Asphaltene or Polyvinylchloride Waste Blended with Cement to Produce a Sustainable Material Used in Nuclear Safety
Abstract
:1. Introduction
2. Methodology of Research
2.1. Materials
2.1.1. Portland Cement
2.1.2. Polyvinylchloride (PVC)
2.1.3. Asphaltene
2.2. Preparation of Cementitious Samples
2.3. Assessment of Mechanical Properties
2.4. Determination of Gamma-Ray Shielding by Theoretical Aspects
3. Results and Discussion
3.1. Investigation of Mechanical Integrity and Porosity
3.1.1. Cement-Based PVC
3.1.2. Cement-Based Asphaltene
3.2. Radiation Shielding Performance
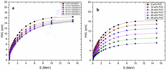
3.2.1. Gamma-Rays Shielding Properties
3.2.2. Radiation Protection Efficiency (RPE)
3.2.3. Effective Atomic Number (Zeff)
3.2.4. Exposure Build-Up Factors (EBF)
3.2.5. Fast Neutron Removal Cross-Section
4. Conclusions
Author Contributions
Funding
Institutional Review Board Statement
Informed Consent Statement
Data Availability Statement
Conflicts of Interest
References
- Do, K.-H. General Principles of Radiation Protection in Fields of Diagnostic Medical Exposure. J. Korean Med. Sci. 2016, 31, S6–S9. [Google Scholar] [CrossRef] [PubMed]
- Bayoumi, T.A.; Reda, S.M.; Saleh, H.M. Assessment Study for Multi-Barrier System Used in Radioactive Borate Waste Isolation Based on Monte Carlo Simulations. Appl. Radiat. Isot. 2012, 70, 99–102. [Google Scholar] [CrossRef] [PubMed]
- Saleh, H.M.; Eskander, S.B. Long-Term Effect on the Solidified Degraded Cellulose-Based Waste Slurry in Cement Matrix. Acta Montan. Slovaca 2009, 14, 291–297. [Google Scholar]
- Saleh, H.M.; Mahmoud, H.H.; Aglan, R.F.; Bayoumi, T.A. Biological Treatment of Wastewater Contaminated with Cu(Ii), Fe(Ii) and Mn(Ii) Using Ludwigia Stolonifera Aquatic Plant. Environ. Eng. Manag. J. 2019, 18, 1327–1336. [Google Scholar] [CrossRef]
- Saleh, H.M.; Moussa, H.R.; El-Saied, F.A.; Dawoud, M.; Nouh, E.S.A.; Abdel Wahed, R.S. Adsorption of Cesium and Cobalt onto Dried Myriophyllum spicatum L. from Radio-Contaminated Water: Experimental and Theoretical Study. Prog. Nucl. Energy 2020, 125, 103393. [Google Scholar] [CrossRef]
- Saleh, H.M.; Eskander, S.B.; Fahmy, H.M. Mortar Composite Based on Wet Oxidative Degraded Cellulosic Spinney Waste Fibers. Int. J. Environ. Sci. Technol. 2014, 11, 1297–1304. [Google Scholar] [CrossRef] [Green Version]
- Dawoud, M.M.A.; Hegazy, M.M.; Helew, W.K.; Saleh, H.M. Overview of Environmental Pollution and Clean Management of Heavy Metals and Radionuclides by Using Microcrystalline Cellulose. J. Nucl. Energy Sci. Power Gener. Technol. 2021, 10, 100201. [Google Scholar]
- Saleh, H.M.; Bondouk, I.I.; Salama, E.; Esawii, H.A. Consistency and Shielding Efficiency of Cement-Bitumen Composite for Use as Gamma-Radiation Shielding Material. Prog. Nucl. Energy 2021, 137, 103764. [Google Scholar] [CrossRef]
- Reda, S.M.; Saleh, H.M. Calculation of the Gamma Radiation Shielding Efficiency of Cement-Bitumen Portable Container Using MCNPX Code. Prog. Nucl. Energy 2021, 142, 104012. [Google Scholar] [CrossRef]
- Eid, M.S.; Bondouk, I.I.; Saleh, H.M.; Omar, K.M.; Sayyed, M.I.; El-Khatib, A.M.; Elsafi, M. Implementation of Waste Silicate Glass into Composition of Ordinary Cement for Radiation Shielding Applications. Nucl. Eng. Technol. 2021. [Google Scholar] [CrossRef]
- Eskander, S.B.; Saleh, H.M.; Tawfik, M.E.; Bayoumi, T.A. Towards Potential Applications of Cement-Polymer Composites Based on Recycled Polystyrene Foam Wastes on Construction Fields: Impact of Exposure to Water Ecologies. Case Stud. Constr. Mater. 2021, 15, e00664. [Google Scholar] [CrossRef]
- Saleh, H.; Salman, A.; Faheim, A.; El-Sayed, A. Polymer and Polymer Waste Composites in Nuclear and Industrial Applications. J. Nucl. Energy Sci. Power Gener. Technol. 2020, 9, 1000199. [Google Scholar]
- Saleh, H.M.; Eskander, S.B. Impact of Water Flooding on Hard Cement-Recycled Polystyrene Composite Immobilizing Radioactive Sulfate Waste Simulate. Constr. Build. Mater. 2019, 222, 522–530. [Google Scholar] [CrossRef]
- Smirnova, O.M.; Menéndez Pidal de Navascués, I.; Mikhailevskii, V.R.; Kolosov, O.I.; Skolota, N.S. Sound-Absorbing Composites with Rubber Crumb from Used Tires. Appl. Sci. 2021, 11, 7347. [Google Scholar] [CrossRef]
- Saleh, H.M.; El-Saied, F.A.; Salaheldin, T.A.; Hezo, A.A. Influence of Severe Climatic Variability on the Structural, Mechanical and Chemical Stability of Cement Kiln Dust-Slag-Nanosilica Composite Used for Radwaste Solidification. Constr. Build. Mater. 2019, 218, 556–567. [Google Scholar] [CrossRef]
- Saleh, H.M.; El-Sheikh, S.M.; Elshereafy, E.E.; Essa, A.K. Performance of Cement-Slag-Titanate Nanofibers Composite Immobilized Radioactive Waste Solution through Frost and Flooding Events. Constr. Build. Mater. 2019, 223, 221–232. [Google Scholar] [CrossRef]
- Saleh, H.M.; Salman, A.A.; Faheim, A.A.; El-Sayed, A.M. Sustainable Composite of Improved Lightweight Concrete from Cement Kiln Dust with Grated Poly (Styrene). J. Clean. Prod. 2020, 277, 123491. [Google Scholar] [CrossRef]
- Saleh, H.M.; Salman, A.A.; Faheim, A.A.; El-Sayed, A.M. Influence of Aggressive Environmental Impacts on Clean, Lightweight Bricks Made from Cement Kiln Dust and Grated Polystyrene. Case Stud. Constr. Mater. 2021, 15, e00759. [Google Scholar] [CrossRef]
- Ragab, A.A.; Mohammedy, M.M.; El-Shafie, M. Using Waste Flexible Polyvinyl Chloride Treated with DOP/Calcium Hydroxide for Enriching the Performance of Oxidizing Bitumen. J. Therm. Anal. Calorim. 2019, 136, 1079–1091. [Google Scholar] [CrossRef]
- Kou, S.C.; Lee, G.; Poon, C.S.; Lai, W.L. Properties of Lightweight Aggregate Concrete Prepared with PVC Granules Derived from Scraped PVC Pipes. Waste Manag. 2009, 29, 621–628. [Google Scholar] [CrossRef] [PubMed]
- Glova, A.D.; Nazarychev, V.M.; Larin, S.V.; Lyulin, A.V.; Lyulin, S.V.; Gurtovenko, A.A. Asphaltenes as Novel Thermal Conductivity Enhancers for Liquid Paraffin: Insight from in Silico Modeling. J. Mol. Liq. 2021, 346, 117112. [Google Scholar] [CrossRef]
- Uddin, M.M.; Kamran, F.; Hashemian, L. Performance Comparison of Asphalt Emulsion Stabilized Granular Base Modified with Cement or Asphaltenes. Can. J. Civ. Eng. 2021. [Google Scholar] [CrossRef]
- ESS-4756-1/2005; Ordinary Portland Cement (OPC) CEM1 (42.5 N). Egyptian Standard Specifications: Cairo, Egypt, 2005.
- BSI-197-1/2011; Cement, Composition, Specifications and Conformity Criteria for Common Cements. British Standards Institution: London, UK, 2011; Volume 1.
- Wang, J.; Wang, H.; Yue, D. Separation of Waste Polymethyl Methacrylate and Polyvinyl Chloride Mixtures by Flotation after Fenton Oxidation. J. Clean. Prod. 2019, 228, 1218–1228. [Google Scholar] [CrossRef]
- Speight, J.G.; Moschopedis, S.E. On the Molecular Nature of Petroleum Asphaltenes. In Chemistry of Asphaltenes; ACS Publications: Washington, DC, USA, 1981. [Google Scholar]
- ASTM C109/C109M-16a; ASTM Standard Test Method for Compressive Strength of Hydraulic Cement Mortars (Using 2-in. or [50-Mm] Cube Specimens). ASTM International: West Conshohocken, PA, USA, 2016.
- ASTM C20-00; ASTM Standard Test Methods for Apparent Porosity, Water Absorption, Apparent Specific Gravity, and Bulk Density of Burned Refractory Brick and Shapes by Boiling Water. ASTM International: West Conshohocken, PA, USA, 2015.
- Singh, V.P.; Badiger, N.M.; Kaewkhao, J. Radiation Shielding Competence of Silicate and Borate Heavy Metal Oxide Glasses: Comparative Study. J. Non-Cryst. Solids 2014, 404, 167–173. [Google Scholar] [CrossRef]
- Berger, M.J. Photon Cross-Sections Database. NIST Standard Reference Database 8 (XGAM). 1998. Available online: http://physics.nist.gov/PhysRefData/Xcom/Text/XCOM.html (accessed on 1 February 2022).
- Tijani, S.A.; Kamal, S.M.; Al-Hadeethi, Y.; Arib, M.; Hussein, M.A.; Wageh, S.; Dim, L.A. Radiation Shielding Properties of Transparent Erbium Zinc Tellurite Glass System Determined at Medical Diagnostic Energies. J. Alloys Compd. 2018, 741, 293–299. [Google Scholar] [CrossRef]
- Taylor, M.L.; Smith, R.L.; Dossing, F.; Franich, R.D. Robust Calculation of Effective Atomic Numbers: The Auto-Zeff Software. Med. Phys. 2012, 39, 1769–1778. [Google Scholar] [CrossRef]
- Sathiyaraj, P.; Samuel, E.J.J.; Valeriano, C.C.S.; Kurudirek, M. Effective Atomic Number and Buildup Factor Calculations for Metal Nano Particle Doped Polymer Gel. Vacuum 2017, 143, 138–149. [Google Scholar] [CrossRef]
- Harima, Y. An Historical Review and Current Status of Buildup Factor Calculations and Applications. Radiat. Phys. Chem. 1993, 41, 631–672. [Google Scholar] [CrossRef]
- Kavaz, E.; Yorgun, N.Y. Gamma Ray Buildup Factors of Lithium Borate Glasses Doped with Minerals. J. Alloys Compd. 2018, 752, 61–67. [Google Scholar] [CrossRef]
- Kaplan, M.F. Concrete Radiation Shielding: Nuclear Physics, Concrete Properties, Design and Construction; Longman Scientific & Technical: Harlow, UK, 1989; ISBN 0470213388. [Google Scholar]
- Singh, V.P.; Badiger, N.M. Gamma Ray and Neutron Shielding Properties of Some Alloy Materials. Ann. Nucl. Energy 2014, 64, 301–310. [Google Scholar] [CrossRef]
- ANSI/ANS-6.4.3; Gamma-Ray Attenuation Coefficients and Buildup Factors for Engineering Materials. American Nuclear Society: La Grange Park, IL, USA, 1991.
- Babu, K.G.; Babu, D.S. Behaviour of Lightweight Expanded Polystyrene Concrete Containing Silica Fume. Cem. Concr. Res. 2003, 33, 755–762. [Google Scholar] [CrossRef]
- NRC. Waste Form Technical Position, Revision 1; US Nuclear Regulatory Commission: Washington, DC, USA, 1991.
- Zingg, L.; Briffaut, M.; Baroth, J.; Malecot, Y. Influence of Cement Matrix Porosity on the Triaxial Behaviour of Concrete. Cem. Concr. Res. 2016, 80, 52–59. [Google Scholar] [CrossRef]
- Prêt, D.; Sardini, P.; Beaufort, D.; Zellagui, R.; Sammartino, S. Porosity Distribution in a Clay Gouge by Image Processing of 14C-PolyMethylMethAcrylate (14C-PMMA) Autoradiographs: Case Study of the Fault of St. Julien (Basin of Lodève, France). Appl. Clay Sci. 2004, 27, 107–118. [Google Scholar] [CrossRef]
- Saleh, H.M.; Aglan, R.F.; Mahmoud, H.H. Qualification of Corroborated Real Phytoremediated Radioactive Wastes under Leaching and Other Weathering Parameters. Prog. Nucl. Energy 2020, 119, 103178. [Google Scholar] [CrossRef]
- Saleh, H.M.; Moussa, H.R.; El-Saied, F.A.; Dawod, M.; Bayoumi, T.A.; Abdel Wahed, R.S. Mechanical and Physicochemical Evaluation of Solidifed Dried Submerged Plants Subjected to Extreme Climatic Conditions to Achieve an Optimum Waste Containment. Prog. Nucl. Energy 2020, 122, 103285. [Google Scholar] [CrossRef]
- Salama, E.; Maher, A.; Youssef, G.M. Gamma Radiation and Neutron Shielding Properties of Transparent Alkali Borosilicate Glass Containing Lead. J. Phys. Chem. Solids 2019, 131, 139–147. [Google Scholar] [CrossRef]
- El-Khayatt, A.M. Calculation of Fast Neutron Removal Cross-Sections for Some Compounds and Materials. Ann. Nucl. Energy 2010, 37, 218–222. [Google Scholar] [CrossRef]
- Picha, R.; Channuie, J.; Khaweerat, S.; Liamsuwan, T.; Promping, J.; Ratanatongchai, W.; Silva, K.; Wonglee, S. Gamma and Neutron Attenuation Properties of Barite-Cement Mixture. J. Phys. Conf. Ser. 2015, 611, 012002. [Google Scholar] [CrossRef] [Green Version]
- Akkurt, I.; Akyildirim, H.; Karipçin, F.; Mavi, B. Chemical Corrosion on Gamma-Ray Attenuation Properties of Barite Concrete. J. Saudi Chem. Soc. 2012, 16, 199–202. [Google Scholar] [CrossRef] [Green Version]









| System | Compressive Strength, MPa | Porosity, % | Reference |
|---|---|---|---|
| Standard value | 3.4 | - | [40] |
| Cement without additives | 32.0–36.5 | 27.5–30.0 | [43,44] |
| Cement mixed with bitumen (30 wt.%) | 7.62 | 60.14 | [8] |
| Cement mixed with PVC (50 wt.%) | 4.5 | 78.3 | Present study |
| Cement mixed with asphaltene (50 wt.%) | 8.8 | 24.24 | Present study |
| System | Rang of μm (cm2/g) × 10−2 (at 0.662 MeV) | Fast Neutron Mass Removal Cross-Sections, ΣR/ρ (cm2 g−1) | Reference |
|---|---|---|---|
| Barite concrete | 6.7–7.8 | 0.041–0.027 | [47,48] |
| Portland cement | 7.76 | 0.031 | [30] |
| Cement mixed with bitumen (10–50 wt.%) | 9.94–14.11 | - | [8] |
| Cement mixed with PVC (10–50 wt.%) | 7.78–7.84 | 0.045–0.182 | Present study |
| Cement mixed with asphaltene (10–50 wt.%) | 7.80–8.01 | 0.045–0.122 | Present study |
Publisher’s Note: MDPI stays neutral with regard to jurisdictional claims in published maps and institutional affiliations. |
© 2022 by the authors. Licensee MDPI, Basel, Switzerland. This article is an open access article distributed under the terms and conditions of the Creative Commons Attribution (CC BY) license (https://creativecommons.org/licenses/by/4.0/).
Share and Cite
Saleh, H.M.; Bondouk, I.I.; Salama, E.; Mahmoud, H.H.; Omar, K.; Esawii, H.A. Asphaltene or Polyvinylchloride Waste Blended with Cement to Produce a Sustainable Material Used in Nuclear Safety. Sustainability 2022, 14, 3525. https://doi.org/10.3390/su14063525
Saleh HM, Bondouk II, Salama E, Mahmoud HH, Omar K, Esawii HA. Asphaltene or Polyvinylchloride Waste Blended with Cement to Produce a Sustainable Material Used in Nuclear Safety. Sustainability. 2022; 14(6):3525. https://doi.org/10.3390/su14063525
Chicago/Turabian StyleSaleh, Hosam M., Ibrahim I. Bondouk, Elsayed Salama, Hazem H. Mahmoud, Khalid Omar, and Heba A. Esawii. 2022. "Asphaltene or Polyvinylchloride Waste Blended with Cement to Produce a Sustainable Material Used in Nuclear Safety" Sustainability 14, no. 6: 3525. https://doi.org/10.3390/su14063525
APA StyleSaleh, H. M., Bondouk, I. I., Salama, E., Mahmoud, H. H., Omar, K., & Esawii, H. A. (2022). Asphaltene or Polyvinylchloride Waste Blended with Cement to Produce a Sustainable Material Used in Nuclear Safety. Sustainability, 14(6), 3525. https://doi.org/10.3390/su14063525

