Air Pollution and Public Bike-Sharing System Ridership in the Context of Sustainable Development Goals
Abstract
:1. Introduction
2. Materials and Methods
2.1. BSS in Seoul
2.2. Data
2.3. Statistical Analyses
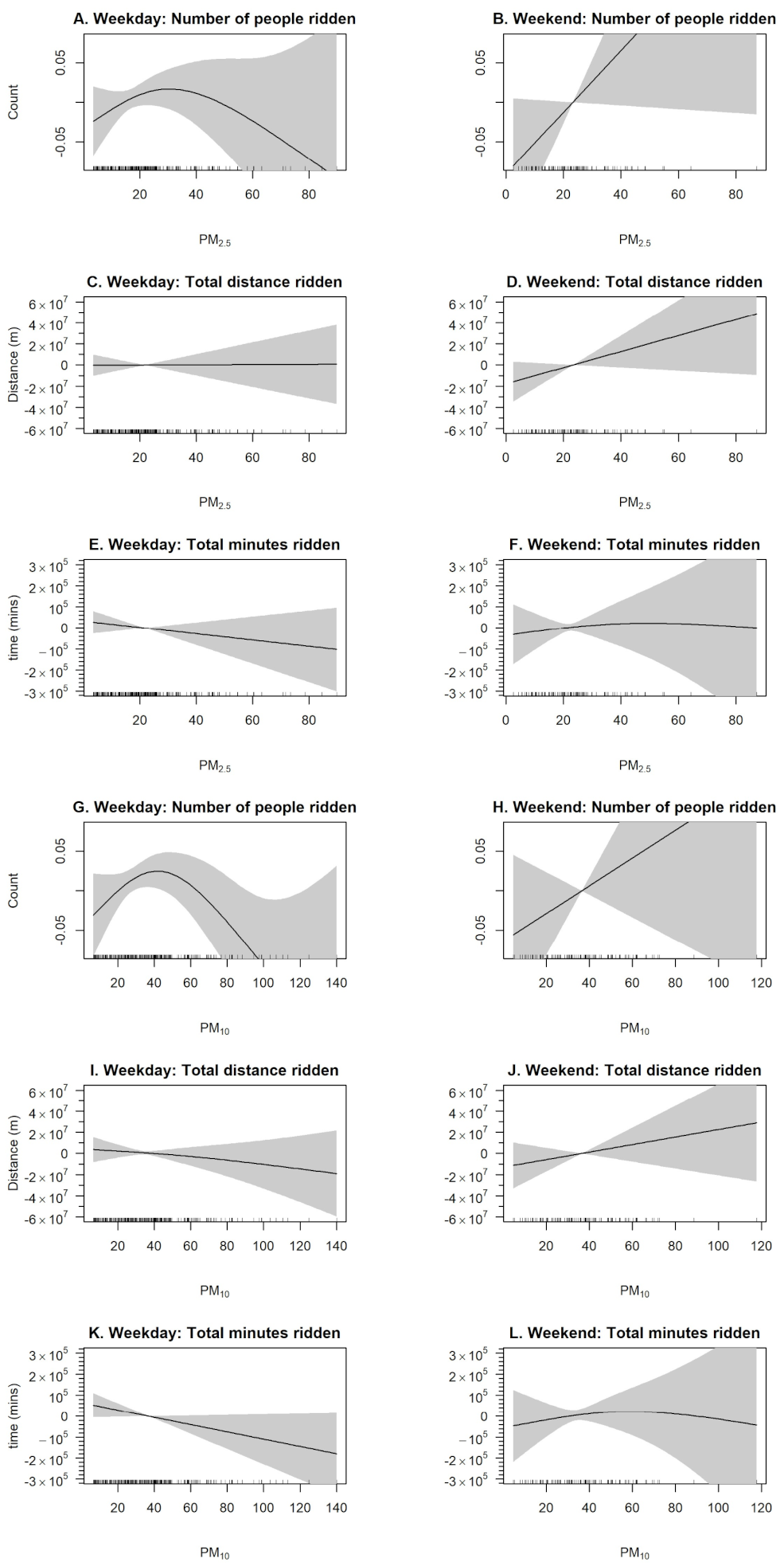
3. Results
4. Discussion
5. Conclusions
Supplementary Materials
Author Contributions
Funding
Institutional Review Board Statement
Informed Consent Statement
Data Availability Statement
Conflicts of Interest
References
- Spencer, J. The sustainable development goals. In Design for Global Challenges and Goals; Series: Design for Social Responsibility; Routledge: Abingdon, UK; New York, NY, USA, 2021; pp. 12–25. ISBN 9781000356700. [Google Scholar]
- United Nations. Sustainable Development Goals. Available online: https://unric.org/en/united-nations-sustainable-development-goals/ (accessed on 26 February 2022).
- Ministry of the Environment. Sustainable Development Portal, Korean Sustainable Development Goals. Available online: http://ncsd.go.kr/ksdgs?content=3 (accessed on 26 February 2022).
- Korean Statistical Information Service (KOSIS). Population Census: Commuting Rate; Satistics of Korea: Daejeon, Korea, 2020; Available online: https://kosis.kr/statHtml/statHtml.do?orgId=101&tblId=DT_1PA2004&conn_path=I2 (accessed on 26 February 2022).
- KOTI. Paradigm Change in Traffic Congestion Cost Estimation and Traffic Congestion Cost Estimation Results in 2017; Korea Transport Institute: Sejong, Korea, 2020; Volume 267. (In Korean) [Google Scholar]
- National Air Emission Inventory and Research Center. Clean Air Policy Support System, Air Pollutant Emission Statistics; National Air Emission Inventory and Research Center: Cheongju-si, Korea, 2019. [Google Scholar]
- Giles-Corti, B.; Lowe, M.; Arundel, J. Achieving the SDGs: Evaluating indicators to be used to benchmark and monitor progress towards creating healthy and sustainable cities. Health Policy 2020, 124, 581–590. [Google Scholar] [CrossRef] [PubMed]
- Qiu, L.Y.; He, L.Y. Bike sharing and the economy, the environment, and health-related externalities. Sustainability 2018, 10, 1145. [Google Scholar] [CrossRef] [Green Version]
- Pan American Health Organization. Bicycle-Sharing Systems across the United States of America; Organización Panamericana de la Salud: Washington, DC, USA, 2020; ISBN 9789275122143. [Google Scholar]
- Pucher, J.; Buehler, R. Transport Reviews Making Cycling Irresistible: Lessons from The Netherlands, Denmark and Germany. Transp. Rev. 2008, 28, 495–528. [Google Scholar] [CrossRef]
- Shaheen, S.A.; Zhang, H.; Martin, E.; Guzman, S. China’s Hangzhou public bicycle. Transp. Res. Rec. J. Transp. Res. Board 2011, 2247, 33–41. [Google Scholar] [CrossRef] [Green Version]
- Carreira, R. End user involvement in the big data based service development process. In Marketing and Smart Technologies. Smart Innovation, Systems and Technologies; Rocha, Á., Reis, J., Peter, M., Bogdanović, Z., Eds.; Springer: Singapore, 2020; Volume 167, pp. 321–329. ISBN 9789811515637. [Google Scholar]
- Marquart, H.; Schlink, U.; Ueberham, M. The planned and the perceived city: A comparison of cyclists’ and decision-makers’ views on cycling quality. J. Transp. Geogr. 2020, 82, 102602. [Google Scholar] [CrossRef]
- Caravaggi, L.; Imbroglini, C.; Lei, A. Rome’s GRAB—Great Bicycle Ring Route—As Complex Landscape Infrastructure. Sustainability 2022, 14, 1023. [Google Scholar] [CrossRef]
- Oja, P.; Titze, S.; Bauman, A.; de Geus, B.; Krenn, P.; Reger-Nash, B.; Kohlberger, T. Health benefits of cycling: A systematic review. Scand. J. Med. Sci. Sports 2011, 21, 496–509. [Google Scholar] [CrossRef] [PubMed]
- World Health Organization (WHO). Ambient (Outdoor) Air Quality and Health. 2021. Available online: https://www.who.int/news-room/fact-sheets/detail/ambient-(outdoor)-air-quality-and-health (accessed on 25 December 2021).
- Raza, W.; Forsberg, B.; Johansson, C.; Sommar, J.N. Air pollution as a risk factor in health impact assessments of a travel mode shift towards cycling. Glob. Health Action 2018, 11, 1429081. [Google Scholar] [CrossRef] [Green Version]
- Engström, E.; Forsberg, B. Health impacts of active commuters’ exposure to traffic-related air pollution in Stockholm, Sweden. J. Transp. Health 2019, 14, 100601. [Google Scholar] [CrossRef]
- Tainio, M.; De Nazelle, A.J.; Götschi, T.; Kahlmeier, S.; Rojas-Rueda, D.; Nieuwenhuijsen, M.J.; De Sá, T.H.; Kelly, P.; Woodcock, J. Can air pollution negate the health benefits of cycling and walking? Prev. Med. 2016, 87, 233–236. [Google Scholar] [CrossRef] [Green Version]
- De Hartog, J.J.; Boogaard, H.; Nijland, H.; Hoek, G. Do the health benefits of cycling outweigh the risks? Environ. Health Perspect. 2010, 118, 1109–1116. [Google Scholar] [CrossRef]
- Korean Statistical Information Service (KOSIS). Population Sensus: Population Statistics; Statistics of Korea: Daejeon, Korea, 2020; Available online: https://kosis.kr/statHtml/statHtml.do?orgId=101&tblId=DT_1IN1502&conn_path=I2 (accessed on 25 December 2021).
- Ha, S.; Liu, D.; Zhu, Y.; Kim, S.S.; Sherman, S.; Grantz, K.L.; Mendola, P. Ambient temperature and stillbirth: A multi-center retrospective cohort study. Environ. Health Perspect. 2017, 125, 1–7. [Google Scholar] [CrossRef]
- World Health Organization & WHO European Centre for Environment. WHO Global Air Quality Guidelines: Particulate Matter (PM2.5 and PM10), Ozone, Nitrogen Dioxide, Sulfur Dioxide and Carbon Monoxide; World Health Organization: Geneva, Switzerland, 2021; ISBN 9240034226. [Google Scholar]
- World Health Organization. Air Quality Guidelines for Particulate Matter, Ozone, Nitrogen Dioxide and Sulphur Dioxide. Global Update 2005; World Health Organization: Geneva, Switzerland, 2006. [Google Scholar]
- Mispelon, C. ECF Cycling Barometer 2015; European Cyclists’ Federation: Brussels, Belgium, 2015. [Google Scholar]
- Han, B.S.; Park, K.; Kwak, K.H.; Park, S.B.; Jin, H.G.; Moon, S.; Kim, J.W.; Baik, J.J. Air quality change in Seoul, South Korea under COVID-19 social distancing: Focusing on PM2.5. Int. J. Environ. Res. Public Health 2020, 17, 6208. [Google Scholar] [CrossRef]
- Han, C.; Hong, Y.C. Decrease in ambient fine particulate matter during COVID-19 crisis and corresponding health benefits in Seoul, Korea. Int. J. Environ. Res. Public Health 2020, 17, 5279. [Google Scholar] [CrossRef]
- Ando, T.; Sato, T.; Hashimoto, N.; Tran, Y.; Konishi, N.; Takeda, Y.; Akamatsu, M. Variability in human mobility during the third wave of COVID-19 in Japan. Sustainability 2021, 13, 13131. [Google Scholar] [CrossRef]
- Dominici, F.; McDermott, A.; Zeger, S.L.; Samet, J.M. On the use of generalized additive models in time-series studies of air pollution and health. Am. J. Epidemiol. 2002, 156, 193–203. [Google Scholar] [CrossRef] [PubMed]
- Kim, S.E.; Honda, Y.; Hashizume, M.; Kan, H.; Lim, Y.-H.; Lee, H.; Kim, C.T.; Yi, S.-M.; Kim, H. Seasonal analysis of the short-term effects of air pollution on daily mortality in Northeast Asia. Sci. Total Environ. 2017, 576, 850–857. [Google Scholar] [CrossRef]
- Kim, K. Investigation on the effects of weather and calendar events on bike-sharing according to the trip patterns of bike rentals of stations. J. Transp. Geogr. 2018, 66, 309–320. [Google Scholar] [CrossRef]
- Kim, H. Seasonal impacts of particulate matter levels on bike sharing in Seoul, South Korea. Int. J. Environ. Res. Public Health 2020, 17, 3999. [Google Scholar] [CrossRef]
- Kim, S.E.; Lim, Y.-H.; Kim, H. Temperature modifies the association between particulate air pollution and mortality: A multi-city study in South Korea. Sci. Total Environ. 2015, 524–525, 376–383. [Google Scholar] [CrossRef]
- Kim, S.U.; Kim, K.Y. Physical and chemical mechanisms of the daily-to-seasonal variation of PM10 in Korea. Sci. Total Environ. 2020, 712, 136429. [Google Scholar] [CrossRef] [PubMed]
- Park, I.-S.; Kim, S.-H.; Jang, Y.W.; Park, M.-S.; Lee, J.; Owen, J.S.; Cho, C.-R.; Jee, J.-B.; Chae, J.-H.; Kang, M. Meteorological Characteristics during Periods of Greatly Reduced PM2.5 Concentrations in March 2020 in Seoul. Aerosol Air Qual. Res. 2021, 21, 200512. [Google Scholar] [CrossRef]
- Lee, D.; Choi, J.-Y.; Myoung, J.; Kim, O.; Park, J.; Shin, H.-J.; Ban, S.-J.; Park, H.-J.; Nam, K.-P. Analysis of a Severe PM 2.5 Episode in the Seoul Metropolitan Area in South Korea from 27 February to 7 March 2019: Focused on Estimation of Domestic and Foreign Contribution. Atmosphere 2019, 10, 756. [Google Scholar] [CrossRef] [Green Version]
- Oh, H.R.; Ho, C.H.; Koo, Y.S.; Baek, K.G.; Yun, H.Y.; Hur, S.K.; Choi, D.R.; Jhun, J.G.; Shim, J.S. Impact of Chinese air pollutants on a record-breaking PMs episode in the Republic of Korea for 11–15 January 2019. Atmos. Environ. 2020, 223, 117262. [Google Scholar] [CrossRef]
- Kim, H.; Zhang, Q.; Sun, Y. Measurement report: Characterization of severe spring haze episodes and influences of long-range transport in the seoul metropolitan area in March 2019. Atmos. Chem. Phys. 2020, 20, 11527–11550. [Google Scholar] [CrossRef]
- Park, D.H.; Kim, S.W.; Kim, M.H.; Yeo, H.; Park, S.S.; Nishizawa, T.; Shimizu, A.; Kim, C.H. Impacts of local versus long-range transported aerosols on PM10 concentrations in Seoul, Korea: An estimate based on 11-year PM10 and lidar observations. Sci. Total Environ. 2021, 750, 141739. [Google Scholar] [CrossRef] [PubMed]
- Neidell, M. Air quality warnings and outdoor activities: Evidence from Southern California using a regression discontinuity design. J. Epidemiol. Community Health 2010, 64, 921–926. [Google Scholar] [CrossRef] [PubMed]






| BSS | 2015 1 | 2016 | 2017 | 2018 | 2019 |
|---|---|---|---|---|---|
| Registered members (cumulative) | 34 | 211 | 598 | 1094 | 1740 |
| Number of bicycles (cumulative) | 1 | 6 | 16 | 20 | 25 |
| Total number of rides | 114 | 1612 | 5031 | 10,062 | 19,075 |
| Average number of daily rides | 1 | 4 | 14 | 28 | 54 |
Publisher’s Note: MDPI stays neutral with regard to jurisdictional claims in published maps and institutional affiliations. |
© 2022 by the authors. Licensee MDPI, Basel, Switzerland. This article is an open access article distributed under the terms and conditions of the Creative Commons Attribution (CC BY) license (https://creativecommons.org/licenses/by/4.0/).
Share and Cite
Park, J.; Honda, Y.; Fujii, S.; Kim, S.E. Air Pollution and Public Bike-Sharing System Ridership in the Context of Sustainable Development Goals. Sustainability 2022, 14, 3861. https://doi.org/10.3390/su14073861
Park J, Honda Y, Fujii S, Kim SE. Air Pollution and Public Bike-Sharing System Ridership in the Context of Sustainable Development Goals. Sustainability. 2022; 14(7):3861. https://doi.org/10.3390/su14073861
Chicago/Turabian StylePark, Jooho, Yasushi Honda, Sayaka Fujii, and Satbyul Estella Kim. 2022. "Air Pollution and Public Bike-Sharing System Ridership in the Context of Sustainable Development Goals" Sustainability 14, no. 7: 3861. https://doi.org/10.3390/su14073861
APA StylePark, J., Honda, Y., Fujii, S., & Kim, S. E. (2022). Air Pollution and Public Bike-Sharing System Ridership in the Context of Sustainable Development Goals. Sustainability, 14(7), 3861. https://doi.org/10.3390/su14073861

