Next Article in Journal
Potential Application of Blockchain Technology in Eco-Industrial Park Development
Previous Article in Journal
How the Internet Affects China’s Green Consumption Development: Empirical Research Based on Baidu Index Data
 
 
Font Type:
Arial Georgia Verdana
Font Size:
Aa Aa Aa
Line Spacing:
Column Width:
Background:
Article

Selection of Active Microorganism Strains Isolated from a Naturally Salty Lake for the Investigation of Different Microbial Potentials

by
Zhanar Tekebayeva
1,2,
Aliya Temirbekova
1,3,*,
Aidana Bazarkhankyzy
1,4,
Gulmira Bissenova
1,
Akhan Abzhalelov
1,3,
Indira Tynybayeva
1,
Aslan Temirkhanov
1,
Nurgul Askarova
5,
Timoth Mkilima
6,* and
Zinigul Sarmurzina
1
1
Laboratory of Microbiology, Republican Collection of Microorganisms, 13/1 Valikhanov Str., Astana 010000, Kazakhstan
2
Faculty of Ecology and Engineering, Nizhnevartovsk State University, 11 Dzerzhinsky Str., 628605 Nizhnevartovsk, Russia
3
Department of Environmental Engineering and Management, Faculty of Natural Sciences, L.N. Gumilyov Eurasian National University, 2 Satpayev Str., Astana 010000, Kazakhstan
4
Department of General and Biological Chemistry, Faculty of Pharmacy, Astana Medical University, Beibitshilik str., 49a, Astana 010000, Kazakhstan
5
Department of Normal Physiology, Dean’s Office of the Faculty of Dentistry and Pediatrics, Astana Medical University, Beibitshilik Str., 49a, Astana 010000, Kazakhstan
6
Department of Civil Engineering, Faculty of Architecture and Construction, L.N. Gumilyov Eurasian National University, 2 Satpayev Str., Astana 010000, Kazakhstan
*
Authors to whom correspondence should be addressed.
Sustainability 2023, 15(1), 51; https://doi.org/10.3390/su15010051
Submission received: 15 October 2022 / Revised: 12 December 2022 / Accepted: 17 December 2022 / Published: 20 December 2022

Abstract

The biological variety of aquatic ecosystems is significantly impacted by the chemical and microbiological composition of water bodies, and there is strong reciprocal feedback between these two factors, especially for reservoirs, which can and do have a significant impact on neighboring ecosystems. Today there is an acute need to identify the most effective and economically feasible methods for cleaning and restoring water bodies. Therefore, the aim of the study was to find strains of microorganisms which are capable of biodegrading such problematic pollutants as insoluble phosphates and excess nitrogenous compounds and at the same time, are capable of suppressing the bacterial composition in reservoir waters. In the course of the research, a number of the most active strains of microorganisms were isolated from lake water samples. Five isolates were obtained from salt water and the isolates were then identified using morphological, and biochemical techniques, as well as the matrix-assisted laser desorption/ionization time-of-flight mass spectrometry (MALDI-TOF MS). In addition to the characterization and identification of the isolates, the species-specific levels of phosphate solubilizing, and nitrifying activities were also established. Thus, all isolated strains were studied and characterized, and their influence on the content of minerals such as phosphorus and nitrogen, which are important for living organisms in water, was studied. In summary, the Pseudomonas Extrem-Orientalis isolate was observed to be highly effective in solubilizing phosphates, nitrifying, and had the greatest antagonistic capacity among the investigated isolates. The information gleaned from the study’s findings helps raise more awareness in the field of microbiology and water treatment in general. The findings offer promise for the development of biopreparations with bioremediation capabilities for cleaning polluted water bodies of pollutants from various sources.

1. Introduction

A number of water pollution issues are largely caused by wastewater effluents. The majority of developing nations’ cities produce 30–70 mm3 of wastewater per person annually [1]. Because the facilities are insufficient or they are not up to standard, wastewater and its effluents are frequently dumped into surface water sources, which serve as disposal sites for both home and commercial waste [2]. The receiving surface water body quality deteriorates as a result of the wastewater effluents’ poor quality [3,4]. To reduce the risk to the aquatic ecosystem and users of surface water resources, wastewater effluent must be treated effectively before discharge. However, finding relatively low-cost and effective treatment systems is still a worldwide concern [5,6,7,8].
One of the problems of wastewater pollution is phosphates, in particular polyphosphates, which adversely affect human health and the environment. Modern manufacturers use polyphosphates in the food industry as dough leavening agents, stabilizers, emulsifiers, and moisture retainers, as well as in water purification systems, in the manufacture of household chemicals to soften water, degrease fibers, and slow down corrosion. In food products, polyphosphates are of low toxicity, but if they accumulate in large quantities in the environment, they cause irreparable harm [9,10].
Nitrifying bacteria are traditionally considered to be obligate aerobes; they require molecular oxygen for reactions in the N oxidation pathways and for respiration. They are reputed to be microaerophiles, however, who thrive best under relatively low oxygen conditions. Microaerophily may be important in interface environments such as the sediment–water interface and in the minimum oxygen zones of the ocean.
Ammonium is converted to nitrite, and subsequently to nitrate. The reaction mechanism is summarized in Equations (1) and (2):
2 NH 4 + + 3 O 2 2 NO 2 + 2 H 2 O + 4 H +
2 NO 2 + 0 2 2 NO 3
Furthermore, some of the most significant contaminants associated with water bodies pollution are pathogenic microorganisms [11]. It is also important to highlight that microbes are present everywhere and engage in complex interactions with a wide range of animals. They must be able to survive in a specific environment including water [12], and they use various strategies to obtain the necessities for life. One of the prospective strategies to eradicate pathogenic bacteria from water bodies (especially on a small scale) is the use of antagonistic bacteria. A particular kind of bacterium produces substances called bacteriocins that have the ability to destroy other microbes with which they compete for resources [13]. Therefore, bacteriocins can assist us in finding solutions to issues such as the elimination of pathogenic microbes from water [14].
Depending on the type of protective wall they have, bacteria can be separated into two major groups: Gram-positive bacteria and Gram-negative bacteria [15]. In principle, Gram-positive bacteria have a fairly thick cell wall, whereas Gram-negative bacteria have a considerably thinner one. Numerous bacteria frequently coexist and compete with one another for food, space, and other resources.
Members of the same species or members of different species may engage in this resource rivalry. Antagonizing methods are those employed by bacteria in their struggle for resources and space. A form of interspecies interaction is when one species gains by harming the other. Bacterial hostile tactics can take many different forms. They include eliminating crucial substances needed by rivals or altering the microenvironment to make it very difficult for other bacteria to survive. Antimicrobials made by bacteria are agents that prevent the growth of other microorganisms or kill them in order to stop the proliferation of their neighbors [16].
Antimicrobials come in both specific and non-specific forms; when they take on any other bacterial rival, they do so without discrimination. Hydrogen peroxide (H2O2), the antiseptic for wounds, is one non-specific antibacterial. In contrast, specific antimicrobials are those that either eradicate or stop the development of a particular bacterial species. This implies that the rival bacteria manufacture weapons that are specifically designed to exploit each other’s weaknesses [17]. We refer to a particular antimicrobial’s narrow spectrum of activity. As a result, some pathogens (bacteria that can harm humans, i.e., disease-causing bacteria) are effectively combatted by particular antimicrobials, which can aid in the fight against antibiotic-resistant superbugs, microbes with capacity to withstand the effects of an antibiotic that would have typically killed them [18]. As bacteria adapt, antibiotics that once killed them or restricted their growth during an infection stop working. This is known as antibiotic resistance. Antibiotic-resistant pathogenic germs can then spread and cause a large number of fatalities. The particular antimicrobials, created by nature to exclusively kill the targeted harmful bacteria, can aid in the struggle against the threat posed by antibiotic resistance.
Antimicrobial proteins called bacteriocins are made by bacteria to kill other bacteria [13]. Small proteins known as peptides generated by bacteria are the building blocks of bacteriocins [19]. While some bacteriocins can remain affixed to the bacteria’s surface, others are completely discharged into the environment [20]. Bacteriocins have unique geometries that they require in order to function and combat hostile microorganisms [21]. Although the mechanism by which bacteriocins kill other bacteria is not fully known, it appears that bacteriocins make contact with other bacteria through receptor-like structures found on the surface of adversary bacteria [22]. It functions in the same way as a key in a lock. The surface of the attacked bacterium generates tiny openings known as pores when bacteriocins bind to receptors and come into contact with the antagonistic surface. Through these pores, the bacterial cell’s contents flow out, killing the adversary microorganisms [23].
Most bacteria are thought to be able to create bacteriocins; however, many of them are yet unknown to science. Additionally, little is known about the possibility of employing microorganisms to eradicate other pathogenic bacteria [24]. Moreover, it is worth noting that microorganisms distributed in saltwater bodies play an important role in the decomposition of organic matter and mineralization. Therefore, screening of the most active bacteria with respect to these elements is relevant and cost-effective.
The study examines how bacteria can alter the mineral makeup of water while also having the power to eradicate other microbes. Using morphological, and biochemical methods and matrix-assisted laser desorption/ionization time-of-flight mass spectrometry (MALDI-TOF MS), five isolates were isolated from salt water and then identified. The phosphate solubilizing, nitrifying, and species-specific activities of the isolates were also established, in addition to their characterization and identification. As a result, all isolated strains were investigated and defined, and their impact on the concentration of minerals in water, such as phosphorus and nitrogen, was investigated. Future developments of bio-preparations with the potential for bioremediation in the removal of contaminants from various sources from polluted water bodies will be made possible by these investigations.

2. Materials and Methods

2.1. Case Study Description

Lake Big Saroba is a salt lake in the Akmola region, near the city of Nur-Sultan, and is located 50 km from the city (51°10′15″ North latitude and 72°5′32″ East longitude). To study the microorganisms of this lake, water samples were taken aseptically in sterile 500 mL glass bottles from different sampling points of the lake by directly dipping the bottles into the surface of the water. The samples were collected and preserved at 4 °C for transportation to the laboratory and microbiological analysis.

2.2. Microbiological Analysis. Isolation, Purification, Phenotypiccharacterization, and Identification of Bacterial Strains

Serial dilution techniques were used for the isolation of bacteria. From each dilution tube, 0.1 mL of dilution fluid was transferred into nutrient agar culture media and incubated at 37 °C for 24 h. The nutrient agar (NA) culture media contained 0.5% peptone, 0.3% yeast extract, 0.5% NaCl, 0.25% glucose, 1.5% agar, and distilled water, and the pH was adjusted to 7 at room temperature. Colonies were purified by twice subculturing using the streaking plate method. Young cultures were used for Gram staining. After Gram staining, samples of bacterial culture were observed under a microscope and characterized. The cultural and biochemical properties of the isolates were studied by inoculation onto a common medium and their subculture on media to reveal their different properties in relation to other microorganisms and chemical compounds. Antibiotic susceptibility was determined by the disk diffusion method using available antibiotics: penicillin, tetracycline, roxithromycin, kanamycin, ampicillin, amoxicillin/clavulanic acid, clindamycin, cefazolin, gentamicin, vancomycin, carbenicillin, fusidine, oleandomycin, rifampicin, neomycin, oxacillin, ciprofloxacin, erythromycin, and chloramphenicol.

2.3. Determination of the Biochemical Activity of Isolates

For the determination of lipolytic activity, the studied microorganisms were sown on a medium containing the corresponding oleic acid. To study the amylolytic activity, we used the plaque method on a medium of the following composition (g/l): peptone, 10.0; KH2PO4, 5.0; soluble starch, 2.0; and agar, 15.0. The medium pH was 6.8–7.0. Sowing was carried out by injection. The starch hydrolysis zone was measured in millimeters from the edge of the colony stroke to the border of the light zone. The larger the diameter of the light zone, the higher the amylolytic activity. For determination of saccharolytic activity, microorganisms were differentiated according to their ability to decompose carbohydrates by fermentation. Sugar fermentation ability was studied by cultivation in Andrade’s indicator medium and available carbohydrate disks such as arabinose, cellubiose, dextrose, galactose, fructose, lactose, maltose, mannose, mannitol, xylose, rhamnose, etc. The test strain and disks with carbohydrates were placed in test tubes with a sterile Andrade medium.
Phosphate breakdown processes from the metabolism of phosphate-dissolving bacteria usually occur with the release of organic acids from carbon sources such as glucose by direct oxidation. The hydroxyl and carboxyl groups then chelate with cations in phosphate minerals such as Ca, Fe, and Al, releasing soluble phosphate. For the determination of phosphatase activity, bacteria dissolving calcium orthophosphates were detected on Muromtsev’s medium. Calcium phosphates, Ca3(PO4)2, were introduced into the nutrient medium by the precipitation method proposed by Gerretsen [25]. Quantitative analysis of the solubilizing activity of phosphates on an agar medium was evaluated by the diameter of the clearing zones. The clearing zones formed by the bacteria on the respotted plates were quantified on the 4th day of incubation using the equation below:
phosphate   solubilizing   index = colony   diameter + clearing   zone colony   diameter
Phosphorous solubilization on a solid medium was measured in terms of solubilization efficiency (SE):
SE % = Z C C 100
where Z is the solubilization zone and C is the colony diameter.
To determine the nitrifying activity, namely, the ability of microorganisms to utilize organic and mineral forms of nitrogen, the presence of growth or signs of their development was determined on synthetic media from which all nitrogen sources were excluded, except for the tested nitrogen sources. When ammonifiers were detected, peptone was added to the main composition of the synthetic medium. For denitrifiers, NaNO3 was added, and NH4Cl and CaCO3 were added to the media of nitrifying bacteria. Media of the same composition without nitrogen (negative control) and a medium with ammonium sulfate as a source of nitrogen (positive control) were used as controls.

2.4. Antimicrobial Susceptibility Testing

The entry of biological agents into aquatic systems can pose a serious public health hazard because these agents cannot be easily detected and may remain hidden until widespread contamination occurs. The search for new antimicrobial agents is a field of utmost importance. The prevalence of antimicrobial resistance among key microbial pathogens is increasing at an alarming rate worldwide. The antagonistic activity of bacteria is carried out with the help of different (often very subtle) molecular mechanisms, and its manifestation depends on a number of factors, among which, first of all, the variety of interactions between the antagonist and its victim in specific environmental conditions should be mentioned. In the first stages of the study, mainly in vitro methods were used, allowing us to eliminate non-active or low-active strains that were not of interest. The diffusion method with wells is based on the diffusion of antibiotic substances formed by the test isolates into the thickness of the agar medium containing the test culture and suppressing the growth of the latter. The agar medium used must ensure good growth of both the bacterial strain under the test and the test strain. This method enables the simple and rapid checking of a large array of bacterial strains and/or test cultures of unwanted microbes (sanitary indicative, pathogenic, or technically harmful).
Therefore, we analyzed isolated microorganisms regarding antagonistic activity against bacterial strains such as Enterococcus feacalis, Escherichia coli, Staphylococcus aureus, Salmonella enteritidis, Pseudomonas aeruginosa, Pseudomonas taiwanensis, Aeromonas punctata, Klebsiellapneumonia, which are in the collection of industrial microorganisms of the Republican Microorganism Collection.
Pathogenic bacteria were cultivated on plates with Mueller–Hilton agar nutrient medium at 37 °C for 24 h. Suspensions of pathogens were prepared from one-day cultures in sterile distilled water. Using a Biosan DEN-1B densitometer, the suspension density was adjusted to 2.5 McFarland (approximately 108–109 CFU mL−1). After preparing a tenfold dilution of 0.1 mL with a final concentration of 106 CFU mL−1, it was massively inoculated onto plates with a nutrient medium. After drying the surface of the plate, 10 μL of a cell suspension prepared from isolates (containing about 106 cells) was applied to agar wells. The plates were incubated at 37 for 24 h. By measuring the diameter of the clear zone around the wells where opportunistic and pathogenic cultures did not grow, the hostile activity of the isolated bacteria was calculated.
For the identification of these isolated bacteria, their one-day pure cultures were identified by the MALDI-TOF MS analyzer. [26]. Using a toothpick, the colonies that developed in the solid medium were collected. Then a thin layer was applied to the target plate. Identification reliability was assessed on a scale from 0 to 3: scores < 1.7 were considered unreliable identification, scores from 1.7 to 2.0 were for identification at the genus level, and >2.0 indicated identification at the species level.

2.5. Statistical Methods

2.5.1. Parameters’ Correlation

The associations between colony diameter, colony diameter + clearing zone, solubilization index, and solubilization efficiency (%) were crucial characteristics that were determined by calculating the correlation indices. The degree to which the selected parameters were correlated with one another was significantly influenced by these indices. According to the indices, a high correlation often indicated that two or more variables were closely related to one another. If there was only a weak correlation between the variables, there was no meaningful association between them. The associations were rated as “bad,” “moderate,” “strong,” and “very strong”, which corresponded to the scores 0.3–0.49, 0.5–0.69, and 0.7–1, respectively [27].

2.5.2. Data Distribution Analysis

The data distributions among the specified parameters of interest (colony diameter, colony diameter + clearing zone, solubilization index, and solubilization efficiency (%)) were evaluated using box and whisker diagrams. Data quartiles, often referred to as percentiles and averages, were used to evaluate the distribution of the data based on the skewness of the numerical data [28].

2.5.3. Analysis of Variance

To assess the statistical significance of the variations in the investigated parameters (colony diameter, colony diameter + clearing zone, solubilization index, and solubilization efficiency (%)), a single-factor Analysis of Variance (ANOVA) was carried out in this work. Using samples from each group of data, the approach assesses the degree of variation within each group. The significance level was evaluated using the difference between the p-value and alpha (0.05) values. The alpha number, which measures the chances of rejecting the null hypothesis, even if it is correct, must also be considered. Moreover, if the p-value is greater than the alpha, the null hypothesis is accepted. The p-value, on the other hand, indicates the likelihood of obtaining a result that is more extreme than the experiment’s outcome [29].

2.5.4. Tukey’s Honest Significance Test

Furthermore, the study also made use of Tukey’s Honest Significance Test to evaluate whether there were any statistically significant differences from the means of the parameters under consideration (colony diameter, colony diameter + clearing zone, solubilization index, and solubilization efficiency (%)) [30].

3. Results

3.1. Identification and Phenotypic Characterization of Bacteria

In recent years, the term “phenotype” has been used loosely to refer to any characteristic of a cell, including “molecular phenotypes” such as the amount of mRNA produced by a single gene [31]. Most bacteria can be divided by a combination of their morphology and Gram-staining into different types including Gram-positive cocci, Gram-positive bacilli, Gram-negative cocci, and Gram-negative bacilli [32]. The isolation and characterization of bacterial strains from lake Big Saroba was undertaken in this study. Five different bacterial strains (BS-1, BS-2, BS-3, BS-4, and BS-5) were isolated in culture media, and their microbiological characterization was performed. The results are summarized in Table 1.
The colony and morphological characteristics of the isolates were also investigated in the study. The visual characteristics of a bacterial colony on an agar plate are known as colony morphology. An essential aspect of identifying bacteria in the microbiology lab is the observation of colony morphology. To examine the distinctive shape, size, color, surface appearance, and texture of a colony, it is necessary for it to be sufficiently isolated from other colonies. Hemolysis is another crucial feature of a bacterial colony [33]. The microscopic characteristics of the bacterial isolates are shown in Figure 1.
Differentiating bacterial species is crucial for a variety of reasons, including detecting infections, ensuring the safety of food, and determining which species gives cheese its unique flavor. Several molecular methods, including Polymerase Chain Reaction (PCR), quantitative PCR, genome sequencing, and mass spectrometry, can be used to differentiate between distinct bacterial species and even different strains [34]. However, even without delving into the finer points of molecular biology, there are phenotypic variations between bacterial groups that can be utilized to distinguish them. This includes their structure (bacilli vs. cocci, for instance), growth patterns, and whether they prefer high or low-oxygen settings. Bacterial species may be divided into broad categories depending on the trait under investigation; however, when combined, this information can significantly reduce the range of potential identification. Based on the composition of bacterial cell walls, it is possible to classify bacteria as either Gram-positive or Gram-negative [35]. The results showed that BS-1, BS-4, and BS-5 are Gram-negative rods, and BS-2, and BS-3 are Gram-positive. The pigmentation of the colonies included yellow-red, yellow, and off-white colors and the colonies of all isolates were round. With regards to antibiotic susceptibility testing of isolates, isolate BS-4 had the highest resistance, and isolates BS-2 and BS-1 had the highest sensitivity (Figure 2).
In the study, it was also observed that the BS-1 isolate was resistant to penicillin, amoxicillin/clavulanic acid, oxacillin, fusidine, and rifampicin. The BS-2, BS-3 and BS-5 isolates were resistant only to oxacillin among all testing antibiotics (Figure 3). The BS-4 isolate was resistant to penicillin, tetracycline, oxacillin, and fusidine. Most of the isolates were non-resistant to kanamycin, ampicillin, gentamicin, carbenicillin, neomycin, ciprofloxacin, erytromicin, levomicin, and cefazolin, but all were resistant to oxacillin. Different biochemical tests were performed for the five isolates. Isolates BS-2 and BS-3 possessed proteolytic activity, where the size of the zones of casein hydrolysis were 9.3 ± 0.48, and 8.0 ± 0.58, respectively. Among the five isolated five bacteria, two were positive for lipase-isolates BS-1 and BS-5. However, none of the strains had the ability to hydrolyze starch.
Antimicrobial resistance occurs when bacteria, fungi, and other microorganisms learn to resist the medications meant to kill them, implying that the germs survive and develop. Treatment for resistant infections can be challenging and perhaps impossible [36]. The healthcare, veterinary, and agricultural sectors, as well as individuals at any stage of life, can be impacted by antimicrobial resistance. This makes it one of the most important public health issues on the entire planet [37].
Sugar fermentation screening was performed using ready-made commercial disks with various sugars. Three isolates had the ability to decompose various carbohydrates by fermentation with varying degrees of activity. To determine whether bacteria can ferment a given carbohydrate, the carbohydrate fermentation test is utilized. Different bacterial groups or species can be distinguished from one another using their carbohydrate fermentation patterns. The test checks for the presence of any gas or acid that results from the fermentation of carbohydrates [38].
The results of the saccharolytic activity of isolates from Big Saroba lake showed that:
  • Isolate BS-1 also showed the highest value in terms of saccharolytic activity to such sugars as arabinose, cellubiose, dextrose, galactose, fructose, lactose, maltose, mannose, mannitol, xylose, and rhamnose;
  • Isolate BS-2, unlike isolate BS-1, did not have the enzymatic activity toward fructose, mannose, and xylose, but it had the ability to ferment galactose;
  • Isolate BS-3, unlike isolate BS-1, did not have the enzymatic activity toward arabinose, mannose, and mannitol, but it had the same ability to ferment galactose as isolate BS-2.
  • However, strains BS-4 and BS-5 did not have the ability to ferment carbohydrates.

3.2. Data Distribution Analysis

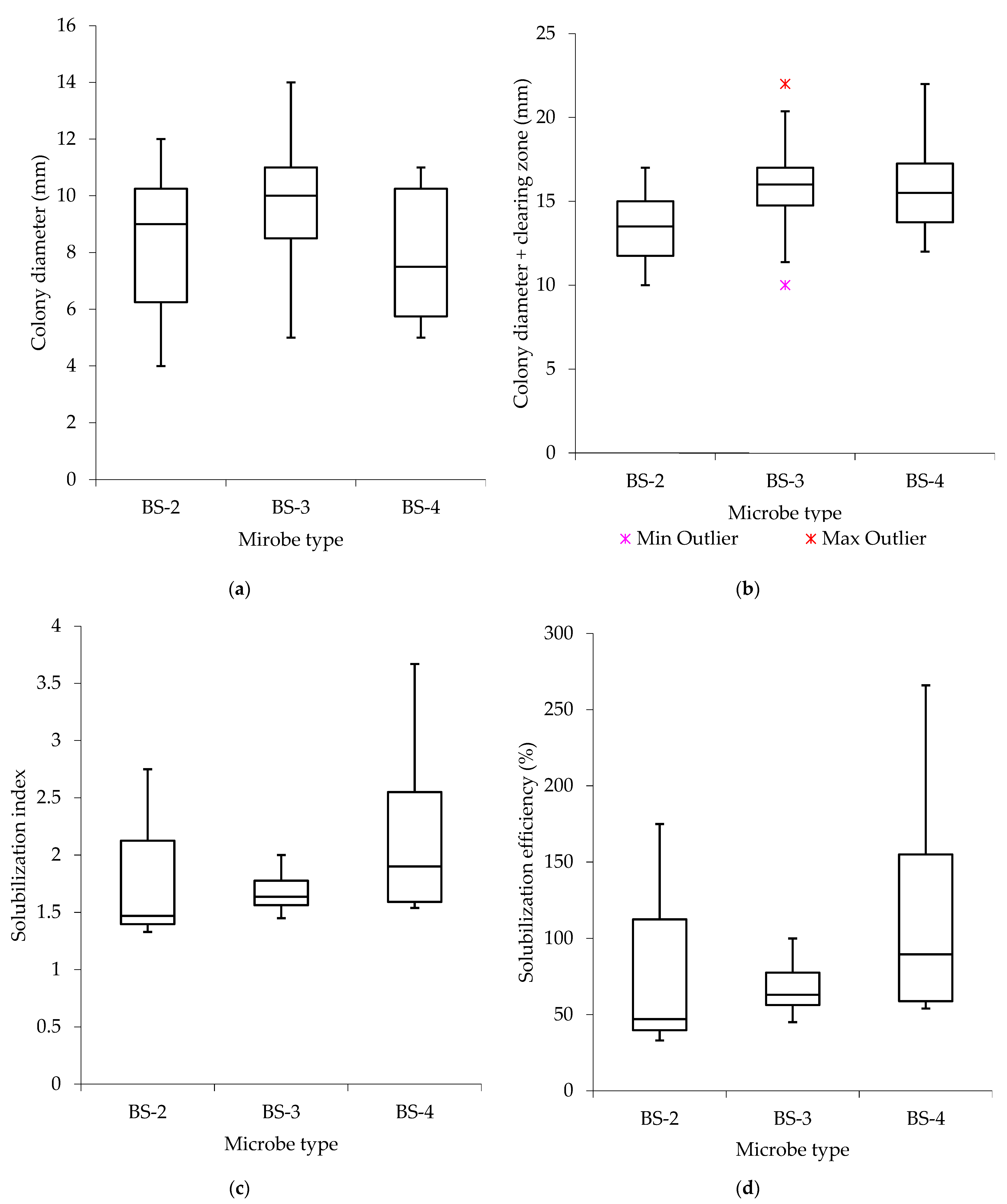
Figure 4 shows that the median lines for the BS-2 and BS-3 boxplots under colony diameter are closer to the upper quartile, indicating that the parameters’ distribution is “negatively skewed”. This indicates that the data from the parameters had more low colony diameter values on average than high colony diameter values. In contrast, the BS-4 boxplot for colony diameter has a median line closer to the lower quartile. This indicates that the data are positively skewed, meaning that there are more high colony diameter values than low colony diameter values. The median lines in the boxplots for BS-2, BS-3, and BS-4 under colony diameter + cleaning zone are closer to the center, suggesting that the data distribution is symmetric or normal. The median lines in the BS-2, BS-3, and BS-4 boxplots under the solubilization index are closer to the upper quartile, indicating that the distribution of the parameters is “negatively skewed.” This indicates that the parameters’ data consisted of low solubilization index values more frequently than high solubilization index values. The boxplots for the efficiency of solubilization show a similar pattern.

3.3. Qualitative and Quantitative Analysis of the Phosphate-Dissolving Activity of the Isolates

After the main phenotypic characterization of the isolated bacteria, a qualitative and quantitative analysis was carried out for the phosphate-dissolving activity of the isolates. The results are summarized in Table 2. To be more specific, Table 2 provides a summary of the results of the screening of phosphate-solubilizing bacteria. It should also be noted that different microorganisms (phosphate solubilizing) demonstrate significant capabilities for the natural solubilization of mineral phosphates. Compared with other microorganisms, bacteria are the most common microorganisms that solubilize mineral phosphate in nature. In both terrestrial and aquatic ecosystems, phosphate solubilizing bacteria (PSB) play a significant role in the biogeochemical cycle of phosphorus [39].
Regarding the qualitative determination of the phosphate solubilization activity of the isolates, three of the five isolates, namely BS-2, BS-3, and BS-4, had positive results, and according to the results of the quantitative analysis, the BS-4 isolate showed the highest efficiency of these three isolates. The efficiency of the phosphate-soluble activity of the BS-4 isolates reached up to 100%, while the activities of BS-2 and BS-3 were about 78 and 69%, respectively. In addition, the indices of solubilization activity of these isolates were determined: 1.8 ± 0.20 for BS-2, 1.7 ± 0.07 for BS-3, and 2.2 ± 0.28 for BS-4. The results of the analyzes for phosphate-solubilizing activity are clearly visible in Figure 5.
The next step was to study the nitrifying activity of the isolates (Table 3). To confirm the involvement of nitrification in the process of nitrogen removal, the ability of the isolates to nitrify was evaluated using either organic and mineral forms of nitrogen as the sole source of nitrogen. It is also important to note that bacteria that can convert ammonium to nitrate through two aerobic processes are known as nitrifying bacteria. Nitrifying bacteria can be extracted from the sediments of fish farming ponds and used to boost bioremediation activity there [40]. Ammonia is thought to first be oxidized to nitrite by ammonia-oxidizing bacteria, and then to nitrate by nitrite-oxidizing bacteria during the two-step process of nitrification. This division of labor between the two functional groups, first described by Winogradsky in 1890 [41], is a widely acknowledged feature of the biogeochemical nitrogen cycle. It was hypothesized that this process could occur by selecting species with lower growth rates but higher growth yields than canonical ammonia-oxidizing microorganisms [41].
Isolates BS-1 and BS-4 had weak nitrifying activity, but isolate BS-2 and BS-3 showed similar high nitrifying activity. Isolate BS-5 did not have the ability to assimilate organic or nitrate nitrogen forms.
As mentioned above, the presence of antagonistic activity of isolates is an important aspect of their potential use in wastewater purification. In this regard, we initially studied the antimicrobial activity of the isolated bacteria. The isolates BS-1 and BS-2 did not have an antagonistic activity, while the BS-3 has antagonistic activity only to Staphylococcus aureus. The BS-5 isolate was distinguished by antagonistic activity, but this was not present against Salmonella and Klebsiella. This isolate showed a high sensitivity to antibiotics, which is a favorable characteristic in the clinical aspect (Table 4). A strain’s antagonistic potential is a crucial consideration in the assessment of probiotics. Adherence to the intestine, reduction of pathogenic bacterial adherence to the intestine, aggregation, and coaggregation, as well as the generation of antimicrobial compounds such as bacteriocins are all examples of antagonistic ability [42]. As can be seen in Table 4, the high antagonistic activity found in the range of 20.5–21.0 mm may indicate the presence of some types of bacteriocins, which if detected, could effectively eliminate pathogenic microbes in water.
Figure 6 shows the growth of the isolated bacteria on mutrient agar after incubation for 24 h at 37 ℃ and the inhibition zones obtained. It is important to note that, for microorganisms to survive and develop, they require food, water, and a favorable environment. These nutrients are made available by nutrient agar to a wide variety of microorganisms, including common bacteria such as Streptococcus and Staphylococcus as well as fungi such as yeast and mold. Nonfastidious organisms can be used to characterize the bacteria that can grow on complicated media such as nutrient agar. Microbes that can develop and flourish without unique dietary requirements or environmental circumstances are known as nonfastidious organisms [43].
The identification of these bacteria was based on a mass-spectrometric method using a Maldi-Biotyper analyzer (Table 5). The MALDI BiotyperTM uses pattern matching between mass spectra and microorganisms listed in a database to identify bacteria using MALDI-TOF MS. A score of 1.7 to 2.0 suggests a match at the genus level, and a score of 2.0 or above implies good dependability at the species level. Since there are numerous strains of the same species listed, precise identification is still achievable despite strains having different patterns [44].
As a result of mass spectrometric analysis, bacterial isolates were identified with a high degree of reliability (scores close to 2 or higher). The isolates belong to the following genera: Shewanella, BS-1 isolate; Arthrobacter, BS-2 isolate; Arthrobacter, BS-3 isolate; Pseudomonas BS-4 isolate; Halomonas, BS-5 isolate. In this study, we screened for phosphate-solubilizing bacteria from water samples of Big Saroba Lake. Of the five isolates from the water of Big Saroba Lake, two phosphate-solubilizing isolates were selected. In our investigation, bacteria from saltwater bodies were isolated and these also showed efficiency in dissolving phosphorus by 33–100% or more. In India, Dipak Paul and Sankar Narayan Sinha isolated phosphate-dissolving bacteria from a river and observed that the isolates could solubilize phosphate in vitro. The phosphate solubilization efficiency in the solid media ranged between 50 and 83.33%. Temperature and pH caused a delay in the expression of phosphatase activity in all the isolates studied in vitro conditions, although 32–37 ℃ was found to be much more congenial for all the isolates [39].
In addition to the fact that the isolates had phosphate-dissolving activity, these isolates had nitrifying activity, that is, they could convert ammonium nitrogen into nitrites, and then into nitrates. Nitrates, in turn, are considered a non-toxic form of nitrogen for living organisms. Thus, the isolated bacteria have a complex effect on the nitrogen cycle in nature, which suggests the prospect of creating a biological product for the bioremediation of water bodies. According to literature data [45], BS-1 Shewanella baltica and BS-4 Halomonas aquamarina are typical bacteria in marine habitats. However, Pseudomonas extremorientalis is a typical representative of bacteria living in freshwater. Pseudomonas extremorientalis is a Gram-negative, aerobic, rod-shaped bacterium that produces a cyclic depsipeptide with surface-active properties. It degraded casein but did not degrade gelatin, starch, agar, or Tween 80.

3.4. Correlation Analysis

The following variables were examined in this study’s correlation analysis: colony diameter, colony diameter plus clearing zone, solubilization index, and solubilization efficiency (%). Table 6 shows that a 0.945160292 correlation coefficient was observed between the solubilization index and the solubilization efficiency, which is considered a “very strong” association. A similar link exists between colony diameter and colony diameter plus clearing zone, with a correlation coefficient of 0.816988602, which is classified as “very strong.” This phenomenon can be related to the fact that the recorded colony diameter can have a significant impact on the coefficient of colony diameter + clearance zone. Moreover, a relatively strong correlation can be observed between the solubilization index and the colony diameter plus clearing zone with a correlation coefficient of 0.535264.

3.5. Analysis of Variance

3.5.1. Analysis of Variance (ANOVA) of Colony Diameter

As already noted, the colony diameter, colony diameter + clearing zone, solubilization index, and solubilization efficiency (%) were all subjected to the single-factor analysis of variance. Table S1 displays a summary of the outcomes from the ANOVA. Notably, when the p-value is less than 0.05, the null hypothesis that there is no difference between the means is rejected, indicating that there is a significant difference. As can be seen in Table S1, the recorded colony diameters from BS-2, BS-3, and BS-4 provided a p-value of 0.434178, which is higher than 0.05 (alpha-value), indicating that the differences in concentrations were statistically insignificant.

3.5.2. Tukey’s Honest Significance Difference Analysis of Colony Diameter

The significance level of the mean differences in terms of the reported colony diameters was further investigated using Tukey’s honest significance difference. Table 7 shows that there is no statistically significant difference (p > 0.01) between the measured diameters of BS-2 vs. BS-3, BS-2 vs. BS-4, or BS-3 vs. BS-4. Comparing one group with the other shows that there were no significant differences in terms of the observed diameters, despite the overall statistically significant differences reported by ANOVA, according to Tukey’s honest significance test.

3.5.3. Analysis of Variance (ANOVA) of Colony Diameter + Clearing Zone

The colony diameter and clearance zones that were retrieved from BS-2, BS-3, and BS-4 were subjected to a single-factor analysis of variance. Table S2 displays a summary of the p-values retrieved from the ANOVA. Notably, when the p-value is less than 0.05, the null hypothesis that there is no difference between the means is rejected, concluding that there is a significant difference. As can be seen in Table S2, the changes in colony diameter plus clearing zone are statistically insignificant since the studied samples’ colony diameter plus clearing zone yielded a p-value of 0.179595, which is higher than 0.05 (alpha-value).

3.5.4. Tukey’s Honest Significance Difference Analysis of Colony Diameter + Clearing Zone

Tukey’s honest significance difference was used to further investigate the significance level of the mean differences in terms of the colony diameter + clearing zone for BS-2, BS-3, and BS-4. From Table 8, we can clearly state that the differences between the measured diameters for BS-2 vs. BS-3, BS-2 vs. BS-4, and BS-3 vs. BS-4 were not statistically significant (p > 0.01).

3.5.5. Analysis of Variance (ANOVA) of Solubilization Index

The solubilization indices acquired for BS-2, BS-3, and BS-4 were subjected to a single-factor analysis of variance. Table S3 displays a summary of the p-values obtained from the ANOVA. Again, it should be emphasized that when the p-value is less than 0.05, the null hypothesis that there is no difference between the means is rejected, indicating that there is a significant difference. As can be seen in Table S3, the solubilization indices from the examined samples had a p-value of 0.196883, which is higher than 0.05 (alpha-value), making the changes in solubilization indices statistically insignificant.

3.5.6. Tukey’s Honest Significance Difference Analysis of Solubilization Indices

Moreover, Tukey’s honest significance difference was used to further investigate the significance level of the mean differences in terms of the investigated solubility indices. Similarly, Table 9 reveals that the differences between the investigated solubility indices data for BS-2 vs. BS-3, BS-2 vs. BS-4, and BS-3 vs. BS-4 were statistically insignificant.

3.5.7. Analysis of Variance (ANOVA) of Solubilization Efficiency

The single-factor analysis of variance was applied to the solubilization efficiency obtained for BS-2, BS-3, and BS-4. The summary of the p-values obtained from the ANOVA is shown in Table 10 and Table S4. the changes in solubilization efficiencies are statistically insignificant since the studied samples yielded a p-value of 0.19991, which is higher than 0.05 (alpha-value).

3.5.8. Tukey’s Honest Significance Difference Analysis of Solubilization Efficiency

Moreover, Tukey’s honest significance difference was used to further investigate the significance level of the mean differences in terms of the investigated solubility efficiencies. Table 10 shows that there was no statistically significant difference (p > 0.01) between the measured solubility efficiency for BS-2 vs. BS-3, BS-2 vs. BS-4, and BS-3 vs. BS-4.

4. Discussion

As was previously mentioned, this study involved the isolation and characterization of bacterial strains from Big Saroba Lake. Five distinct bacterial strains were discovered in culture media: BS-1, BS-2, BS-3, BS-4, and BS-5. These were identified as Shewanella baltica, Arthrobacter histidinolonovorans, Arthrobacter histidinolonovorans, Pseudomonas extremorientalis and Halomonas aquamarina respectively. It is important to remember that phenotypes are the observable traits of an organism. These phenotypes for bacteria frequently involve growing on particular media, such as those with various carbon sources. According to the findings, the rods BS-1, BS-4, and BS-5 are Gram-negative, whereas BS-2 and BS-3 are Gram-positive. All of the isolates’ colonies were spherical and had yellow-red, yellow, and off-white coloring. Isolate BS-4 exhibited the strongest resistance to antibiotics, whereas isolates BS-2 and BS-1 had the highest sensitivity, according to tests of isolate susceptibility. In the study, the BS-1 isolate was found to be resistant to penicillin, amoxicillin/clavulanic acid, oxacillin, fusidine, and rifampicin. Among all the tested antibiotics, the BS-2, BS-3, and BS-5 isolates were only resistant to oxacillin. The BS-4 isolate was resistant to fusidine, oxacillin, tetracycline, and penicillin. Antimicrobial resistance occurs when bacteria, fungi, and other microorganisms learn to resist the medications meant to kill them, implying that the germs survive and develop. Treatment for resistant infections can be challenging and perhaps impossible. It is emphasized in the literature that by 1942 when four Staphylococcus aureus strains were discovered to be penicillin-resistant in hospitalized patients, the spread of penicillin resistance had already been confirmed [46].
The majority of the discovered isolates were not resistant to kanamycin, ampicillin, gentamicin, carbenicillin, neomycin, ciprofloxacin, erytromicin, levomicin, or cefazolin, even though all of the identified isolates were resistant to oxacillin. Various biochemical tests were conducted on the five isolates. Proteolytic activity was evident in isolates BS-2 and BS-3, with casein hydrolysis zones measuring 9.30.48 and 8.00.58, respectively. Of the five detected bacteria, the isolates BS-1 and BS-5 both tested positive for lipase. However, none of the strains had the ability to hydrolyze starch. Starch, a mixture of amylose and amylopectin, gives non-photosynthesizing lifeforms a way to use the energy from the sun in addition to acting as a food store for plants. The presence of enzymes that catalyze the hydrolysis of the (l→4) glycosidic linkages found between the α-D-glucopyranose residues is necessary for the use of starch by organisms. Amylases are enzymes made by plants, microorganisms, and animals that are capable of catalyzing the hydrolysis of α-D-(l→4) links. Isoamylases, also known as debranching enzymes, hydrolyze the α-D-(l→6) links of amylopectin, in addition to amylases [47].
The screening of sugar fermentation was performed using pre-made, commercial disks that contained different sugars. Three isolates could break down different types of carbohydrates by fermentation with varying degrees of activity. The carbohydrate fermentation test can be used to determine whether or not bacteria are capable of fermenting a certain carbohydrate. It checks for the presence of any gas or acid that was released during the fermentation of a certain carbohydrate.
Additionally, the results of the Big Saroba Lake isolates’ saccharolytic activity revealed that isolate BS-1 had the highest level of saccharolytic activity for a variety of sugars, including arabinose, cellubiose, dextrose, galactose, fructose, lactose, maltose, mannose, mannitol, xylose, and rhamnose. It is important to note that saccharification is the procedure used in the manufacture of ethanol fuel to separate complex carbohydrates such as corn or sugar cane into their monosaccharide components. During mashing, the third stage in the production of starch ethanol takes place. In contrast to isolate BS-1, isolate BS-2 was able to ferment galactose but lacked the enzymatic capacity to break down fructose, mannose, or xylose; isolate BS-3 showed the same capacity to ferment galactose as isolate BS-2, but unlike isolate BS-1, it lacked the enzymatic ability to break down arabinose, mannose, or mannitol. However, the BS-4 and BS-5 strains were unable to ferment carbohydrates. Short-chain fatty acids and a range of other metabolites, including the electron-sink products lactate, pyruvate, ethanol, H, and succinate, are created when saccharolytic bacteria digest carbohydrates in the large intestine for enhanced energy and development. While facultative anaerobes are much less common than obligatory anaerobes, the bulk of the big gut microbes in humans has a purely anaerobic metabolism [48].
Three of the five isolates, BS-2, BS-3, and BS-4, produced positive results for the qualitative assessment of the phosphate solubilizing activity of the isolates. It is also important to keep in mind that phosphate solubilizing microbes are a class of helpful microorganisms that can hydrolyze organic and inorganic insoluble phosphorus compounds into soluble phosphorus forms that are readily digested by plants [49]. Additionally, these vast microflorae have an important role in the mineralization of organic phosphorus, the solubilization of inorganic phosphorus minerals, and the storage of enormous amounts of phosphorus in biomass. They mediate the bioavailability of soil phosphorus [50]. However, the quantitative study revealed that among these three isolates, the BS-4 isolate had the highest efficiency. The BS-4 isolates’ phosphate-solubilizing activity efficiency was up to 100%, which was higher than the activities of BS-2 and BS-3 with roughly 78 and 69%, respectively. The indices of solubilization activity for these isolates were also calculated, and they were found to be 1.80 ± 20 for BS-2, 1.70 ± 07 for BS-3, and 2.20 ± 28 for BS-4. It is stated in the study by Kirui et al. [51] on diversity and phosphate solubilization efficiency that interactions with other microorganisms are one of the variables influencing phosphate solubilization.
Examining the isolates’ nitrifying abilities was another crucial component of the investigation. Additionally, it is critical to realize that nitrification plays a crucial role in the biogeochemical nitrogen cycle and in biological wastewater treatment. Ammonia oxidation by ammonia-oxidizing bacteria or archaea and nitrite oxidation by nitrite-oxidizing bacteria are the two sequential processes that make up this process [52]. Historically, research utilizing pure representative strains has been used to characterize the biochemical and physiological characteristics of ammonia-oxidizing bacteria. The majority of nitrifying microorganisms, however, are challenging to isolate and cultivate using traditional culture-based techniques. Cultivation-independent molecular methods have revealed a high diversity and predominance of members of this group of microorganisms that have not yet been cultured [53]. Based on the results, isolates BS-2 and BS-3 demonstrated the highest levels of similar nitrifying activity, and isolates BS-1 and BS-4 had limited nitrifying activity. Isolate BS-5 was unable to ingest organic or nitrate nitrogen forms. Because they need molecular oxygen for activities in the N oxidation pathways and for respiration, nitrifying bacteria are traditionally thought of as obligatory aerobes. However, they are thought to be microaerophiles that grow best in environments with little oxygen. Microaerophily might be significant in ecosystems with interfaces, such as the sediment–water interface and the ocean’s oxygen-minimum zones [54]. Two steps are required for nitrifying bacteria to convert ammonia (NH3) to nitrate (NO3). First, the ammonia-oxidizing bacteria convert ammonia to nitrite (NO2), and second, the nitrite-oxidizing bacteria convert nitrite to nitrate [55].
The investigation into the detected isolates’ probable antagonistic behavior was another focus of the study. Microbial antagonism is the process whereby one type of bacterium stops another from developing. It may occur because of competition for resources between the two organisms or because one microorganism releases a substance that is harmful to the other. In this context, we first considered the antibiotic effect of isolated bacteria. The BS-5 isolate stood out for having antagonistic activity, which did not manifest against Salmonella and Klebsiella but did against other bacteria. It also exhibited a high sensitivity to medications, which is advantageous from a clinical standpoint. While the isolate BS-3 solely exhibits antagonistic activity toward Staphylococcus aureus, BS-1 and BS-2 lacked any antagonistic activity. The ability of Staphylococcus aureus to develop antibiotic resistance is well known. Antibiotic-resistant strain infections frequently occur in epidemic waves that are started by a single or a small number of successful clones. Methicillin-resistant Staphylococcus aureus is a common strain throughout these epidemics, according to Chambers and DeLeo [56], who looked into the waves of resistance in staphylococcus aureus in the antibiotic era. In addition, according to the research by Amer et al. [57], some bacterial species found in the cockroach gut were able to inhibit the growth of all the pathogens that were tested.

5. Conclusions

To examine various microbial potentials, a selection of active microbial strains was isolated from water samples of a naturally salty lake. Based on a Maldi analysis, five bacterial isolates BS-1, BS-2, BS-3, BS-4, and BS-5 were identified as Shewanella baltica, Arthrobacter histidinolonovorans, Arthrobacter histidinolonovorans, Pseudomonas extremorientalis and Halomonas aquamarine, respectively. It was observed that isolates BS-1, BS-4, and BS-5 did not have nitrifying activity, isolates BS-1, and BS-5 did not have phosphate solubilizing activity, and isolates BS-2, BS-3, and BS-4 had phosphate solubilizing activity. Additionally, isolates BS-2 and BS-3 expressed nitrifying activities. In summary, isolates BS-2, BS-3, and BS-4 have a significant effect on the cycling of phosphorus and nitrogen in nature. Regarding the antagonistic activity of the isolates toward opportunistic microbiota in water, isolates BS-3, BS-4 and BS-5 showed the highest activity in comparison with the others. As a result, isolates BS-2, BS-3, BS-4, and BS-5 (all except isolate BS-1) were placed in long-term storage. In summary, among the studied isolates, the BS-4 (Pseudomonas extremorientalis) isolate showed the most promising value in phosphate solubilizing, nitrifying, and antagonistic activities. These findings provide useful information for developing appropriate biological products in water treatment. Further research should focus on investigating the effectiveness of these isolates, either alone or in combination with each other, for their phosphate solubilizing and nitrogen-fixing capabilities in the bioremediation of water bodies, especially sewage ponds.

Supplementary Materials

The following supporting information can be downloaded at: https://www.mdpi.com/article/10.3390/su15010051/s1, Table S1: ANOVA results from the recorded colony diameters; Table S2: ANOVA results from the recorded colony diameter + clearing zones; Table S3: ANOVA results from the recorded solubilization indices; Table S4: ANOVA results from the recorded solubilization efficiencies.

Author Contributions

Conceptualization, Z.T. and A.T. (Aliya Temirbekova); methodology, A.B.; investigation, A.B., and N.A.; data curation, A.A. and A.T. (Aslan Temirkhanov); writing—original draft preparation, A.T.(Aliya Temirbekova) and T.M.; writing—review and editing, A.T. (Aliya Temirbekova) and T.M.; formal analysis, Z.T.; resources, A.B, G.B. and I.T.; software, A.A.; validation, G.B. and I.T.; visualization, N.A. and T.M.; supervision, Z.T.; project administration, Z.S.; funding acquisition, A.T. (Aslan Temirkhanov) and Z.S. All authors have read and agreed to the published version of the manuscript.

Funding

This research was funded by the Ministry of Education and Science, the Republic of Kazakhstan to support the “Creation and replenishment of the collection of industrially valuable microorganisms, the study and preservation of their biological diversity for the needs of biotechnology, medicine, and agriculture”, No OR11465530.

Institutional Review Board Statement

Not applicable.

Informed Consent Statement

Not applicable.

Data Availability Statement

Not applicable.

Conflicts of Interest

The authors declare no conflict of interest. The funders had no role in the design of the study; in the collection, analyses, or interpretation of data; in the writing of the manuscript; or in the decision to publish the results.

References

  1. Edokpayi, J.N.; Odiyo, J.O.; Durowoju, O.S. Impact of Wastewater on Surface Water Quality in Developing Countries: A Case Study of South Africa. In Water Quality; InTech: Vienna, Austria, 2017. [Google Scholar]
  2. Mkilima, T. Treatment of Livestock Slaughterhouse Wastewater by the Electrochemical Method Using Stainless Steel and Copper Electrodes. Environ. Qual. Manag. 2022. [Google Scholar] [CrossRef]
  3. Luo, W.; Su, L.; Craig, N.J.; Du, F.; Wu, C.; Shi, H. Comparison of Microplastic Pollution in Different Water Bodies from Urban Creeks to Coastal Waters. Environ. Pollut. 2019, 246, 174–182. [Google Scholar] [CrossRef] [PubMed]
  4. Meiramkulova, K.; Devrishov, D.; Zhumagulov, M.; Arystanova, S.; Karagoishin, Z.; Marzanova, S.; Kydyrbekova, A.; Mkilima, T.; Li, J. Performance of an Integrated Membrane Process with Electrochemical Pre-Treatment on Poultry Slaughterhouse Wastewater Purification. Membranes 2020, 10, 256. [Google Scholar] [CrossRef] [PubMed]
  5. Meiramkulova, K.; Temirbekova, A.; Saspugayeva, G.; Kydyrbekova, A.; Devrishov, D.; Tulegenova, Z.; Aubakirova, K.; Kovalchuk, N.; Meirbekov, A.; Mkilima, T. Performance of a Combined Treatment Approach on the Elimination of Microbes from Poultry Slaughterhouse Wastewater. Sustainability 2021, 13, 3467. [Google Scholar] [CrossRef]
  6. Meiramkulova, K.; Orynbekov, D.; Saspugayeva, G.; Aubakirova, K.; Arystanova, S.; Kydyrbekova, A.; Tashenov, E.; Nurlan, K.; Mkilima, T. The Effect of Mixing Ratios on the Performance of an Integrated Poultry Slaughterhouse Wastewater Treatment Plant for a Recyclable High-Quality Effluent. Sustainability 2020, 12, 6097. [Google Scholar] [CrossRef]
  7. Meiramkulova, K.; Jakupova, Z.; Orynbekov, D.; Tashenov, E.; Kydyrbekova, A.; Mkilima, T.; Inglezakis, V.J. Evaluation of Electrochemical Methods for Poultry Slaughterhouse Wastewater Treatment. Sustainability 2020, 12, 5110. [Google Scholar] [CrossRef]
  8. Meiramkulova, K.; Zorpas, A.A.; Orynbekov, D.; Zhumagulov, M.; Saspugayeva, G.; Kydyrbekova, A.; Mkilima, T.; Inglezakis, V.J. The Effect of Scale on the Performance of an Integrated Poultry Slaughterhouse Wastewater Treatment Process. Sustainability 2020, 12, 4679. [Google Scholar] [CrossRef]
  9. Tekebayeva, Z.; Zakarya, K.; Abzhalelov, A.B.; Beisenova, R.R.; Tazitdinova, R.M. Efficiency of a Probiotic in Carp Lactococcosis in an in Vitro Experiment. Microb. Pathog. 2021, 161, 105289. [Google Scholar] [CrossRef]
  10. Mulamattathil, S.G.; Bezuidenhout, C.; Mbewe, M.; Ateba, C.N. Isolation of Environmental Bacteria from Surface and Drinking Water in Mafikeng, South Africa, and Characterization Using Their Antibiotic Resistance Profiles. J. Pathog. 2014, 2014, 371208. [Google Scholar] [CrossRef]
  11. Olaolu, T.D. Pollution Indicators and Pathogenic Microorganisms in Wastewater Treatment: Implication on Receiving Water Bodies. Int. J. Environ. Prot. Policy 2014, 2, 205. [Google Scholar] [CrossRef]
  12. Teltsch, B.; Kedmi, S.; Bonnet, L.; Borenzstajn-Rotem, Y.; Katzenelson, E. Isolation and Identification of Pathogenic Microorganisms at Wastewater-Irrigated Fields: Ratios in Air and Wastewater. Appl. Environ. Microbiol. 1980, 39, 1183–1190. [Google Scholar] [CrossRef] [PubMed]
  13. Soltani, S.; Hammami, R.; Cotter, P.D.; Rebuffat, S.; Said, L.B.; Gaudreau, H.; Bédard, F.; Biron, E.; Drider, D.; Fliss, I. Bacteriocins as a New Generation of Antimicrobials: Toxicity Aspects and Regulations. FEMS Microbiol. Rev. 2021, 45, fuaa039. [Google Scholar] [CrossRef] [PubMed]
  14. Garcia-Gutierrez, E.; Arbulu, S. How Can Bacteria Help Us Fight Back Against Bacteria? Front. Young Minds 2021, 8. [Google Scholar] [CrossRef]
  15. Varghese, M.; Balachandran, M. Antibacterial Efficiency of Carbon Dots against Gram-Positive and Gram-Negative Bacteria: A Review. J. Environ. Chem. Eng. 2021, 9, 106821. [Google Scholar] [CrossRef]
  16. Tong, Z.; Zhou, L.; Li, J.; Kuang, R.; Lin, Y.; Ni, L. An in Vitro Investigation of Lactococcus Lactis Antagonizing Cariogenic Bacterium Streptococcus Mutans. Arch. Oral Biol. 2012, 57, 376–382. [Google Scholar] [CrossRef]
  17. Be’er, A.; Zhang, H.P.; Florin, E.-L.; Payne, S.M.; Ben-Jacob, E.; Swinney, H.L. Deadly Competition between Sibling Bacterial Colonies. Proc. Natl. Acad. Sci. USA 2009, 106, 428–433. [Google Scholar] [CrossRef]
  18. Bonatelli, M.L.; Oliveira, L.M.A.; Pinto, T.C.A. Superbugs Among Us: Who They Are and What Can You Do to Help Win the Fight? Front. Young Minds 2020, 8. [Google Scholar] [CrossRef]
  19. Patrovský, M. Utilization of Bacteriocin-Producing Bacteria in Dairy Products. Mljekarstvo 2016, 66, 215–224. [Google Scholar] [CrossRef][Green Version]
  20. van Heel, A.J.; de Jong, A.; Song, C.; Viel, J.H.; Kok, J.; Kuipers, O.P. BAGEL4: A User-Friendly Web Server to Thoroughly Mine RiPPs and Bacteriocins. Nucleic Acids Res. 2018, 46, W278–W281. [Google Scholar] [CrossRef]
  21. Hernández-González, J.C.; Martínez-Tapia, A.; Lazcano-Hernández, G.; García-Pérez, B.E.; Castrejón-Jiménez, N.S. Bacteriocins from Lactic Acid Bacteria. A Powerful Alternative as Antimicrobials, Probiotics, and Immunomodulators in Veterinary Medicine. Animals 2021, 11, 979. [Google Scholar] [CrossRef]
  22. Huang, F.; Teng, K.; Liu, Y.; Cao, Y.; Wang, T.; Ma, C.; Zhang, J.; Zhong, J. Bacteriocins: Potential for Human Health. Oxidative Med. Cell. Longev. 2021, 2021, 5518825. [Google Scholar] [CrossRef] [PubMed]
  23. Atanaskovic, I.; Kleanthous, C. Tools and Approaches for Dissecting Protein Bacteriocin Import in Gram-Negative Bacteria. Front. Microbiol. 2019, 10, 646. [Google Scholar] [CrossRef] [PubMed]
  24. Kumariya, R.; Garsa, A.K.; Rajput, Y.S.; Sood, S.K.; Akhtar, N.; Patel, S. Bacteriocins: Classification, Synthesis, Mechanism of Action and Resistance Development in Food Spoilage Causing Bacteria. Microb. Pathog. 2019, 128, 171–177. [Google Scholar] [CrossRef] [PubMed]
  25. Johnston, H.W. Amendment to Gerretsen’s Technique for the Preparation of Plates Used for Studying Phosphate-Dissolving Micro-Organisms. Plant Soil 1951, 3, 94–96. [Google Scholar] [CrossRef]
  26. Tsuchida, S.; Nakayama, T. MALDI-Based Mass Spectrometry in Clinical Testing: Focus on Bacterial Identification. Appl. Sci. 2022, 12, 2814. [Google Scholar] [CrossRef]
  27. Mkilima, T.; Bazarbayeva, T.; Assel, K.; Nurkenovna, N.N.; Bolatovna, O.I.; Sultanseitovna, K.A.; Saule, M.; Samal, S. Pore Size in the Removal of Phosphorus and Nitrogen from Poultry Slaughterhouse Wastewater Using Polymeric Nanofiltration Membranes. Water 2022, 14, 2929. [Google Scholar] [CrossRef]
  28. Meiramkulova, K.; Devrishov, D.; Kakabayev, A.; Marzanov, N.; Kurmanbayeva, A.; Adilbektegi, G.; Marzanova, S.; Kydyrbekova, A.; Mkilima, T. Investigating the Influence of Fly Attractant on Food Waste Recovery through Fly Larvae Production. Sustainability 2022, 14, 10494. [Google Scholar] [CrossRef]
  29. Meiramkulova, K.; Mkilima, T.; Baituk, G.; Beisembayeva, K.; Meirbekov, A.; Kakabayev, A.; Adilbektegi, G.; Tleukulov, A.; Tazhkenova, G. Treatment of Waste Stabilization Pond Effluent Using Natural Zeolite for Irrigation Potential. PLoS ONE 2022, 17, e0259614. [Google Scholar] [CrossRef]
  30. Mkilima, T.; Meiramkulova, K.; Nurbala, U.; Zandybay, A.; Khusainov, M.; Nurmukhanbetova, N.; Tastanova, L.; Mashan, T.; Meirbekov, A. Investigating the Influence of Column Depth on the Treatment of Textile Wastewater Using Natural Zeolite. Molecules 2021, 26, 7030. [Google Scholar] [CrossRef]
  31. Bochner, B.R. Global Phenotypic Characterization of Bacteria. FEMS Microbiol. Rev. 2009, 33, 191–205. [Google Scholar] [CrossRef]
  32. Fariq, A.; Yasmin, A. Phenotypic characterization and correlation analysis of heavy metal tolerant bacteria. J. Microbiol. Biotechnol. Food Sci. 2017, 7, 37–41. [Google Scholar] [CrossRef]
  33. Tharmaraj, D.; Kerr, P.G. Haemolysis in Haemodialysis. Nephrology 2017, 22, 838–847. [Google Scholar] [CrossRef] [PubMed]
  34. Krásný, L.; Hynek, R.; Hochel, I. Identification of Bacteria Using Mass Spectrometry Techniques. Int. J. Mass Spectrom. 2013, 353, 67–79. [Google Scholar] [CrossRef]
  35. Ruhal, R.; Kataria, R. Biofilm Patterns in Gram-Positive and Gram-Negative Bacteria. Microbiol. Res. 2021, 251, 126829. [Google Scholar] [CrossRef] [PubMed]
  36. Morrison, L.; Zembower, T.R. Antimicrobial Resistance. Gastrointest. Endosc. Clin. N. Am. 2020, 30, 619–635. [Google Scholar] [CrossRef]
  37. Christaki, E.; Marcou, M.; Tofarides, A. Antimicrobial Resistance in Bacteria: Mechanisms, Evolution, and Persistence. J. Mol. Evol. 2020, 88, 26–40. [Google Scholar] [CrossRef]
  38. Huang, X.; Fan, Y.; Meng, J.; Sun, S.; Wang, X.; Chen, J.; Han, B.-Z. Laboratory-Scale Fermentation and Multidimensional Screening of Lactic Acid Bacteria from Daqu. Food Biosci. 2021, 40, 100853. [Google Scholar] [CrossRef]
  39. Paul, D.; Sinha, S.N. Isolation and Characterization of Phosphate Solubilizing Bacterium Pseudomonas Aeruginosa KUPSB12 with Antibacterial Potential from River Ganga, India. Ann. Agrar. Sci. 2017, 15, 130–136. [Google Scholar] [CrossRef]
  40. Aswiyanti, I.; Istiqomah, I.; Isnansetyo, A. Isolation and Identification of Nitrifying Bacteria from Tilapia (Oreochromis sp.) Pond in Sleman Yogyakarta Indonesia. IOP Conf. Ser. Earth Environ. Sci. 2021, 919, 012054. [Google Scholar] [CrossRef]
  41. van Kessel, M.A.H.J.; Speth, D.R.; Albertsen, M.; Nielsen, P.H.; Op den Camp, H.J.M.; Kartal, B.; Jetten, M.S.M.; Lücker, S. Complete Nitrification by a Single Microorganism. Nature 2015, 528, 555–559. [Google Scholar] [CrossRef]
  42. Choi, A.-R.; Patra, J.K.; Kim, W.J.; Kang, S.-S. Antagonistic Activities and Probiotic Potential of Lactic Acid Bacteria Derived From a Plant-Based Fermented Food. Front. Microbiol. 2018, 9, 1963. [Google Scholar] [CrossRef] [PubMed]
  43. Rishmawi, N.; Ghneim, R.; Kattan, R.; Ghneim, R.; Zoughbi, M.; Abu-Diab, A.; Turkuman, S.; Dauodi, R.; Shomali, I.; Issa, A.E.-R.; et al. Survival of Fastidious and Nonfastidious Aerobic Bacteria in Three Bacterial Transport Swab Systems. J. Clin. Microbiol. 2007, 45, 1278–1283. [Google Scholar] [CrossRef]
  44. Hou, T.-Y.; Chiang-Ni, C.; Teng, S.-H. Current Status of MALDI-TOF Mass Spectrometry in Clinical Microbiology. J. Food Drug Anal. 2019, 27, 404–414. [Google Scholar] [CrossRef] [PubMed]
  45. Kloska, A.; Cech, G.M.; Sadowska, M.; Krause, K.; Szalewska-Pałasz, A.; Olszewski, P. Adaptation of the Marine Bacterium Shewanella Baltica to Low Temperature Stress. Int. J. Mol. Sci. 2020, 21, 4338. [Google Scholar] [CrossRef] [PubMed]
  46. Lobanovska, M.; Pilla, G. Penicillin’s Discovery and Antibiotic Resistance: Lessons for the Future? Yale J. Biol. Med. 2017, 90, 135–145. [Google Scholar] [PubMed]
  47. Robyt, J.F. Enzymes in the hydrolysis and synthesis of starch. In Starch: Chemistry and Technology; Elsevier: Amsterdam, The Netherlands, 1984; pp. 87–123. [Google Scholar]
  48. Vandeputte, D.; Joossens, M. Effects of Low and High FODMAP Diets on Human Gastrointestinal Microbiota Composition in Adults with Intestinal Diseases: A Systematic Review. Microorganisms 2020, 8, 1638. [Google Scholar] [CrossRef]
  49. Kalayu, G. Phosphate Solubilizing Microorganisms: Promising Approach as Biofertilizers. Int. J. Agron. 2019, 2019, 4917256. [Google Scholar] [CrossRef]
  50. Tian, J.; Ge, F.; Zhang, D.; Deng, S.; Liu, X. Roles of Phosphate Solubilizing Microorganisms from Managing Soil Phosphorus Deficiency to Mediating Biogeochemical P Cycle. Biology 2021, 10, 158. [Google Scholar] [CrossRef]
  51. Kirui, C.K.; Njeru, E.M.; Runo, S. Diversity and Phosphate Solubilization Efficiency of Phosphate Solubilizing Bacteria Isolated from Semi-Arid Agroecosystems of Eastern Kenya. Microbiol. Insights 2022, 15, 117863612210889. [Google Scholar] [CrossRef]
  52. Caffrey, J.M.; Bano, N.; Kalanetra, K.; Hollibaugh, J.T. Ammonia Oxidation and Ammonia-Oxidizing Bacteria and Archaea from Estuaries with Differing Histories of Hypoxia. ISME J. 2007, 1, 660–662. [Google Scholar] [CrossRef]
  53. Fujitani, H.; Kumagai, A.; Ushiki, N.; Momiuchi, K.; Tsuneda, S. Selective Isolation of Ammonia-Oxidizing Bacteria from Autotrophic Nitrifying Granules by Applying Cell-Sorting and Sub-Culturing of Microcolonies. Front. Microbiol. 2015, 6, 1159. [Google Scholar] [CrossRef] [PubMed]
  54. Ward, B.B. Nitrification in Marine Systems. In Nitrogen in the Marine Environment; Elsevier: Amsterdam, The Netherlands, 2008; pp. 199–261. [Google Scholar]
  55. Wahman, D.G.; Pressman, J.G. Nitrification in Chloraminated Drinking Water Distribution Systems: Factors Affecting Occurrence. In Comprehensive Water Quality and Purification; Elsevier: Amsterdam, The Netherlands, 2014; pp. 283–294. [Google Scholar]
  56. Chambers, H.F.; DeLeo, F.R. Waves of Resistance: Staphylococcus Aureus in the Antibiotic Era. Nat. Rev. Microbiol. 2009, 7, 629–641. [Google Scholar] [CrossRef] [PubMed]
  57. Amer, A.; Hamdy, B.; Mahmoud, D.; Elanany, M.; Rady, M.; Alahmadi, T.; Alharbi, S.; AlAshaal, S. Antagonistic Activity of Bacteria Isolated from the Periplaneta Americana L. Gut against Some Multidrug-Resistant Human Pathogens. Antibiotics 2021, 10, 294. [Google Scholar] [CrossRef] [PubMed]
Figure 1. Microscopic characteristics of the most efficient isolates: (a) BS-1, (b) BS-2, (c) BS-3, (d) BS-4, (e) BS-5 and their pure cultures on plates with nutrient agar medium.
Figure 1. Microscopic characteristics of the most efficient isolates: (a) BS-1, (b) BS-2, (c) BS-3, (d) BS-4, (e) BS-5 and their pure cultures on plates with nutrient agar medium.
Sustainability 15 00051 g001
Figure 2. Antibiotic susceptibility testing: (a) BS-1 isolate and (b) BS-2 isolate.
Figure 2. Antibiotic susceptibility testing: (a) BS-1 isolate and (b) BS-2 isolate.
Sustainability 15 00051 g002
Figure 3. Lipolitic activity of isolate (a) BS-1, (b) BS-5.
Figure 3. Lipolitic activity of isolate (a) BS-1, (b) BS-5.
Sustainability 15 00051 g003
Figure 4. Data distribution of isolates on the 7th day of incubation: (a) colony diameter, (b) colony diameter + clearing zone, (c) solubilization index, and (d) solubilization efficiency.
Figure 4. Data distribution of isolates on the 7th day of incubation: (a) colony diameter, (b) colony diameter + clearing zone, (c) solubilization index, and (d) solubilization efficiency.
Sustainability 15 00051 g004
Figure 5. Phosphate solubilizing activity of isolates. I—first experiment cycle, II—second experiment cycle.
Figure 5. Phosphate solubilizing activity of isolates. I—first experiment cycle, II—second experiment cycle.
Sustainability 15 00051 g005
Figure 6. Antagonistic activity of active isolates against opportunistic bacteria: A. punctata, St. aureus, Escherichia coli, Enterococcus faecalis, Pseudomonas aeruginosa, and Pseudomonas taiwanensis.
Figure 6. Antagonistic activity of active isolates against opportunistic bacteria: A. punctata, St. aureus, Escherichia coli, Enterococcus faecalis, Pseudomonas aeruginosa, and Pseudomonas taiwanensis.
Sustainability 15 00051 g006
Table 1. Differential phenotypic characteristics of isolated bacterial strains.
Table 1. Differential phenotypic characteristics of isolated bacterial strains.
CharacteristicsBS-1BS-2BS-3BS-4BS-5
Gram stainGram (−)Gram (+)Gram (+)Gram (−)Gram (−)
Cell morphologyRodRodRodRodRod
PigmentationYellow-redYellowYellowYellowOff-white
Catalase +
Penicillin sensitivityResistantSensitiveSensitiveResistantSensitive
Tetracycline sensitivitySensitiveSensitiveSensitiveResistantSensitive
Kanamycin sensitivitySensitiveSensitiveSensitiveSensitiveSensitive
Ampicillin sensitivitySensitiveSensitiveSensitiveSensitiveSensitive
Vancomycin sensitivitySensitiveSensitiveSensitive--
GentamycinsensitivitySensitiveSensitiveSensitiveSensitiveSensitive
Carbenicillin sensitivitySensitiveSensitiveSensitiveSensitiveSensitive
Neomycin sensitivitySensitiveSensitiveSensitiveSensitiveSensitive
Ciprofloxacin sensitivitySensitiveSensitiveSensitiveSensitiveSensitive
Erythromycin sensitivitySensitiveSensitiveSensitiveSensitiveSensitive
Levomicin sensitivitySensitiveSensitiveSensitiveSensitiveSensitive
Amoxicillin/clavulanic acid sensitivity)ResistantSensitiveSensitiveSensitiveSensitive
Cefazolin sensitivitySensitiveSensitiveSensitiveSensitiveSensitive
Oxacillin sensitivityResistantResistantResistantResistantResistant
Fusidine sensitivityResistantSensitiveSensitiveResistantSensitive
Rifampicin sensitivityResistantSensitiveSensitive--
Catalase-----
Proteolytic activity-++--
Lipolitic activity+---+
Assimilation of:
Arabinose++---
Cellubiose+++--
Dextrose+++--
Galactose-++--
Fructose+-+--
Lactose+++--
Maltose+++--
Mannose++---
Mannitol+----
Xylose+-+--
Rhamnose++---
Table 2. Phosphate solubilizing efficiency and solubilizing index of isolates on the 7th day of incubation.
Table 2. Phosphate solubilizing efficiency and solubilizing index of isolates on the 7th day of incubation.
IsolatesColony Colony Colony DiameterColony Solubilization Solubilization
Diameter (mm)Diameter (mm)+DiameterIndexEfficiency
Clearing Zone (mm)+ (%)
Clearing Zone (mm)
BS-10 0 0 0
BS-2118.3 ± 1.061513.1 ± 0.911.361.8 ± 0.203678.6 ± 19.90
4102.5150
10151.550
7142100
9121.3333
12171.4141
9131.4444
4112.75175
BS-31013.4 ± 0.821715.9 ± 1.191.71.7 ± 0.077069.0 ± 7.27
9151.6766
14221.5757
7142100
10161.660
5102100
11161.4545
11171.5454
BS-4117.9 ± 0.931815.9 ± 1.131.632.2 ± 0.2863119.3 ± 27.89
5122.4140
6223.67266
5153200
6132.17116
10161.660
11171.5454
9141.5655
BS-50 0 0 0
Table 3. The results of the nitrifying activity of the isolates.
Table 3. The results of the nitrifying activity of the isolates.
IsolateSources of Nitrogen Negative Control
PeptoneNaNO3NH4ClPositive Control (NH4SO4)
BS-1-----
BS-2++++-
BS-3++++-
BS-4++-+-
BS-5-----
Note: “+” indicates the presence of nitrogen reduction, “-“ indicates the absence of nitrogen reduction.
Table 4. Results of antagonistic activity of isolates.
Table 4. Results of antagonistic activity of isolates.
IsolateTesting Strains (mm)
E.coliSt.aur.Salm.ent.Kl.pneum.Ent.faec.Ps.taiw.Ps.aer.Aer.pun.
BS-1--------
BS-2--------
BS-3-11.0 ± 1.63------
BS-417.5 ± 0,5016.0 ± 1.00--20.5 ± 0.5019.0 ± 1.0019.5 ± 0.511.0 ± 0.00
BS-517.5 ± 0.5015.5 ± 0.50--21.0 ± 0.0019.5 ± 0.5020.0 ± 1.0010.0 ± 1.00
Table 5. Identification results of the bacterial species.
Table 5. Identification results of the bacterial species.
Name of IsolateType of BacteriaScore ValueNCBI ID
BS-1Shewanella baltica2.0962322
BS-2Arthrobacter histidinolovorans2.3643664
BS-3Arthrobacter histidinolovorans2.443664
BS-4Pseudomonas extremorientalis1.972169669
BS-5Halomonas aquamarina1.7277097
Notes: 2–3.000 highly probable species identification (green); 2.000–2.299 secure genus identification, probable species identification (green); 1.700–1.999 probable genus identification (yellow); 0.000–1.699 not reliable identification (red).
Table 6. Summary of the correlation analysis results.
Table 6. Summary of the correlation analysis results.
Parameter Colony DiameterColony Diameter + Clearing ZoneSolubilization IndexSolubilization Efficiency (%)
Colony diameter1
Colony diameter + clearing zone0.8169886021
Solubilization index0.0152179440.5352641
Solubilization efficiency (%)−0.2714623160.3073990.9451602921
Table 7. Tukey’s honest significance difference results for the recorded colony diameters.
Table 7. Tukey’s honest significance difference results for the recorded colony diameters.
Treatments PairTukey HSD Q StatisticTukey HSD p-ValueTukey HSD Inference
BS-2 vs. BS-31.39060.591329insignificant
BS-2 vs. BS-40.37930.899995insignificant
BS-3 vs. BS-41.76990.438939insignificant
Table 8. Tukey’s honest significance difference results from the recorded colony diameter + clearing zones.
Table 8. Tukey’s honest significance difference results from the recorded colony diameter + clearing zones.
Treatments PairTukey HSD Q StatisticTukey HSD p-ValueTukey HSD Inference
BS-2 vs. BS-32.36560.238848insignificant
BS-2 vs. BS-42.36560.238848insignificant
BS-3 vs. BS-400.899995insignificant
Table 9. Tukey’s honest significance difference results from the recorded solubilization indices.
Table 9. Tukey’s honest significance difference results from the recorded solubilization indices.
Treatments PairTukey HSD Q StatisticTukey HSD p-ValueTukey HSD Inference
BS-2 vs BS-30.46930.899995insignificant
BS-2 vs BS-42.02540.343628insignificant
BS-3 vs BS-42.49470.205933insignificant
Table 10. Tukey’s honest significance difference results for the recorded solubilization efficiencies.
Table 10. Tukey’s honest significance difference results for the recorded solubilization efficiencies.
Treatments PairTukey HSD Q StatisticTukey HSD p-ValueTukey HSD Inference
BS-2 vs BS-30.4760.899995insignificant
BS-2 vs BS-42.00910.349316insignificant
BS-3 vs BS-42.48510.208247insignificant
Disclaimer/Publisher’s Note: The statements, opinions and data contained in all publications are solely those of the individual author(s) and contributor(s) and not of MDPI and/or the editor(s). MDPI and/or the editor(s) disclaim responsibility for any injury to people or property resulting from any ideas, methods, instructions or products referred to in the content.

Share and Cite

MDPI and ACS Style

Tekebayeva, Z.; Temirbekova, A.; Bazarkhankyzy, A.; Bissenova, G.; Abzhalelov, A.; Tynybayeva, I.; Temirkhanov, A.; Askarova, N.; Mkilima, T.; Sarmurzina, Z. Selection of Active Microorganism Strains Isolated from a Naturally Salty Lake for the Investigation of Different Microbial Potentials. Sustainability 2023, 15, 51. https://doi.org/10.3390/su15010051

AMA Style

Tekebayeva Z, Temirbekova A, Bazarkhankyzy A, Bissenova G, Abzhalelov A, Tynybayeva I, Temirkhanov A, Askarova N, Mkilima T, Sarmurzina Z. Selection of Active Microorganism Strains Isolated from a Naturally Salty Lake for the Investigation of Different Microbial Potentials. Sustainability. 2023; 15(1):51. https://doi.org/10.3390/su15010051

Chicago/Turabian Style

Tekebayeva, Zhanar, Aliya Temirbekova, Aidana Bazarkhankyzy, Gulmira Bissenova, Akhan Abzhalelov, Indira Tynybayeva, Aslan Temirkhanov, Nurgul Askarova, Timoth Mkilima, and Zinigul Sarmurzina. 2023. "Selection of Active Microorganism Strains Isolated from a Naturally Salty Lake for the Investigation of Different Microbial Potentials" Sustainability 15, no. 1: 51. https://doi.org/10.3390/su15010051

APA Style

Tekebayeva, Z., Temirbekova, A., Bazarkhankyzy, A., Bissenova, G., Abzhalelov, A., Tynybayeva, I., Temirkhanov, A., Askarova, N., Mkilima, T., & Sarmurzina, Z. (2023). Selection of Active Microorganism Strains Isolated from a Naturally Salty Lake for the Investigation of Different Microbial Potentials. Sustainability, 15(1), 51. https://doi.org/10.3390/su15010051

Note that from the first issue of 2016, this journal uses article numbers instead of page numbers. See further details here.

Article Metrics

Back to TopTop