Next Article in Journal
Strength and Environmental Behaviours of Municipal Solid Waste Incineration Fly Ash for Cement-Stabilised Soil
Next Article in Special Issue
High-Order Sliding Mode Magnetometer for Excitation Fault Detection of Elevator Traction Synchronous Motor under the Background of Industrial Engineering
Previous Article in Journal
Big Data Analytics Capability Ecosystem Model for SMEs
Previous Article in Special Issue
The Impact of Sustainable Development on the Public Health System of the Elderly in the Internet of Things Environment
 
 
Font Type:
Arial Georgia Verdana
Font Size:
Aa Aa Aa
Line Spacing:
Column Width:
Background:
Article

A Novel Hybrid Methodology to Study the Risk Management of Prefabricated Building Supply Chains: An Outlook for Sustainability

School of Management, Shenyang Construction University, Shenyang Hunnan Hunnan Road No. 9, Shenyang 110167, China
*
Author to whom correspondence should be addressed.
These authors contributed equally to this work.
Sustainability 2023, 15(1), 361; https://doi.org/10.3390/su15010361
Submission received: 8 November 2022 / Revised: 17 December 2022 / Accepted: 19 December 2022 / Published: 26 December 2022

Abstract

The management of the prefabricated building supply chain involves the entire process of prefabricated buildings. There are many uncertain factors, and the risk factors in any link will affect the overall operation of the supply chain. In order to achieve the “dual carbon” goal as soon as possible and promote the sustainable development of the building supply chain, it is very important to study the risk management of the assembly building supply chain. The risk management of the prefabricated building supply chain involves risk recognition, risk prediction, risk assessment, and risk response. In this study, on the basis of literature research, the WBS-RBS (Work Breakdown Structure–Risk Breakdown Structure) method comprehensively uses the working link and risk type of the prefabricated building supply chain to establish an indicator system for risk factors in the prefabricated building supply chain. Then, the risk prediction and evaluation model of the neural network of BP (Back Propagation) through Python software is established to predict the risk of prefabricated building supply chains. After verification, it was found that the accuracy of the training set and test set reached 100% and 96.6667%. The results showed that the BP neural network had good effects on the risk forecast of the prefabricated building supply chain, which provided certain risk predictions for the risk prediction of the prefabricated building supply chain. For reference, on the basis of risk prediction, in order to explore the importance of risk factors to the results of BP neural network prediction results, the characteristic importance algorithm of machine learning replacement features further analyzes the risk factors of the prefabricated building supply chain. Finally, based on the prefabricated construction project of enterprise A, risk prediction and evaluation of its supply chain management were carried out, countermeasures for targeted risks were proposed, and we provided new research on the sustainable development of the assembled building supply chain to provide new research ideas.

1. Introduction

As a sustainable construction method with good construction, high production efficiency and convenient construction, it has attracted great attention from the construction industry and has been vigorously developed. With the proposal of the “double carbon” goal, the supply chain is based on the concept of “green and low carbon”, which is efficiently combined with prefabricated buildings, which is conducive to improving the overall strength of the prefabricated building supply chain and promoting the sustainable development of the construction industry. However, at this stage, the prefabricated buildings supply chain management is more complicated than traditional building supply chain management. In order to ensure the normal operation of the supply chain, this article conducts research on how to predict and evaluate the risk management of the prefabricated building supply chain. At present, the lack of research on the management of the prefabricated building supply chain can broaden the risk management system of prefabricated building supply chain and provide a new research perspective for the sustainable development of the prefabricated building supply chain.
Sustainable development is a balanced and coordinated development concept. Many scholars, at home and abroad, have discussed in-depth sustainable development vertically and horizontally. Through a large number of empirical analyses, they discussed the root causes for various industries to achieve sustainable development; they also discussed the evolution law and implementation path. Isaksson et al. [1], through the main sustainable reports of architecture, in the form of two matrix methods, the concept of sustainable development in construction research and construction practice, have reviewed the concept of sustainable development in construction practices. The results show that there are serious problems in the awareness of the managers of researchers and construction enterprises on sustainable development, and these problems will become an important obstacle to improving building sustainability. Dang P. et al. [2] use the entropy value method and fuzzy hierarchical analysis method to find five key factors affecting the prefabricated construction capacity of Chinese construction enterprises, sorting and analyzing these factors, and finding the corresponding countermeasures in order to accelerate construction enterprises to more sustainable practical transformation. Bungau et al. [3] comprehensively evaluated green buildings from the perspective of sustainable development, clarified the concept and principles of green buildings, and pointed out the current problems and challenges of green buildings. Ahmed Mohd et al. [4] analyzed the latest application status of ANNS technology at the three levels of the construction industry’s sustainable development and proposed a method of comprehensive data input from construction enterprises from different perspectives. In order to reduce the dependence on ANN applications to input data, we also need to discuss ANNS at the social level of construction management, building project life, and the social level of sustainable development of the building. Nobanee et al. [5] believes that sustainable development reflects excellent quality in the working environment, but at the same time, risk management is facing huge challenges in the process of promoting sustainable development. On this basis, this study proposes a method of sustainable development based on engineering risk management and uses a combination of neural networks and machine learning to study the sustainable development of construction enterprises. A comprehensive understanding of sustainable development provides an idea and also puts forward new opinions for the sustainable development of the construction industry in the future.
In the past ten years, prefabricated construction-related industries have developed rapidly. According to the company’s data, there are currently 13,500 prefabricated construction-related enterprises in China. Since 2011, the registered number of prefabricated construction enterprises has increased year by year. In the context of the increasingly globalized market, construction projects are gradually developing in a complex direction, a large number of construction owners and managers are gradually entrusting the task of supply chain management to general contractors for unified management. In this case, to reduce the chain reaction caused by the prefabricated building supply chain’s risk factors, it is particularly important to fundamentally reduce the risk of the prefabricated building supply chain management.
In the construction supply chain, Gosling et al. [6] identified the risk factors and compiled a list of them; Liu and Dong [7] identified the construction supply chain’s risk factors using the literature review method. Most scholars analyze the prefabricated building supply chain’s risk factors based on the risk identification of a certain stage of the prefabricated building, which makes the supply chain risk factors incomplete and affects the evaluation of supply chain risk in some way. Therefore, this study comprehensively uses the WBS-RBS method to decompose the work links and risk types of the supply chain of prefabricated construction enterprises and uses the WBS-RBS risk matrix method to identify the risks of the prefabricated construction supply chain. Low risk factors with less risk loss make the presentation of risk factors more comprehensive, which is one of the innovations of this study.
Xiao et al. [8] determined the weight of risk factor indicators using the entropy weight method and established a fuzzy comprehensive construction supply chain risk evaluation model for risk evaluation research; Mi et al. [9] used the supply chain risk of fuzzy mathematics evaluation of construction engineering to propose 94 targeted risk countermeasures; Giannakis et al. [10], using the failure mode and influence analysis (FMEA) technology, selected the danger and evaluated it to find out its possible causes and influences and test the possible associations of various hazards. Most scholars use a combination of subjective and objective evaluation methods to evaluate prefabricated building supply chain risk management, to some extent, to avoid serious subjective errors. However, since prefabricated building supply chain management is a dynamic process with many risk factors, subjective errors cannot be avoided by using subjective or subjective and objective evaluation methods. Based on this, this research, from the perspective of general contractors, combined with prefabricated building characteristics and supply chain management, established a supply chain risk index system for prefabricated buildings. Using BP neural networks to construct a risk prediction and assessment model for prefabricated building supply chains, and bringing the collected data into the model for simulation training, can more accurately predict the risk state of the supply chain management of prefabricated buildings. On this basis, the machine learning replacement feature importance algorithm is used to further analyze the prefabricated building supply chain’s risk factors and calculate the importance of each risk factor to the predicted results. This is another innovative point of this study. Therefore, this paper mainly solves the following problems: How can the prefabricated building supply chain risk factor index system be established more comprehensively? The BP neural network can be used to construct the risk prediction of the prefabricated building supply chain using Python. How to further analyze the prefabricated building supply chain risk factors through the replacement feature importance algorithm of machine learning and calculate the significance of each risk factor to the output prediction results? By solving the above problems, the state of prefabricated building supply chain management is predicted and evaluated so as to help enterprises effectively manage the supply chain for prefabricated buildings and achieve sustainable development. The second part of this research involves a literature review, and the third part involves developing a risk factor index, the fourth part is the prefabricated building supply chain risk prediction and evaluation model based on BP neural network, and the fifth part is the assembly through company A. We will discuss the risk management of the supply chain in a construction project as an example.

2. Relevant Literature

2.1. Prefabricated Building Supply Chain Management

In the 1990s, throughout the manufacturing industry, the term “supply chain management” has been widely used. Koskela first introduced the manufacturing industry’s supply chain management method to the construction industry, laying the foundation for the management of the construction supply chain. Vrijhoef and Koskela [11] analyzed the four functions of the supply chain management theory applied to the construction industry from the perspective of the supply chain and construction site according to the characteristics of the construction industry, combined with actual cases. Entering the 21st century, supply chain management has been introduced into construction management; Zhao [12] believes that the construction supply chain relies heavily on information sharing, this can add value to supply chain management; Gallardo et al. [13] proposed that application of lean principles and measures in the supply chain management of prefabricated buildings can improve efficiency. Recently, with the vigorous development of prefabricated buildings, the research on supply chain management in prefabricated buildings has gradually deepened; Mangla et al. [14] established a risk management decision-making framework based on the green supply chain network based on the combination of SAPLAP and IRP methods, which improved the ecological and economic benefits of the green supply chain of prefabricated buildings; Zhai et al. [15], aiming at the problem of delivery delay caused by managing the supply chain of prefabricated buildings in the face of uncertainty about the production of prefabricated components, proposed an optimization scheme; Wibowo et al. [16] pointed out that the green supply chain management should include green planning in the construction industry, green product design, five concepts of green material management, green construction, and green operation and maintenance, and constructed a green supply chain framework for the construction industry and developed an evaluation model; Liu and Yan [7] used bibliometric statistical tools to analyze the literature from 2001 to 2018, proposed that the supply chain management of prefabricated buildings can only succeed by coordinating the development of technology, the market environment, and participant decision-making levels; Zhang et al. [17] described the factors affecting the elasticity of the supply chain, and then constructed, structural equation modeling is carried out, and it is confirmed that the key influencing factors of supply chain elasticity are the production and construction of components. The above scholars’ research on the corresponding theoretical model and management of the prefabricated building supply chain, it provides a theoretical basis for the risk management of the prefabricated building supply chain. However, the supply chain management of prefabricated buildings has not been clearly defined in the past. In this study, the supply chain management of prefabricated buildings is based on the whole life cycle perspective. The management of the building network is composed of many subjects, such as subcontractors.

2.2. Prefabricated Building Supply Chain Risk Management

At present, the supply chain risk of prefabricated buildings is relatively unknown, and there is a lack of unified and complete academic theories in this field. At present, the research is biased toward theory, mainly focusing on risk identification, risk evaluation, and risk management. In terms of risk identification, Lee et al. [18] used the failure mode and impact analysis method to obtain the used visual basic programming to design a risk identification database. In terms of risk assessment, Ming et al. [19] comprehensively identified various risks in the investment stage of prefabricated buildings in China by establishing a system dynamics model and quantitatively analyzed investment risks; Luo et al. [20] came to the conclusion that prefabricated construction projects are an actual case to study the supply chain risk and the interaction between supply chain risks and find the biggest risk factors affecting the prefabricated construction supply chain; Too et al. [21] put forward a framework for the impact of carbon emissions during the evaluation items in the planning, delivery, closing, and operation. This study considers the impact of carbon emissions on the entire construction activity and puts it in environmental risks for analysis and research; Yang and Ren [22] used the fuzzy comparative analysis method to analyze the risks of prefabricated building green supply chain from the overall perspective and proposed targeted measures to avoid risks. In terms of risk management, Tah and Carr [23] proposed a knowledge management database for risk management of engineering supply chains in view of the defects in the process of engineering project risk management; Hsu and Aurisicchio [24] proposed adding mathematical models to using a risk avoidance model for prefabricated buildings; Shojaei and Haeri [25] conducted scientific guidance and evaluation on the risk management of the prefabricated building project supply chain based on gray correlation. Through the analysis of the relevant literature, it is found that most scholars have achieved certain research results; this paper provides new ideas for risk management in prefabricated building supply chains. However, from theory to model, most of them are risk management from a specific stage of the prefabricated building supply chain. For the purpose of improving the overall strength of the prefabricated building supply chain management, the author conducts supplementary research from the following two aspects:
1.
The research content is not limited to single-stage risk management and pays more attention to the prefabricated building supply chain risk management throughout the entire life cycle. In view of the shortcomings of the previous research on prefabricated building supply chain risk management, this study applies the WBS-RBS methodology to decompose work links and risk types and uses the WBS-RBS risk matrix method to identify the risk of prefabricated buildings, eliminating risk factors with low probability and less risk loss, which largely avoids the omissions of risk factors. We also provide new ideas and methods for risk recognition and control of prefabricated buildings.
2.
The risk management of the prefabricated building supply chain is a constantly changing process and requires relatively complete system management. Based on the previous supply chain management for prefabricated buildings, this research first establishes the risk factor index system of the prefabricated building supply chain and then establishes the risk prediction and evaluation model of the BP neural network through Python software to form risk identification–risk prediction–risk assessment—closed-loop dynamic risk management for risk countermeasures.

3. Research Methodology

3.1. Establishment of Risk Factor Indicator System

First of all, by selecting the literature on related keywords, such as prefabricated building supply chain and prefabricated building supply chain risk management, it is analyzed and summarized in order to establish a system of risk indices. Secondly, the WBS-RBS method is comprehensively used to decompose the work links and the prefabricated building supply chain risk types, and the WBS-RBS risk matrix method is used to identify the risks of the prefabricated building supply chain and some low probability and risk losses are excluded (these have smaller risk factors), so as to obtain the risk factor index system of the prefabricated building supply chain.

3.1.1. Work Breakdown Structure (WBS)

By studying the basic processes in the traditional supply chain and the prefabricated building supply chain SCOR model, we found that they mostly divided the basic process of the prefabricated building supply chain into a plan, design, procurement, processing, assembly, delivery, and return parts. However, combined with the field survey of supply chain management of prefabricated building projects, it can be found that due to the particularity of prefabricated buildings and finished buildings, the finished products can be delivered after completion. This will not lead to the emergence of supply chain risks. This study focuses on the following stages in the supply chain management of prefabricated buildings, and in order to facilitate the establishment of a risk identification matrix later, this paper analyzes the problems existing in the work links of each stage one by one and combines “W” and numbers into codes to form the WBS structure diagram for each link (shown in Figure 1).

3.1.2. Risk Breakdown Structure (RBS)

As can be seen from the above figure, throughout the supply chain management of prefabricated buildings, there are multiple risks, and these risks are the goals that we need to analyze, study, and solve. On the basis of learning and drawing on the achievements of existing researchers, in this paper, we summarize relevant supply chain risk management cases for prefabricated buildings and combine the opinions of those engaged in the prefabricated construction industry to carry out in-depth and detailed research on the risk of prefabricated construction enterprise supply chain management. As for the risk, this paper conducts a first-level decomposition according to the nature of the internal and external risk factors of the project and obtains six types of risks. On this basis, these risks are further decomposed into two levels, and a total of 30 risk factors of subdivided risks are obtained. Among them, for the minimum risk unit of RBS, this article uses “R” and numbers to form a code to form an RBS structure diagram (Figure 2).

3.1.3. Constructing the WBS-RBS Matrix for Preliminary Risk Discrimination

After establishing the WBS decomposition structure and the RBS decomposition structure, a pair of risk factor identification matrices are made (shown in Table 1).
Through the preliminary identification of the WBS-RBS coupling matrix risk, it can be found that the management level risk, supply and demand relationship risk, supply chain process risk, and consumer cognitive risk are all risk factors in the coupling matrix. The supply chain management of prefabricated buildings will not be affected by risk factors.

3.1.4. List of Risk Factors in the Supply Chain of Prefabricated Buildings

We comprehensively use the WBS-RBS method to identify the possible risk factors of each work in the prefabricated building construction stage, clarify the direction and focus of risk identification, and carefully check the risk points marked on the WBS-RBS cross matrix to eliminate some probability of the occurrence of a lower risk factor with less risk of loss. Finally, the identified key risk factors are effectively classified to form a list of prefabricated building supply chain risk factors (shown in Table 2).

3.2. Risk Prediction and Assessment Model Based on BP Neural Network

3.2.1. Structural Design of BP Neural Network Model

The three-layer BP neural network can fit any function and can continuously provide feedback and adjust the difference between the input value and the output value. Therefore, this paper intends to construct a three-layer BP neural network for the risk prediction of the prefabricated building supply chain.
According to the 26 prefabricated building supply chain risk index systems determined in the third chapter, it can be determined that the number of nodes in the input layer of the BP neural network model is 26.
In practical applications, the neural network is arranged to make the execution as good as possible; the trial and error method is, for the most part, utilized to determine the number of neurons within the covered-up layer. In the model training process, the number of hubs within the covered-up layer is decided by preparing the number of hubs in different hidden layers and comparing the estimate of the mistake values. Figure 3 shows the relationship between the hidden layer and the mistake. As the number of hidden layers increases, the loss becomes smaller and smaller. When the number of hidden layers is 110, the error loss is the smallest, the accuracy is quite high, and the network operation results are ideal.
The most common method for BP neural network to solve the multi-classification problem is to set n output nodes. Before evaluating and forecasting, this paper divides the risk into five categories: very low risk, low risk, general risk, high risk, and very high risk. Therefore, this paper uses these five features as the output and uses binary numbers to represent the corresponding risk classification status. The yield variable can be designed as a five-dimensional vector and utilized as the yield so as to decide that the number of neurons in the yield layer is 5. Its risk classification relationship table is shown in Table 3.
The function of the incentive function in the BP neural network is to convert the input signal into an output signal. The S-type incentive function calculation is simple and easy to express, which can compress the output value of each neuron to (−1,1). Therefore, the S (Sigmoid)-type incentive function is selected. The cross-entropy loss function is often used to solve multi-classification problems in BP neural networks. Therefore, without changing the sigmoid activation function, the cross-entropy loss function is used to replace the mean square error cost function to improve the general BP neural network.
The BP neural is organized to show a chance forecast, and an appraisal of the preassembled building supply chain set up in this paper is shown in Figure 4:

3.2.2. BP Neural Network Learning Steps

The learning steps of a BP neural network’s prefabricated building supply chain risk prediction are as follows:
Step 1: Read the sample and preprocess the sample data. Separate the sample data into training and test samples;
Step 2: Establish the initial BP neural network. Identify the number of nodes in the input layer, output layer, and hidden layer;
Step 3:Create the BP neural network and determine its initial weights and thresholds;
Step 4: Calculate the output values of the hidden layer and the output layer after each layer of neurons processes the sample;
Step 5: Calculate the error between the actual output value and the expected output value of the neural network, and judge whether the error requirement is met. If the requirements are met, stop the iteration; if the error requirements are not met, continue to the next step;
Step 6: The back-propagation error is calculated in this step. The parameter learning rate is maintained through the cross-entropy loss function, the weights and thresholds of the network model are adjusted, and the optimized weights and thresholds are used as the parameters of the BP neural network to continue. Perform training iterations;
Step 7: Verify the prediction performance of the established model, bring the test sample data into the test, compare the corresponding output with the measured value, analyze the error, and ensure that the model has good generalization ability.
Its detailed flow chart is shown in Figure 5.

3.2.3. Simulation Design of BP Neural Network Model Based on Python

(1) Python-based BP neural network design
The Python tool used in this modeling is used to realize the risk prediction of a BP neural network [26]. The relevant modeling code writing ideas are as follows:
Step 1: Import Pytorch-related toolkits
Step 2: Create a data normalization function maxmin;
Step 3: Create a BP neural network class MyModel by inheriting nn.Module;
Step 4: Create a neural network training function train_model;
Step 5: Create a data loading class by inheriting the Dataset metaclass;
Step 6: Create the verification model function val_acc;
Step 7: Call the neural network training function to train the instantiated BP neural network model;
Step 8: Call the model validation function and output the accuracy of the model on the validation set to determine the feasibility of the model.
Due to the limited space of the article, the main program of BP neural network training based on Python will not be presented.
(2) Verification of BP Neural Network Model
Generation of Training Sample Data
This paper collects 150 valid data on the risk prediction of the prefabricated building supply chain by issuing questionnaires to relevant enterprises and universities engaged in prefabricated building projects, as shown in Table 4. Among them, a total of 20 groups of samples from 131 to 150 are used as test samples, which are input into the network for learning and training. The samples from 131 to 150 are also used as test samples to test the training and generalization abilities of the model. In the questionnaire, a total of five levels of the impact of risk factors on the supply chain of prefabricated buildings are set up, [0.0–1.0] indicates very little impact; [1.0–2.0] indicates moderate impact; [2.0–3.0] means moderate influence; [3.0–4.0] means high influence; [4.0–5.0] means a high degree of influence. According to the experts who filled out the questionnaire, the mentor value represents the total risk score of the supply chain. The five scores from 1 to 5 represent five risk levels; 1 represents very low risk, 2 represents low risk, 3 represents general risk, and 4 represents higher risk, 5 means very high risk.
Sample Data Preprocessing
Since there are many companies involved in the supply chain management of prefabricated buildings, the data collected are also different. In order to avoid affecting the model establishment and risk prediction results, it is necessary to process the data of the training samples when establishing the model and risk prediction so that the model can be established better and the analysis results more accurate. Therefore, normalization is adopted in this paper, and the results are shown in Table 5.
BP Neural Network Training
For the 150 sets of data actually selected in this section, the first 130 sets of sample data are used as training samples, the last 20 sets of data are used as detection samples, and the 26 risk indicators are used as an input nodes in the analysis, and the output is a five-dimensional vector. The simulation is carried out by programming, and the neural network required in the analysis is established and trained at the same time. In the program, the maximum number of iterations of the network is set to 10,000 times, the minimum learning error value for training is 0.002, and the learning rate value is 0.008. After all kinds of functions are selected, the neural network is trained.
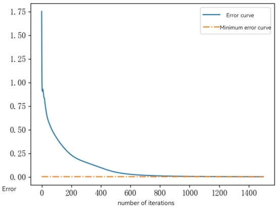
The error change curve of the network training samples in Figure 6 shows that when 1500 training iterations are applied, the error has converged within the minimum error value range, the network operation results are the best, and the network performance can meet the expectations. The training results of the BP neural network for the supply chain risk prediction of prefabricated construction enterprises are shown in Table 6. In the table, the predicted output value, the predicted fitted value, and the actual fitted value are shown.
It can be seen from Table 6 that the 135 sets of data in the training set are shuffled iteratively and trained continuously, and it is found that the predicted classification and expected classification results of the BP neural networks model for prefabricated building supply chain risks are similar, the accuracy rate is 100%, and the maximum relative error is only 0.002256%, far less than 1%. Therefore, BP’s neural network model for risk prediction and the evaluation of prefabricated building supply chains has good nonlinear mapping capabilities.
BP Neural Network Fitting
In Table 7, there are predictive output values, predicted alignment values, and actual fitting values. We can see that the classification prediction of 14 sets of data in the 15 groups of data test samples is correct, and only the prediction classification of the 13th group of data has an error. The accuracy rate reaches 93.33%, and the maximum relative error is only 0.04503901%, which is far less than 1%, indicating that the model has a good predictive classification effect and helps future application research.
According to the prediction results and accuracy rate results in Table 8, it can be found that the accuracy rates of both the test set and the training set are constantly improving, approaching 1, which proves that the model has a good prediction and classification function, which is helpful for the risk prediction of the prefabricated building supply chain research.

3.3. Risk Assessment Based on BP Neural Network Model

The linear regression model of the BP neural network itself has been equipped with interpretation methods. It mainly analyzes the weight of the output results, multiplies the weight coefficients between each neuron in the input layer and each neuron in the output layer to obtain the weight of the feature value, and finally, normalizes the structure to obtain each input feature. In the logistic regression model of the BP neural network used in this paper, the interpretation of the weight is different from that in the linear regression. The result in the logistic regression is the probability between 0 and 1, and the weight no longer linearly affects the probability. In order to explore how important input features are to the results of neural network evaluation and prediction calculations, Christoph Molnar proposed the theory of the importance of replacement features in “Interpretable Machine Learning”. The principle is mainly the importance of measuring the characteristics of the model prediction error after calculating the replacement feature (The permutation feature importance algorithm is shown in Algorithm 1). In this case, the model relies on the input feature to evaluate predictions, so the feature is considered “important.” It is considered “unimportant” if shuffling its values does not affect the model error [27].
Algorithm 1: Calculate the significance of eigenvalues.
Input: average eigenvector V1, trained model mode, Error calculation formula criteion
Output: The corresponding set of errors whenchanging eigenvalues Wucha
Wucha = { }   / / gather
Label = model(V1)
For I in length(V1):
V2 = copy(v1)
V2(i) = 0
Wucha ∪ criterion(mode(V2), Label)

4. Application of Risk Prediction and Evaluation Model Based on BP Neural Network

4.1. Data Collection and Preprocessing

4.1.1. Data Collection

Guided by the “whole industry chain”, enterprise A integrates the design, production, construction, and operational capabilities of the group’s prefabricated buildings to form an integrated supply chain system for the construction of prefabricated buildings. It is the first batch of prefabricated building demonstration bases and has a certain representativeness. The paper uses the prefabricated construction project with company A as the core to assess supply chain risks. By issuing questionnaires to the middle-level managers and above experts involved in the supply chain, the 26 corresponding risk factor indicators in the third chapter, namely U11-U53 in the following table, are scored. For each risk indicator, the 35 interviewed experts must combine the possibility of the occurrence of each risk indicator and the degree of impact on the supply chain after the occurrence of the risk. Scoring standards are divided into five levels: (0.0–1.0] indicates a very low degree of impact; (1.0–2.0] indicates a low degree of impact; (2.0–3.0] indicates a moderate degree of impact; (3.0–4.0] indicates a high degree of impact; a rating of (4.0–5.0] indicates a high degree of influence. A total of 35 questionnaires were distributed. According to the validity of the questionnaire score, the final effective questionnaire was 30. Although the sample size is not sufficient for the operation of a conventional BP neural network due to the selected research object. The quality is high, most of them have master’s degrees or above, they have a long tenure in the field and working years, are familiar with the situation in the field, have relatively rich knowledge reserves and practical experience, and can use crossover by adjusting parameters The verification method is used for calculation and inspection. Thus, the sample size is acceptable for the risk prediction and assessment of prefabricated building supply chains. The original data from the sample are shown in Table 9.

4.1.2. Data Preprocessing

In this paper, the mean method is used to normalize sample data, and the sample data is normalized to the [0,1] interval. We enter the following command in Python:
def maxmin():
max_min_scalar = lambda x: (x - np.min(x)) / (np.max(x) - np.min(x))
for t in col:
data[t] = data[[t]].apply(max_min_scalar)
data.to_excel(’maxminfea.xlsx’)
return data
The results of the normalization of the sample data are shown in Table 10.

4.2. Simulation Process and Results

4.2.1. Build BP Neural Network Model

According to Table 2, this model’s input feature vector is still 26, so there are 26 neurons in the input layer; secondly, due to the establishment of this model, the sample data involved are less, according to the test of the following model, it is determined that there are 98 neurons in the hidden layer. In the end, when conducting risk assessment in this paper, there are five types of risks: very low risk, low risk, general risk, high risk, and very high risk. According to Table 3, the output value of this prediction is a five-dimensional vector, so the output layer has five nodes. We input the data in the table into the model trained, and the simulation test results are shown in Table 11 below.

4.2.2. Risk Assessment Based on the Built Model

(1) Overall risk assessment
The 30 pieces of data of this risk evaluation index are input into the model built by prediction data, Python software is used to simulate the BP neural network model, and finally, we determine the total risk prediction results of the assembled building supply chain management with company A as the core. From the analysis results in Table 11, according to the survey results, 17 respondents believe that supply chain management has low risks, while 13 respondents believe that supply chain management has general risks. It is relatively reasonable to use the mean value of risk indicators for simulation training as risk prediction and evaluation, and its predicted output value is [0, 0, 1, 0, 0], which belongs to general risk. Enterprise A is at the core of the prefabricated building supply chain, and risk management is relatively safe.
(2) Indicator risk assessment
Predicted risk of the prefabricated building supply chain with company A as the core; the input risk index is calculated by the replacement feature importance algorithm to estimate the risk prediction results of the prefabricated construction enterprise supply chain. Then, the sample mean is simulated and trained to obtain the actual error of the prediction result, and the estimated error is compared with the actual error to calculate the prediction error. Finally, the significance level of the input risk index to the prediction result determined by the BP neural network-based supply chain risk prediction and evaluation model of the prefabricated construction enterprise is determined by the increase in the prediction error. Table 12 shows the importance of each risk index to the risk of the prefabricated building supply chain.
Referring to the results obtained from the analysis in Table 12, in the prefabricated building supply chain with company A as the core, 15 risk indicators have a positive significance for predicting the risk value. Among them, the replacement of five risk indicators, including policy and regulation risk, information sharing degree risk, technology and solution matching risk, strategic goal consistency risk, and technological innovation risk, produces a large positive prediction error, indicating that these five risk indicators have a significant impact on the assembly process. The risk prediction value of the supply chain of the modern construction has a large positive significance. A total of 11 risk indicators show a negative significance for prefabricated buildings’ supply chain risk. Among them, the replacement of five risk indicators, namely, the rationality risk of benefit distribution, the risk of logistics operation, the risk of information transmission deviation, the risk of trust, and the risk of market, produces a large reverse error, indicating that these five risk indicators have a significant impact on the supply chain of prefabricated buildings. The risk prediction value has a large reverse significance. Therefore, in view of these key risk factors, we consider the specific situation of the enterprise as a whole, take active measures to prevent risks, and better strengthen risk management.

5. Discussions

At present, the study of the risk management of the building supply chain at home and abroad has made certain progress, but the risk management of the prefabricated building supply chain has not yet established a relatively complete system. For the traditional supply chain, the construction cycle of the prefabricated building supply chain is relatively long, the investment is high, the operating costs are high, and the risks are greater. If it cannot be reasonably analyzed and evaluated by it, a reasonable and effective precautionary prevention will cause the benefits of the entire supply chain to be damaged. In order to reduce the chain reaction caused by the risk of the prefabricated building supply chain, the risk of the fundamental construction supply chain management is fundamentally reduced. This article uses the full life angle of the assembly building supply chain as the entry point, conducts risk management of the entire process of the prefabricated building supply chain, and solves the problem of single-process risk management. The purpose of this article is to explore the risk management of prefabricated building supply chains and analyze the problems it faces. It is hoped that it can provide effective risk management for scholars and enterprises, thereby promoting sustainable development.
This article constructs a new type of mixed method. Through quantitative risk indicators, the probability of predicting risks, and on this basis, risk assessment is performed. First of all, through the WBS-RBS method, a preliminary identification list of risk factors for prefabricated buildings has been established, which makes the establishment of the risk index system more reasonable and reliable. Secondly, a risk prediction and evaluation model of the prefabricated building supply chain based on Python results in a BP neural network being constructed. Through training and verification of the model, it indicates that the BP neural network model has certain application values. This also provides a useful reference for the risk management of scholars and enterprises to study and analyze the supply chain of prefabricated buildings. Finally, the biggest highlight of this research method: Based on the results of the BP neural network risk prediction, the replacement characteristic importance algorithm in the machine learning algorithm is adopted to systematically evaluate the risk. Its basic idea is to conduct an overall assessment of the risk of the assembly building supply chain for the risk prediction output value of the network and then use the replacement characteristic importance algorithm in the machine learning algorithm to determine the input risk index on the prefabricated building supply chain based on the BP neural network. The prediction results determined by the risk prediction model are significant, thereby creating a systematic risk assessment for risk indicators. This article applies a new type of mixed method to the risk management process of the prefabricated building supply chain, revealing the innovation of BP neural network-based risk prediction and evaluation model framework. These can not only make up for the lack of the existing supply chain management, expanding the risk system of the supply chain of prefabricated buildings but can also help scholars or enterprises make more targeted measures to risk management of prefabricated building supply chains to promote the development of sustainable strategies for prefabricated buildings.
In this study, sustainable development supply chain management is introduced into the risk management of prefabricated building supply chains. To clarify the risks associated with the operation of the prefabricated building supply chain, machine learning algorithms are used to evaluate the supply chain. They can reasonably analyze and propose improvement measures based on a variety of factors, laying a solid foundation for further realizing the sustainable development of prefabricated buildings. According to the research on the prefabricated building supply chain with company A at its center, through sorting out the survey data, it is found that the risk of policy and regulations, the risk of information sharing, the risk of technological innovation, the risk of the rationality of benefit distribution, and the risk of supervision and management mechanism, in the prefabricated building supply chain, have a great impact on risk management. In order to further reduce risks, this study offers the following rationalized suggestions.
(1) On the basis of the original relevant laws and regulations supporting the development of prefabricated buildings, the state should supplement new laws, policies, and rules and regulations that match the development of green supply chains, improve the normative standard system, and improve the construction of green standards. Secondly, referring to the advanced green building standards of international or developed countries, the state forms a standard system for supply chain management of domestic prefabricated building enterprises, accelerating the industrialization of prefabricated buildings, and assure a strong supply chain management policy for prefabricated buildings.
(2) The degree of information sharing, the construction of an information technology platform, and the degree of deviation of information transmission are all information factors that affect the risk of the prefabricated building supply chain, and the prefabricated building supply chains are very dependent on these risk factors. At present, with the rapid development of modern information technology, a green supply chain management support platform can be established with the help of network and information infrastructure, and an efficient information integration management system can be established to ensure that enterprises at each node in the supply chain can keep abreast of the work progress and realize the entire supply chain. Thereby reducing the uncertainty of risk management throughout the supply chain.
(3) The update and iteration speed of prefabricated building technology is fast. Without continuous technological innovation and research and development, enterprises will be eliminated by the market due to rapid development. In recent years, the state has intensified research and development efforts and vigorously supported the innovation of prefabricated building technology. Under the corresponding call, enterprises strive to make efforts in the key technology research and development, innovation and integration of the industry development, strengthen the closeness of the combination of production, education and research, and at the same time pay attention to the application of digital technology in the construction process, cultivate professional talents, and improve precision to ensure a good match between innovative technologies and solutions, and to play a leading role in demonstration projects.
(4) Whether the income distribution mechanism is reasonable and fair is closely related to the enthusiasm of supply chain members. On the basis of following the principle of matching benefits and risks, we will improve and perfect the income distribution plan to ensure the rationality of the distribution. Finally, members of each node enterprise of prefabricated buildings should start from the perspective of sustainable development, combine scientific income distribution methods, jointly formulate a sound distribution mechanism, work together in the process of collaborative management, and strive to achieve the maximum efficiency of the supply chain.
(5) In recent years, the promotion of prefabricated buildings has achieved certain results, but there are still deficiencies in policy promotion and project implementation. The state should make the whole process open and transparent for the process of policy implementation and build a good operating mechanism. At the same time, since each node of the supply chain pursues the maximization of its own interests, self-interest and the process of supply chain management can lead to many other behaviors. Therefore, it is necessary to improve the rules, regulations, and supervision measures for the management of supply chain members, as well as to enhance the supervision mechanism and management techniques and improve the work efficiency of supply chain management.
(6) Trust between supply chain members underpins sustainable supply chain development. Enterprises at each node of the supply chain should strengthen communication, maintain consistency in strategic goals, and jointly formulate rules and regulations within the supply chain, supplemented by reward and punishment systems to ensure them.

6. Conclusions

There are many prefabricated buildings in the supply chain, and the structure of the supply chain network is complex and uncertain. According to the characteristics of prefabricated building and supply chain management (SCM) from the perspective of general contracting, first, the risk factors of the supply chain of prefabricated building enterprises are identified by means of the WBS-RBS method, then, a three-layer BP neural network risk prediction and evaluation model of “26-110-5” is programmed with Python program. The “26-110-5” three-layer BP neural network risk prediction and evaluation model trained in this study has a certain degree of expert diagnosis functions. In practical applications, it can input different index data; in the practice of supply chain risk management applied to different prefabricated building projects, the risk level of supply chain management of prefabricated building projects can be predicted according to the risk factors of their prefabricated building projects. This will help managers or enterprises identify risks early and take measures to provide a reference for enterprises to improve risk prevention ability, so as to ensure the sustainable development of prefabricated building supply chain management.
In this study, combined with the characteristics of a BP neural network, a BP neural network prediction and evaluation model for the prefabricated building supply chain was constructed. However, due to the limitation of time and energy, there are still the following shortcomings.
(1) Due to the limitation of time, the collection of data is limited, and the small number of samples may affect the prediction accuracy of the model, which restricts the learning and training impact of the BP neural network to a certain extent, thereby affecting the applicability of the model. Therefore, in the following research, we hope to collect more sample data and then apply this method to supply chain risk prediction and evaluation in order to build a more accurate neural network, which can be used in supply chain risk prediction and evaluation.
(2) Since the risk prediction in this study is a multi-class logistic regression problem, the cross-entropy loss function is often used to solve multi-class problems in the BP neural network. In future research and exploration, the BP neural network can use the square loss function, and the constructed risk index system can be used to build a BP neural network regression model with python software.

Author Contributions

Writing—original draft, T.Z.; Supervision, G.L. All authors have read and agreed to the published version of the manuscript.

Funding

This research received no external funding.

Conflicts of Interest

The authors declare no conflict of interest.

References

  1. Isaksson, R.; Rosvall, M.; Espuny, M.; Nunhes, T.V.; de Oliveira, O.J. How Is Building Sustainability Understood?—A Study of Research Papers and Sustainability Reports. Sustainability 2022, 14, 12430. [Google Scholar] [CrossRef]
  2. Dang, P.; Niu, Z.; Gao, S.; Hou, L.; Zhang, G. Critical Factors Influencing the Sustainable Construction Capability in Prefabrication of Chinese Construction Enterprises. Sustainability 2020, 12, 8996. [Google Scholar] [CrossRef]
  3. Bungau, C.C.; Bungau, T.; Prada, I.F.; Prada, M.F. Green Buildings as a Necessity for Sustainable Environment Development: Dilemmas and Challenges. Sustainability 2022, 14, 13121. [Google Scholar] [CrossRef]
  4. Ahmed, M.; AlQadhi, S.; Mallick, J.; Kahla, N.B.; Le, H.A.; Singh, C.K.; Hang, H.T. Artificial Neural Networks for Sustainable Development of the Construction Industry. Sustainability 2022, 14, 14738. [Google Scholar] [CrossRef]
  5. Nobanee, H.; Hamadi, F.; Abdulaziz, F.A.; Abukarsh, L.S.; Alqahtani, A.F.; Alsubaey, S.K.; Alqahtani, S.M.; Almansoori, H.A. A Bibliometric Analysis of Sustainability and Risk Management. Sustainability 2021, 13, 3277. [Google Scholar] [CrossRef]
  6. Gosling, J.; Naim, M.; Towill, D. Identifying and categorizing the sources of uncertainty in construction supply chains. J. Constr. Manag. Asce 2013, 139, 102–110. [Google Scholar] [CrossRef]
  7. Liu, Y.; Dong, J.; Shen, L. A conceptual development framework for prefabricated construction supply chain management: An integrated overview. Sustainability 2020, 12, 1878. [Google Scholar] [CrossRef]
  8. Xiao, W.; Liu, Z.; Zhong, W. Multi-level fuzzy synthesis evaluation on construction supply chain risk. In Proceedings of the IEEE 2011 Chinese Control and Decision Conference (CCDC), Mianyang, China, 23–25 May 2011; pp. 266–269. [Google Scholar]
  9. Mi, L.I.; Zheng, F.; Management, S.O.; University, J.T. Research on the supply chain risk of engineering based on the total 635 project life cycle. Logist. Eng. Manag. 2013, 35, 82–84. [Google Scholar]
  10. Giannakis, M.; Papadopoulos, T. Supply chain sustainability: A risk management approach. Int. J. Prod. Econ. 2016, 171, 455–470. [Google Scholar] [CrossRef]
  11. Vrijhoef, R.; Koskela, L. The four roles of supply chain management in construction. Eur. J. Purch. Supply Manag. 2000, 6, 169–178. [Google Scholar] [CrossRef]
  12. Zhao, J. Information sharing and value in construction supply chain. In Proceedings of the 2009 International Conference on Management Science and Engineering (IEEE), Moscow, Russia, 14–16 September 2009; pp. 1942–1949. [Google Scholar]
  13. Gallardo, C.A.S.; Granja, A.D.; Picchi, F.A. Productivity gains in a line flow precast concrete process after a basic stability effort. J. Water Resour. Manag. 2014, 140, B4013004. [Google Scholar] [CrossRef]
  14. Mangla, S.K.; Kumar, P.; Barua, M.K. A flexible decision framework for building risk mitigation strategies in green supply chain using sap–lap and irp approaches. Glob. J. Flex. Syst. Manag. 2014, 15, 203–218. [Google Scholar] [CrossRef]
  15. Zhai, Y.; Zhong, R.Y.; Li, Z.; Huang, G. Production lead-time hedging and coordination in prefabricated construction supply chain management. Int. J. Prod. Res. 2017, 55, 3984–4002. [Google Scholar] [CrossRef]
  16. Wibowo, M.A.; Handayani, N.U.; Mustikasari, A.; Nurdiana, A.; Soleh, M.N. Determining factors for implementing green supply chain management in the construction industry: A literature review. In MATEC Web of Conferences; EDP Sciences: Paris, France, 2018; Volume 159, p. 01022. [Google Scholar]
  17. Zhang, M.; Liu, Y.; Ji, B. Influencing factors of resilience of PBSC based on empirical analysis. Buildings 2021, 11, 467. [Google Scholar] [CrossRef]
  18. Lee, H.; Koo, M.H.; Kim, K.; Kim, Y. Spatio-temporal variation of stream-aquifer interaction: Effect of a weir construction in korea. In Proceedings of the In Egu General Assembly Conference, Vienna, Austria, 12–17 April 2015; p. 3223. [Google Scholar]
  19. Li, M.; Li, G.; Huang, Y.; Deng, L. Research on investment risk management of chinese prefabricated construction projects based on a system dynamics model. Buildings 2017, 7, 83. [Google Scholar] [CrossRef]
  20. Luo, L.; Qiping Shen, G.; Xu, G.; Liu, Y.; Wang, Y. Stakeholder-Associated Supply Chain Risks and Their Interactions in a Prefabricated Building Project in Hong Kong. J. Manag. Eng. 2019, 35, 05018015. [Google Scholar] [CrossRef]
  21. Too, J.; Ejohwomu, O.A.; Hui, F.K.; Duffield, C.; Bukoye, O.T.; Edwards, D.J. Framework for standardising carbon neutrality in building projects. J. Clean. Prod. 2022, 373, 133858. [Google Scholar] [CrossRef]
  22. Yang, H.; Ren, W. Research on Risk Management of Green Supply Chain of Prefabricated Buildings Based on QCA. In E3S Web of Conferences (EDP Sciences); EDP Sciences: Paris, France, 2021; Volume 248, p. 03041. [Google Scholar]
  23. Tah, J.H.M.; Carr, V. ‘Towards a framework for project risk knowledge management in the construction supply chain. Adv. Eng. Softw. 2001, 32, 835–846. [Google Scholar] [CrossRef]
  24. Hsu, P.Y.; Aurisicchio, M.; Angeloudis, P. Risk-averse supply chain for modular construction projects. Autom. Constr. 2019, 3, 102898. [Google Scholar] [CrossRef]
  25. Shojaei, P.; Haeri, S.A.S. Development of supply chain risk management approaches for construction projects: A grounded theory approach–sciencedirect. Comput. Ind. Eng. 2019, 128, 837–850. [Google Scholar] [CrossRef]
  26. Janani, S.; Thenmozhi, R.; Jayagopal, L.S. Theoretical Investigations for the Verification of Shear Centre and Deflection of Sigma Section by Back Propagation Neural Network Using Python. Arch. Civ. Eng. 2019, 65, 181–192. [Google Scholar] [CrossRef]
  27. Fisher, A.; Rudin, C.; Dominici, F. All models are wrong, but many are useful: Learning a variable’s importance by studying an entire class of prediction models simultaneously. J. Mach. Learn. Res. 2019, 20, 177. [Google Scholar] [PubMed]
Figure 1. WBS structure diagram of the prefabricated construction enterprise supply chain management work decomposition.
Figure 1. WBS structure diagram of the prefabricated construction enterprise supply chain management work decomposition.
Sustainability 15 00361 g001
Figure 2. RBS structure diagram of the supply chain management risk of prefabricated construction enterprises.
Figure 2. RBS structure diagram of the supply chain management risk of prefabricated construction enterprises.
Sustainability 15 00361 g002
Figure 3. The relationship between hidden layer and error.
Figure 3. The relationship between hidden layer and error.
Sustainability 15 00361 g003
Figure 4. BP neural network structure model of supply chain risk of prefabricated construction enterprises.
Figure 4. BP neural network structure model of supply chain risk of prefabricated construction enterprises.
Sustainability 15 00361 g004
Figure 5. BP neural network risk assessment flowchart.
Figure 5. BP neural network risk assessment flowchart.
Sustainability 15 00361 g005
Figure 6. Error change curve.
Figure 6. Error change curve.
Sustainability 15 00361 g006
Table 1. WBS-RBS Risk Preliminary Identification Matrix.
Table 1. WBS-RBS Risk Preliminary Identification Matrix.
WBS
W1W2W3W4W5
RBSR1R1111111
R1210000
R1311101
R1411111
R1510100
R1611110
R1711111
R1800000
R2R2100100
R2200110
R2311010
R2411000
R2511100
R2610110
R2701101
R2800000
R3R3111111
R3211111
R3311000
R3411101
R3510110
R4R4111111
R4211011
R4311111
R4411001
R4500000
R5R5111100
R5201100
R5311111
R5400000
Table 2. Risk factor index system of the prefabricated building supply chain.
Table 2. Risk factor index system of the prefabricated building supply chain.
NoTarget
Layer
First-Level
Indicator
Secondary
Indicators
1Risk
evaluation
system
for
prefabricated
building
supply
chain
U
Subject risk

U1
Policy and regulatory risk U11
2Country norms and standards risk U12
3Competitive risk U13
4Market risk U14
5Natural disaster risk U15
6Economic risk U16
7Consumer cognitive risk U17
8Manage risk

U2
Information technology platform construction risk U21
9Interest distribution of rational risks U22
10Information sharing degree risk U23
11Information transmission deviation risk U24
12Risk of trust U25
13Risk of cooperation mechanism U26
14Strategic goals consistency risk U27
15Information risk

U3
Technical and solution matching risk U31
16Professional and technical personnel lack risk U32
17Technological innovation risk U33
18Risk sharing risk U34
19Risk of production technical capabilities U35
20Cooperation risk

U4
Logistics operation risk U41
21Supply chain structure risk U42
22Risk of supervision and management mechanism U43
23Production organization and procurement risk U44
24Environmental risk

U5
Communication and coordination risk U51
25Enterprise scale risk U52
26Satisfaction risk of collaboration between enterprises U53
Table 3. Risk classification relationship table.
Table 3. Risk classification relationship table.
Expectation Classification
(Tutor Value)
Risk ClassificationCorresponding to
a Five-Dimensional Vector
1very low risk[1,0,0,0,0]
2lower risk[0,1,0,0,0]
3general risk[0,0,1,0,0]
4higher risk[0,0,0,1,0]
5very high risk[0,0,0,0,1]
Table 4. Raw data table.
Table 4. Raw data table.
NumberU11U12U13U14U15U43U44U51U51U53Expected
Classification
143343434234
223243333343
312322221112
14935543323224
15042234333443
Table 5. Back-out processing data table.
Table 5. Back-out processing data table.
NumberU11U12U13U14U15U43U44U51U51U53Expected
Classification
10.750.50.50.750.50.750.50.750.250.54
20.250.50.250.750.50.50.50.50.50.753
300.250.50.250.250.250.250002
1490.5110.750.50.50.250.50.250.254
1500.750.250.250.50.750.50.50.50.750.753
Table 6. Training Results—Comparison of Model Predicted Output and Expected Output.
Table 6. Training Results—Comparison of Model Predicted Output and Expected Output.
Numbery y zPredictive
Classification
Expected
Classification
1[0.000000,0.000000,0.000000,0.999999,0.009001][0,0,1,0,0][0,0,1,0,0]33
2[0.000004,0.000023,0.999951,0.000026,0.000003][0,1,0,0,0][0,1,0,0,0]22
3[0.001399,0.997128,0.001473,0.000000,0.000000][1,0,0,0,0][1,0,0,0,0]11
134[0.000001,0.000000,0.000000,1.000000,0.000001][0,0,1,0,0][0,0,1,0,0]33
135[0.000000,0.000048,0.999984,0.000000,0.000016][0,0,0,1,0][0,0,0,1,0]44
Table 7. Test Results—Comparison of Model Predicted Output and Expected Output.
Table 7. Test Results—Comparison of Model Predicted Output and Expected Output.
Numberxy y Predictive
Classification
Expected
Classification
1[0.000003,0.000002,0.035409,0.964151,0.000437][0,0,0,1,0][0,0,0,1,0]44
2[0.000001,0.000000,0.000093,0.999894,0.000013][0,0,0,1,0][0,0,0,1,0]44
3[0.000003,0.000001,0.000001,0.999999,0.000002][0,0,0,1,0][0,0,0,1,0]44
4[0.000001,0.000002,0.000023,0.999975,0.000001][0,0,0,1,0][0,0,0,1,0]44
5[0.000003,0.000001,0.000225,0.999772,0.000001][0,0,0,1,0][0,0,0,1,0]44
6[0.000002,0.000001,0.000046,0.999925,0.000029][0,0,0,1,0][0,0,0,1,0]44
7[0.000014,0.000004,0.017776,0.982202,0.000003][0,0,0,1,0][0,0,0,1,0]44
8[0.000003,0.000001,0.005948,0.993865,0.000185][0,0,0,1,0][0,0,0,1,0]44
9[0.000017,0.000001,0.003781,0.994156,0.002047][0,0,0,1,0][0,0,0,1,0]44
10[0.000002,0.000001,0.002674,0.996183,0.001141][0,0,0,1,0][0,0,0,1,0]44
11[0.000025,0.001985,0.955961,0.040506,0.001524][0,0,1,0,0][0,0,1,0,0]33
12[0.000196,0.998223,0.001576,0.000005,0.000000][0,1,0,0,0][0,1,0,0,0]22
13[0.000006,0.000001,0.866483,0.133255,0.000255][0,0,0,1,0][0,0,1,0,0]43
14[0.000013,0.000058,0.999640,0.000275,0.000014][0,0,1,0,0][0,0,1,0,0]33
15[0.000004,0.000000,0.002397,0.997599,0.000004][0,0,0,1,0][0,0,0,1,0]44
Table 8. Evaluation prediction results and accuracy.
Table 8. Evaluation prediction results and accuracy.
QuantityCorrectAccuracy
Training set135135100%
Test set151493.33%
Table 9. Sample raw data table.
Table 9. Sample raw data table.
NumbrU11U12U13U14U51U53
1233412
2144212
3133323
29122212
30233412
mean1.5333332.73333333.2666662.733333 1.63333332.333333
Table 10. Normalized data table.
Table 10. Normalized data table.
NumberU11U12U13U14U51U53
110.50.333333100
2010.666667000
300.50.3333330.50.50.5
29000000
3010.50.333333100
mean0.5333330.3666670.4222220.3666670.3166670.166667
Table 11. Supply chain risk prediction output of prefabricated construction enterprises based on BP neural network.
Table 11. Supply chain risk prediction output of prefabricated construction enterprises based on BP neural network.
Numberxy y Predict
Classification
1[0.00001123,0.50545716,0.49449918,0.00001647,0.00001596][0,1,0,0,0][0,1,0,0,0]2
2[0.00000016,0.99984026,0.00015934,0.00000015,0.00000017][0,1,0,0,0][0,1,0,0,0]2
3[0.00000316,0.00087050,0.99911720,0.00000481,0.00000437][0,0,1,0,0][0,0,1,0,0]3
4[0.00000145,0.00007319,0.99992073,0.00000242,0.00000227][0,0,1,0,0][0,0,1,0,0]3
5[0.00001903,0.50495696,0.49497631,0.00002390,0.00002382][0,1,0,0,0][0,1,0,0,0]2
6[0.00000011,0.00000004,0.99999952,0.00000022,0.00000017][0,0,1,0,0][0,0,1,0,0]3
7[0.00000205,0.00024539,0.99974650,0.00000309,0.00000300][0,0,1,0,0][0,0,1,0,0]3
8[0.00000000,1.00000000,0.00000000,0.00000000,0.00000000][0,1,0,0,0][0,1,0,0,0]2
9[0.00000031,0.99944526,0.00055365,0.00000035,0.00000036][0,1,0,0,0][0,1,0,0,0]2
10[0.00001323,0.50679958,0.49315399,0.00001681,0.00001644][0,1,0,0,0][0,1,0,0,0]2
11[0.00000061,0.99870002,0.00129801,0.00000065,0.00000076][0,1,0,0,0][0,1,0,0,0]2
12[0.00000294,0.00040065,0.99958760,0.00000467,0.00000413][0,0,1,0,0][0,0,1,0,0]3
13[0.00000000,1.00000000,0.00000000,0.00000000,0.00000000][0,1,0,0,0][0,1,0,0,0]2
14[0.00000011,0.00000005,0.99999940,0.00000024,0.00000019][0,0,1,0,0][0,0,1,0,0]3
15[0.00000011,0.99980205,0.00019766,0.00000011,0.00000013][0,1,0,0,0][0,1,0,0,0]2
16[0.00000016,0.99984074,0.00015872,0.00000016,0.00000020][0,1,0,0,0][0,1,0,0,0]2
17[0.00000010,0.00000002,0.99999952,0.00000019,0.00000015][0,0,1,0,0][0,0,1,0,0]3
18[0.00000101,0.00001338,0.99998248,0.00000173,0.00000144][0,0,1,0,0][0,0,1,0,0]3
19[0.00000009,0.99975187,0.00024776,0.00000010,0.00000012][0,1,0,0,0][0,1,0,0,0]2
20[0.00000464,0.00147010,0.99851185,0.00000700,0.00000643][0,0,1,0,0][0,0,1,0,0]3
21[0.00000127,0.00002016,0.99997449,0.00000215,0.00000186][0,0,1,0,0][0,0,1,0,0]3
22[0.00000001,0.99999392,0.00000610,0.00000001,0.00000002][0,1,0,0,0][0,1,0,0,0]2
23[0.00000166,0.00027474,0.99971849,0.00000280,0.00000242][0,0,1,0,0][0,0,1,0,0]3
24[0.00000018,0.99982315,0.00017610,0.00000018,0.00000022][0,1,0,0,0][0,1,0,0,0]2
25[0.00000234,0.00032338,0.99966741,0.00000363,0.00000330][0,0,1,0,0][0,0,1,0,0]3
26[0.00000031,0.99944526,0.00055365,0.00000035,0.00000036][0,1,0,0,0][0,1,0,0,0]2
27[0.00001323,0.50679958,0.49315399,0.00001681,0.00001644][0,1,0,0,0][0,1,0,0,0]2
28[0.00000145,0.00007319,0.99992073,0.00000242,0.00002382][0,0,1,0,0][0,0,1,0,0]3
29[0.00001903,0.50495696,0.49497631,0.00002390,0.00000227][0,1,0,0,0][0,1,0,0,0]2
30[0.00001123,0.50545716,0.49449918,0.00001647,0.00001596][0,1,0,0,0][0,1,0,0,0]2
mean[0.00001469,0.19609243,0.80385810,0.00001487,0.00001995][0,0,1,0,0][0,0,1,0,0]3
Table 12. The calculation process and results of the replacement evaluation index.
Table 12. The calculation process and results of the replacement evaluation index.
Replacement ProcessEstimation ErrorActual ErrorPrediction ErrorSort
The probability of U11 is replaced by 0,
The probability of the remaining 25
evaluation indicators remains unchanged
10.9446630511.1164−0.17173695218
The probability of U12 is replaced by 0,
The probability of the remaining 25
evaluation indicators remains unchanged
11.9476470911.11640.8312470957
The probability of U13 is replaced by 0,
The probability of the remaining 25
evaluation indicators remains unchanged
13.9888515511.11642.8724515471
The probability of U14 is replaced by 0,
The probability of the remaining 25
evaluation indicators remains unchanged
11.0834407811.1164−0.03295921916
The probability of U15 is replaced by 0,
The probability of the remaining 25
evaluation indicators remains unchanged
10.893426911.1164−0.22297310520
The probability of U16 is replaced by 0,
The probability of the remaining 25
evaluation indicators remains unchanged
11.0543184311.1164−0.06208157217
The probability replacement of U17 is 0,
The probability of the remaining 25
evaluation indicators remains unchanged
12.2065248511.11641.0901248496
The probability of U21 is replaced by 0,
The probability of the remaining 25
evaluation indicators remains unchanged
10.7437763211.1164−0.37262367923
The probability of U22 is replaced by 0,
The probability of the remaining 25
evaluation indicators remains unchanged
10.6694450411.1164−0.44695496226
The probability of U23 is replaced by 0,
The probability of the remaining 25
evaluation indicators remains unchanged
13.7693109511.11642.6529109512
The probability replacement of U24 is 0,
The probability of the remaining 25
evaluation indicators remains unchanged
10.6965999611.1164−0.4198000424
The probability of U25 is replaced by 0,
The probability of the remaining 25
evaluation indicators remains unchanged
10.9083852811.1164−0.20801472319
The probability of U26 is replaced by 0,
The probability of the remaining 25
evaluation indicators remains unchanged
11.7741479911.11640.6577479878
The probability replacement of U27 is 0,
The probability of the remaining 25
evaluation indicators remains unchanged
13.104547511.11641.9881475014
The probability of U31 is replaced by 0,
The probability of the remaining 25
evaluation indicators remains unchanged
13.6947107311.11642.5783107323
The probability of U32 is replaced by 0,
The probability of the remaining 25
evaluation indicators remains unchanged
11.2951192911.11640.17871928615
The probability of U33 is replaced by 0,
The probability of the remaining 25
evaluation indicators remains unchanged
13.0996265411.11641.9832265415
The probability replacement of U34 is 0,
The probability of the remaining 25
evaluation indicators remains unchanged
11.2963848111.11640.17998481114
The probability replacement of U35 is 0,
The probability of the remaining 25
evaluation indicators remains unchanged
11.3282613811.11640.21186137513
The probability replacement of U41 is 0,
The probability of the remaining 25
evaluation indicators remains unchanged
10.6858062711.1164−0.43059372625
The probability replacement of U42 is 0,
The probability of the remaining 25
evaluation indicators remains unchanged
11.6009941111.11640.484594119
The probability replacement of U43 is 0,
The probability of the remaining 25
evaluation indicators remains unchanged
11.4614238711.11640.34502387411
The probability of U44 is replaced by 0,
The probability of the remaining 25
evaluation indicators remains unchanged
10.859751711.1164−0.25664829921
The probability of U51 is replaced by 0,
The probability of the remaining 25
evaluation indicators remains unchanged
10.8112335211.1164−0.30516647922
The probability of U52 is replaced by 0,
The probability of the remaining 25
evaluation indicators remains unchanged
11.484568611.11640.36816859610
The probability replacement of U53 is 0,
The probability of the remaining 25
evaluation indicators remains unchanged
11.4599876411.11640.3435876412
Disclaimer/Publisher’s Note: The statements, opinions and data contained in all publications are solely those of the individual author(s) and contributor(s) and not of MDPI and/or the editor(s). MDPI and/or the editor(s) disclaim responsibility for any injury to people or property resulting from any ideas, methods, instructions or products referred to in the content.

Share and Cite

MDPI and ACS Style

Zhu, T.; Liu, G. A Novel Hybrid Methodology to Study the Risk Management of Prefabricated Building Supply Chains: An Outlook for Sustainability. Sustainability 2023, 15, 361. https://doi.org/10.3390/su15010361

AMA Style

Zhu T, Liu G. A Novel Hybrid Methodology to Study the Risk Management of Prefabricated Building Supply Chains: An Outlook for Sustainability. Sustainability. 2023; 15(1):361. https://doi.org/10.3390/su15010361

Chicago/Turabian Style

Zhu, Tian, and Guangchen Liu. 2023. "A Novel Hybrid Methodology to Study the Risk Management of Prefabricated Building Supply Chains: An Outlook for Sustainability" Sustainability 15, no. 1: 361. https://doi.org/10.3390/su15010361

APA Style

Zhu, T., & Liu, G. (2023). A Novel Hybrid Methodology to Study the Risk Management of Prefabricated Building Supply Chains: An Outlook for Sustainability. Sustainability, 15(1), 361. https://doi.org/10.3390/su15010361

Note that from the first issue of 2016, this journal uses article numbers instead of page numbers. See further details here.

Article Metrics

Back to TopTop