The 2020 Maize Production Failure in Ghana: A Case Study of Ejura-Sekyedumase Municipality
Abstract
:1. Introduction
2. Methodology
2.1. Study Area
2.2. Data Collection
2.3. Data Analyses
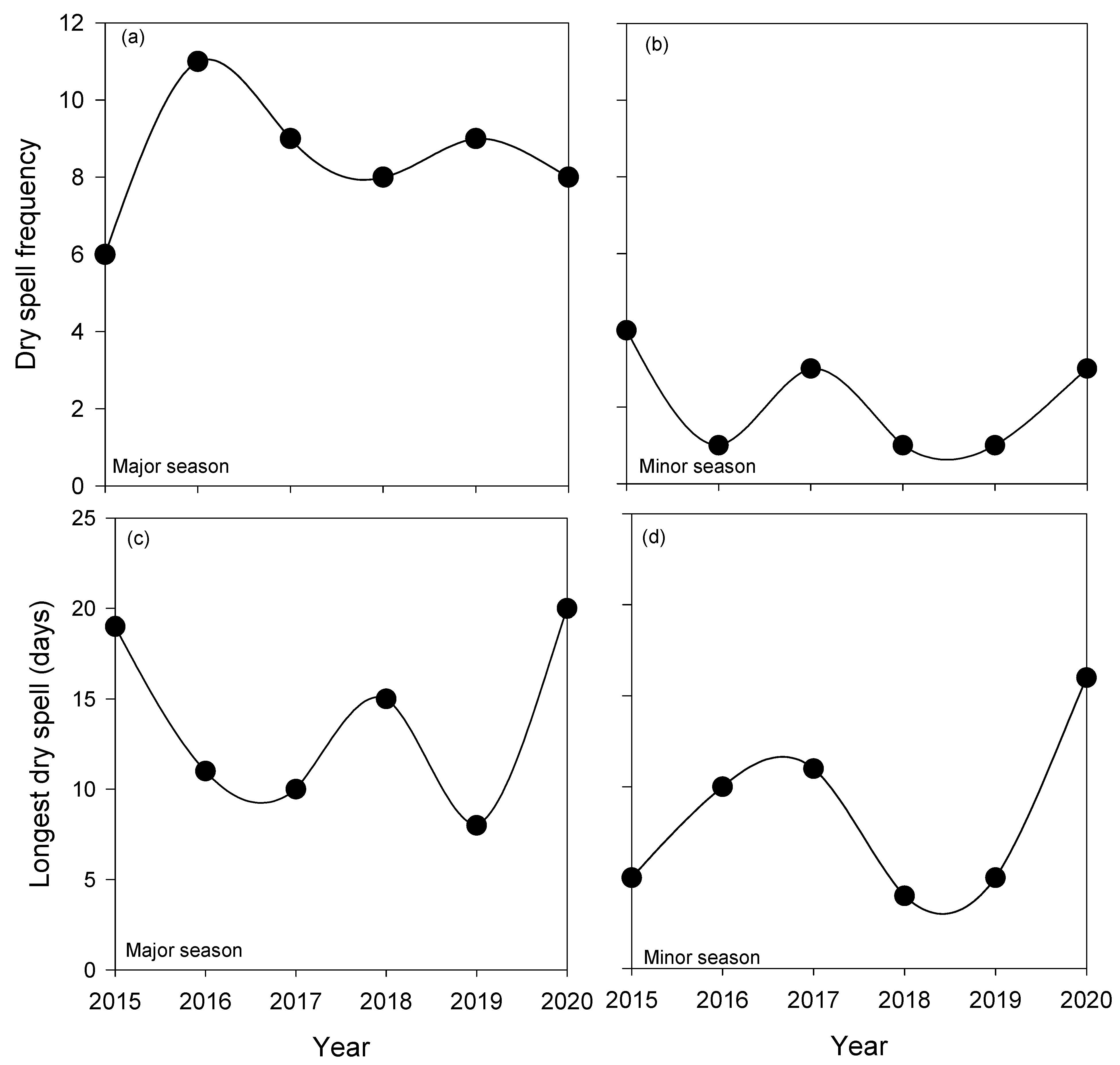
3. Results and Discussion
3.1. Socio-Demographic and Farm Characteristics
3.2. Maize Production and Failures
3.3. Drivers of Maize Production Failure in 2020
I heard about what the fall armyworm can do to crops in other parts of Ghana in late 2016. However, it was not until late 2017 that this little but very destructive creature made its journey to Ejura and its environs. It was not a major concern initially as the damage was minimal, but it is now problematic because of the destruction, especially to young maize plants. Multiplication of the pest has been very rapid since 2020. The pest can devour several square meters of maize farm within a short time… Like all other farmers in the Ejura area, I have observed that the insect seems to multiply faster when the weather is dry and warm, which explains why the situation was worse in 2020 minor season because the rain did not come in time and good quantity… (Male maize farmer in Ejura).
3.4. Alternative Income and Safety Nets for Farmers
3.5. Changes in Agronomic Practices in Response to the 2020 Maize Production Failure
The minor season rain is increasingly becoming very difficult for farmers to predict its onset and cessation. This implies that opting for only early or late sowing increases the risk of maize failure. A viable way to go is we (Extension Officers) advise farmers to do split sowing of maize so that they do not put their eggs in one basket…to avoid total crop failure in case the rains did not come as expected (Key informant at Ejura).
3.6. Building Farmers’ Resilience to Maize Production Failures
At the beginning of the 2020 minor growing season, a buyer came to me from Accra…We agreed she was going to support me financially and in kind to grow maize. Given the size of my farm, I was confident that I could supply her with at least 100 bags of maize at the end of the season. Unfortunately, nothing worked that season, the rain was a huge disappointment. On top of that, the fall armyworms devoured the maize plant… I could not even harvest 30 bags of maize to make the buyer somehow happy…To sum up, I am still indebted to her (the buyer).
4. Conclusions and Recommendations
Supplementary Materials
Author Contributions
Funding
Institutional Review Board Statement
Informed Consent Statement
Data Availability Statement
Acknowledgments
Conflicts of Interest
References
- Boon, E.K.; Anuga, S.W. Circular economy and its relevance for improving food and nutrition security in Sub-Saharan Africa: The Case of Ghana. Mater. Circ. Econ. 2020, 2, 5. [Google Scholar] [CrossRef]
- Masih, I.; Maskey, S.; Mussá, F.E.F.; Trambauer, P. A review of droughts on the African continent: A geospatial and long-term perspective. Hydrol. Earth Syst. Sci. 2014, 18, 3635–3649. [Google Scholar] [CrossRef] [Green Version]
- United Nations. Transforming Our World: The 2030 Agenda for Sustainable Development. Available online: https://www.un.org/ga/search/view_doc.asp?symbol¼A/RES/70/1&Lang¼E (accessed on 22 February 2022).
- Worqlul, A.W.; Dile, Y.T.; Jeong, J.; Adimassu, Z.; Lefore, N.; Gerik, T.; Srinivasan, R.; Clarke, N. Effect of climate change on land suitability for surface irrigation and irrigation potential of the shallow groundwater in Ghana. Comput. Electron. Agric. 2019, 157, 110–125. [Google Scholar] [CrossRef]
- Wongnaa, C.A.; Awunyo-Vitor, D.; Mensah, A.; Adams, F. Profit efficiency among maize farmers and implications for poverty alleviation and food security in Ghana. Sci. Afr. 2019, 6, e00206. [Google Scholar] [CrossRef]
- Adu, G.B.; Badu-Apraku, B.; Akromah, R.; Amegbor, I.K.; Adogoba, D.S.; Haruna, A.; Manigben, K.A.; Aboyadana, P.A.; Wiredu, A.N. Trait profile of maize varieties preferred by farmers and value chain actors in northern Ghana. Agron. Sustain. Dev. 2021, 41, 50. [Google Scholar] [CrossRef]
- Owusu, K.; Ayisi, K.E.; Musah-Surugu, I.J.; Yankson, P.W.K. The effects of 2015 El Nino on smallholder maize production in the transitional ecological zone of Ghana. Int. J. Clim. Change Strateg. Manag. 2019, 11, 609–621. [Google Scholar] [CrossRef] [Green Version]
- Cossar, F.; Houssou, N.; Asante-Addo, C. Development of Agricultural Mechanization in Ghana: Network, Actors, and Institutions: A Case Study of Ejura-Sekyedumase District; International Food Policy Research Institute: Washington, DC, USA, 2016. [Google Scholar]
- Obour, P.B.; Dadzie, F.A.; Arthur, E.; Munkholm, L.J.; Saba, C.K.S.; Rubæk, G.H.; Owusu, K. Integration of farmers’ knowledge and science-based assessment of soil quality for peri-urban vegetable production in GhanaRenew. Agric. Food Syst. 2020, 35, 128–139. [Google Scholar] [CrossRef]
- Gbangou, T.; Ludwig, F.; van Slobbe, E.; Greuell, W.; Kranjac-Berisavljevic, G. Rainfall and dry spell occurrence in Ghana: Trends and seasonal predictions with a dynamical and a statistical model. Theor. Appl. Climatol. 2020, 141, 371–387. [Google Scholar] [CrossRef] [Green Version]
- Ministry of Finance. Republic of Ghana Composite Budget for 2021–2024 Programme Based Budget Estimates for 2021Ejura-Sekyedumase Municipal Assembly. Available online: https://mofep.gov.gh/sites/default/files/composite-budget/2021/AR/Ejura_Sekyedumase.pdf (accessed on 17 January 2022).
- IPCC. IPCC (2018) Summary for policymakers. In Global Warming of 1.5 °C; An IPCC special report on the impacts of global warming of 1.5 °C above pre-industrial levels and related global greenhouse gas emission pathways, in the context of strengthening the global response to the threat of climate change, sustainable development, and efforts to eradicate poverty; Masson-Delmotte, V., Zhai, P., Pörtner, H.-O., Roberts, D., Skea, J., Shukla, P.R., Pirani, A., Moufouma-Okia, W., Péan, C., Pidcock, R., et al., Eds.; World Meteorological Organization: Geneva, Switzerland, 2018. [Google Scholar]
- Usman, M.T.; Reason, C.J.C. Dry spell frequencies and their variability over Southern Africa. Clim. Res. 2004, 26, 199–211. [Google Scholar] [CrossRef] [Green Version]
- Siatwiinda, S.M.; Supit, I.; Hove, B.v.; Yerokun, O.; Ros, G.H.; Vries, W.d. Climate change impacts on rainfed maize yields in Zambia under conventional and optimized crop management. Clim. Change 2021, 167, 39. [Google Scholar] [CrossRef]
- Koffi, D.; Kyerematen, R.; Eziah, V.Y.; Osei-Mensah, Y.O.; Afreh-Nuamah, K.; Aboagye, E.; Osae, M.; Meagher, R.L. Assessment of impacts of fall armyworm, Spodoptera frugiperda (Lepidoptera: Noctuidae) on maize production in Ghana. J. Integr. Pest Manag. 2020, 11, 1–7. [Google Scholar] [CrossRef]
- Bariw, S.A.; Kudadze, S.; Adzawla, W. Prevalence, effects and management of fall army worm in the Nkoranza South Municipality, Bono East region of Ghana. Cogent Food Agr. 2020, 6, 1800239. [Google Scholar] [CrossRef]
- Ragasa, C.; Chapoto, A. Moving in the right direction? The role of price subsidies in fertilizer use and maize productivity in Ghana. Food Secur. 2017, 9, 329–353. [Google Scholar] [CrossRef]
- Dapilah, F.; Nielsen, J.Ø.; Friis, C. The role of social networks in building adaptive capacity and resilience to climate change: A case study from northern Ghana. Clim. Dev. 2020, 12, 42–56. [Google Scholar] [CrossRef]
- Adzawla, W.; Alhassan, H. Effects of climate adaptation on technical efficiency of maize production in Northern Ghana. Agric. Food Econ. 2021, 9, 14. [Google Scholar] [CrossRef]
- Chaudhury, M.; Kristjanson, P.; Kyagazze, F.; Naab, J.B.; Neelormi, S. Participatory Gender-Sensitive Approaches for Addressing Key Climate Change- Related Research Issues: Evidence from Bangladesh, Ghana, and Uganda; Working Paper 19; CGIAR Research Program on Climate Change, Agriculture and Food Security (CCAFS): Copenhagen, Denmark, 2012. [Google Scholar]
- Klutse, N.A.B.; Owusu, K.; Adukpo, D.C.; Nkrumah, F.; Quagraine, K.A.; Owusu, A.; Gutowski, W.J. Farme’s observation on climate change impacts on maize (Zea mays) production in a selected agro-ecological zone in Ghana. RJAEM 2013, 2, 394–402. [Google Scholar]
- Nabavi-Pelesaraei, A.; Abdi, R.; Rafiee, S.; Bagheri, I. Determination of efficient and inefficient units for watermelon production-a case study: Guilan province of Iran. J. Saudi Soc. Agric. Sci. 2016, 15, 162–170. [Google Scholar] [CrossRef] [Green Version]
- Nabavi-Pelesaraei, A.; Azadi, H.; Van Passel, S.; Saber, Z.; Hosseini-Fashami, F.; Mostashari-Rad, F.; Ghasemi-Mobtaker, H. Prospects of solar systems in production chain of sunflower oil using cold press method with concentrating energy and life cycle assessment. Energy 2021, 223, 120117. [Google Scholar] [CrossRef]
- Ministry of Monitoring and Evaluation. Rapid Evaluation of One Village, One Dam Project Under IPEP. Available online: http://mome.gov.gh/rapid-evaluation-of-one-village-one-dam-project-under-ipep/ (accessed on 5 January 2022).
- Guodaar, L.; Bardsley, D.K.; Suh, J. Integrating local perceptions with scientific evidence to understand climate change variability in northern Ghana: A mixed-methods approach. Applied Geogr. 2021, 130, 102440. [Google Scholar] [CrossRef]
- Shaiba, Z.; Amoore, B.; Amoore, I.; Renne, E. Assessing the impact of neem on fall armyworm damage to maize crops: A field-based study in Nabdam District, UER, Ghana. J. Sustain. Agric. 2019, 12, 185–201. [Google Scholar]
- Derbile, E.K.; File, D.J.M.; Dongzagla, A. The double tragedy of agriculture vulnerability to climate variability in Africa: How vulnerable is smallholder agriculture to rainfall variability in Ghana? Jamba J. Disaster Risk Stud. 2016, 8, 249. [Google Scholar] [CrossRef] [PubMed]




| Characteristics | Communities | χ2 Value | df | p-Value | ||
|---|---|---|---|---|---|---|
| Ejura (n = 19) % | Kasei (n = 9) % | Anyinasu (n = 12) % | ||||
| Gender | ||||||
| Female | 34 | 13 | 15 | 1.999 | 2 | 0.368 |
| Male | 13 | 10 | 15 | |||
| Age | ||||||
| 20–45 years | 13 | 5 | 10 | 9.584 | 10 | 0.478 |
| 46–65 years | 25 | 13 | 18 | |||
| 66+ years | 10 | 5 | 3 | |||
| Level of educational attainment | ||||||
| No formal education | 38 | 5 | 5 | 23.969 | 8 | 0.02 |
| Primary school | 8 | 0 | 0 | |||
| Junior high/middle school | 3 | 15 | 23 | |||
| Senior high school | 0 | 3 | 3 | |||
| Household size | ||||||
| 1–5 people | 10 | 10 | 3 | 4.966 | 6 | 0.548 |
| 6–10 people | 25 | 8 | 18 | |||
| >11 people | 13 | 5 | 10 | |||
| <2 hectares | 18 | 10 | 0 | 14.374 | 8 | 0.073 |
| 2–6 hectares | 20 | 10 | 15 | |||
| >6 hectares | 10 | 5 | 15 | |||
| Average maize farm size in the last 5 years | ||||||
| <2 hectares | 28 | 13 | 8 | 6.422 | 6 | 0.378 |
| 2–4 hectares | 15 | 8 | 13 | |||
| >4 hectares | 5 | 3 | 10 | |||
| Practice irrigation | ||||||
| Yes | 3 | 5 | 5 | 1.878 | 2 | 0.391 |
| No | 45 | 18 | 25 | |||
| Proportion of income from maize grains in the last five years | ||||||
| 20–40% | 8 | 8 | 10 | 11.393 | 8 | 0.180 |
| 41–60% | 5 | 10 | 8 | |||
| >61% | 35 | 5 | 13 | |||
| Communities | ||||||
|---|---|---|---|---|---|---|
| Ejura (n = 19) | Kasei (n = 9) | Anyinasu (n = 12) | ||||
| Rank of Factors | Median | Rank of Factors | Median | Rank of Factors | Median | |
| Most important | Rainfall | 10.0 a | Rainfall | 10.0 a | Rainfall | 10.0 a |
| Pests and diseases | 8.0 a | Pests and diseases | 9.0 a | Pests and diseases | 9.0 a | |
| Farm inputs | 7.0 ab | Temperature | 7.0 a | Soil and land degradation | 7.0 a | |
| Temperature | 6.0 bc | Soil and land degradation | 4.0 b | Temperature | 4.5 b | |
| Soil and land degradation | 4.5 bc | Bush fires | 4.0 b | Farm inputs | 4.5 b | |
| Poor seeds | 4.0 bc | Poor seeds | 4.0 b | Poor seeds | 4.3 b | |
| Bush fires | 3.5 bc | Farm inputs | 4.0 b | Bush fires | 3.8 b | |
| Agric machinery | 3.5 bc | Agric machinery | 4.0 b | Agric machinery | 3.5 b | |
| Financial | 3.5 bc | Financial | 4.0 b | Financial | 3.5 b | |
| Least important | Land scarcity and access | 3.5 bc | Land scarcity and access | 4.0 b | Land scarcity and access | 3.5 b |
| Friedman Test | χ2 = 97.486, df = 9, p-value < 0.0001 | Friedman Test | χ2 = 46.716, df = 9, p-value < 0.0001 | Friedman Test | χ2 = 76.019, df = 9, p-value < 0.0001 |
| Variable | Communities | ||
|---|---|---|---|
| Ejura (n = 19) % | Kasei (n = 9) % | Anyinasu (n = 12) % | |
| Alternative economic activities | |||
| Rearing and sale of animals | 79 | 56 | 0 |
| Engaged in non-farm activities (e.g., trading, running commercial transport, mechanic) | 53 | 78 | 75 |
| Nothing | 16 | 22 | 17 |
| Worked as a farm laborer | 16 | 0 | 25 |
| Cultivated and sold other crops, e.g., cassava and vegetables | 0 | 33 | 42 |
| Social safety net | |||
| Nothing | 63 | 56 | 67 |
| Depended on remittances | 37 | 33 | 0 |
| Depended on bank loans | 0 | 0 | 42 |
| Sold stock of maize in storage | 26 | 0 | 25 |
| Depended on savings from the previous years | 26 | 0 | 0 |
| Depended on proceeds from other non-maize crops | 5 | 22 | 0 |
| Depended on support from family members | 0 | 22 | 42 |
| Agronomic Changes | Specific Practices | Farmer’s Description of How Agronomic Changes Build Resilience | Communities | ||
|---|---|---|---|---|---|
| Ejura (n = 19) % | Kasei (n = 9) % | Anyinasu (n = 12) % | |||
| Early planting | Sow maize when rain is expected to come or just after the first rainy day in the growing season | Helps respond to rainfall shifts—early sowing helps take advantage of early rains | 53 | 44 | 58 |
| Late planting | Waited until there are three to four consecutive rain events before sowing maize | Waiting until there are consecutive rainfall events ensures sufficient soil moisture | 42 | 67 | 42 |
| Nothing | - | - | 26 | 11 | 8 |
| Increase use of pesticides | Apply different pesticides at different periods | Helps control fall armyworms | 26 | 11 | 0 |
| Increase use of fertilizers | Apply a wide range of fertilizers | Ensures fast growth and gives high yields when there are rains | 26 | 33 | 25 |
| Practice crop rotation | Rotate maize with legumes, mainly groundnuts and beans | Helps conserve soil water and improve soil quality | 16 | 22 | 0 |
| Apply ashes mixed with chemicals | Apply ash solution sometimes mixed with other pesticides | Helps to control fall armyworms | 0 | 0 | 8 |
| Mixed farming | Plant both crops and rear animals like sheep, goat and chicken | Provides double benefits from crops and animals | 5 | 0 | 0 |
| Practice agroforestry | Intercrop maize plant with economic trees such as cashew and mango | Agroforestry provides shade and helps to conserve soil moisture | 5 | 0 | 0 |
| Improve soil quality | Apply organic amendments, mainly residues of groundnut and beans from the previous harvest | Enhances crop growth | 0 | 0 | 17 |
| Measures | Communities | ||
|---|---|---|---|
| Ejura (n = 19) % | Kasei (n = 9) % | Anyinasu (n = 12) % | |
| Soft loans for farmers from financial institutions | 79 | 56 | 67 |
| Subsidize prices of agro-chemicals further | 79 | 56 | 50 |
| Development of irrigation facilities for farmers | 53 | 67 | 67 |
| Regulate the market price of maize and enforce standardization to prevent middlemen from cheating farmers | 26 | 44 | 33 |
| Promote local manufacturing of agro-chemicals to make them available | 26 | 33 | 42 |
| Manufacturing pesticides that effectively kill the fall armyworm | 26 | 33 | 17 |
| Support farmers with agricultural machinery | 10 | 7 | 7 |
| Crediting the sale of agro-chemicals | 6 | 5 | 5 |
Publisher’s Note: MDPI stays neutral with regard to jurisdictional claims in published maps and institutional affiliations. |
© 2022 by the authors. Licensee MDPI, Basel, Switzerland. This article is an open access article distributed under the terms and conditions of the Creative Commons Attribution (CC BY) license (https://creativecommons.org/licenses/by/4.0/).
Share and Cite
Obour, P.B.; Arthur, I.K.; Owusu, K. The 2020 Maize Production Failure in Ghana: A Case Study of Ejura-Sekyedumase Municipality. Sustainability 2022, 14, 3514. https://doi.org/10.3390/su14063514
Obour PB, Arthur IK, Owusu K. The 2020 Maize Production Failure in Ghana: A Case Study of Ejura-Sekyedumase Municipality. Sustainability. 2022; 14(6):3514. https://doi.org/10.3390/su14063514
Chicago/Turabian StyleObour, Peter Bilson, Isaac Kwamena Arthur, and Kwadwo Owusu. 2022. "The 2020 Maize Production Failure in Ghana: A Case Study of Ejura-Sekyedumase Municipality" Sustainability 14, no. 6: 3514. https://doi.org/10.3390/su14063514
APA StyleObour, P. B., Arthur, I. K., & Owusu, K. (2022). The 2020 Maize Production Failure in Ghana: A Case Study of Ejura-Sekyedumase Municipality. Sustainability, 14(6), 3514. https://doi.org/10.3390/su14063514

