Climate Change and Silvopasture: The Potential of the Tree and Weather to Modify Soil Carbon Balance
Abstract
1. Introduction
2. Materials and Methods
2.1. Characteristics of the Study Site
2.2. Experimental Design
2.3. Sewage Sludge
2.4. Weather
2.5. Field Samplings and Laboratory Analyses
2.6. Statistical Analysis
3. Results
3.1. Weather
3.2. Soil
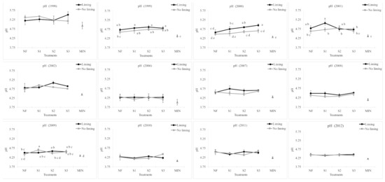
3.2.1. Soil pH
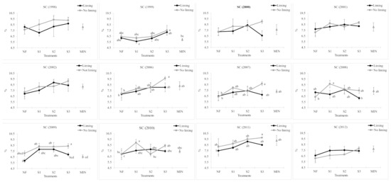
3.2.2. Soil Carbon
3.3. Tree
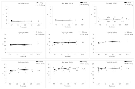
3.3.1. Tree Top Height
3.3.2. Tree Canopy Cover
3.3.3. Pine Needles in the Understory
3.4. Soil and Tree Relationships
4. Discussion
5. Conclusions
Author Contributions
Funding
Institutional Review Board Statement
Informed Consent Statement
Data Availability Statement
Acknowledgments
Conflicts of Interest
References
- Mosquera-Losada, M.R.; Santiago-Freijanes, J.J.; Rois-Díaz, M.; Moreno, G.; den Herder, M.; Aldrey-Vázquez, J.A.; Ferreiro-Domínguez, N.; Pantera, A.; Pisanelli, A.; Rigueiro-Rodríguez, A. Agroforestry in Europe: A land management policy tool to combat climate change. Land Use Policy 2018, 78, 603–613. [Google Scholar] [CrossRef]
- Cork 2.0 Declaration. 2016. Available online: https://enrd.ec.europa.eu/sites/enrd/files/cork-declaration_en.pdf (accessed on 23 June 2021).
- Karsenty, A.; Blanco, C.; Dufour, T. Forest and Climate Change: Instruments Related to the United Nations Framework Convention on Climate Change and Their Potential for Sustainable Forest Management in Africa; FAO: Rome, Italy, 2003. [Google Scholar]
- Four per thousand-4 per 1000. The 4 per 1000 Initiative in a Few Words. 2020. Available online: https://4p1000.org/act/?lang=en (accessed on 1 January 2022).
- FAO. Advancing Agroforestry on the Policy Agenda a Guide for Decision-Makers; FAO: Rome, Italy, 2013; ISBN 9789251074701. [Google Scholar]
- IV IFN (Forest National Inventory). Cuarto Inventario Forestal Nacional; Dirección General de Medio Natural y Política Forestal, Ministerio de Medio Ambiente y Medio Rural y Marino: Madrid, Spain, 2011.
- MAPA (Ministerio de Agricultura, Pesca y Alimentación) Anuario de Estadística Forestal; Ministerio de Agricultura, Pesca y Alimentación: Madrid, Spain, 2019.
- Knowles, R.L. New Zealand experience with silvopastoral systems: A review. For. Ecol. Manag. 1991, 45, 251–267. [Google Scholar] [CrossRef]
- Mosquera-Losada, M.R.; Cuiña-Cotarelo, R.; Rigueiro-Rodríguez, A. Effect of understory vegetation management through liming and sewage sludge fertilisation on soil fertility and Pinus radiata D. Don growth after reforestation. Eur. J. For. Res. 2011, 130, 997–1008. [Google Scholar] [CrossRef][Green Version]
- Peri, P.L.; Lucas, R.J.; Moot, D.J. Dry matter production, morphology and nutritive value of Dactylis glomerata growing under different light regimes. Agrofor. Syst. 2007, 70, 63–79. [Google Scholar] [CrossRef]
- Dube, F.; Sotomayor, A.; Loewe, V.M.; Müller-Using, B.; Stolpe, N.B.; Zagal, E.; Doussoulin, M. Silvopastoral Systems in Temperate Zones of Chile. In Silvopastoral Systems in Southern South America; Springer International Publishing: Cham, Switzerland, 2016; pp. 183–212. [Google Scholar]
- Fernández-Núñez, E.; Rigueiro-Rodríguez, A.; Mosquera-Losada, M.R. Carbon allocation dynamics one decade after afforestation with Pinus radiata D. Don and Betula alba L. under two stand densities in NW Spain. Ecol. Eng. 2010, 36, 876–890. [Google Scholar] [CrossRef]
- Mosquera-Losada, M.R.; Rigueiro-Rodríguez, A.; Ferreiro-Domínguez, N. Residual effects of lime and sewage sludge inputs on soil fertility and tree and pasture production in a Pinus radiata D. Don silvopastoral system established in a very acidic soil. Agric. Ecosyst. Environ. 2012, 161, 165–173. [Google Scholar] [CrossRef]
- Ferreiro-Domínguez, N.; Rigueiro-Rodríguez, A.; Bianchetto, E.; Mosquera-Losada, M.R. Effect of lime and sewage sludge fertilisation on tree and understory interaction in a silvopastoral system. Agric. Ecosyst. Environ. 2014, 188, 72–79. [Google Scholar] [CrossRef]
- Lal, R. Soil carbon sequestration impacts on global climate change and food security. Science 2004, 304, 1623–1627. [Google Scholar] [CrossRef]
- IPCC. Climate Change and Land; Special Report on Climate Change, Desertification, Land Degradation, Sustainable Land Management, Food Security, and Greenhouse Gas Fluxes in Terrestrial Ecosystems; IPCC: Geneva, Switzerland, 2019. [Google Scholar]
- Ruiz-Navarro, A.; Barberá, G.G.; Navarro-Cano, J.A.; Albaladejo, J.; Castillo, V.M. Soil dynamics in Pinus halepensis reforestation: Effect of microenvironments and previous land use. Geoderma 2009, 153, 353–361. [Google Scholar] [CrossRef]
- Schrijver, A.; Frenne, P.; Staelens, J.; Verstraeten, G.; Muys, B.; Vesterdal, L.; Wuyts, K.; Nevel, L.; Schelfhout, S.; Neve, S.; et al. Tree species traits cause divergence in soil acidification during four decades of postagricultural forest development. Glob. Chang. Biol. 2012, 18, 1127–1140. [Google Scholar] [CrossRef]
- Zas, R.; Alonso, M. Understory vegetation as indicators of soil characteristics in northwest Spain. For. Ecol. Manag. 2002, 171, 101–111. [Google Scholar] [CrossRef]
- FAO. FAO Acid Soils. FAO Soils Portal|Food and Agriculture Organization of the United Nations. 2017. Available online: http://www.fao.org/soils-portal/soil-management/management-of-some-problem-soils/acid-soils/ru/ (accessed on 14 May 2021).
- Environment Agency; U.K. Government. Sewage Sludge in Agriculture: Code of Practice for England, Wales and Northern Ireland; Department for Environment Food & Rural Affairs; Environment Agency: London, UK, 2018.
- Mosquera-Losada, M.R.; Amador-García, A.; Rigueiro-Rodríguez, A.; Ferreiro-Domínguez, N. Circular economy: Using lime stabilized bio-waste based fertilisers to improve soil fertility in acidic grasslands. Catena 2019, 179, 119–128. [Google Scholar] [CrossRef]
- Mosquera-Losada, M.R.; Ferreiro-Domínguez, N.; Daboussi, S.; Rigueiro-Rodríguez, A. Sewage sludge stabilisation and fertiliser value in a silvopastoral system developed with Eucalyptus nitens Maiden in Lugo (Spain). Sci. Total Environ. 2016, 566–567, 806–815. [Google Scholar] [CrossRef] [PubMed]
- Smith, S.R. Agricultural Recycling of Sewage Sludge and the Environment; FAO: Rome, Italy, 1996. [Google Scholar]
- EU. Council Directive 86/278/EEC of 12 June 1986 on the Protection of the Environment and, in Particular of the Soil, When Sewage Sludge Is Used in Agriculture; EU: Maastricht, The Netherlands, 1986. [Google Scholar]
- BOE. Real Decreto 1310/1990, de 29 de Octubre, Por el Que se Regula la Utilización de los Lodos de Depuración en el Sector Agrario; Spanish Office Bolletin (BOE): Madrid, Spain, 1990; pp. 32339–32340. [Google Scholar]
- FAO. World Reference Base for Soil Resources (World Soil Resources Reports 84); FAO: Rome, Italy, 1998. [Google Scholar]
- EPA. Land Application of Sewage Sludge a Guide for Land Appliers on the Requirements of the Federal Standards for the Use or Disposal of Sewage Sludge; 40 CFR Part 503; EPA: Washington, DC, USA, 1994.
- Gaussen, H.; Bagnouls, F. Dry Season and Xerothermic Index. Bull. Soc. D’histoire Nat. Toulouse 1953, 88, 193–240. [Google Scholar]
- Faithfull, N.T.; Nigel, T. Methods in Agricultural Chemical Analysis: A Practical Handbook; CABI Publications: Wallingford, UK, 2002; ISBN 9780851997896. [Google Scholar]
- Kowalenko, C.G. Assessment of Leco CNS-2000 analyzer for simultaneously measuring total carbon, nitrogen and sulphur in soil. Commun. Soil Sci. Plant Nutr. 2001, 32, 2065–2078. [Google Scholar] [CrossRef]
- LECO Instrumentation for: Characterization or Organic/Inorganic Materials and Microstructural Analysis. 1996. Available online: https://www.leco.com/elemental-analysis (accessed on 1 January 2022).
- Macías, F.; Calvo de Anta, R.; Rodríguez Lado, L.; Verde, R.; Pena Pérez, X.; Camps Arbestain, M. El sumidero de carbono de los suelos de Galicia. Edafología 2004, 11, 341–376. [Google Scholar]
- Sharma, M.; Amateis, R.L.; Burkhart, H.E. Top height definition and its effect on site index determination in thinned and unthinned loblolly pine plantations. For. Ecol. Manag. 2002, 168, 163–175. [Google Scholar] [CrossRef]
- SAS. SAS/Stat User’s Guide: Statistics; SAS Institute Inc.: Cary, NC, USA, 2001. [Google Scholar]
- Sánchez, F.; Rodríguez, R.; Rojo, A.; Álvarez, J.G.; López, C.; Gorgoso, J.; Castedo, F. Crecimiento y tablas de producción de Pinus radiata D. Don en Galicia. Investig. Agrar. Sist. Recur. For. 2003, 2, 65–83. [Google Scholar]
- Saarsalmi, A.; Tamminen, P.; Kukkola, M.; Levula, T. Effects of liming on chemical properties of soil, needle nutrients and growth of Scots pine transplants. For. Ecol. Manag. 2011, 262, 278–285. [Google Scholar] [CrossRef]
- EC. A Sustainable Bioeconomy for Europe: Strengthening the Connection between Economy, Society and the Environment; European Commission: Brussels, Belgium, 2018. [Google Scholar]
- EC. Communication from the Commission to the European Parliament, the Council, the European Economic and Social Committee and the Committee of the Regions. A New Circular Economy Action Plan for a Cleaner and More Competitive Europe; European Commission: Brussels, Belgium, 2020. [Google Scholar]
- Andrades, M.; Martinez, E. Fertilidad del Suelo y ParáMetros Que la Definen; Universidad de la Rioja Publications: Logroño, Spain, 2014; pp. 16–34. [Google Scholar]
- Álvarez, E.; Monterroso, C.; Fernández-Marcos, M.L. Aluminium fractionation in Galician (NW Spain) forest soil as related to vegetation and parent material. For. Ecol. Manag. 2002, 166, 193–206. [Google Scholar] [CrossRef]
- Álvarez, E.; Viadé, A.; Fernández-Marcos, M.L. Effect of liming with different sized limestone on the forms of aluminium in a Galician soil (NW Spain). Geoderma 2009, 152, 1–8. [Google Scholar] [CrossRef]
- Adams, M.L.; Davis, M.R.; Powell, K.J. Effects of grassland afforestation on exchangeable soil and soil solution aluminium. Aust. J. Soil Res. 2001, 39, 1003–1004. [Google Scholar] [CrossRef]
- Whitehead, D.C.; David, C. Grassland Nitrogen; CAB International: Wallingford, UK, 1995; ISBN 0851989152. [Google Scholar]
- Mosquera-Losada, M.R.; Fernández-Núñez, E.; Rigueiro-Rodríguez, A. Pasture, tree and soil evolution in silvopastoral systems of Atlantic Europe. For. Ecol. Manag. 2006, 232, 135–145. [Google Scholar] [CrossRef][Green Version]
- Tsadilas, C.D.; Matsi, T.; Barbayiannis, N. Influence of sewage sludge application on soil properties and on the distribution and availability of heavy metal fractions. Commun. Soil Sci. Plant Anal. 2008, 26, 2603–2619. [Google Scholar] [CrossRef]
- Alburquerque, J.A.; Salazar, P.; Barrón, V.; Torrent, J.; del Campillo, M.C.; Gallardo, A.; Villar, R. Enhanced wheat yield by biochar addition under different mineral fertilization levels. Agron. Sustain. Dev. 2013, 33, 475–484. [Google Scholar] [CrossRef]
- Fisher, R.F.; Binkley, D. Ecology and Management of Forest Soils; Fisher, R.F., Binkley, D., Eds.; John Wiley & Sons, Ltd.: Chichester, UK, 2012; ISBN 9781118422342. [Google Scholar]
- De Anta, R.C.; Calvo, E.L.; Sabarís, F.C.; Costa, J.M.G.; Mosquera, N.M.; Vázquez, F.M.; Arbestain, M.C.; García, N.V. Soil organic carbon in northern Spain (Galicia, Asturias, Cantabria and País Vasco). Span. J. Soil Sci. 2015, 5, 41–53. [Google Scholar] [CrossRef]
- Howlett, D.S.; Moreno, G.; Mosquera Losada, M.R.; Nair, P.K.R.; Nair, V.D. Soil carbon storage as influenced by tree cover in the Dehesa cork oak silvopasture of central-western Spain. J. Environ. Monit. 2011, 13, 1897–1904. [Google Scholar] [CrossRef]
- Flower, K.C.; Crabtree, W.L. Soil pH change after surface application of lime related to the levels of soil disturbance caused by no-tillage seeding machinery. Field Crops Res. 2011, 121, 75–87. [Google Scholar] [CrossRef]
- Melvin, A.M.; Lichstein, J.W.; Goodale, C.L. Forest liming increases forest floor carbon and nitrogen stocks in a mixed hardwood forest. Ecol. Appl. 2013, 23, 1962–1975. [Google Scholar] [CrossRef]
- Paradelo, R.; Virto, I.; Chenu, C. Net effect of liming on soil organic carbon stocks: A review. Agric. Ecosyst. Environ. 2015, 202, 98–107. [Google Scholar] [CrossRef]
- Mosquera-Losada, M.R.; Morán-Zuloaga, D.; Rigueiro-Rodríguez, A. Effects of lime and sewage sludge on soil, pasture production, and tree growth in a six-year-old Populus canadensis Moench silvopastoral system. J. Plant Nutr. Soil Sci. 2011, 174, 145–153. [Google Scholar] [CrossRef]
- Pérez-Batallón, P.; Ouro, G.; Macías, F.; Merino, A. Initial mineralization of organic matter in a forest plantation soil following different logging residue management techniques. Ann. For. Sci. 2001, 58, 807–818. [Google Scholar] [CrossRef]
- Rigueiro-Rodríguez, A.; Mosquera-Losada, M.R.; Fernández-Núñez, E. Afforestation of agricultural land with Pinus radiata D. Don and Betula alba L. in NW Spain: Effects on soil pH, understorey production and floristic diversity eleven years after establishment. Land Degrad. Dev. 2012, 23, 227–241. [Google Scholar] [CrossRef]
- Gallardo, A. Effect of Tree Canopy on the Spatial Distribution of Soil Nutrients in a Mediterranean Dehesa. Pedobiologia 2003, 47, 117–125. [Google Scholar] [CrossRef]
- Rousk, J.; Brookes, P.C.; Bååth, E. Contrasting Soil pH Effects on Fungal and Bacterial Growth Suggest Functional Redundancy in Carbon Mineralization. Appl. Environ. Microbiol. 2009, 75, 1589–1596. [Google Scholar] [CrossRef]
- Nair, P.K.R.; Nair, V.D.; Kumar, M.; Showalter, J.M. Carbon sequestration in agroforestry systems. Adv. Agron. 2010, 108, 237–307. [Google Scholar] [CrossRef]
- Bures, S. Sustratos; Ediciones Agrotécnicas J.L.: Madrid, Spain, 1997. [Google Scholar]
- Meredith, S.; Hart, K. CAP 2021-27: Using the Eco-Scheme to Maximise Environmental and Climate Benefits; Report for IFOAM EU by IEEP; Institute for European Environmental Policy: London, UK, 2019. [Google Scholar]
- Lóránt, A.; Allen, B. Net-Zero Agriculture in 2050: How to Get There? Report by the Institute for European Environmental Policy; Institute for European Environmental Policy: London, UK, 2019. [Google Scholar]









Publisher’s Note: MDPI stays neutral with regard to jurisdictional claims in published maps and institutional affiliations. |
© 2022 by the authors. Licensee MDPI, Basel, Switzerland. This article is an open access article distributed under the terms and conditions of the Creative Commons Attribution (CC BY) license (https://creativecommons.org/licenses/by/4.0/).
Share and Cite
Ferreiro-Domínguez, N.; Rodríguez-Rigueiro, F.J.; Rigueiro-Rodríguez, A.; González-Hernández, M.P.; Mosquera-Losada, M.R. Climate Change and Silvopasture: The Potential of the Tree and Weather to Modify Soil Carbon Balance. Sustainability 2022, 14, 4270. https://doi.org/10.3390/su14074270
Ferreiro-Domínguez N, Rodríguez-Rigueiro FJ, Rigueiro-Rodríguez A, González-Hernández MP, Mosquera-Losada MR. Climate Change and Silvopasture: The Potential of the Tree and Weather to Modify Soil Carbon Balance. Sustainability. 2022; 14(7):4270. https://doi.org/10.3390/su14074270
Chicago/Turabian StyleFerreiro-Domínguez, Nuria, Francisco Javier Rodríguez-Rigueiro, Antonio Rigueiro-Rodríguez, María Pilar González-Hernández, and María Rosa Mosquera-Losada. 2022. "Climate Change and Silvopasture: The Potential of the Tree and Weather to Modify Soil Carbon Balance" Sustainability 14, no. 7: 4270. https://doi.org/10.3390/su14074270
APA StyleFerreiro-Domínguez, N., Rodríguez-Rigueiro, F. J., Rigueiro-Rodríguez, A., González-Hernández, M. P., & Mosquera-Losada, M. R. (2022). Climate Change and Silvopasture: The Potential of the Tree and Weather to Modify Soil Carbon Balance. Sustainability, 14(7), 4270. https://doi.org/10.3390/su14074270

