Abstract
Flax (Linum usitatissimum L.) is mostly grown in temperate climate conditions. The rising demand for natural fibres other than cotton has re-introduced flax cultivation in to the agenda. This situation has necessitated the acceleration of flax production research in Turkey. The purpose of this research is to discover the best seeding density for flax fibre cultivation. The trials were carried out with the Rolin flax variety at the coordinates 41°21′53″ N and 36°11′17″ E, during the winter seasons of 2018–2019 and 2019–2020, at densities of 500, 750, 1000, 1250, 1500, 1750, and 2000 plant m−2, by using a random block design. According to the results obtained from analysis of variance, where all these charectors examined viz, years, densities, year and density interaction were found statistically significant (p < 0.01). The highest straw, fiber and seed yields per decare were measured at 2000 plant m−2 density, while as the lowest values were determined at 500 plant m−2 density. However In the interaction of year and density, the highest plant height and technical length were measured in the first year at 1750 plant m−2 density at 102.7 cm and 80.2 cm, respectively. Similarly the highest straw yield (764 kg da−1), fiber yield (198.6 kg da−1) and seed yield (133.9 kg da−1) were measured in the first year at 2000 plant m−2 density. Adequate rainfall during the rapid development stage of winter flax in April-May boosted plant height, technical length, straw, seed, and fibre yield. Although the yields were low during the second year, which was dry. While the positive significant correlation (**; p < 0.01) was found between plant density and plant height (r = 0.907 **), straw yield per decare (r = 0.981 **), seed yield per decare (r = 0.973 **), fiber yield per decare (0.978 **), technical length (r = 0.828; * p < 0.05), negative significant correlation (p < 0.01) was found between plant density and the number of secondary branches (r = −0.955 **), stem diameter (−0.955 **) and plant seed weight (r = −0.923 **). According to the data recorded in two-years. It was observed that for high straw, fiber and seed yield, 2000 plant m−2 density was appropriate for cultivating flax fiber during the winter growing period in mild climate conditions.
1. Introduction
Flax (Linum usititassimum L.) fibres supply the raw materials for textiles. [1]. It is one of the oldest fiber plants in the world and is used in the production of environmental friendly durable composite materials [2,3] and paper [4] with its non-fiber wastagess. The seeds of flax plants are directly used as food in dietary products [5], as industrial oil [6], cooking oil, and the remaining residues containing rich nutritional contents are used as a food supplement [7] and as animal feed [8].
Flax has been extensively used for fiber purposes, globally after cotton [9]. The cultivation area of flax fiber decreased rapidly all over the world with the increase in the use of cotton and synthetic fiber resources [10]. Likewise the production of linen and the use of linen fabric continued more or less same [3,11]. With greater consumers demand and interests in natural fibre resources, local products have caused demand for flax to rise once more in recent years [12,13].
In the world, 868 373 tonnes of flax fibre are produced on an area of 240,293 ha, with approximately 97% of the production taking place in Europe, with the remainder taking place in African, American, and Asian countries. The top of three flax fibre producers are France (444,732 tons), by China (219,885 tons) and the Russian Federation (45,211 tons). These countries are followed by Belarus, Belgium, Holland, United Kingdom, Belgium-Luxembourg, Egypt and Spain [14]. Turkey has an ideal environmental condition for the growing and production of flax for fibre and oil. Not withstanding this, flax was unable to sustain its position in agricultural output due to facing a variety of problems including the requirement for a large number of workers to maintain diverse agricultural techniques, high labour costs, and insufficient mechanisation [15]. Although flax production in Turkey supplied domestic needs until 1964. Since then it was declining with a rapid pace, reached to the tune of 4900 ha in 1988 and was continuing to decline until it was almost non-existent in 2019 (11.5 ha), even in some past years, it was not grown for seed or fiber purposes respectively [16]. From the last two decades, all flax products have been imported including flax fiber, flax seeds and its products. Turkey meets 73.3% of its fiber requirement from the countries of European Union (EU) and 26.7% from China [9]. Currently, the textile industry is in desperate need of non-cotton natural fibre sources, and its desire to produce new-alternative weaving by blending different natural fibers [17] has increased the need for quality flax fiber demanded by textile industry [9].
The most produced fiber plant in Turkey is cotton. Nonetheless, climatic considerations limit cotton producing areas, therefore cotton fibre output cannot meet overall consumer demand, with imports accounting for nearly half of it [16]. Contrary, Turkey exports 8.2 billion dollar textile products with a market share of 3% in world textile exports and ranks seventh [18]. In addition, the gradual decrease in water resources, drought stress, plant disease and pest epidemic are important factors that threaten plant production. Cotton is a plant grown in summer which needs more water, and it is the plant with the highest pesticide use [9]. When opposed to cotton input expenses such as fertilisers and insecticides, flax is less affected by stress variables like as aridity-drought [11], and the maintenance operations are lower [19], as well as it can be grown in winter in mild climatic conditions where cotton is not possible to grow [15].
Therefore, considering the possible risks that may occur, there is a need for applied research on flax production to increase alternative natural fiber sources, and to contribute to the sustainable use of soil by taking the existing agricultural products into rotation.
The plant density has significant impact on the morphological parameters of stems of fiber flax. While its increase induces decrease of the stem diameter and prone to lodging of stems, in the low plant densities, produce more secondary branching and greater number of seed capsules. In this case stem diameter have a larger and the fiber rougher. To obtain high-quality flax fiber, it is recommended to more plant density. But, this density should be balanced a suitable between high fiber yield and quality and the risk of lodging of flax [1,10].
In the last 30 years, there has not been found an adequate study on fiber flax agriculture in Turkey in the literature. For this reason, as a first step, it is aimed to determine the most suitable plant density for high straw, fiber and seed yield with the Rolin variety, which is in the first place in our region yield trials.
2. Materials and Methods
2.1. Location, Duration, Soil and Climate
The Romanian flax fiber variety Rolin, was used in this experiment [20]. It is moderately resistant to lodging, susceptible (60–79%) to wilt disease, with a plant height of >80 cm and with blue flowers [21]. This research was carried out at the experiment fields (41°21′53″ N and 36°11′17″ E), Department of Field Crops, Faculty of Agriculture, Ondokuz Mays University, Samsun, Turkey, during the growing seasons of 2018/2019 and 2019/2020. The soil was neutral in response to (pH 6.6), slightly calcareous (CaCO3:1.93%) and somewhat salty (5.39%), with very low organic matter (1.67%), enough phosphorus (8.6%), very low potassium (0.84%), and a clayey structure. The experimental area had an altitude of 200 m and a slope of 3%.
The region of investigation has a temperate climate, with hot and humid summers followed by warm and rainy winters. During the first year, the mean humidity ranged from 56.3 to 81.5%, while as in the second year, it ranged from 66.5 to 80.8%. The first year’s rainfall distribution was more regular than the second year’s, and more precipitation and temperature were reported in April and May, which are considered the plant’s rapid growth stage. In the second year, mean precipitation and temperature were lower than the first year, especially in April and May (Figure 1).
Figure 1.
Total monthly rainfall and temperature mean of flax growing periods during two years.
The mean of duration of sunlight of the experimental area was varied between 4.77 h/day (January) and 12.91 h/day (June) in the first year, and between 4.88 h/day (December) and 11.28 h/day (June) at the second year.
2.2. Treatments, Design, Experimentation and Data Collection
The research trial was initiated on 21 October 2018 and 20 October 2019, having three replications in randomized blocks design (RBD). The sowing was done manually at 3–4 cm deep of 6 m2 parcels, with row distance of 25 cm and row length of 3 m, and with 500, 750, 1000, 1250, 1500, 1750 and 2000 plant m−2 plant density. Before planting, laboratory tests of seeds were performed. In this investigation, a thousand grain weight (3.6 g) was determined by weighing and counting in four replications. In addition, inert matter in the seed, stem, etc. seed purity rate (100%) and germination rate (99%) were determined by four replication of germination test. The number of plants needed per m2 was calculated by proportionality over thousand seed weight, taking into account the purity and germination rate of the seed sample.
Cultural practices and measurements; 50 kg ha−1 N, 50 kg ha−1 P2O5 and 50 kg ha−1 K2O were applied at the time of sowing and 20 kg ha−1 N in spring (10 March 2019 and 8 March 2020) when plant height reached approximately 10 cm. The fertilizer applications were the same in all plant densities. Weed control was done by using of manpower. There was no diseases and pests infestation found. Flowering was seen at the end of April in both years and lasted until the middle of May. Harvesting time of flax is a very important by agronomic point of view in terms of yield and quality of the straw, fiber, and seed. Usually, harvesting is done manually at the yellow ripening stage of flax straw in traditional flax farming in Turkey for fiber yield and quality.
At the time of biological ripening stage a high-quality fiber yield and the fiber flax is ready to harvest. when the seed capsules turn yellow-brown and at least the lower third of the stems is defoliated (1). In the present research, biological ripening stage of plants was completed about 240 days after sowing date in winter conditions.
Harvesting was made manually at the yellow stage of flax straw (on 15 June 2019 and on 11 June 2020, years respectively). The harvested plants were left to dry in the field for 2–3 days and seed-stem separations and measurements were taken respectively. In this study 20 plants were chosen randomly from each parcel, plant height (cm) and the number of secondary branches (cm) was determined according to Kocjan Ačko and Trdan [11], while stem diameter (mm), technical length (cm) and plant seed yield (gr) were determined according to Abo-Marzoka and Amal [22]. Seed yield (kg da−1; one decare egual 1000 m2), straw (kg da−1) and fiber yields (kg da−1) were calculated by using parcel yields.
Retting processing was done according to Dey et al. [13]. The stems separated from seeds for fiber yields were labeled and weighed in 1 kg separately for each parcel. The retting was then performed in three replications in a plastic tank (inner dimensions: 1.5 m × 1.5 m × 1 m) as three replications. The water used for retting had pH of 7.2. The water was maintained at a level 20 cm above the retting bundles. Flotation of bundles was prevented with weights of 10 kg each. During the retting, no temperature regulations were performed. The temperature was in equilibrium with the atmospheric temperature of an average 30 ± 2 °C. The plastic tanks were not placed under direct sunlight. Separation of the fibers from stems were easily and in one piece it was completed 48 h later. After the completion of the retting duration, the bundles were pulled out and dried under sunlight and then they were put in a decortication machine. The fibers obtained were combed with different sizes and separation was done from stem fragments and short fibers and later it was weighed.
In this manuscript, fiber quality analyzes were not examined, only the effects of different plant density on fiber yield and yield criteria were investigated.
2.3. Statistical Analysis
Shapiro-Wilk test was used to determine the normality test and the evaluation method of the data for normal distribution (p > 0.05) was performed between plant densities, normal distribution was not found between years (p < 0.05). Due to the data obtained on yearly basis it did not show a normal distribution, the analysis of variance (ANOVA) of the data was conducted according to randomized block design and the error of the years was calculated separately. Duncan multiple comparison tests were performed to evaluate years, plant density applications and year x plant density interaction. The Mann-Whitney U pairwise comparison test was used to evaluate the data related to the years of production In the research, correlation analysis was performed to measure the strength of the relationship between the examined features and to calculate their relationship [23].
3. Results
According to the analysis of variance, the results revealed that the plant height (p < 0.05), technical length, number of secondary branches, stem diameter, plant seed weight, straw yield per decare, seed yield and fiber yield were statistically significant (p < 0.01) in terms of years, plant density and their interaction (Table 1).
Table 1.
The results of analysis of variance and its effect on different plant densities and years on some morphological characteristics and yield criteria of flax.
The results showed that plant heigth increased with the increase in plant density and the highest (99.5 cm) were measured at 1750 plant m−2 density. However, at 2000 plant m−2 density, it decreased once more. At 500 plant m−2 density, the lowest plant height (81.13 cm) was measured respectively. As a general, plant height was close found each other at 1250–1500–2000 plant m−2 densities (Table 2). Plant height was observed to be higher in the first year (93.97 cm) than in the second year (86.32 cm) (Table 3).
Table 2.
The mean of some morphological characteristics and yield criteria of flax at the different plant density.
Table 3.
The mean of some morphological characteristics and yield criteria of flax at the different years.
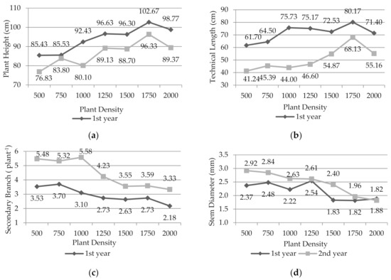
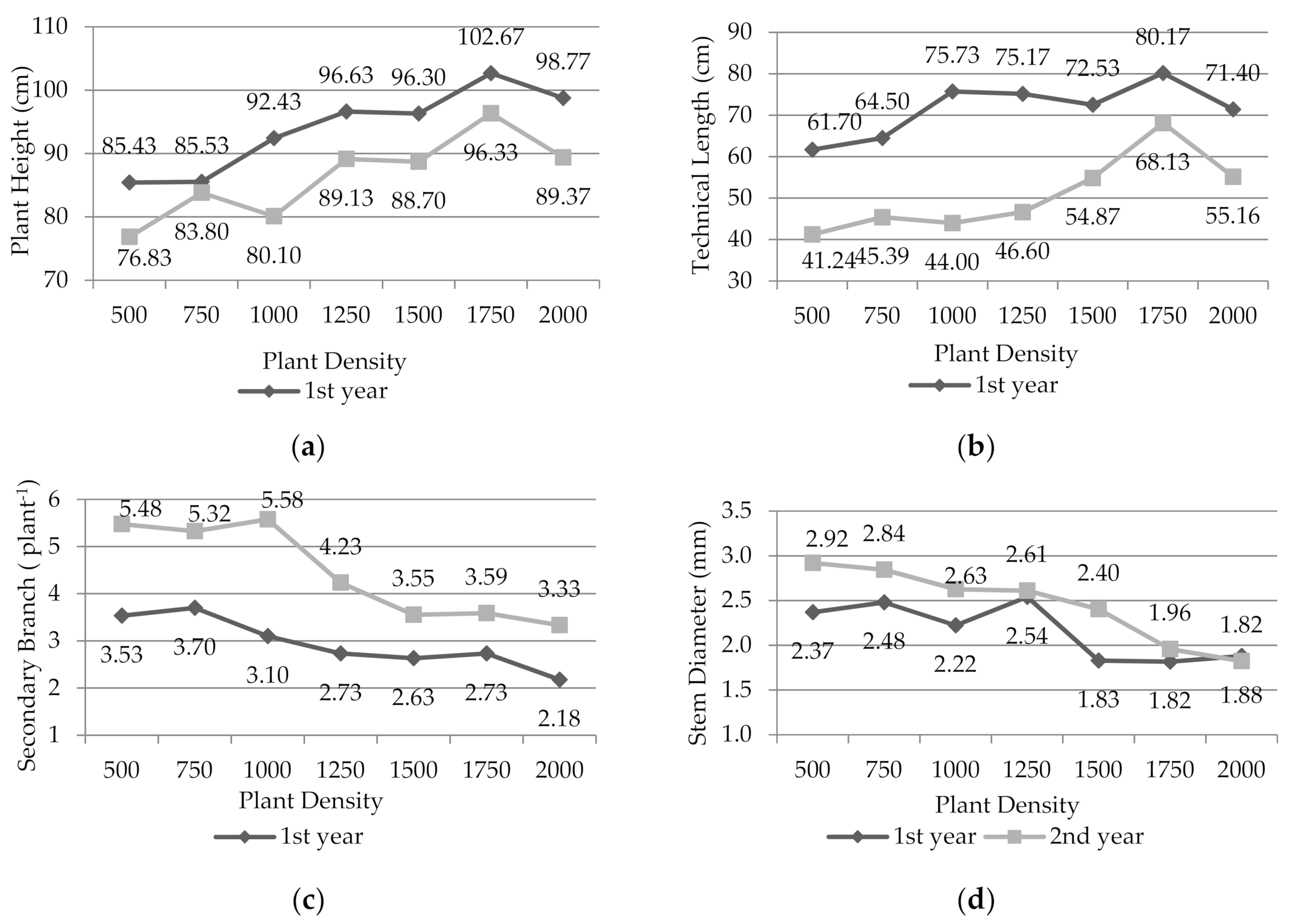
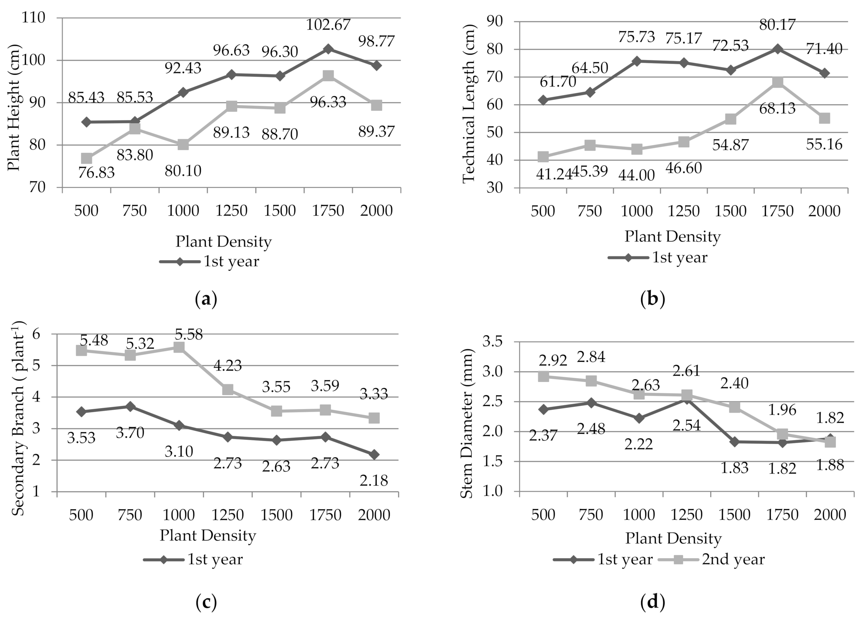
In the year-density interaction effect, the highest plant height (102.67 cm) were observed at 1750 plant m−2 density during the first year, while as the lowest (76.83 cm) measured at 500 plant m−2 density in the preceeding year (Figure 2a).

Figure 2.
The graphics of effect of year x plant density interaction on plant height (a), technical length (b), secondary branch (c), stem diameter (d), seed weight per plant (e), straw yield per da (f), seed yield per da (g), fiber yield per da (h) yield and yield criteria of flax.
Among varying plant densities, the technical length exhibited a comparable response to the plant height in the study. The highest technical length (74.15 cm) was measured at 1750 plant m−2 density, and decreased depending on the decrease of the plant height at 2000 plant m−2 density (Table 2). The technical length was found to be higher in the 1st year (71.60 cm) than the 2nd year (50.77 cm) (Table 3).
The highest mean technical length (80.17 cm) were obtained in the first year at 1750 plant m−2 density, while as the lowest (41.24 cm) had in the second year at 500 plant m−2 density Technical length increased irregularly up to 1750 plant m−2 density in both years, then declined again around 2000 plant m−2 density (71. 40 cm and 55.16 cm, 1st and 2nd years, respectively) (Figure 2b).
The secondary branch number among the plant density were found between 4.51 number plant−1 to 2.76 number plant−1. It was the highest at 500 plant m−2, 750 plant m−2 and 1000 plant m−2 density while the lowest at 2000 plant m−2 density (Table 2). The increase in plant number at m2 in both years caused a decrease in the number of secondary branches per plant after 1000 plant m−2 density. In the interaction between the plant density and year, the number of mean secondary branches changed 2.18 number plant−1 (the 1st year at 2000 plant m−2) from 5.48 number plant−1 (2nd year at 500 plant m−2) (Figure 2c).
The number of branches per plant was found higher in the 2nd year than 1st year (Table 3).
Among plant densities, the lowest stem diameter (1.89 cm and 1.85 cm) were obtained at 1750 plant m−2 and 2000 plant m−2 densities, respectively (Table 2). The second year’s stem diameter (2.45 cm), which was more arid, and showed higher than the first year’s (2.16 cm) (Table 3). The drop in plant density resulted with the increase in stem diameter after 1250 plant m−2 in both years (Figure 2d).
The highest seed weight per plant were found at the 750 plant m−2 density (1.59 g plant−1) while as the lowest values depicted at the 2000 plant m−2 density (0.65 g plant−1) among the plant density (Table 2). Seed weight per plant was higher during the 2nd year compared to 1st year (Table 3). In terms of plant density and year interaction, the maximum mean of seed weight per plant was observed in the second year at 750 plant m−2 density with 1.85 g, while as the lowest were reported in the first year at 2000 plant m−2 density with 0.64 g. In generally the seed weight per plant was decreased after the 750 plant m−2 density in both of the years (Figure 2e).
Among plant densities, the highest straw yield were at the 2000 plant m−2 density (594.2 kg da−1), however the lowest were found at the 500 plant m−2 density (254.20 kg da−1). With the increase of plant density, the straw yield per decare was increased as regularly (Table 2). It was found that the first year’s straw yield (581.02 kg da−1) was higher than the second year’s (581.02 kg da−1) (241.22 kg da−1) (Table 3). In terms of interaction of plant density and year, the straw yield per decare was varied from 763.8 kg da−1 (1st year, 2000 plant m−2) to 144.4 kg da−1 (2nd year, 500 plant m−2). In this study the highest straw yield per decare was measured at 2000 plant m−2 density at the both of years (Figure 2f).
The highest seed yield per decare was found at 2000 plant m−2 density with 128.25 kg, followed by 1750 plant m−2 density (118.87 kg). With the increase in plant density per unit resulted in an increase in seed yield per decare (Table 2) The first-year seed yield (115.57 kg da−1) was higher than the second-year seed yield (71.38 kg da−1) (Table 3)
The interaction of plant density and year, there was considerable change in seed yield between 133.9 kg da−1 and 26.33 kg da−1 (Figure 2g). The highest seed yield were recorded at 1st year with 2000 plant m−2, and the lowest seed yield were measured at 2nd year with 500 plant m−2 density. The seed yield per decare was more stable increased until 2000 plant m−2 at the 1st year than at the 2nd year. But this increase was more important after 1500 plant m−2 at the 2nd year (Figure 2g).
The result findings showed that, the highest fiber yield production was at 2000 plant m−2 density with 158.67 kg da−1, followed by 1750 plant m−2 density with 128.41 kg da−1 (Table 2). The fiber yield was increased and was increased with the increase in straw yield. The fiber yield (151.60 kg da−1) was higher in the 1st year than the 2nd year (63.7 kg da−1) (Table 3). In terms of interaction of plant density and year, the highest mean fiber yield (198.5 kg da−1) was in the 1st year with 2000 plant m−2 density, while the lowest mean fiber yield (36.3 kg da−1) was found in the 2nd year with 500 plant m−2 density respectively, (Figure 2h).
The positive significant correlation (p < 0.01) was found between the plant density and plant height (r = 0.907 **), straw yield per decare (r = 0.981 **), seed yield per decare (r = 0.973 **), fiber yield per decare (r = 0.978 **), technical length (r = 0.828 *; p < 0.05), However a negative significant correlation (p < 0.01) was found between the plant density and the number of secondary branchs (r = −0.955 **), stem diameter (r = −0.927 **) and plant seed weight (r = −0.923 **). Similarly the positive significant correlation (p < 0.01) were found between the plant height and technical length (r = 0.948 **), seed yield per decare (0.886 **) while negative significant correlation (p < 0.01) was between the number of secondary branch (r = −0.881 **), seed weight (r = −0.887 **). There were positive significant relationships identified (p < 0.01) between the number of secondary branches and seed weight per plant (r = 0.937 **), straw yield per da and seed yield per da (r = 0.951 **), and fibre yield per da (r = 0.999 **). However, relation between stem diameter and plant height (r = −0.809 *), technical length (r = −0.824 *) was negative significant (p < 0.05) (Table 4).
Table 4.
The significance levels and correlations between the examined criterias of flax.
4. Discussion
In temperate climate regions, flax is grown for fibre, however in arid climates, it is grown for seed production. Flax fiber is obtained from the straws of the plant. High fibre yield and fibre quality necessitate high plant height and technical length, as well as a thin stem diameter [24,25]. Plant height and technical length are positively correlated with the straw and fiber yield of flax [26], and they are affected by genetic features of the variety [27], climatic conditions such as temperature, water and light [6,20], soil structure, sowing date, sowing density, for plant [10] and fertilization during cultivation.
According to the research, plant density has a considerable impact on straw, fibre, and seed yield [11]. As a result of the competition between plants with the increase in plant density, the plant height, technical straw length, straw and seed yield are increased [28,29], therefore the stem diameter, the number of branches and plant seed yield are decreased [24], and it was also seen that it decreases the number of flax beetle [30]. Although the competition of flax with weeds is very weak in the first development period [31], the increase in plant density causes a shading effect and suppresses of weeds [32].
The decrease in the number of plants per unit during the winter growth season of flax was investigated in this study (500 plant m−2), and it was noticed that the plant height was becoming shorter, that encouraged the plant to branch from the lower parts of plant, and therefore shortened the technical length. Plant height and technical length increased with the increase in plant density and reached up to 1750 plant m−2 plant density, but decreased again at 2000 plant m−2 plant density. According to research on flax sowing density, 2250 plant m−2 was suggested for the highest plant height and technical length [28] and 2500 seeds m−2 [33]. This was also observed by researchers [34,35] recommended 1800 plants m−2 density. However, in our case, a reduction was observed after 1750 plant m−2. The reasons why our findings differ from the these literature could be due to different genotypic or climatic conditions of varied agro-ecological conditions. As a matter of fact, during the development of fiber flax, it has a impact by climatic conditions such as cloudy, warm or rainy weather [10,36].
Due to the obvious rise in the number of plants per unit area in our experiment’s climatic conditions, it is possible that flax plants did not receive enough sunlight, plant nutrients, soil, or water, or that they were stressed. So, during the April-May months, which are the active growth season of flax, the plant height and technical length were shorter in 2nd year in which there was less rainfall and low temperature when compared with the 1st year (Figure 1). In our study, it was showed that the arid growing phase in flax had a major detrimental impact on plant growth and development, as well as changing the ambient circumstances’ growth and development course.
Plant height ranges between 68 cm and 117.00 cm during this study under various ecologies, depending on environmental conditions, cultural practices, and genotype, while technical straw length was altered between 41.24 cm and 80.17 cm [37,38]. In the present study the plant height and technical length varied between 76.8 cm and 102.7 cm and 41.2 cm and 80.2 cm, respectively.
Flax growth and development are influenced by environmental factors such as rainfall, light density, and temperature, as well as cultural methods such as sowing densityAs a result, plant growth is highly dependent on the sowing rate and time, which influences plant density in the field [25]. It has been reported that plant density had no impact on plant height [39]. In our study, plant density was found to have a significant (p < 0.01) impact on all characteristics except for plant height (p < 0.05) (Table 1).
Secondary branching in flax is increased as the number of plants per unit area decreases [1]. In our study, the number of branches decreased with the increase in plant density, and the lowest branches were measured at a density of 2000 plant m−2. Depending on the growing conditions, it has been stated that the number of branches varied between 0.97 plant−1 to 2.50 plant−1 [24], while it varied from 8.07 plant−1 to 6.60 plant−1 [28], and it varied between 4.92 and 6.14 [40]. It has been observed in the present study that the insufficient rainfall during the active developement stage of plants enhanced the number of branches plant−1, particularly in the second year (Figure 1).
In general, there is an inverse correlation between the stem diameter and the plant height, and stems were sorted into three categories: small (less than 1.5 mm), medium (1.5 mm to 1.65 mm) and large (greater than 1.65 mm) [25]. The stem diameter decreases with the increase in plant density [34]. Inthis study, the lowest stem diameter (1.89 mm and 1.85 mm) was found at 1750 plant m−2 and 2000 plant m−2, respectively, while the highest stem diameter (2.64 mm) was found at 500 plant m−2 plant density. It has been also reported earlier [29] that the stem diameter varied between 1.97 mm and 1.88 mm, while in another study [36], the stem diameter varied between 3.35 mm and 1.25 mm. The results of our study were similar to the results of researchers [29,36] where we observed that the stem diameter was decreased with the increase in density, and a very significant negative correlation was found between the stem diameter and the plant density (r = −0.927 **).
According to the literature, it was inversely proportional and the stem diameter decreased with the increase in the number of plants in m2, dense sowing produced the highest straw yield, while seed yield and fibre yield were not statistically affected by the increase in sowing density, and the effects of density on seed, straw, and fibre yield of flax differed between years [38]. In addition, while the rate of weeds and herbicide use will decrease in the field [41] due to increased competition between densely planted flax, an increase in yield is provided through a more homogeneous and dense canopy respectively [31].
Each branch of flax ends with a capsule, and the seed develops within these capsules. The increase in the number of branches plant−1 is an important criterion that has affects on the seed weight of the plant. In this study, the highest seed weight plant−1 was measured at 750 plant m−2 density, but with the increase in plant density, the number of branches plant−1 was decreased, and the seed weight plant−1 was negatively affected. Despite this, the decrease of seed weight did not show a negative effect on seed yield per decare (Table 4), while the seed yield per decare increased at 2000 plant m−2 due to the increment of the number of plants per unit area.
Plant density plays an important role in increasing production per unit area, and it is dependent on the expected growth of a particular crop and variety in a given agro-climatic condition [10]. Therefore, optimum plant density is one of the most important factors in increasing the yield per hectare [42]. The maximun straw, seed, and fibre yield was determined in our study at 2000 plant m−2 plant density, followed by 1750 plant m−2 plant densit. Although the plant height and technical length was decreased, and the yield was increased at 2000 plant m−2 plant density to result from the increase in the number of plants per unit, and the limited number of plants per unit area might have made optimum use of sunlight, nutrients and water that enhanced seed yield. In general, due to appropriate climatic conditions in the 1st year, the straw, seed and fiber yields were higher than the 2nd year (Figure 1 and Table 3). The flax straw, fibre, and seed yields varied depending to environmental conditions such as temperature, rainfall, frost, and wind during the growth and development periods, according to the researchers [43], plant density [29], genotype [27], genotype and environment interaction [39], and years [44].
The remarkable precipitation and minimum temperature during the growing season had direct implication on growth positively, and the straw yield increased with a longer vegetation period [10]. The plant height and seed yield were negatively correlated and straw and fiber yield were positively correlated in flax [26]. When plant density is less than 500 plant m−2, fibre quality and yield decline as branching increases. Depending on the objective of production, the plant height could be used to modify the seed/straw ratio. Researchers discovered that increasing plant density increased plant height, seed yield, and straw yield [42,45]. During the present study, the plant density showed a very significant positive correlation with the straw yield per decare, seed and fiber yield, and significant correlation with the plant height (Table 4).
Flax planting density varied according to climatic conditions. For example, Lithuanian circumstances, 2200–2500 plants m−2 have been recommended [46], while the maximum fiber yield was recorded at 2500 plant m−2, and the lowest fiber yield was noticed at 1500 plant m−2, and 2500 plant m−2 was recommended for high straw yield, fiber yield, seed yield and technical length [33]. However, [28] it is suggested that the seeding rate of 2250 seed m−2 for straw yield and its components viz, plant height, technical length, number of higher branches plant−1, stem diameter and straw yield plant−1. It was also observed in another study that, the scutched fibre’s yield (+11%) were obtained from higher seeding rates (1200 and 2500 seeds m−2), but 1800 seeds m−2 seed density was recommended for the maximum fiber yield [34]. According to the findings obtained in this study, increasing sowing density enhanced plant height, technical length, straw production, and fibre output. It means that a small number of plants cultivated in an unit area can result in acquiring all nutrient, sunshine, and irrigation water requirements, which positively impacts plant growth due to less competition for resources among plants. Some researchers [12,36,37,45,47,48] reported, that long fiber flax production is profitable due to fiber tenacity and fiber elasticity, which renders high fiber quality. Furthermore, they discovered that the yield of straw, fibre, and seed rose with the rise of plant density to a specified level in per unit area, with the maximum yields obtained. Straw yield of 3.19 tonns ha−1 and fibre yield of 424.48–228.71 kg ha−1 in Sakha−2 and Amon flax varieties were recorded in research conducted in diverse ecologies [27], and seed yield of 77.76–29.11 kg da−1, straw yield of 2.33–5.29 ton ha−1 [36]. The straw yield of 7.81–7.94 tons ha−1, and fiber yield of 1971.85–2052.21 kg ha−1 in the winter growth season of flax fiber was reported [29]. Our investigations revealed that plant height and technical lenght was decreased, similarly the highest straw, fiber and seed yields were obtained from practices with the highest plant density (2000 plants m−2).
5. Conclusions
The number of plants per unit area is important for high straw and fiber yield in flax cultivation. We found that the flax fiber grown in the winter season in mild climatic conditions was influenced by the high precipitation and moderate temperature in April-May, which is the rapid growth period of flax. With an increase in plant density, the ideal climate conditions improved to straw, seed, and field production per decare. As a conclusion, it was found that according to the two years data that the plant density of 2000 plant m−2 was appropriate for the highest values of straw, fiber and seed yield in winter flax fiber cultivation in mild climatic conditions. However, it is thought that it will be useful to determine the relationship of fiber quality criteria with plant density in the future studies. Besides, since the increase in yield continues at this pre-determined plant density, there is a need to find out the course of yield and yield factors with more dense sowing under the same conditions, and to find out the decreased density in different studies.
Author Contributions
Conceptualization, Ş.F.A. and S.S.; methodology, Ş.F.A.; software, S.A. and H.A.Ş.; validation, Ş.F.A.; formal analysis, Ş.F.A. and H.A.Ş.; investigation, Ş.F.A. and S.S.; resources, Ş.F.A.; data curation, Ş.F.A. and S.S.; writing-original draft preparation, Ş.F.A. and A.E.S.; writing—review and editing, Ş.F.A. and A.E.S. All authors have read and agreed to the published version of the manuscript.
Funding
This research received no external funding.
Institutional Review Board Statement
Not applicable.
Informed Consent Statement
Not applicable.
Data Availability Statement
Not applicable.
Acknowledgments
The authors acknowledge the technical assistance of the same Department Elnaz Latifian and Vildan Soldanlı, Rumeysa Öztürk and Mehmet Han Baştürk.
Conflicts of Interest
The authors declare no conflict of interest.
References
- Dudarev, I. A Review of Fibre Flax Harvesting: Conditions, Technologies, Processes and Machines. J. Nat. Fibers 2020, 1–13. [Google Scholar] [CrossRef]
- Baley, C.; Gomina, M.; Breard, J.; Bourmaud, A.; Davies, P. Variability of mechanical properties of flax fibres for composite reinforcement. A review. Ind. Crop. Prod. 2020, 145, 111984. [Google Scholar] [CrossRef]
- Kiryluk, A.; Kostecka, J. Pro-Environmental and Health-Promoting Grounds for Restitution of Flax (Linum usitatissimum L.) Cultivation. J. Ecol. Eng. 2020, 21, 99–107. [Google Scholar] [CrossRef]
- Ramirez-Cando, L.; Spugnoli, P.; Matteo, R.; Bagatta, M.; Tavarini, S.; Foschi, L.; Lazzeri, L. Environmental assessment of flax straw production for non-wood pulp mills. Chem. Eng. Trans. 2017, 58, 787–792. [Google Scholar] [CrossRef]
- Arslanoğlu, F.; Aytaç, S. The Important In Terms of Health of Flax (Linum usitatissimum L.). Int. J. Life Sci. Biotechnol. 2020, 3, 95–107. [Google Scholar] [CrossRef]
- Buranji, I.; Varga, I.; Lisjak, M.; Iljkić, D.; Antunović, M. Morphological characteristic of fiber flax seedlings regard to different pH water solution and temperature. J. Cent. Eur. Agric. 2019, 20, 1135–1142. [Google Scholar] [CrossRef]
- Sanmartin, C.; Taglieri, I.; Venturi, F.; Macaluso, M.; Zinnai, A.; Tavarini, S.; Botto, A.; Serra, A.; Conte, G.; Flamini, G.; et al. Flaxseed Cake as a Tool for the Improvement of Nutraceutical and Sensorial Features of Sourdough Bread. Foods 2020, 9, 204. [Google Scholar] [CrossRef]
- Zhai, S.S.; Zhou, T.; Li, M.M.; Zhu, Y.W.; Feng, P.S.; Zhang, X.F.; Ye, H.; Wang, W.C.; Yang, L. Fermentation of flaxseed cake increases its nutritional value and utilization in ducklings. Poult. Sci. 2019, 98, 5636–5647. [Google Scholar] [CrossRef]
- Aytac, S.; Başbag, S.; Arslanoglu, F.; Ekinci, R.; Ayan, A.K. Lif Bitkileri Üretiminde Mevcut Durum ve Gelecek. Ziraat Mühendisleri IX. Teknik Kongresi, Bildiriler Kitabı Cilt 1. In Proceedings of the TMMOB Ziraat Mühendisleri Odası, Ankara, Turkey, 13–17 October 2020; pp. 463–491, ISBN 9786050113211. [Google Scholar]
- Mańkowska, G.; Mańkowski, J. The Influence of Selected Habitat and Agronomic Factors on the Yield of Flax (Linum usitatissimum L.). J. Nat. Fibers 2020, 1–11. [Google Scholar] [CrossRef]
- Saleem, M.H.; Fahad, S.; Khan, S.U.; Din, M.; Ullah, A.; El Sabagh, A.; Hossain, A.; Llanes, A.; Liu, L. Copper-induced oxidative stress, initiation of antioxidants and phytoremediation potential of flax (Linum usitatissimum L.) seedlings grown under the mixing of two different soils of China. Environ. Sci. Pollut. Res. 2020, 27, 5211–5221. [Google Scholar] [CrossRef]
- Vandepitte, K.; Vasile, S.; Vermeire, S.; Vanderhoeven, M.; Van der Borght, W.; Latré, J.; De Raeve, A.; Troch, V. Hemp (Cannabis sativa L.) for high-value textile applications: The effective long fiber yield and quality of different hemp varieties, processed using industrial flax equipment. Ind. Crop. Prod. 2020, 158, 112969. [Google Scholar] [CrossRef]
- Dey, P.; Mahapatra, B.S.; Pramanick, B.; Kumar, A.; Negi, M.S.; Paul, J.; Shukla, D.; Singh, S. Quality optimization of flax fibre through durational management of water retting technology under sub-tropical climate. Ind. Crop. Prod. 2021, 162, 113277. [Google Scholar] [CrossRef]
- FAO. Food and Agriculture Organization. 2021. Available online: http://www.fao.org/ (accessed on 30 August 2021).
- Arslanoglu, Ş.F.; Aytac, S.; Ayan, A.K. Keten. In In Workshop Book, Proccedings of the Karadeniz’in Lif Bitkileri Çalıştayı Keten-Kenevir-Isırgan, Samsun, Turkey, 5–6 May 2017; Uğur Ofset: Samsun, Turkey, 2017; ISBN 9786052319017. [Google Scholar]
- TUIK. Turkey Statistic Institute. Available online: http://www.tuik.gov.tr (accessed on 30 September 2021).
- Shuvo, I.I. Fibre attributes and mapping the cultivar influence of different industrial cellulosic crops (cotton, hemp, flax, and canola) on textile properties. Bioresour. Bioprocess. 2020, 7, 51. [Google Scholar] [CrossRef]
- ITC (International Trade Centre). 2021. Available online: http//:www.trademap.org/ (accessed on 9 June 2021).
- Hazneci, E.; Arslanoğlu, F. Is flax a chance for rural areas in the Middle Black Sea Region? Profitability analysis and feasibility. J. Tekirdag Agric. Faculty 2021, 18, 586–598. [Google Scholar] [CrossRef]
- Ottai, M.E.S.; Al-Kordy, M.A.A.; Hussein, R.M.; Hassanein, M.S. Genetic diversity among Romanian fiber flax varieties under Egyptian conditions. Aust. J. Basic Appl. Sci. 2012, 6, 162–168. [Google Scholar]
- Maggioni, L.M.; Pavelek, M.; van Soest, L.J.M.; Lipman, E.; European Cooperative Programme for Plant Genetic Resources; International Plant Genetic Resources Institute. Flax Genetic Resources in Europe. In Proceedings of the Ad Hoc Meeting, Prague, Czech Republic, 7– 8 December 2001; International Plant Genetic Resources Institute: Rome, Italy, 2002. [Google Scholar]
- Abo-Marzoka, E.A.; Amal, M.A. El-Borhamy: Response of flax plant to foliar spray by urea and some of micronutrients mixture under different nitrogen levels. Alex. J. Agric. Sci. 2018, 63, 251–261. [Google Scholar]
- Gomez, A.G.; Gomez, A.A. Statistical Procedure for Agricultural Research, 2nd ed.; Wiley Inter-Science Publication: New York, NY, USA; Singapore, 1984; p. 680. [Google Scholar]
- Abou-Zied, K.A.; Sanaa, S.; Hassan, K.H.E.; Nawar, A.I. Effect of seeding rates and weed control treatments on productivity and weed suppression in flax cultivar Sakha. Alex. J. Agric. Res. 2015, 60, 221–228. [Google Scholar]
- Goudenhooft, C.; Bourmaud, A.; Baley, C. Flax (Linum usitatissimum L.) Fibers for Composite Reinforcement: Exploring the Link Between Plant Growth, Cell Walls Development, and Fiber Properties. Front. Plant Sci. 2019, 10, 411. [Google Scholar] [CrossRef]
- Fila, G.; Bagatta, M.; Maestrini, C.; Potenza, E.; Matteo, R. Linseed as a dual-purpose crop: Evaluation of cultivar suitability and analysis of yield determinants. J. Agric. Sci. 2018, 156, 162–176. [Google Scholar] [CrossRef]
- Bakry, B.A.; Nofal, O.A.; Zeidan, M.S.; Hozayn, M. Potassium and Zinc in Relation to Improve Flax Varieties Yield and Yield Components as Grown under Sandy Soil Conditions. Agric. Sci. 2015, 6, 152–158. [Google Scholar] [CrossRef]
- Emam, M.S.; Dewdar, D.H.M. Seeding rates and phosphorus source effects on straw, seed and oil yields of flax (Linum usitatissimum L.) grown in newly-reclaimed soils. Int. J. Curr. Microbiol. Appl. Sci. 2015, 4, 334–343. [Google Scholar]
- Abd El-Mohsen, A.A.; Abdallah, M.A.; Mahmoud, O.G. Optimizing and describing the influence of planting dates and seeding rates on flax cultivars under Middle Egypt region conditions. World Essays J. 2013, 1, 142–152. [Google Scholar]
- Twardowski, J.; Hurej, M.; Ścibior, R.; Kotecki, A. The effect of different seeding densities of linseed (Linum usitatissimum L.) on flax flea beetles (Coleoptera: Chrysomelidae). J. Plant Prot. Res. 2017, 57, 158–166. [Google Scholar] [CrossRef][Green Version]
- Andruszczak, S.; Gawlik-Dziki, U.; Kraska, P.; Kwiecińska-Poppe, E.; Różyło, K.; Pałys, E. Yield and quality traits of two linseed (Linum usitatissimum L.) cultivars as affected by some agronomic factors. Plant Soil Environ. 2015, 61, 247–252. [Google Scholar] [CrossRef]
- Vallduví, G.E.S.; Sarandón, S.J. Effects of Changes in Flax (Linum usitatissimum L.) Density and Interseeding with Red Clover (Trifolium pratense L.) on the Competitive Ability of Flax Against Brassica Weeds. J. Sustain. Agric. 2011, 35, 914–926. [Google Scholar] [CrossRef]
- El Gedwy, E.-S.M.; Hammam, G.Y.M.; Allam, S.A.H.; Mostafa, S.H.A.; Shimy, K.S.S.E. Straw, Seed Yield and Quality of Three Linum usitatissimum L. Cultivars in Relation to Nitrogen Fertilizer Rate and Plant Density. Asian J. Adv. Agric. Res. 2020, 14, 8–29. [Google Scholar] [CrossRef]
- Bourmaud, A.; Gibaud, M.; Baley, C. Impact of the seeding rate on flax stem stability and the mechanical properties of elementary fibres. Ind. Crop. Prod. 2016, 80, 17–25. [Google Scholar] [CrossRef]
- Goudenhooft, C.; Bourmaud, A.; Baley, C. Conventional or greenhouse cultivation of flax: What influence on the number and quality of flax fibers? Ind. Crop. Prod. 2018, 123, 111–117. [Google Scholar] [CrossRef]
- Kumar, A.; Pramanick, B.; Mahapatra, B.; Singh, S.; Shukla, D. Growth, yield and quality improvement of flax (Linum usitattisimum L.) grown under tarai region of Uttarakhand, India through integrated nutrient management practices. Ind. Crop. Prod. 2019, 140, 111710. [Google Scholar] [CrossRef]
- El-Borhamy, A.M.A.; Eman, N.M.; Mohamed, E.N.M.; Abd Al-Sadek, M.S. Comparison of yield, its components and chemical composition of some flax genotypes. J. Plant Prod. 2017, 8, 13–17. [Google Scholar] [CrossRef]
- Omer, T.A.; El-Borhamy, A.M.A.; Abd El-adek, M.S. Effect of Harvesting rates and Seeding Rates on Yield and Yield Components of some Flax Varieties. J. Plant Prod. 2020, 11, 1501–1505. [Google Scholar] [CrossRef]
- Ferreira Santos, R.; Tomasoni, F.; Doglas, B.; da Silva, T.R.B.; Cruz Siqueira, J.A.; de Souza Samuel, N.M.; Luiz, A.o.N.; Deonir, S. Brown flax grown under different planting densities. Afr. J. Agric. Res. 2016, 11, 800–804. [Google Scholar] [CrossRef]
- Zhang, Q.; Gao, Y.; Yan, B.; Cui, Z.; Wu, B.; Yang, K.; Ma, J. Perspective on oil flax yield and dry biomass with reduced nitrogen supply. Oil Crop Sci. 2020, 5, 42–46. [Google Scholar] [CrossRef]
- Summerscales, J.; Dissanayake, N.P.; Virk, A.S.; Hall, W. A review of bast fibres and their composites. Part 1–Fibres as reinforcements. Compos. Part A Appl. Sci. Manuf. 2010, 41, 1329–1335. [Google Scholar] [CrossRef]
- Ganvit, J.B.; Sharma, S.; Surve, H.V.; Ganvit, V.C. Effect of sowing dates and crop spacing on growth, yield and quality of linseed under south Gujarat condition. J. Pharmacogn. Phytochem. 2019, 8, 388–392. [Google Scholar]
- Abdel-Galil, A.-G.M.; Hassan, S.S.; Elmanzlawy, M.A. Influence of three cropping sequences and mineral nitrogen fertilizer rates on flax productivity and profitability under different planting dates in sandy soil. J. Plant Sci. 2015, 3, 176–184. [Google Scholar] [CrossRef]
- Tsaliki, E.; Kalivas, A.; Jankauskiene, Z.; Irakli, M.; Cook, C.; Grigoriadis, I.; Panoras, I.; Vasilakoglou, I.; Dhima, K. Fibre and Seed Productivity of Industrial Hemp (Cannabis sativa L.) Varieties under Mediterranean Conditions. Agronomy 2021, 11, 171. [Google Scholar] [CrossRef]
- Katore, R.J.; Nair, B.; Damdar, R.; Rananaware, S.; Pohare, V. Effect of different seed rates on growth attributes, yiled and economic of linseed. Bull. Env. Pharmacol. Life Sci. 2019, 8, S40–S43. [Google Scholar]
- Jankauskienė, Z. Results of 90 Years of Flax Breeding in Lithuania/ 90 Gadu Linu Selekcijas Rezultâti Lietuvâ. Proc. Latv. Acad. Sci. Sect. B Nat. Exact Appl. Sci. 2014, 68, 184–192. [Google Scholar] [CrossRef]
- Krasovskaya, A.; Mansapova, A.; Veremey, T.; Yudina, E. Special Features of Biology, Technology and Economic efficiency of Long-Fibred Flax Cultivation in the Subtaiga Zone of Omsk Region; The Fifth Technological Order: Prospects for the Development and Modernization of the Russian Agro-Industrial Sector (TFTS 2019). Adv. Soc. Sci. Educ. Humanit. Res. 2019, 393, 425–430. [Google Scholar]
- Rashwan, E.; Mousa, A.; EL Sabagh, A.; Barutçula, C. Yield and quality traits of some flax cultivars as influenced by different irrigation intervals. J. Agric. Sci. 2016, 8, 226–240. [Google Scholar] [CrossRef]
Publisher’s Note: MDPI stays neutral with regard to jurisdictional claims in published maps and institutional affiliations. |
© 2022 by the authors. Licensee MDPI, Basel, Switzerland. This article is an open access article distributed under the terms and conditions of the Creative Commons Attribution (CC BY) license (https://creativecommons.org/licenses/by/4.0/).


