Remanufacturing Strategy under Cap-and-Trade Regulation in the Presence of Assimilation Effect
Abstract
:1. Introduction
- The assimilation effect reduces the manufacturer’s motivation to become engaged in remanufacturing. Specifically, there exists a threshold for the intensity of the assimilation effect for the manufacturer to enter remanufacturing. When the assimilation effect is below the threshold, the manufacturer should choose to remanufacture. Otherwise, the manufacturer should only produce new products.
- The value of the threshold for the assimilation effect is further determined by the remanufacturing’s emission advantage and the carbon trading price. In addition, when the intensity of the assimilation effect is high enough, the carbon trading price and the carbon emission advantage do not impact the remanufacturing strategy any more.
- Turning a blind eye to the assimilation effect can be very costly to the manufacturer. Our numerical examples reveal that ignoring the assimilation effect can lead to up to 56.2% loss of potential profit for the manufacturer.
2. Literature Review
2.1. Pricing Strategies in Remanufacturing
2.2. Cap-and-Trade Regulation
2.3. Consumer Behavior
3. Problem Description and Assumptions
4. Analysis
4.1. Benchmark: No Remanufacturing Scenario (Model NR)
4.2. Remanufacturing Scenario without Assimilation Effect (Model NA)
4.3. Remanufacturing Scenario with Assimilation Effect (Model A)
4.4. Extended Model: Consequences of Ignoring Assimilation Effect (Model IA)
5. Numerical Examples
5.1. Comparison of Model NR, Model NA, and Model A
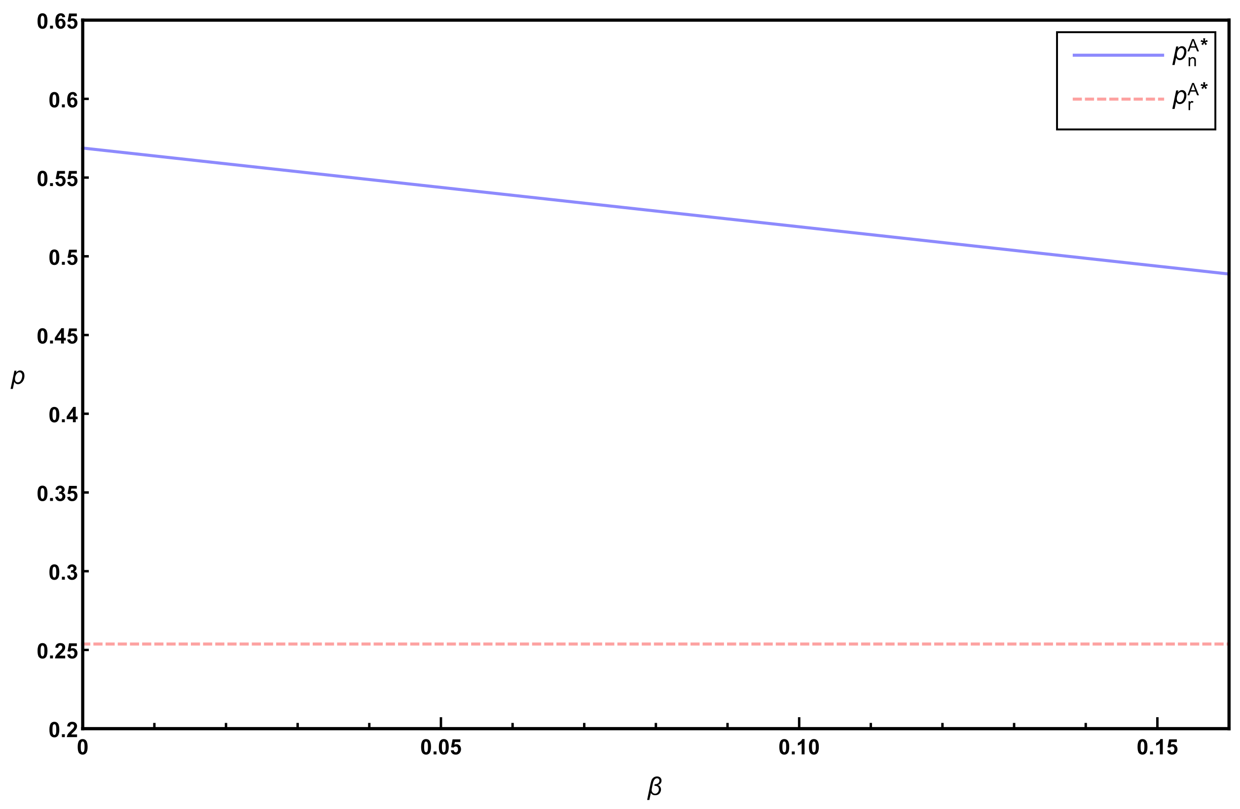
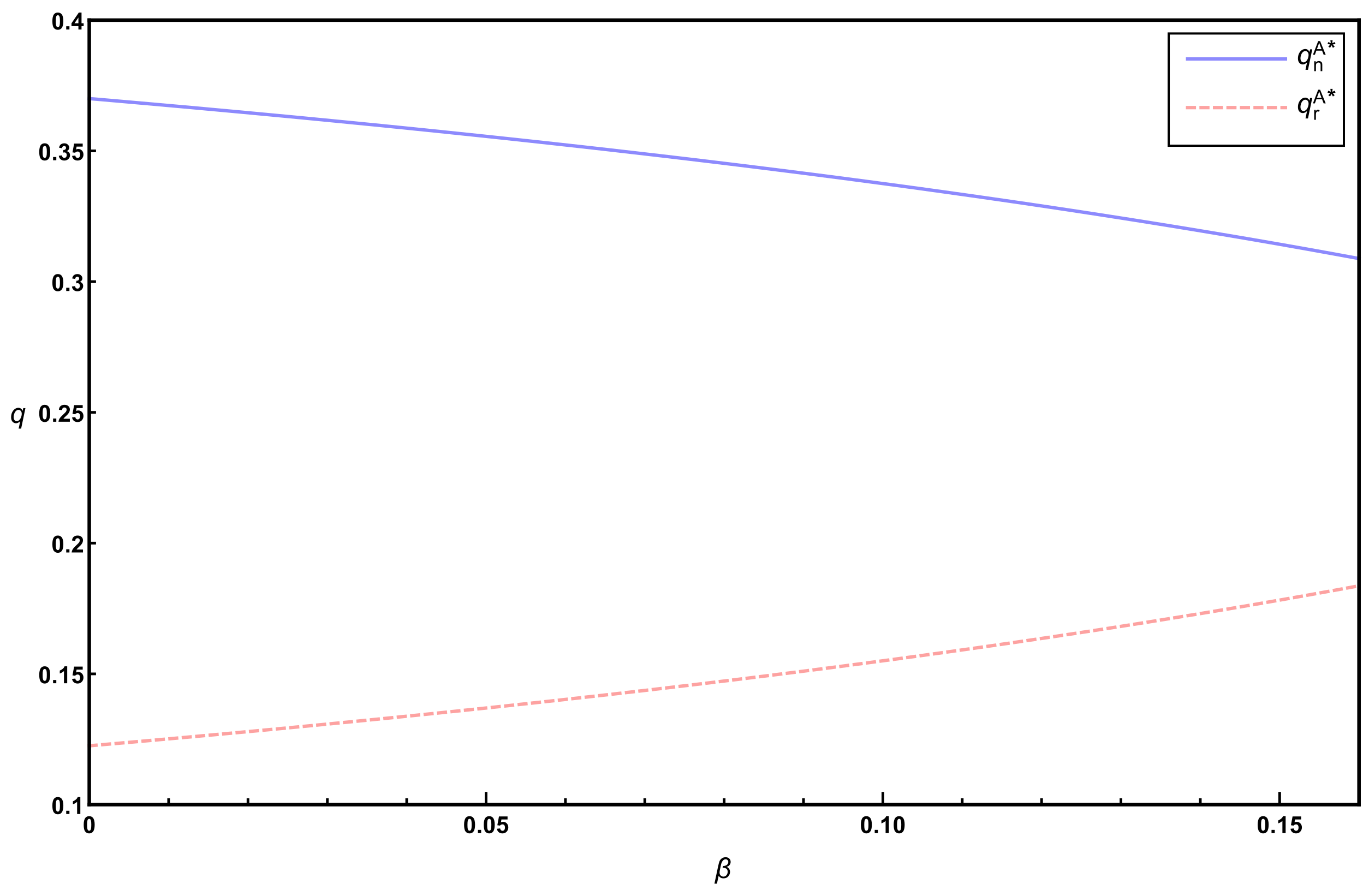
5.2. Impact of Assimilation Effect
5.3. Impact of Carbon Emission Advantage
5.4. Impact of Carbon Trading Price
5.5. Consequences of Ignoring Assimilation Effect
6. Conclusions
6.1. Theoretical Contributions
6.2. Managerial Implications
- The OEM can consider adopting more emission reduction technologies, such as green materials, green product design, and green production processes, to improve the carbon emission advantage of the remanufactured products. For example, Apple Inc. is working on improving the disassembly process, such as developing disassembly robotics and artificial intelligence technologies with Carnegie Mellon University, to reduce carbon emissions in remanufacturing.
- The OEM can separately sell new and remanufactured products through different channels to differentiate between them. For example, Apple Inc. only sells remanufactured products on its official website. Similarly, Dyson sells remanufactured products only through specific online channels.
- The OEM can attract more consumers to buy remanufactured products via different mechanisms, such as warranty services, return policy, regret reminder, and consumer education. For example, many manufacturers promise to provide the same warranty policies for their remanufactured products as for new products, such as Apple Inc. and Dyson. Another example is that Dell promises an unconditional 7-day return policy for remanufactured products in China.
6.3. Limitations
Author Contributions
Funding
Institutional Review Board Statement
Informed Consent Statement
Data Availability Statement
Conflicts of Interest
References
- Emissions Cap and Allowances. Website. Available online: https://ec.europa.eu/clima/eu-action/eu-emissions-trading-system-eu-ets/emissions-cap-and-allowances_en (accessed on 27 January 2022).
- Agrawal, V.V.; Atasu, A.; Van Ittersum, K. Remanufacturing, third-party competition, and consumers’ perceived value of new products. Manag. Sci. 2015, 61, 60–72. [Google Scholar] [CrossRef] [Green Version]
- Wu, L.; Liu, L.; Wang, Z. Competitive remanufacturing and pricing strategy with contrast effect and assimilation effect. J. Clean. Prod. 2020, 257, 120333. [Google Scholar] [CrossRef]
- Yang, L.; Hu, Y.; Huang, L. Collecting mode selection in a remanufacturing supply chain under cap-and-trade regulation. Eur. J. Oper. Res. 2020, 287, 480–496. [Google Scholar] [CrossRef]
- Hu, X.; Yang, Z.; Sun, J.; Zhang, Y. Carbon tax or cap-and-trade: Which is more viable for Chinese remanufacturing industry? J. Clean. Prod. 2020, 243, 118606. [Google Scholar] [CrossRef] [Green Version]
- Majumder, P.; Groenevelt, H. Competition in remanufacturing. Prod. Oper. Manag. 2001, 10, 125–141. [Google Scholar] [CrossRef]
- Ferguson, M.E.; Toktay, L.B. The effect of competition on recovery strategies. Prod. Oper. Manag. 2006, 15, 351–368. [Google Scholar] [CrossRef] [Green Version]
- Ferrer, G.; Swaminathan, J.M. Managing New and Remanufactured Products. Manag. Sci. 2006, 52, 15–26. [Google Scholar] [CrossRef] [Green Version]
- Wu, C.H. Price and service competition between new and remanufactured products in a two-echelon supply chain. Int. J. Prod. Econ. 2012, 140, 496–507. [Google Scholar] [CrossRef]
- He, Y. Acquisition pricing and remanufacturing decisions in a closed-loop supply chain. Int. J. Prod. Econ. 2015, 163, 48–60. [Google Scholar] [CrossRef]
- Wu, X.; Zhou, Y. The optimal reverse channel choice under supply chain competition. Eur. J. Oper. Res. 2017, 259, 63–66. [Google Scholar] [CrossRef]
- Wang, N.; He, Q.; Jiang, B. Hybrid closed-loop supply chains with competition in recycling and product markets. Int. J. Prod. Econ. 2019, 217, 246–258. [Google Scholar] [CrossRef]
- Zhang, Z.; Liu, S.; Niu, B. Coordination mechanism of dual-channel closed-loop supply chains considering product quality and return. J. Clean. Prod. 2020, 248, 119273. [Google Scholar] [CrossRef]
- Ma, P.; Gong, Y.; Mirchandani, P. Trade-in for remanufactured products: Pricing with double reference effects. Int. J. Prod. Econ. 2020, 230, 107800. [Google Scholar] [CrossRef]
- Yang, F.; Wang, M.; Ang, S. Optimal remanufacturing decisions in supply chains considering consumers’ anticipated regret and power structures. Transp. Res. Part Logist. Transp. Rev. 2021, 148, 102267. [Google Scholar] [CrossRef]
- Dobos, I. The effects of emission trading on production and inventories in the Arrow–Karlin model. Int. J. Prod. Econ. 2005, 93, 301–308. [Google Scholar] [CrossRef]
- Gong, X.; Zhou, S.X. Optimal production planning with emissions trading. Oper. Res. 2013, 61, 908–924. [Google Scholar] [CrossRef]
- Zakeri, A.; Dehghanian, F.; Fahimnia, B.; Sarkis, J. Carbon pricing versus emissions trading: A supply chain planning perspective. Int. J. Prod. Econ. 2015, 164, 197–205. [Google Scholar] [CrossRef] [Green Version]
- He, P.; Dou, G.; Zhang, W. Optimal production planning and cap setting under cap-and-trade regulation. J. Oper. Res. Soc. 2017, 68, 1094–1105. [Google Scholar] [CrossRef]
- Xu, X.; He, P.; Xu, H.; Zhang, Q. Supply chain coordination with green technology under cap-and-trade regulation. Int. J. Prod. Econ. 2017, 183, 433–442. [Google Scholar] [CrossRef]
- Taleizadeh, A.A.; Shahriari, M.; Sana, S.S. Pricing and Coordination Strategies in a Dual Channel Supply Chain with Green Production under Cap and Trade Regulation. Sustainability 2021, 13, 12232. [Google Scholar] [CrossRef]
- Bai, Q.; Xu, J.; Zhang, Y. Emission reduction decision and coordination of a make-to-order supply chain with two products under cap-and-trade regulation. Comput. Ind. Eng. 2018, 119, 131–145. [Google Scholar] [CrossRef]
- Wang, M.; Zhao, L.; Herty, M. Joint replenishment and carbon trading in fresh food supply chains. Eur. J. Oper. Res. 2019, 277, 561–573. [Google Scholar] [CrossRef]
- Zhang, G.; Zhang, X.; Sun, H.; Zhao, X. Three-echelon closed-loop supply chain network equilibrium under cap-and-trade regulation. Sustainability 2021, 13, 6472. [Google Scholar] [CrossRef]
- Zhao, F.; Liu, F.; Hao, H.; Liu, Z. Carbon emission reduction strategy for energy users in China. Sustainability 2020, 12, 6498. [Google Scholar] [CrossRef]
- Donohue, K.; Özer, Ö.; Zheng, Y. Behavioral Operations: Past, Present, and Future. Manuf. Serv. Oper. Manag. 2020, 22, 191–202. [Google Scholar] [CrossRef] [Green Version]
- Li, K.J.; Jain, S. Behavior-Based Pricing: An Analysis of the Impact of Peer-Induced Fairness. Manag. Sci. 2016, 62, 2705–2721. [Google Scholar] [CrossRef]
- He, Y.; Xu, Q.; Xu, B.; Wu, P. Supply chain coordination in quality improvement with reference effects. J. Oper. Res. Soc. 2016, 67, 1158–1168. [Google Scholar] [CrossRef]
- Ma, Z.J.; Zhou, Q.; Dai, Y.; Guan, G.F. To license or not to license remanufacturing business? Sustainability 2018, 10, 347. [Google Scholar] [CrossRef] [Green Version]
- Zou, Z.; Wang, F.; Lai, X.; Hong, J. How does licensing remanufacturing affect the supply chain considering customer environmental awareness? Sustainability 2019, 11, 1898. [Google Scholar] [CrossRef] [Green Version]
- Jia, D.; Li, S. Optimal decisions and distribution channel choice of closed-loop supply chain when e-retailer offers online marketplace. J. Clean. Prod. 2020, 265, 121767. [Google Scholar] [CrossRef]
- Huang, H.; Meng, Q.; Xu, H.; Zhou, Y. Cost information sharing under competition in remanufacturing. Int. J. Prod. Res. 2019, 57, 6579–6592. [Google Scholar] [CrossRef]
- Subramanian, R.; Ferguson, M.E.; Beril Toktay, L. Remanufacturing and the component commonality decision. Prod. Oper. Manag. 2013, 22, 36–53. [Google Scholar] [CrossRef]
- Wu, X.; Zhou, Y. Buyer-specific versus uniform pricing in a closed-loop supply chain with third-party remanufacturing. Eur. J. Oper. Res. 2019, 273, 548–560. [Google Scholar] [CrossRef]
- Abbey, J.D.; Kleber, R.; Souza, G.C.; Voigt, G. The role of perceived quality risk in pricing remanufactured products. Prod. Oper. Manag. 2017, 26, 100–115. [Google Scholar] [CrossRef]
- Duan, C.; Xiu, G.; Yao, F. Multi-period e-closed-loop supply chain network considering consumers’ preference for products and ai-push. Sustainability 2019, 11, 4571. [Google Scholar] [CrossRef] [Green Version]





| Parameters | Values |
|---|---|
| 0.50 | |
| 0.08 | |
| 0.20 | |
| 0.25 | |
| 0.15 | |
| 0.10 | |
| 1.00 |
| 0.2 | 0.05 | 0.2491 | 0.2519 | 0.2494 | 0.2491 | 0.2519 | 0.2329 | 0.2491 | 0.2519 | 0.2145 |
| 0.25 | 0.4360 | 0.4397 | 0.4374 | 0.4360 | 0.4397 | 0.4213 | 0.4360 | 0.4397 | 0.4037 | |
| 0.45 | 0.6233 | 0.6282 | 0.6259 | 0.6233 | 0.6282 | 0.6105 | 0.6233 | 0.6282 | 0.5938 | |
| 0.4 | 0.05 | 0.2491 | 0.2517 | 0.2493 | 0.2491 | 0.2517 | 0.2328 | 0.2491 | 0.2517 | 0.2143 |
| 0.25 | 0.4360 | 0.4389 | 0.4365 | 0.4360 | 0.4389 | 0.4203 | 0.4360 | 0.4389 | 0.4024 | |
| 0.45 | 0.6233 | 0.6265 | 0.6242 | 0.6233 | 0.6265 | 0.6084 | 0.6233 | 0.6265 | 0.5911 | |
| 0.6 | 0.05 | 0.2491 | 0.2516 | 0.2492 | 0.2491 | 0.2516 | 0.2326 | 0.2491 | 0.2516 | 0.2141 |
| 0.25 | 0.4360 | 0.4381 | 0.4357 | 0.4360 | 0.4381 | 0.4194 | 0.4360 | 0.4381 | 0.4012 | |
| 0.45 | 0.6233 | 0.6251 | 0.6228 | 0.6233 | 0.6251 | 0.6067 | 0.6233 | 0.6251 | 0.5889 | |
| Model NR | Model NA | Model A | ||||||||||||||
| 0.1 | 0.569 | 0.431 | 0.065 | 0.4360 | 0.569 | 0.252 | 0.366 | 0.130 | 0.057 | 0.4402 | 0.529 | 0.252 | 0.340 | 0.155 | 0.053 | 0.4219 |
| 0.2 | 0.569 | 0.431 | 0.065 | 0.4360 | 0.569 | 0.254 | 0.370 | 0.123 | 0.059 | 0.4397 | 0.529 | 0.254 | 0.345 | 0.147 | 0.056 | 0.4213 |
| 0.3 | 0.569 | 0.431 | 0.065 | 0.4360 | 0.569 | 0.256 | 0.374 | 0.115 | 0.061 | 0.4392 | 0.529 | 0.256 | 0.350 | 0.139 | 0.059 | 0.4208 |
| 0.4 | 0.569 | 0.431 | 0.065 | 0.4360 | 0.569 | 0.258 | 0.378 | 0.108 | 0.063 | 0.4389 | 0.529 | 0.258 | 0.354 | 0.131 | 0.061 | 0.4203 |
| 0.5 | 0.569 | 0.431 | 0.065 | 0.4360 | 0.569 | 0.259 | 0.381 | 0.100 | 0.065 | 0.4384 | 0.529 | 0.259 | 0.359 | 0.123 | 0.063 | 0.4198 |
| 0.6 | 0.569 | 0.431 | 0.065 | 0.4360 | 0.569 | 0.261 | 0.385 | 0.093 | 0.066 | 0.4381 | 0.529 | 0.261 | 0.363 | 0.114 | 0.065 | 0.4194 |
| Model NR | Model NA | Model A | |||||||||||||||
|---|---|---|---|---|---|---|---|---|---|---|---|---|---|---|---|---|---|
| 0.2 | 0.05 | 0.554 | 0.446 | 0.067 | 0.249 | 0.554 | 0.250 | 0.394 | 0.105 | 0.062 | 0.252 | 0.514 | 0.251 | 0.374 | 0.125 | 0.060 | 0.233 |
| 0.25 | 0.569 | 0.431 | 0.065 | 0.436 | 0.569 | 0.254 | 0.370 | 0.123 | 0.059 | 0.440 | 0.529 | 0.254 | 0.345 | 0.147 | 0.056 | 0.421 | |
| 0.45 | 0.584 | 0.416 | 0.062 | 0.623 | 0.584 | 0.257 | 0.346 | 0.141 | 0.056 | 0.628 | 0.544 | 0.257 | 0.317 | 0.170 | 0.053 | 0.611 | |
| 0.4 | 0.05 | 0.554 | 0.446 | 0.067 | 0.249 | 0.554 | 0.252 | 0.396 | 0.102 | 0.065 | 0.252 | 0.514 | 0.252 | 0.376 | 0.121 | 0.064 | 0.233 |
| 0.25 | 0.569 | 0.431 | 0.065 | 0.436 | 0.569 | 0.258 | 0.378 | 0.108 | 0.063 | 0.439 | 0.529 | 0.258 | 0.354 | 0.131 | 0.061 | 0.420 | |
| 0.45 | 0.584 | 0.416 | 0.062 | 0.623 | 0.584 | 0.264 | 0.360 | 0.114 | 0.061 | 0.627 | 0.544 | 0.264 | 0.333 | 0.140 | 0.058 | 0.608 | |
| 0.6 | 0.05 | 0.554 | 0.446 | 0.067 | 0.249 | 0.554 | 0.252 | 0.397 | 0.099 | 0.068 | 0.252 | 0.514 | 0.253 | 0.377 | 0.118 | 0.067 | 0.233 |
| 0.25 | 0.569 | 0.431 | 0.065 | 0.436 | 0.569 | 0.261 | 0.385 | 0.093 | 0.066 | 0.438 | 0.529 | 0.261 | 0.363 | 0.114 | 0.065 | 0.419 | |
| 0.45 | 0.584 | 0.416 | 0.062 | 0.623 | 0.584 | 0.270 | 0.373 | 0.087 | 0.064 | 0.625 | 0.544 | 0.270 | 0.349 | 0.111 | 0.062 | 0.607 | |
| 0.02 | 0.04 | 0.08 | 0.12 | 0.16 | ||
|---|---|---|---|---|---|---|
| 0.05 | 3.73% | 8.12% | 19.31% | 34.76% | 56.20% | |
| 0.15 | 2.86% | 6.17% | 14.49% | 25.71% | 40.94% | |
| 0.25 | 2.35% | 5.09% | 11.83% | 20.81% | 32.84% | |
| 0.35 | 2.05% | 4.39% | 10.16% | 17.75% | 27.84% | |
| 0.45 | 1.83% | 3.91% | 9.00% | 15.67% | 24.46% | |
| 0.05 | 3.72% | 8.09% | 19.25% | 34.65% | 56.04% | |
| 0.15 | 2.82% | 6.10% | 14.34% | 25.46% | 40.57% | |
| 0.25 | 2.32% | 4.99% | 11.63% | 20.47% | 32.34% | |
| 0.35 | 1.99% | 4.28% | 9.91% | 17.34% | 27.24% | |
| 0.45 | 1.77% | 3.79% | 8.73% | 15.21% | 23.78% | |
| 0.05 | 3.70% | 8.06% | 19.18% | 34.55% | 55.89% | |
| 0.15 | 2.79% | 6.04% | 14.19% | 25.20% | 40.20% | |
| 0.25 | 2.27% | 4.90% | 11.42% | 20.12% | 31.83% | |
| 0.35 | 1.94% | 4.17% | 9.66% | 16.93% | 26.63% | |
| 0.45 | 1.71% | 3.66% | 8.45% | 14.75% | 23.10% | |
Publisher’s Note: MDPI stays neutral with regard to jurisdictional claims in published maps and institutional affiliations. |
© 2022 by the authors. Licensee MDPI, Basel, Switzerland. This article is an open access article distributed under the terms and conditions of the Creative Commons Attribution (CC BY) license (https://creativecommons.org/licenses/by/4.0/).
Share and Cite
Guo, T.; Li, C.; Chen, Y. Remanufacturing Strategy under Cap-and-Trade Regulation in the Presence of Assimilation Effect. Sustainability 2022, 14, 2878. https://doi.org/10.3390/su14052878
Guo T, Li C, Chen Y. Remanufacturing Strategy under Cap-and-Trade Regulation in the Presence of Assimilation Effect. Sustainability. 2022; 14(5):2878. https://doi.org/10.3390/su14052878
Chicago/Turabian StyleGuo, Tianyi, Chaonan Li, and Yan Chen. 2022. "Remanufacturing Strategy under Cap-and-Trade Regulation in the Presence of Assimilation Effect" Sustainability 14, no. 5: 2878. https://doi.org/10.3390/su14052878
APA StyleGuo, T., Li, C., & Chen, Y. (2022). Remanufacturing Strategy under Cap-and-Trade Regulation in the Presence of Assimilation Effect. Sustainability, 14(5), 2878. https://doi.org/10.3390/su14052878

