Analysis of Spatial Variability and Influencing Factors of Soil Nutrients in Western China: A Case Study of the Daliuta Mining Area
Abstract
1. Introduction
2. Materials and Methods
2.1. Description of the Study Area
2.2. Sample Collection and Testing
2.3. Data Processing Methods
3. Results
3.1. Descriptive Statistics of Soil Nutrients
3.2. Spatial Variability Characteristics
3.3. Spatial Distribution
4. Discussion
4.1. Correlation Analyses
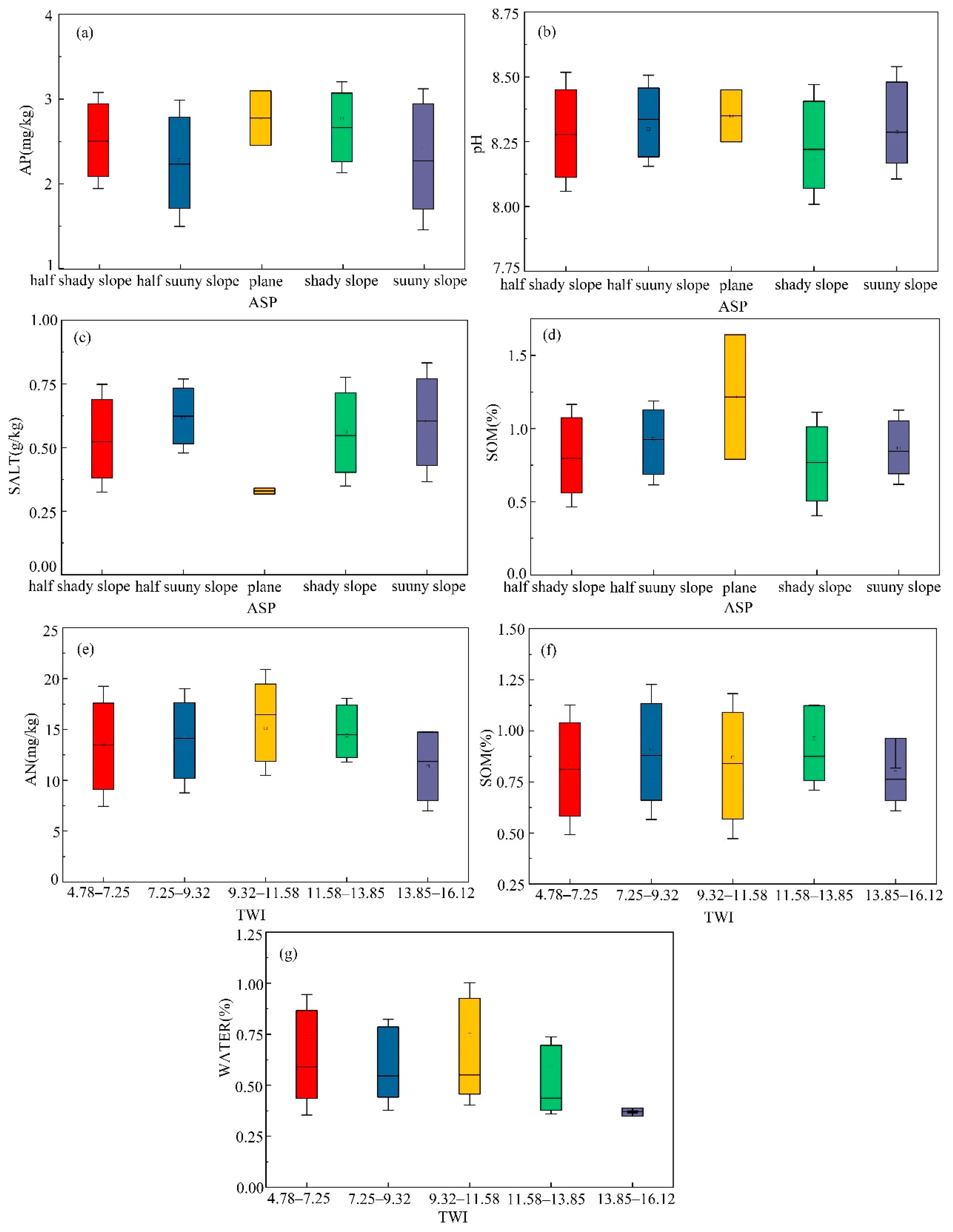
4.2. The Influence of Topographical Factors on Soil Nutrients
- (1)
- Slope aspect
- (2)
- Topographic wetness index
- (3)
- Elevation
- (4)
- Slope
4.3. The Impact of Soil Erosion on Soil Nutrients
4.4. The Impact of Mining Years on Soil Nutrients
5. Conclusions
Supplementary Materials
Author Contributions
Funding
Institutional Review Board Statement
Informed Consent Statement
Data Availability Statement
Acknowledgments
Conflicts of Interest
References
- Bian, Z.F. A summary of researches on land reclamation in coal mining areas at home and abroad. China Land Sci. 2000, 14, 6–11. [Google Scholar] [CrossRef]
- Ayoubi, S.; Mehnatkesh, A.; Jalalian, A.; Sahrawat, K.L.; Gheysari, M. Relationships between grain protein, Zn, Cu, Fe and Mn contents in wheat and soil and topographic attributes. Arch. Agron. Soil Sci. 2014, 60, 625–638. [Google Scholar] [CrossRef]
- Khormali, F.; Ajami, M.; Ayoubi, S.; Srinivasarao, C.; Wani, S.P. Role of deforestation and hillslope position on soil quality attributes of loess-derived soils in Golestan province, Iran. Agric. Ecosyst. Environ. 2009, 134, 178–189. [Google Scholar] [CrossRef]
- Ayoubi, S.P.; Khormali, F.; Sahrawat, K.L.; Rodrigues De Lima, A.C. Assessment of soil quality indicators related to land use change in a loessial soil using factor analysis in Golestan province, northern Iran. J. Agric. Sci. Technol. 2010, 13, 727–742. [Google Scholar]
- Chuai, X.; Qi, X.; Zhang, X.; Li, J.; Yuan, Y.; Guo, X.; Huang, X.; Park, S.; Zhao, R.; Xie, X.; et al. Land degradation monitoring using terrestrial ecosystem carbon sinks/sources and their response to climate change in China. Land Degrad. Dev. 2018, 29, 3489–3502. [Google Scholar] [CrossRef]
- Wang, J.; Wen, X.; Lyu, S.; Zhang, X.; Li, S.; Guo, Q. Vegetation recovery alters soil N status in subtropical karst plateau area: Evidence from natural abundance δ-15N and δ-18O. Plant Soil 2021, 460, 609–623. [Google Scholar] [CrossRef]
- Raphael, L.J. Vegetation Land Cover/Use Dynamics and Their Effects in Mbulu and Karatu Districts in the North-Eastern Highlands of Tanzania. Int. J. Geospat. Environ. Res. 2018, 5, 5. Available online: https://dc.uwm.edu/ijger/vol5/iss1/5 (accessed on 25 February 2022).
- Abdel-Kader, F.H. Assessment and monitoring of land degradation in the northwest coast region, Egypt using Earth observations data. Egypt. J. Remote Sens. Space Sci. 2019, 22, 165–173. [Google Scholar] [CrossRef]
- Fathizad, H.; Ardakani, M.A.H.; Mehrjardi, R.T.; Sodaiezadeh, H. Evaluating desertification using remote sensing technique and object-oriented classification algorithm in the Iranian central desert. J. Afr. Earth Sci. 2018, 145, 115–130. [Google Scholar] [CrossRef]
- Ahirwal, J.; Maiti, S.K.; Singh, A.K. Changes in ecosystem carbon pool and soil CO2 flux following post-mine reclamation in dry tropical environment, India. Sci. Total Environ. 2017, 583, 153–162. [Google Scholar] [CrossRef]
- Sun, W.; Li, B.S. An approach to classification and assessment of desertification. Geogr. Res. 1999, 18, 225–230. [Google Scholar] [CrossRef]
- Xie, H.; Zhang, Y.; Wu, Z.; Lv, T. A Bibliometric Analysis on Land Degradation: Current Status, Development, and Future Directions. Land 2020, 9, 28. [Google Scholar] [CrossRef]
- Yang, C.; Li, Q.; Chen, J.; Wang, J.; Shi, T.; Hu, Z.; Ding, K.; Wang, G.; Wu, G. Spatiotemporal characteristics of land degradation in the Fuxian Lake Basin, China: Past and future. Land Degrad. Dev. 2020, 31, 2446–2460. [Google Scholar] [CrossRef]
- Zhang, Y.Z.; Hu, Y.F.; Han, Y.Q.; Zhan, S. Spatial distributions and evolutions of global major ecological degradation regions and research hot spot regions. Acta Ecol. Sin. 2021, 41, 7599–7613. [Google Scholar] [CrossRef]
- Ren, H.; Zhao, Y.; Xiao, W.; Hu, Z. A review of UAV monitoring in mining areas: Current status and future perspectives. Int. J. Coal Sci. Technol. 2019, 6, 320–333. [Google Scholar] [CrossRef]
- Bungau, S.; Behl, T.; Aleya, L.; Bourgeade, P.; Aloui-Sossé, B.; Purza, A.L.; Abid, A.; Samuel, A.D. Expatiating the impact of anthropogenic aspects and climatic factors on long-term soil monitoring and management. Environ. Sci. Pollut. Res. 2021, 28, 30528–30550. [Google Scholar] [CrossRef]
- Samuel, A.D.; Bungau, S.; Tit, D.M.; Melinte, C.E.; Purza, L.; Badea, G.E. Effects of long-term application of organic and mineral fertilizers on soil enzymes. Rev. Chim. 2018, 69, 2608–2612. [Google Scholar] [CrossRef]
- Samuel, A.D.; Tit, D.M.; Melinte, C.E.; Iovan, C.; Purza, L.; Gitea, M.; Bungau, S. Enzymological and physicochemical evaluation of the effects of soil management practices. Rev. Chim. 2017, 68, 2243–2247. [Google Scholar] [CrossRef]
- Dankoub, Z.; Ayoubi, S.; Khademi, H.; Lu, S.-G. Spatial distribution of magnetic properties and selected heavy metals in calcareous soils as affected by land use in the Isfahan region, Central Iran. Pedosphere 2012, 22, 33–47. [Google Scholar] [CrossRef]
- Zolfaghari, Z.; Mosaddeghi, M.R.; Ayoubi, S. ANN-based pedotransfer and soil spatial prediction functions for predicting Atterberg consistency limits and indices from easily available properties at the watershed scale in western Iran. Soil Use Manag. 2015, 31, 142–154. [Google Scholar] [CrossRef]
- Zolfaghari, Z.; Ayoubi, S.; Mosaddeghi, M.R. Spatial variability of some soil shrinkage indices in hilly calcareous region of western Iran. Soil Tillage Res. 2015, 150, 180–191. [Google Scholar] [CrossRef]
- Azadmard, B.; Mosaddeghi, M.R.; Ayoubi, S.; Chavoshi, E.; Raoof, M. Spatial variability of near-saturated soil hydraulic properties in Moghan plain, North-Western Iran. Arab. J. Geosci. 2018, 11, 452. [Google Scholar] [CrossRef]
- Zeraatpisheh, M.; Ayoubi, S.; Sulieman, M.; Rodrigo-Comino, J. Determining the spatial distribution of soil properties using the environmental covariates and multivariate statistical analysis: A case study in semi-arid regions of Iran. J. Arid Land 2019, 11, 551–566. [Google Scholar] [CrossRef]
- Ajami, M.; Heidari, A.; Khormali, F.; Zeraatpisheh, M.; Gorji, M.; Ayoubi, S. Spatial variability of rainfed wheat production under the influence of topography and soil properties in loess-derived soils, northern Iran. Int. J. Plant Prod. 2020, 14, 597–608. [Google Scholar] [CrossRef]
- Zeraatpisheh, M.; Ayoubi, S.; Mirbagheri, Z.; Mosaddeghi, M.R.; Xu, M. Spatial prediction of soil aggregate stability and soil organic carbon in aggregate fractions using machine learning algorithms and environmental variables. Geoderma Reg. 2021, 27, e00440. [Google Scholar] [CrossRef]
- Huggett, R.J. Soil chronosequences, soil development, and soil evolution: A critical review. Catena 1998, 32, 155–172. [Google Scholar] [CrossRef]
- Zhang, Z.L.; Zuo, X.H.; Liu, F.; Shi, X.J. Spatial heterogeneity of soil readily available potassium and its influencing factors in Western Chongqing Hilly Area. Acta Pedol. Sin. 2020, 57, 307–315. [Google Scholar] [CrossRef]
- Dai, W.; Li, Y.; Fu, W.; Jiang, P.; Zhao, K.; Li, Y.; Penttinen, P. Spatial variability of soil nutrients in forest areas: A case study from subtropical China. J. Plant Nutr. Soil Sci. 2018, 181, 827–835. [Google Scholar] [CrossRef]
- Dai, W.; Zhao, K.; Fu, W.; Jiang, P.; Li, Y.; Zhang, C.; Gielen, G.; Gong, X.; Li, Y.; Wang, H.; et al. Spatial variation of organic carbon density in topsoils of a typical subtropical forest, southeastern China. Catena 2018, 167, 181–189. [Google Scholar] [CrossRef]
- Razan Malla, S.S.D.K. Soil Fertility Mapping and Assessment of the Spatial Distribution of Sarlahi District, Nepal. Am. J. Agric. Sci. 2020, 7, 8–16. Available online: https://www.researchgate.net/publication/33978125 (accessed on 25 February 2022).
- Sharma, R.; Sood, K. Characterization of Spatial Variability of Soil Parameters in Apple Orchards of Himalayan Region Using Geostatistical Analysis. Commun. Soil Sci. Plant Anal. 2020, 51, 1065–1077. [Google Scholar] [CrossRef]
- Santos, R.O.D.; Franco, L.B.; Silva, S.A.; Sodré, G.A.; Menezes, A.A. Spatial variability of soil fertility and its relation with cocoa yield. Revista Brasileira de Engenharia Agrícola e Ambiental 2017, 21, 88–93. [Google Scholar] [CrossRef]
- Bian, Z.F.; Yu, H.C.; Hou, J.; Mou, S.G. Influencing factors and evaluation of land degradation of 12 coal mine areas in Western China. J. China Coal Soc. 2020, 45, 338–350. [Google Scholar] [CrossRef]
- Liu, Y.; Lei, S.G.; Cheng, L.S.; Cheng, W.; Bian, Z.F. Effects of soil water content on stomatal conductance, transpiration, and photosynthetic rate of Caragana korshinskii under the influence of coal mining subsidence. Acta Ecol. Sin. 2018, 38, 3069–3077. [Google Scholar] [CrossRef]
- Pansu, M.; Gautheyrou, J. pH Measurement; Springer: Berlin/Heidelberg, Germany, 2006; ISBN 3540312102. [Google Scholar]
- Wu, Y.; Xu, N.; Wang, H.; Li, J.; Zhong, H.; Dong, H.; Zeng, Z.; Zong, C. Variations in the diversity of the soil microbial community and structure under various categories of degraded wetland in Sanjiang Plain, northeastern China. Land Degrad. Dev. 2021, 32, 2143–2156. [Google Scholar] [CrossRef]
- Pei, L.; Xiao, J.; Sun, L. The effects of reclaimed water irrigation on the soil characteristics and microbial populations of plant rhizosphere. Environ. Sci. Pollut. Res. 2021, 17570–17579. [Google Scholar] [CrossRef]
- Zhang, W.; Zhao, J.; Pan, F.; Li, D.; Chen, H.; Wang, K. Changes in nitrogen and phosphorus limitation during secondary succession in a karst region in southwest China. Plant Soil 2015, 391, 77–91. [Google Scholar] [CrossRef]
- Zhao, Y.B.; Lei, S.G.; Liu, Y. Spatial variability and influencing factors of soil nutrients in Shengli Mining Area. Soils 2020, 52, 356–364. [Google Scholar] [CrossRef]
- Razali, N.M.; Wah, Y.B. Power comparisons of shapiro-wilk, kolmogorov-smirnov, lilliefors and anderson-darling tests. J. Stat. Model. Anal. 2011, 2, 21–33. Available online: https://www.researchgate.net/publication/267205556 (accessed on 25 February 2022).
- Gao, F.J.; Ma, Q.L.; Han, W.W.; Shan, P.M.; Zhou, J.; Zhang, S.L.; Zhang, Z.M.; Wang, H.Y. Spatial variability and distribution pattern of soil organic matter in a mollisol watershed of China. Environ. Sci. 2016, 37, 1915–1922. [Google Scholar] [CrossRef]
- Wang, G.; Li, J.; Ravi, S.; Theiling, B.P.; Sankey, J.B. Fire changes the spatial distribution and sources of soil organic carbon in a grassland-shrubland transition zone. Plant Soil 2019, 435, 309–321. [Google Scholar] [CrossRef]
- Wang, G.; Li, J.; Ravi, S.; Dukes, D.; Gonzales, H.B.; Sankey, J.B. Post-fire Redistribution of Soil Carbon and Nitrogen at a Grassland—Shrubland Ecotone. Ecosystems 2019, 22, 174–188. [Google Scholar] [CrossRef]
- Cao, Q.; Li, J.; Wang, G.; Wang, D.; Xin, Z.; Xiao, H.; Zhang, K. On the spatial variability and influencing factors of soil organic carbon and total nitrogen stocks in a desert oasis ecotone of northwestern China. Catena 2021, 206, 105533. [Google Scholar] [CrossRef]
- Wang, J.; Ouyang, J.; Zhang, M. Spatial distribution characteristics of soil and vegetation in a reclaimed area in an opencast coalmine. Catena 2020, 195, 104773. [Google Scholar] [CrossRef]
- Getnet, T.; Mulu, A. Assessment of soil erosion rate and hotspot areas using RUSLE and multi-criteria evaluation technique at Jedeb watershed, Upper Blue Nile, Amhara Region, Ethiopia. Environ. Chall. 2021, 4, 100174. [Google Scholar] [CrossRef]
- Li, Q.H.; Zhang, J.; Wang, L.; Wang, Y.P. Desiccation and Nutrient Status of the Soil in Apple Orchards in Hilly-Gully Region of the Loess Plateau. Acta Pedol. Sin. 2018, 55, 503–514. [Google Scholar] [CrossRef]
- Zhang, J.Q.; Gong, J.; Liu, D.Q. Spatial distribution characteristics of the storages of soil organic Carbon and total Nitrogen in the Bailongjiang Watershed of Gansu. Chin. J. Soil Sci. 2018, 49, 23–30. [Google Scholar] [CrossRef]
- Gao, X.; Xiao, Y.; Deng, L.; Li, Q.; Wang, C.; Li, B.; Deng, O.; Zeng, M. Spatial variability of soil total nitrogen, phosphorus and potassium in Renshou County of Sichuan Basin, China. J. Integr. Agric. 2019, 18, 279–289. [Google Scholar] [CrossRef]
- Yan, P.; Lin, K.; Wang, Y.; Tu, X.; Bai, C.; Yan, L. Assessment of Influencing Factors on the Spatial Variability of SOM in the Red Beds of the Nanxiong Basin of China, Using GIS and Geo-Statistical Methods. ISPRS Int. J. Geo-Inf. 2021, 10, 366. [Google Scholar] [CrossRef]
- Hua, D.; Li, J.; Xu, Y. Influence of Topographical Factors on Spatial Distribution Characteristics of Soil Nutrients in Qinba Mountain Area. IOP Conf. Ser. Earth Environ. Sci. 2020, 558, 32025. [Google Scholar] [CrossRef]
- Maede, F.; Seyed, F.A. Effects of wind erosion on soil organic carbon dynamics and other soil properties: Dejgah catchment, Farashband County, Shiraz Province, Iran. Afr. J. Agric. Res. 2013, 8, 4452–4459. [Google Scholar] [CrossRef][Green Version]
- Liu, Y. Study on Guided Restoration of Damaged Vegetation in Semi-Arid Coal Mine Area. Ph.D. Thesis, China University of Mining and Technology, Xuzhou, China, 2020. [Google Scholar]
- Wang, C.; Wang, X.; Liu, D.; Wu, H.; Lü, X.; Fang, Y.; Cheng, W.; Luo, W.; Jiang, P.; Shi, J.; et al. Aridity threshold in controlling ecosystem nitrogen cycling in arid and semi-arid grasslands. Nat. Commun. 2014, 5, 4799. [Google Scholar] [CrossRef] [PubMed]








| Indicators | Min | Max | Mean | SD | CV (%) | Skewness | Kurtosis | K–S Test |
|---|---|---|---|---|---|---|---|---|
| pH | 6.86 | 8.95 | 8.27 | 0.44 | 5.32 | −1.07 | 0.83 | 0.053 |
| SOM (%) | 0.08 | 3.52 | 0.89 | 0.74 | 83.15 | 1.63 | 2.52 | 0.2 |
| AN (mg/kg) | 0.00 | 55.83 | 12.97 | 10.35 | 79.80 | 1.66 | 3.70 | 0.081 |
| AP (mg/kg) | 0.00 | 10.06 | 2.34 | 2.00 | 85.47 | 1.98 | 5.00 | 0.2 |
| AK (mg/kg) | 19.02 | 199.35 | 64.53 | 42.02 | 65.12 | 1.54 | 1.87 | 0.2 |
| Moisture (%) | 0.07 | 4.18 | 0.74 | 0.84 | 113.51 | 2.49 | 6.29 | 0.06 |
| EC (ms/cm) | 0.82 | 3.05 | 1.53 | 1.23 | 65.45 | 1.08 | 0.63 | 0.2 |
| Indicators | Model | C0 | C0 + C | C0/(C0 + C) | RSS | R2 | Range (km) |
|---|---|---|---|---|---|---|---|
| SOM | exponential | 0.319 | 0.639 | 0.501 | 0.035 | 0.458 | 0.090 |
| pH | spherical | 0.006 | 0.014 | 0.558 | 2.468×10−6 | 0.939 | 0.145 |
| AN | spherical | 0.112 | 1.651 | 0.932 | 0.136 | 0.236 | 0.015 |
| AK | exponential | 0.086 | 0.419 | 0.795 | 1.042×10−3 | 0.816 | 1.140 |
| AP | exponential | 0.050 | 0.307 | 0.839 | 0.018 | 0.652 | 0.003 |
| EC | spherical | 0.070 | 0.014 | 0.504 | 4.517×10−4 | 0.897 | 0.069 |
| Moisture | exponential | 0.075 | 0.518 | 0.855 | 0.017 | 0.124 | 0.015 |
Publisher’s Note: MDPI stays neutral with regard to jurisdictional claims in published maps and institutional affiliations. |
© 2022 by the authors. Licensee MDPI, Basel, Switzerland. This article is an open access article distributed under the terms and conditions of the Creative Commons Attribution (CC BY) license (https://creativecommons.org/licenses/by/4.0/).
Share and Cite
Long, L.; Liu, Y.; Chen, X.; Guo, J.; Li, X.; Guo, Y.; Zhang, X.; Lei, S. Analysis of Spatial Variability and Influencing Factors of Soil Nutrients in Western China: A Case Study of the Daliuta Mining Area. Sustainability 2022, 14, 2793. https://doi.org/10.3390/su14052793
Long L, Liu Y, Chen X, Guo J, Li X, Guo Y, Zhang X, Lei S. Analysis of Spatial Variability and Influencing Factors of Soil Nutrients in Western China: A Case Study of the Daliuta Mining Area. Sustainability. 2022; 14(5):2793. https://doi.org/10.3390/su14052793
Chicago/Turabian StyleLong, Linli, Ying Liu, Xiaoyang Chen, Junting Guo, Xinhui Li, Yangnan Guo, Xuyang Zhang, and Shaogang Lei. 2022. "Analysis of Spatial Variability and Influencing Factors of Soil Nutrients in Western China: A Case Study of the Daliuta Mining Area" Sustainability 14, no. 5: 2793. https://doi.org/10.3390/su14052793
APA StyleLong, L., Liu, Y., Chen, X., Guo, J., Li, X., Guo, Y., Zhang, X., & Lei, S. (2022). Analysis of Spatial Variability and Influencing Factors of Soil Nutrients in Western China: A Case Study of the Daliuta Mining Area. Sustainability, 14(5), 2793. https://doi.org/10.3390/su14052793

