increases from 60 s to 240 s and the apron capacity shows a significant decrease. Meanwhile, when the turnaround time T g ¯ 300   s , the apron capacity reaches a low level and the decreasing trend then slows down.
Therefore, in order to make full use of the landing platform resources in the vertiport, it is necessary to allocate sufficient aprons for UAV turnover. When the number of aprons is certain, the operators of the vertiport should increase the apron turnover efficiency and shorten the turnover time as much as possible to ensure that the apron capacity is at a high level.
In summary, comparing the theoretical capacity of each facility in the vertiport, it is clear that small landing platform capacity is the most direct factor affecting the overall capacity of the vertiport. Compared with the takeoff and landing platforms, the taxiway capacity in various forms is ample, which can guarantee the effective operation of UAVs under normal circumstances. The apron capacity is limited by the number of aprons and the turnaround time of the UAV, which needs to be reasonably planned and left with a certain amount of margin during construction.

5.3. Actual Capacity

5.3.1. Capacity Assessment Results

According to Equations (32), (36) and (39), a change in input traffic will cause a change in average delay time of UAVs in UAV arrival, ground and departure queuing systems. According to Table 1, Table 4 and Table 5, the average landing time is μ 1 = 45   s , the average turnaround time is μ 2 = 386.95   s , the average takeoff time is μ 3 = 30   s and the number of aprons as is taken 10. Thus, once the delayable time is determined, the capacity of each UAV queuing system can be determined. Then, its minimum value is taken as the vertiport capacity, as shown in Figure 11.
As shown in Figure 11, the solid red line is the delay curve of the arrival queuing system; the solid gray line is the delay curve of the ground queuing system; and the solid yellow line is the delay curve of the departure queuing system. As shown by the thick dashed line, if the acceptable delay time is 90 s, the corresponding UAV input intensity in the three queuing systems are λ 1 = 53.3 sorties/h, λ 2 = 71.7 sorties/h and λ 3 = 98.9 sorties/h, respectively. Meanwhile, the vertiport capacity is the minimum of the three, namely, 53.3 sorties/h. As shown by the thin dashed line, if the acceptable delay time is 30 s, the corresponding UAV input intensity in the three queuing systems are λ 1 = 31.9 sorties/h, λ 2 = 63.5 sorties/h and λ 3 = 60.3 sorties/h respectively. The vertiport capacity is the minimum of the three, that is, 31.9 sorties/h.
Comparing the delay curves of the three queuing systems, we can see that the arrival queuing system has the longest delay time with the same UAV input intensity, and the landing platform becomes the bottleneck of the vertiport traffic. When the UAV input intensity is λ 2 < 40 sorties/h, the delay time is almost zero because the apron is still sufficient and the UAV operates smoothly. However when λ 2 60 sorties/h, the apron resources start to be short, and the delay time of the apron queuing system increases sharply. The delay curve of the departure queuing system is more linear and the growth rate does not change much in the low- and high-traffic cases, which shows that the takeoff platform has the best robustness of performance.

5.3.2. Parameter Analysis

  • Average Service Time
In addition to the delay time of the UAVs being influenced by the queuing characteristics of each system, their intrinsic average service time plays a key role in solving for the system capacity. Therefore, to further explore the capacity characteristics of the vertiport, the average service time of each queuing system was varied and the queuing system delay curves were plotted for different combinations. Still taking 90 s and 30 s as two different acceptable delay levels, the corresponding vertiport capacities are obtained as shown in Figure 12.
As shown in Figure 12, the delay time of the departure queuing system is always smaller than that of the arrival queuing system when the UAV input intensity is the same. On the one hand, μ 3 < μ 1 since the departing UAV has a faster disengagement condition in the theoretical capacity analysis, resulting in a stronger average service capacity for the takeoff platform than the landing platform. On the other hand, if μ 3 = μ 1 , it represents the fact that the average service capacity is the same. The delay curves of the landing platform and the takeoff platform almost coincide when the UAV input intensity λ < 50 . Conversely, the takeoff platform will generate significantly greater UAV delay times than the landing platform in the case of higher traffic due to only one queuing path when λ > 50 .
The delay curves of the ground queuing system are most affected by the average service time. With apron capacity decreasing significantly, the turnaround time for UAVs on the apron becomes longer. In Figure 12, the apron replaces the landing platform as the bottleneck for vertiport operational traffic for the cases μ 1 = 45 , μ 2 = 600 , μ 3 = 30 and μ 1 = 45 , μ 2 = 600 , μ 3 = 45 .
2.
Acceptable Level of Delay
For each queuing system, the operational capacity depends on the acceptable level of delay set in vertiport operations in addition to its average service time. By setting the average service time of the takeoff and landing platform to 30–90 s and the average turnaround time of the UAVs on the apron to 300–660 s, the capacity of the takeoff and landing platform and the apron are calculated separately for each case where the acceptable delay level is between 30–210 s, as shown in Figure 13.
As shown in Figure 13, a similar pattern of capacity is shown for takeoff and landing platforms as well as aprons. For a given level of acceptable delay, the longer the average service time, the smaller the capacity. Conversely, for a given average service time, the greater the level of acceptable delay, the greater the capacity. The specific data is shown in Table 9.
Comparing the three images in Figure 12 and the data in Table 9, it shows that the apron system capacity is not sensitive to changes in the acceptable delay level and the apron capacity slowly increases as the acceptable delay level increases for a given average turnaround time. Moreover, the takeoff platform is most sensitive to changes in the acceptable delay level, with the takeoff platform capacity nearly doubling as the acceptable delay level increases from 30 s to 90 s.
In summary, the delay curves for takeoff platforms, landing platforms and aprons are plotted. At the same time, the UAV capacity of each facility can be obtained separately according to certain acceptable delay levels. Among them, the landing platform is more prone to congestion than the takeoff platform and the corresponding capacity is the smallest when the apron is relatively sufficient. Changes in the average service time will significantly affect the capacity of each facility and the apron capacity changes most significantly. However, different acceptable delay levels determine different vertiport capacities and the takeoff platform is the most sensitive to changes in acceptable delay levels.

6. Conclusions

This paper proposes a capacity assessment method for the theoretical and actual capacities of UAV vertiports. On this basis, the influence of different UAV operation modes and ground layout structures is analyzed and a theoretical capacity calculation model for each facility is established aimed at ground facilities such as landing platforms, taxiways and aprons. Using the UAV Poisson flow arrival model, the service characteristics of each ground facility are analyzed and the UAV delay curves are obtained by establishing different types of queuing systems. At the same time, a suitable acceptable delay level is selected and the corresponding delay curve is found in the drone flow as the actual capacity of drone operation.
The validity of the model is verified through actual UAV data arithmetic examples. In terms of theoretical capacity, the calculation results show that the landing platform is the most direct factor affecting the overall capacity of the vertiport; taxiway capacity can normally guarantee effective UAV operations and apron capacity is limited by the number of aprons and UAV turnaround time. In terms of actual capacity, the landing platform is more prone to congestion than the takeoff platform, changes in average service hours have the greatest impact on apron capacity and the takeoff platforms are the most sensitive to changes in acceptable levels of delay.
In summary, a reasonable assessment of the capacity of UAV vertiports can alleviate the problems of imbalance between capacity supply, flow and congestion in the airspace around the vertiports in order to make full use of the limited urban airspace resources and improve the efficiency of UAV low-altitude transportation. This paper provides a rapid assessment calculation method for the theoretical and actual capacities of UAV vertiports and theoretical support for urban air traffic UAV low-altitude transportation. Additionally, the conclusions drawn can be used as a reference for vertiport designers and builders. In the next step of our research, we will establish a vertiport UAV operation simulation platform to specifically analyze the behavior of UAVs between various ground facilities from a micro level and obtain more specific and accurate vertiport capacities.

Author Contributions

Conceptualization, H.Z.; methodology, H.Z. and Y.F.; software, Y.F. and J.L.; validation, H.Z., Y.F. and J.L.; formal analysis, Y.F. and B.L.; investigation, J.L.; resources, H.Z. and Y.F.; writing—original draft preparation, H.Z. and Y.F.; writing—review and editing, H.Z., Y.F. and H.L.; visualization, Y.F and B.L. All authors have read and agreed to the published version of the manuscript.

Funding

This research was funded by National Natural Science Foundation of China (71971114).

Institutional Review Board Statement

Not applicable.

Informed Consent Statement

Not applicable.

Data Availability Statement

Not applicable.

Conflicts of Interest

The authors declare no conflict of interest.

References

  1. Rohacs, J. PATS. In Proceedings of the 23rd International Congress of Aeronautical Sciences, Toronto, ON, Canada, 8–13 September 2002; pp. 50–78. [Google Scholar]
  2. Parker, R.A. NASA Strategic Framework for On-Demand Air Mobility NASA Headquarters; National Institute of Aerospace: Hampton, VA, USA, 2017. [Google Scholar]
  3. NASA Embraces Urban Air Mobility, Calls for Market Study. 2017. Available online: https://www.nasa.gov/aero/nasa-embraces-urban-air-mobility (accessed on 10 November 2020).
  4. Uber Elevate | The Future of Urban Air Transport. 2017. Available online: https://www.uber.com/info/elevate/ (accessed on 13 November 2021).
  5. Holden, J.; Goel, N. Fast-Forwarding to a Future of On-Demand Urban Air Transportation; UBER: San Francisco, CA, USA, 2016. [Google Scholar]
  6. Urban Air Mobility. 2018. Available online: http://publicaffairs.airbus.com/default/public-affairs/int/en/our-topics/Urban-Air-Mobility.html (accessed on 13 November 2021).
  7. Future of Urban Mobility. 2017. Available online: http://www.airbus.com/newsroom/news/en/2016/12/My-Kind-Of-Flyover.html (accessed on 11 November 2021).
  8. Bowen, E.; Pearcey, T. Delays in the Flow of Air Traffic. Aeronaut. J. 1948, 52, 251–258. [Google Scholar] [CrossRef]
  9. Tay, G.; Karpstein, R.; Hornung, M. Airport Capacity Assessment of the Air Transportation Network in Selected Global Regions. In Proceedings of the 2018 Aviation Technology, Integration, and Operations Conference, Atlanta, GA, USA, 25–29 June 2018. [Google Scholar]
  10. Mirmohammadsadeghi, N.; Hu, J.; Trani, A. Enhancements to the Runway Capacity Simulation Model Using the ASDE-X Data for Estimating Airports Throughput Under Various Wake Separation Systems. In Proceedings of the AIAA Aviation 2019 Forum, Dallas, TX, USA, 17–21 June 2019. [Google Scholar]
  11. Tien, S.L.; Taylor, C.; Vargo, E. Using Ensemble Weather Forecasts for Predicting Airport Arrival Capacity. J. Air Transp. 2018, 26, 123–132. [Google Scholar] [CrossRef]
  12. Callantine, T.J.; Palmer Everett, A. Fast-Time Simulation Studies of Terminal-Area Spacing and Merging Concepts; San Jose State University/NASA Ames Research Center: San Jose, CA, USA, 2003. [Google Scholar]
  13. Tian, Y.; Yang, S.S.; Wan, L.; Yang, Y. Research on the method of sector dynamic capacity evaluation. Syst. Eng.-Theory Pract. 2014, 34, 2163–2169. [Google Scholar]
  14. Liu, L. Terminal Airspace Capacity Evaluation Model under Weather Condition from Perspective of a Controller. Int. J. Aerosp. Eng. 2018, 2018, 4728648. [Google Scholar] [CrossRef]
  15. Schinwald, C.; Pltner, K.O.; Hornung, M. Using Airport Fast-Time Simulation Models to Increase the Quality of Airport Capacity Utilization Studies. In Proceedings of the 2016 AIAA Modeling and Simulation Technologies Conference, Washington, DC, USA, 13–17 June 2016. [Google Scholar]
  16. Sood, N.; Wieland, F. Total Airport and Airspace Model (TAAM) Parallelization Combining Sequential and Parallel Algorithms for Performance Enhancement; IEEE Computer Society: Washington, DC, USA, 2003. [Google Scholar]
  17. Vascik, P.D.; Hansman, R.J. Development of Vertiport Capacity Envelopes and Analysis of Their Sensitivity to Topological and Operational Factors. In Proceedings of the AIAA Scitech 2019 Forum, San Diego, CA, USA, 7–11 January 2019. [Google Scholar]
  18. Guerreiro, N.M.; Hagen, G.E.; Maddalon, J.M.; Butler, R.W. Capacity and Throughput of Urban Air Mobility Vertiports with a First-Come, First-Served Vertiport Scheduling Algorithm. In Proceedings of the AIAA Aviation 2020 Forum, Virtual Event, 15–19 June 2020. [Google Scholar]
  19. Maheshwari, A.; Mudumba, S.; Sells, B.E.; DeLaurentis, D.A.; Crossley, W.A. Identifying and Analyzing Operations Limits for Passenger-Carrying Urban Air Mobility Missions. In Proceedings of the AIAA Aviation 2020 Forum, Virtual Event, 15–19 June 2020. [Google Scholar]
  20. Schweiger, K.; Knabe, F.; Korn, B. Urban Air Mobility: Vertidrome Airside Level of Service Concept. In Proceedings of the AIAA Aviation 2021 Forum, Virtual Event, 2–6 August 2021. [Google Scholar]
  21. Kleinbekman, I.C.; Mitici, M.; Wei, P. Rolling-Horizon Electric Vertical Takeoff and Landing Arrival Scheduling for On-Demand Urban Air Mobility. J. Aerosp. Inf. Syst. 2020, 17, 150–159. [Google Scholar] [CrossRef]
  22. Zou, Y.; Zhang, H.H. Collision Probability Estimation for Small Unmanned Aircraft Systems. Reliab. Eng. Syst. Safety 2021, 213, 107619. [Google Scholar] [CrossRef]
Figure 1. Vertiport schematic.
Figure 1. Vertiport schematic.
Sustainability 15 00709 g001
Figure 2. Continuous arrival at safe intervals.
Figure 2. Continuous arrival at safe intervals.
Sustainability 15 00709 g002
Figure 3. Mixed arrival/departure operation schematic.
Figure 3. Mixed arrival/departure operation schematic.
Sustainability 15 00709 g003
Figure 4. UAV queuing systems.
Figure 4. UAV queuing systems.
Sustainability 15 00709 g004
Figure 5. Drone delay time curves.
Figure 5. Drone delay time curves.
Sustainability 15 00709 g005
Figure 6. UAV operations flow chart.
Figure 6. UAV operations flow chart.
Sustainability 15 00709 g006
Figure 7. Three-dimensional map of drone safety interval.
Figure 7. Three-dimensional map of drone safety interval.
Sustainability 15 00709 g007
Figure 8. Effect of the value of k.
Figure 8. Effect of the value of k.
Sustainability 15 00709 g008
Figure 9. Two-way taxiway capacity.
Figure 9. Two-way taxiway capacity.
Sustainability 15 00709 g009
Figure 10. Capacity of aprons at different turnaround times.
Figure 10. Capacity of aprons at different turnaround times.
Sustainability 15 00709 g010
Figure 11. Queuing system delay curve.
Figure 11. Queuing system delay curve.
Sustainability 15 00709 g011
Figure 12. Different combinations of average service time.
Figure 12. Different combinations of average service time.
Sustainability 15 00709 g012
Figure 13. Histogram of capacity changes by system.
Figure 13. Histogram of capacity changes by system.
Sustainability 15 00709 g013
Table 1. Basic parameters of UAVs.
Table 1. Basic parameters of UAVs.
ParameterMaximum SizeMaximum Lifting SpeedMaximum Descent SpeedTurnaround TimeProportion
UAVs
Mavic Air 2312 mm4 m/s5 m/s240 s0.13
Phantom 4410 mm6 m/s4 m/s315 s0.21
Inspire 2668 mm6 m/s4 m/s350 s0.18
M300 RTK1051 mm6 m/s5 m/s420 s0.28
M600Pro1668 mm5 m/s3 m/s545 s0.20
Table 2. Safe interval between UAVs.
Table 2. Safe interval between UAVs.
UAVsMavic Air 2Phantom 4Inspire 2M300 RTKM600 Pro
Mavic Air 24 m5 m7 m9 m12 m
Phantom 45 m4 m6 m10 m14 m
Inspire 27 m6 m9 m10 m13 m
M300 RTK9 m10 m10 m12 m15 m
M600 Pro12 m14 m13 m15 m17 m
Table 3. Operation parameters of UAVs.
Table 3. Operation parameters of UAVs.
ParameterData
Length   of   final   descent   route   H 50 m
Average   taxi   speed   of   UAVs   v ¯ 1 m/s
Average   ground   safety   interval   of   UAVs   d ¯ 3 m
Average   occupation   time   of   landing   platform   t p a ¯ 45 s
Average   occupancy   time   of   takeoff   platform   t p d ¯ 30 s
Unit   time   T u n i t 1 h
Table 4. Drone safety interval of continuous arrival.
Table 4. Drone safety interval of continuous arrival.
UAVsMavic Air 2Phantom 4Inspire 2M300 RTKM600 Pro
Mavic Air 22.29.09.914.16.7
Phantom 42.81.72.57.57.8
Inspire 23.92.593.87.57.2
M300 RTK5.04.24.24.08.3
M600 Pro6.712.812.416.19.4
Table 5. Drone safety interval of continuous takeoff.
Table 5. Drone safety interval of continuous takeoff.
UAVsMavic Air 2Phantom 4Inspire 2M300 RTKM600 Pro
Mavic Air 21.71.41.92.54.0
Phantom 42.11.11.72.84.7
Inspire 22.91.72.52.84.3
M300 RTK3.82.82.83.35.0
M600 Pro5.03.93.74.25.7
Table 6. Capacity in different modes.
Table 6. Capacity in different modes.
Operating ModeAverage TimeCapacity
Continuous arrival45 s80
Continuous takeoff30 s120
Mixed operation (k = 1)37.5 s96
Mixed operation (k = 2)35 s102.9
Mixed operation (k = 3)33.8 s106.7
Table 7. One-way taxiway capacity.
Table 7. One-way taxiway capacity.
v ¯ / m s 1 0.51.01.52.02.5
d ¯ / m
118003600540072009000
29001800270036004500
36001200180024003000
4450900135018002250
5360720108014401800
Table 8. Apron capacity of different configurations.
Table 8. Apron capacity of different configurations.
Number ( n g )2468101214161820
Capacity ( C g )18.637.255.874.493.0111.6130.2148.8167.4186.1
Table 9. Capacity of each queuing system under different parameters.
Table 9. Capacity of each queuing system under different parameters.
Delay Level
Service Time
30 s60 s90 s120 s150 s180 s210 s
30 s/300 s/30 s60.080.090.096.0100.0102.9104.9
43.148.050.852.854.255.356.2
63.9100.8118.8118.8118.8118.8118.8
40 s/360 s/40 s38.654.062.367.571.173.675.6
34.8839.041.342.944.245.245.9
39.962.182.689.189.189.189.1
50 s/420 s/50 s27.039.346.350.854.056.358.2
29.032.634.736.137.238.038.7
27.543.156.169.671.371.371.3
60 s/480 s/60 s20.030.036.039.942.845.046.7
24.827.929.731.031.932.733.3
20.232.041.450.459.459.459.4
70 s/540 s/70 s15.423.728.932.535.137.038.6
21.624.326.027.128.028.629.2
15.624.832.138.845.551.050.9
80 s/600 s/80 s12.319.323.827.029.331.232.6
19.121.523.024.024.825.425.9
12.319.925.831.136.141.344.6
90 s/660 s/90 s10.016.020.022.925.026.728.0
17.019.320.621.522.222.823.3
10.016.421.325.629.633.637.8
Disclaimer/Publisher’s Note: The statements, opinions and data contained in all publications are solely those of the individual author(s) and contributor(s) and not of MDPI and/or the editor(s). MDPI and/or the editor(s) disclaim responsibility for any injury to people or property resulting from any ideas, methods, instructions or products referred to in the content.

Share and Cite

MDPI and ACS Style

Zhang, H.; Fei, Y.; Li, J.; Li, B.; Liu, H. Method of Vertiport Capacity Assessment Based on Queuing Theory of Unmanned Aerial Vehicles. Sustainability 2023, 15, 709. https://doi.org/10.3390/su15010709

AMA Style

Zhang H, Fei Y, Li J, Li B, Liu H. Method of Vertiport Capacity Assessment Based on Queuing Theory of Unmanned Aerial Vehicles. Sustainability. 2023; 15(1):709. https://doi.org/10.3390/su15010709

Chicago/Turabian Style

Zhang, Honghai, Yuhan Fei, Jingyu Li, Bowen Li, and Hao Liu. 2023. "Method of Vertiport Capacity Assessment Based on Queuing Theory of Unmanned Aerial Vehicles" Sustainability 15, no. 1: 709. https://doi.org/10.3390/su15010709

APA Style

Zhang, H., Fei, Y., Li, J., Li, B., & Liu, H. (2023). Method of Vertiport Capacity Assessment Based on Queuing Theory of Unmanned Aerial Vehicles. Sustainability, 15(1), 709. https://doi.org/10.3390/su15010709

Note that from the first issue of 2016, this journal uses article numbers instead of page numbers. See further details here.

Article Metrics

Back to TopTop