Changes in Soil Aggregate Fractions, Stability, and Associated Organic Carbon and Nitrogen in Different Land Use Types in the Loess Plateau, China
Abstract
:1. Introduction
2. Materials and Methods
2.1. Overview of the Study Area
2.2. Sample Collection
2.3. Sample Treatment
2.3.1. Sieving of Aggregates
2.3.2. Determination of Chemical Indexes
2.4. Data Processing
3. Results
3.1. Influence of Ecological Restoration on Soil Aggregate Size Distribution
3.2. Effect of Ecological Restoration on the Content of Soil-Aggregate-Associated SOC
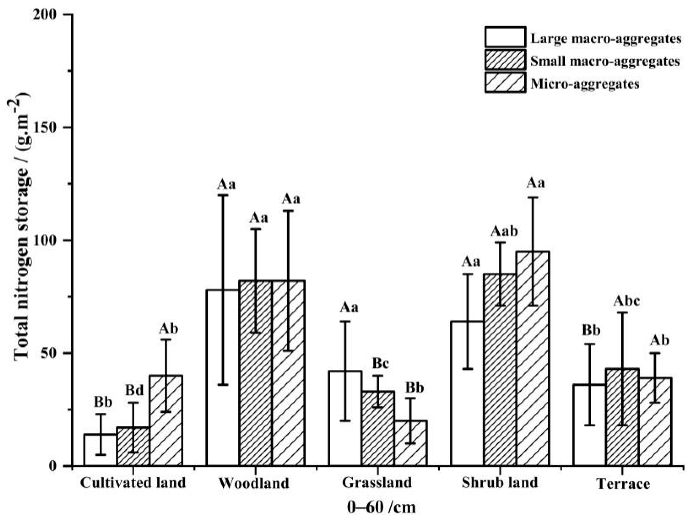
3.3. Effect of Ecological Restoration on the Total Nitrogen of Soil Aggregates
3.4. The Effect of Ecological Restoration on the Stability of Soil Aggregates
3.5. Evaluation of the Stability Factors of Soil Aggregates
4. Discussion
4.1. Analysis of the Difference in Soil-Aggregates-Associated SOC and TN under Ecological Restoration
4.2. Analysis of Factors Influencing the Stability of Soil Aggregates under Ecological Restoration
4.3. The Formation Mechanism of Soil Aggregates under Ecological Restoration
5. Conclusions
Author Contributions
Funding
Institutional Review Board Statement
Informed Consent Statement
Data Availability Statement
Conflicts of Interest
References
- Lan, J. Changes of Soil Aggregate Stability and Erodibility after Cropland Conversion in Degraded Karst Region. J. Soil Sci. Plant Nutr. 2021, 21, 3333–3345. [Google Scholar] [CrossRef]
- Ronick, C.J.; Lal, R. Soil structure and management: A review. Geoderma 2005, 124, 3–22. [Google Scholar] [CrossRef]
- Six, J.; Elliott, E.T.; Paustian, K. Soil structure and soil organic matter: II. A normalized stability index and the effect of mineralogy. Soil Sci. Soc. Am. J. 2000, 64, 1042–1049. [Google Scholar] [CrossRef]
- Zhang, Y.; Li, P.; Liu, X.J.; Xiao, L.; Shi, P.; Zhao, B.H. Effects of farmland conversion on the stoichiometry of carbon, nitrogen, and phosphorus in soil aggregates on the Loess Plateau of China. Geoderma 2019, 351, 188–196. [Google Scholar] [CrossRef]
- Deng, L.; Ma, B. Almost everywhere convergence of riesz means related to schrdinger operator with constant magnetic fields. Abstr. Appl. Anal. 2013, 2013, 859680. [Google Scholar] [CrossRef]
- Six, J.; Bossuyt, H.; Degryze, S.; Denef, K. A history of research on the link between (micro) aggregates, soil biota, and soil organic matter dynamics. Soil Tillage Res. 2004, 79, 7–31. [Google Scholar] [CrossRef]
- Justyna, S.; Agnieszka, J.; Karolina, W.; Tomasz, Z. Interrelationship between soil depth and soil properties of pieniny national park forest (Poland). J. Mt. Sci. 2019, 16, 1534–1545. [Google Scholar]
- Chaplot, V.; Cooper, M. Soil aggregate stability to predict organic carbon outputs from soils. Geoderma 2015, 243–244, 205–213. [Google Scholar] [CrossRef]
- Liu, X.J.; Li, Z.B.; Li, P. Changes in carbon and nitrogen with particle size in bottom sediments in the Dan River, China. Quat. Int. 2015, 380–381, 305–313. [Google Scholar] [CrossRef]
- Tisdall, J.M.; Oades, J.M. Organic matter and water-stable aggregates in soils. J. Soil Sci. 1982, 33, 141–163. [Google Scholar] [CrossRef]
- Li, Y.; Yu, P.; Shen, L. Changes in soil aggregate stability and aggregate-associated organic carbon during old-field succession in karst valley. Environ. Monit. Assess. 2022, 194, 15. [Google Scholar] [CrossRef] [PubMed]
- Deng, L.; Shang, Z.P. Afforestation drives soil carbon and nitrogen changes in china. Land Degrad. Dev. 2016, 28, 151–165. [Google Scholar] [CrossRef] [Green Version]
- Chang, E.H.; Li, P.; Li, Z.B.; Xiao, L.; Zhao, B.H.; Su, Y.Y.; Feng, Z.H. Using water isotopes to analyze water uptake during vegetation succession on abandoned cropland on the Loess Plateau, China. Catena 2019, 181, 104095. [Google Scholar] [CrossRef]
- Zhang, H.; Niu, L.; Hu, K.; Hao, J.; Li, F.; Wang, X.; Chen, H. Long-term effects of nitrogen and phosphorus fertilization on soil aggregate stability and aggregate-associated carbon and nitrogen in the North China Plain. Soil Sci. Soc. Am. J. 2021, 85, 732–745. [Google Scholar] [CrossRef]
- Jin, V.L.; Schmer, M.R.; Wienhold, B.J.; Stewart, C.E.; Varvel, G.E.; Sindelar, A.J. Twelve years of stover removal increases soil erosion potential without impacting yield. Soil Sci. Soc. Am. J. 2015, 79, 1169–1178. [Google Scholar] [CrossRef]
- Qiu, L.P.; Wei, X.R.; Gao, J.L.; Zhang, X.C. Dynamics of soil aggregate-associated organic carbon along an afforestation chronosequence. Plant Soil 2015, 391, 237–251. [Google Scholar] [CrossRef]
- Choudhury, S.G.; Srivastava, S.; Singh, R.; Chaudhari, S.K.; Sarkar, D. Tillage and residue management effects on soil aggregation, organic carbon dynamics and yield attribute in rice-wheat cropping system under reclaimed sodic soil. Soil Tillage Res. 2014, 136, 76–83. [Google Scholar] [CrossRef]
- Shi, P.; Zhang, Y.; Li, P.; Li, Z.; Yu, K.; Ren, Z.; Xu, G.; Cheng, S.; Wang, F.; Ma, Y. Distribution of soil organic carbon impacted by land-use changes in a hilly watershed of the Loess Plateau, China. Sci. Total Environ. 2019, 652, 505–512. [Google Scholar] [CrossRef]
- Li, S.; Gu, X.; Zhuang, J.; An, T.; Pei, J.; Xie, H. Distribution and storage of crop residue carbon in aggregates and its contribution to organic carbon of soil with low fertility. Soil Tillage Res. 2016, 155, 199–206. [Google Scholar] [CrossRef]
- Zhang, B.; Tian, L.; Zhao, X.; Wu, P. Feedbacks between vegetation restoration and local precipitation over the Loess Plateau in China. Sci. China Earth Sci. 2021, 64, 920–931. [Google Scholar] [CrossRef]
- Sarathjith, M.C.; Das, B.S.; Vasava, H.B.; Mohanty, B.; Sahadevan, A.S.; Wani, S.P. Diffuse reflectance spectroscopic approach for the characterization of soil aggregate size distribution. Soil Sci. Soc. Am. J. 2014, 78, 369–376. [Google Scholar] [CrossRef]
- Wang, T.; Li, P.; Li, Z.; Hou, J.M.; Xiao, L.; Ren, Z.; Su, Y. The effects of freeze–thaw process on soil water migration in dam and slope farmland on the Loess Plateau, China. Sci. Total Environ. 2019, 666, 721–730. [Google Scholar] [CrossRef]
- Zhang, Y.; Li, P.; Liu, X.; Xiao, L.; Li, Z.; Wu, H.; Zhou, S.; Ren, M. Tracer elements revealed the soil organic carbon sources in a dam-controlled watershed. Soil Tillage Res. 2022, 216, 105184. [Google Scholar] [CrossRef]
- Burghardt, W.; Schneider, T. Bulk density and content, density and stock of carbon, nitrogen and heavy metals in vegetable patches and lawns of allotments gardens in the northwestern Ruhr area. Ger. J. Soils Sediments 2018, 18, 407–417. [Google Scholar] [CrossRef]
- Liu, M.Y.; Chang, Q.R.; Qi, Y.B.; Liu, J.; Chen, T. Aggregation and soil organic carbon fractions under different land uses on the tableland of the loess plateau of china. Catena 2014, 115, 19–28. [Google Scholar] [CrossRef] [Green Version]
- Cambardella, C.A.; Elliott, E.T. Carbon and nitrogen dynamics of soil organic matter fractions from cultivated grassland soils. Soil Sci. Soc. Am. J. 1994, 58, 123–130. [Google Scholar] [CrossRef]
- Zhang, Y.; Dalal, R.C.; Bhattacharyya, R.; Meyer, G.; Wang, P.; Menzies, N.W.; Kopittke, P.M. Effect of long-term no-tillage and nitrogen fertilization on phosphorus distribution in bulk soil and aggregates of a Vertisol. Soil Tillage Res. 2021, 205, 104760. [Google Scholar] [CrossRef]
- Tyler, S.W.; Wheatcraft, S.W. Fractal scaling of soil particle-size distributions: Analysis and limitations. Soil Sci. Soc. Am. J. 1992, 56, 362–369. [Google Scholar] [CrossRef]
- Kemper, W.D.; Rosenau, R.C. Aggregate stability and size distribution. In Methods of Soil Analysis. Part I. Physical and Mineralogical Methods; Klute, A., Ed.; ASA and SSSA: Madison, WI, USA, 1986; pp. 422–425. [Google Scholar]
- Zhang, Q.; Shao, M.; Jia, X.; Zhang, C. Understory Vegetation and Drought Effects on Soil Aggregate Stability and Aggregate-Associated Carbon on the Loess Plateau in China. Soil Sci. Soc. Am. J. 2018, 82, 106–114. [Google Scholar] [CrossRef]
- Parsakhoo, A.; Lotfalian, M.; Kavian, A.; Hosseini, S.A. Assessment of soil erodibility and aggregate stability for different parts of a forest road. J. For. Res. 2014, 25, 193–200. [Google Scholar] [CrossRef]
- Wu, C.; Deng, L.; Huang, C.; Chen, Y.; Peng, C. Effects of vegetation restoration on soil nutrients, plant diversity, and its spatiotemporal heterogeneity in a desert-oasis ecotone. Land Degrad. Dev. 2021, 32, 670–683. [Google Scholar] [CrossRef]
- Liang, S.; Zhang, H.; Song, X.; Liu, S.; Yun, X.; Wu, Y. Loss of soil carbon and nitrogen rather than variations in soil particle size distribution decreased microbial residues during conversion of grassland to croplands. Eur. J. Soil Sci. 2021, 72, 2215–2224. [Google Scholar] [CrossRef]
- Niu, Z.; Su, Y.; An, F.; Liu, T. Changes in soil carbon and nitrogen content, associated with aggregate fractions, after conversion of sandy desert to irrigation farmland, northwest China. Soil Use Manag. 2022, 38, 396–410. [Google Scholar] [CrossRef]
- D’Acqui, L.P.; Bonetti, A.; Pini, R.; Certini, G. Physical protection of organic matter in minesoils assessed by low-temperature ashing (LTA). Geoderma 2017, 15, 120–129. [Google Scholar] [CrossRef]
- Soinne, H.; Hyyaluoma, J.; Ketoja, E. Relative importance of organic carbon, land use and moisture conditions for the aggregate stability of post-glacial clay soils. Soil Tillage Res. 2016, 158, 1–9. [Google Scholar] [CrossRef]
- Zhu, S.; Vivanco, J.M.; Manter, D.K. Nitrogen fertilizer rate affects root exudation, the rhizosphere microbiome and nitrogen-use-efficiency of maize. Appl. Soil Ecol. 2016, 107, 324–333. [Google Scholar] [CrossRef] [Green Version]
- Bach, E.M.; Hofmockel, K.S. A time for every season: Soil aggregate turnover stimulates decomposition and reduces carbon loss in grasslands managed for bioenergy. Glob. Chang. Biol. Bioenergy 2015, 8, 588–589. [Google Scholar] [CrossRef] [Green Version]
- Ovsepyan, L.; Kurganova, I.N.; Gerenyu, V.L.D.; Kuzyakov, Y. Recovery of organic matter and microbial biomass after abandonment of degraded agricultural soils: The influence of climate. Land Degrad. Dev. 2019, 30, 1861–1874. [Google Scholar] [CrossRef]
- Mi, W.; Wu, Y.; Zhao, H.; Wu, L.; Liu, Y. Effects of combined organic manure and mineral fertilization on soil aggregation and aggregate-associated organic carbon in two agricultural soils. J. Plant Nutr. 2018, 41, 2256–2265. [Google Scholar] [CrossRef]
- Ghosh, A.; Bhattacharyya, R.; Meena, M.C.; Dwivedi, B.S.; Singh, G.; Agnihotri, R. Long-term fertilization effects on soil organic carbon sequestration in an inceptisol. Soil Tillage Res. 2018, 177, 134–144. [Google Scholar] [CrossRef]
- Liu, M.Y.; Wu, J.-L.; Liu, L.W.; Yu, Y.-N. Stability characteristics of soil water-stable aggregates under different land-use patterns on the loess plateau. J. Nat. Resour. 2016, 31, 1564–1576. [Google Scholar]







| Land Use | Longitude | Latitude | Altitude/m | Slope/° | Plant Family | Coverage/Crown Density/% | Slope Aspect | Characteristics |
|---|---|---|---|---|---|---|---|---|
| Cultivated land/CL | 37°35′38.4″ | 110°21′30.8″ | 1066 | 38 | Gramineae | 20 | Semi-shady | SF is mainly cultivated sorghum, planting system for sorghum—winter— sorghum, ploughed, extensive human disturbance, no fertilisation. |
| Woodland/WL | 37°35′33.6″ | 110°20′52.5″ | 985 | 25 | Pinaceae | 60 | Semi-shady | The tree heights are more than 6 m, artificial cultivation, pine the main tree species for the woodland, ≥30-y planting period since 1990s, no human disturbance. |
| Grassland/GR | 37°35′24.4″ | 110°20′22.6″ | 966 | 30 | Gramineae | 86 | Semi-shady | Grass coverage >90%, artificial cultivation, mainly white Aegilops tauschii, 20-y planting period, no human disturbance. |
| Shrub land/SH | 37°35′15.0″ | 110°21′43.5″ | 1030 | 12 | Asteraceae | 68 | Semi-shady | Shrub height of about 1 m, main vegetation is Artemisia capillaris, 20-y planting period, no human disturbance. |
| Terrace/TE | 37°35′40.1″ | 110°21′33.2″ | 1036 | 4 | Rosaceae | 40 | Semi-shady | Planted apple + jujube, 30-y planting period, minor use of spray fertiliser, minimum human disturbance. |
| Type | Depth (cm) | ||
|---|---|---|---|
| 0–20 cm | 20 cm–40 cm | 40 cm–60 cm | |
| Cultivated land | 1.03 ± 0.39 Ca | 1.44 ± 0.34 Ba | 0.75 ± 0.36 Ba |
| Woodland | 3.16 ± 0.90 Aa | 2.00 ± 0.31 Ab | 1.92 ± 1.11 Ab |
| Grassland | 3.26 ± 0.56 Aa | 1.56 ± 0.62 Bb | 1.08 ± 0.59 Bb |
| Shrub land | 2.68 ± 0.30 Aa | 1.77 ± 0.87 Bb | 1.26 ± 0.42 Bb |
| Terrace | 1.83 ± 0.91 Ba | 1.15 ± 0.51 Bb | 1.04 ± 0.25 Bb |
| Land Use Types | Bulk Density (g·cm−3) | Ammonium Nitrogen (g·kg−1) | Nitrate Nitrogen (g·kg−1) | Available Phosphorus (g·kg−1) | Clay < 2 μm (%) | Silt 2 μm–50 μm (%) | Sand 50 μm–2 mm (%) |
|---|---|---|---|---|---|---|---|
| Cultivated land | 1.21 ± 0.11 a | 8.14 ± 0.94 b | 0.77 ± 0.06 a | 0.13 ± 0.03 b | 0.28 ± 0.03 b | 27.70 ± 3.20 b | 72.00 ± 3.23 a |
| Woodland | 1.40 ± 0.13 a | 9.92 ± 0.43 a | 0.75 ± 0.18 a | 0.17 ± 0.08 a | 0.25 ± 0.04 bc | 26.93 ± 3.70 b | 72.81 ± 3.74 a |
| Grassland | 1.36 ± 0.12 a | 10.03 ± 0.36 a | 0.59 ± 0.15 a | 0.09 ± 0.02 ab | 0.46 ± 0.13 a | 33.60 ± 5.29 a | 65.93 ± 5.42 b |
| Shrub land | 1.22 ± 0.09 a | 9.18 ± 0.22 a | 0.82 ± 0.06 a | 0.15 ± 0.02 ab | 0.19 ± 0.01 c | 26.28 ± 1.00 b | 73.51 ± 1.01 a |
| Terrace | 1.28 ± 0.09 a | 9.56 ± 0.99 a | 0.35 ± 0.21 b | 0.09 ± 0.02 b | 0.27 ± 0.04 b | 28.87 ± 2.04 b | 70.84 ± 2.07 a |
| Type | Influence Factor | p-Value | Contribution |
|---|---|---|---|
| MWD | Ecological restoration | 0.001 | 28.20% |
| Depth | 0.001 | 17.80% | |
| Ecological restoration × Depth | 0.490 | 5.90% | |
| MWD | Total carbon | 0.223 | 7.70% |
| Total nitrogen | 0.001 | 21.80% | |
| Total carbon × Total nitrogen | 0.508 | 16.20% | |
| SOC | Ecological restoration | 0.001 | 91.20% |
| Depth | 0.001 | 96.80% | |
| Ecological restoration × Depth | 0.001 | 92.90% | |
| TN | Ecological restoration | 0.001 | 84.60% |
| Depth | 0.001 | 85.70% | |
| Ecological restoration × Depth | 0.001 | 77.30% |
| Type | SOC | TN | MWD |
|---|---|---|---|
| SOC | 1 | 0.73 ** | −0.435 ** |
| TN | 0.730 ** | 1 | −0.498 ** |
| MWD | −0.435 ** | −0.498 ** | 1 |
Publisher’s Note: MDPI stays neutral with regard to jurisdictional claims in published maps and institutional affiliations. |
© 2022 by the authors. Licensee MDPI, Basel, Switzerland. This article is an open access article distributed under the terms and conditions of the Creative Commons Attribution (CC BY) license (https://creativecommons.org/licenses/by/4.0/).
Share and Cite
Zhang, Y.; Li, P.; Liu, X.; Xiao, L. Changes in Soil Aggregate Fractions, Stability, and Associated Organic Carbon and Nitrogen in Different Land Use Types in the Loess Plateau, China. Sustainability 2022, 14, 3963. https://doi.org/10.3390/su14073963
Zhang Y, Li P, Liu X, Xiao L. Changes in Soil Aggregate Fractions, Stability, and Associated Organic Carbon and Nitrogen in Different Land Use Types in the Loess Plateau, China. Sustainability. 2022; 14(7):3963. https://doi.org/10.3390/su14073963
Chicago/Turabian StyleZhang, Yi, Peng Li, Xiaojun Liu, and Lie Xiao. 2022. "Changes in Soil Aggregate Fractions, Stability, and Associated Organic Carbon and Nitrogen in Different Land Use Types in the Loess Plateau, China" Sustainability 14, no. 7: 3963. https://doi.org/10.3390/su14073963
APA StyleZhang, Y., Li, P., Liu, X., & Xiao, L. (2022). Changes in Soil Aggregate Fractions, Stability, and Associated Organic Carbon and Nitrogen in Different Land Use Types in the Loess Plateau, China. Sustainability, 14(7), 3963. https://doi.org/10.3390/su14073963
