Effect of Thaw Depth on Nitrogen and Phosphorus Loss in Runoff of Loess Slope
Abstract
:1. Introduction
2. Materials and Methods
2.1. Soil and Soil Flume Preparation
2.2. Experimental Design and Methods
2.3. Data Analysis
3. Results and Discussion
3.1. Effect of Thawing Depth on Runoff
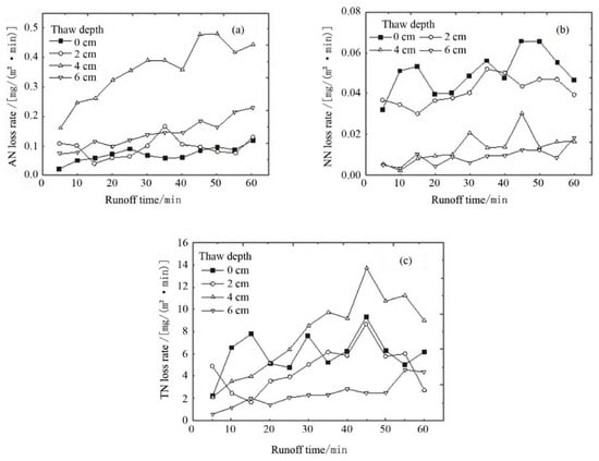
3.2. Nitrogen and Phosphorus Loss Due to Runoff
3.3. Effect of Thawing Depth on Nitrogen and Phosphorus Loss
3.4. Effect of Runoff Power and Runoff Energy on Nitrogen and Phosphorus Loss
4. Discussion
4.1. Nitrogen and Phosphorus Loss Response to Overland Runoff
4.2. Nitrogen and Phosphorus Loss Changes Resulting from Thawing Depth and Runoff Dynamic
5. Conclusions
- The runoff rate increases under different thaw depths in the order: 4 cm (runoff rate) > 2 cm > 0 cm > 6 cm. With the increase in runoff time, the slope infiltration rate had a decreasing trend. The loss rate of available and total Phosphorus increased with the increase in runoff rate. The rate of increase was fastest when the thawing depth was 4 cm.
- The relationships between runoff rate and Nitrogen loss, Phosphorus loss rate can be explained by linear regression equations, and the loss rate increased as the runoff rate rose for all thawing depths. Within the 0–6 cm thawing depths, the order of total Phosphorus loss was: 4 cm (total Phosphorus loss) > 0 cm > 6 cm > 2 cm, and available Phosphorus loss was: 4 cm (available Phosphorus loss)> 2 cm > 0 cm > 6 cm. At the shallower thawing depths, the AN loss represented a smaller proportion of the TN loss compared to NN loss. However, there was a gradual rise in the AN proportion in the total amount of inorganic Nitrogen as the thawing depth increased.
- Total Phosphorus was the available Phosphorus with a quadratic function relationship with runoff energy and runoff power. Runoff energy mainly affected the TN and AN loss in runoff, whereas runoff power mainly affected TN loss in runoff.
Author Contributions
Funding
Institutional Review Board Statement
Informed Consent Statement
Data Availability Statement
Acknowledgments
Conflicts of Interest
References
- Han, L.; Wan, Z.M.; Sun, H.Y. Research progress on the effects of freezing and thawing on soil physical, chemical and biological properties. Chin. J. Soil Sci. 2018, 49, 736–742, (In Chinese with English abstract). [Google Scholar]
- Shi, P.; Zhang, Y.; Zhang, Y.; Yu, Y.; Li, P.; Li, Z.B.; Xiao, L.; Xu, G.C.; Zhu, T.T. Land-use types and slope topography affect the soil labile carbon fractions in the Loess hilly-gully area of Shaanxi, China. Arch. Agron. Soil Sci. 2020, 66, 638–650. [Google Scholar] [CrossRef]
- Zhang, Y.; Li, P.; Liu, X.J.; Zhao, B.H. Effects of farmland conversion on the stoichiometry of carbon, nitrogen, and phosphorus in soil aggregates on the Loess Plateau of China. Geoderma 2019, 351, 188–196. [Google Scholar] [CrossRef]
- Ban, Y.Y.; Lei, T.W.; Chen, C.; Yin, Z.; Qian, D.F. Meltwater erosion process of frozen soil as affected by thawed depth under concentrated flow in high altitude and cold regions. Earth Surf. Processes Landf. 2017, 42, 2139–2146. [Google Scholar] [CrossRef]
- Cheng, Y.; Li, P.; Xu, G.; Li, Z.; Wang, T. Effect of soil erodibility on nitrogen and phosphorus loss under condition of freeze-thaw. Trans. Chin. Soc. Agric. Eng. 2017, 33, 141–149, (In Chinese with English abstract). [Google Scholar]
- Sharratt, B.S.; Lindstrom, M.J.; Benoit, G.R.; Young, R.A.; Wilts, A. Runoff and soil erosion during spring thaw in the northern U.S. Corn Belt. J. Soil Water Conserv. 2000, 55, 487–494. [Google Scholar]
- Wang, T.; Li, P.; Ren, Z.P.; Xu, G.C.; Li, Z.B.; Yang, Y.Y.; Tang, S.S.; Yao, J.W. Effects of freeze-thaw on soil erosion processes and sediment selectivity under simulated rainfall. J. Arid Land 2017, 9, 234–243. [Google Scholar] [CrossRef] [Green Version]
- Fan, H.M.; Zhang, R.F.; Wu, M.; Zhou, L.L. Study on Sloping Land Rainfall Erosion Affected by Thaw Depth of Near-surface Meadow Soil. J. Soil Water Conserv. 2010, 24, 28–31, (In Chinese with English abstract). [Google Scholar]
- Wang, T.; Li, P.; Hou, J.M.; Li, Z.B.; Ren, Z.P.; Cheng, S.D.; Xu, G.C.; Su, Y.Y.; Wang, F.C. Response of the Meltwater Erosion to Runoff Energy Consumption on Loessal Slopes. Water 2018, 10, 1522. [Google Scholar] [CrossRef] [Green Version]
- Ala, M.; Liu, Y.; Wang, A.Z.; Niu, C.Y. Characteristics of soil freeze-thaw cycles and their effects on water enrichment in the rhizosphere. Geoderma Int. J. Soil Sci. 2016, 264, 132–139. [Google Scholar]
- Wang, T.; Li, P.; Li, Z.B.; Hou, J.M.; Xiao, L.; Ren, Z.P.; Xu, G.C.; Yu, K.X.; Su, Y.Y. The effects of freeze-thaw process on soil water migration in dam and slope farmland on the Loess Plateau, China. Sci. Total Environ. 2019, 666, 721–730. [Google Scholar] [CrossRef] [PubMed]
- Wang, T.; Li, P.; Liu, Y.; Hou, J.M.; Li, Z.B.; Ren, Z.P.; Cheng, S.D.; Zhao, J.H.; Hinkelmann, R. Experimental investigation of freeze-thaw meltwater compound erosion and runoff energy consumption on loessal slopes. Catena 2020, 185, 104310. [Google Scholar] [CrossRef]
- Xiao, L.; Zhang, Y.; Li, P.; Xu, G.C.; Shi, P.; Zhang, Y. Effects of freeze-thaw cycles on aggregate-associated organic carbon and glomalin-related soil protein in natural-succession grassland and Chinese pine forest on the Loess Plateau. Geoderma 2019, 334, 1–8. [Google Scholar] [CrossRef]
- Xu, H.; Wang, F.F.; Li, T.; Wu, X. A review of freezing-thawing cycle effects on key processes of soil nitrogen cycling and the underlying mechanisms. Acta Ecol. Sin. 2020, 40, 3168–3182, (In Chinese with English abstract). [Google Scholar]
- Fan, H.M.; Huang, D.H.; Zhou, L.; Zhou, L.L.; Jia, Y. Effects of freeze–thaw cycles on phosphorus adsorption and desorption in the black soil of northeastern China. Acta Agric. Scand. 2014, 64, 24–32. [Google Scholar] [CrossRef]
- Schmidt, S.; Lipson, D. Microbial growth under the snow: Implications for nutrient and allelochemical availability in temperate soils. Plant Soil 2004, 259, 1–7. [Google Scholar] [CrossRef]
- Hinman, W. Effects of freezing and thawing on some chemical properties of three soils. Can. J. Soil Sci. 1970, 50, 179–182. [Google Scholar] [CrossRef]
- Dagesse, D.F. Freezing-induced bulk soil volume changes. Can. J. Soil Sci. 2010, 90, 389–401. [Google Scholar] [CrossRef] [Green Version]
- Wang, Z.W.; Yang, J.Y. Freezing and thawing of soil carbon impact. China Sci. Technol. Inf. 2009, 4, 24–27, (In Chinese with English abstract). [Google Scholar]
- Li, N.; Tang, J.; Zhang, N.; Yu, S.L. Soil Organic Carbon and Its Relationship with Enzyme during Freezing-Thawing-Cycles in Paddy Soil. Environ. Sci. Technol. 2015, 38, 1–6, (In Chinese with English abstract). [Google Scholar]
- Shi, P.; Qin, Y.L.; Liu, Q.; Zhu, T.T.; Li, Z.B.; Li, P.; Ren, Z.P.; Liu, Y.; Wang, F.C. Soil respiration and response of carbon source changes to vegetation restoration in the Loess Plateau, China. Sci. Total Environ. 2020, 707, 135507. [Google Scholar] [CrossRef] [PubMed]
- Yu, X.F.; Zou, Y.C.; Jiang, M.; Lu, X.G.; Wang, G.P. Response of soil constituents to freeze–thaw cycles in wetland soil solution. Soil Biol. Biochem. 2011, 43, 1308–1320. [Google Scholar] [CrossRef]
- Qian, D.; Fan, H.M.; Zhou, L.L.; Wu, M.; Guo, P. Effects of freezing-thawing on phosphorus adsorption and desorption characteristics in brown earth. J. Soil Water Conserv. 2012, 26, 279–283, (In Chinese with English abstract). [Google Scholar]
- Li, L.; Meng, Q.Y. Reviews of phosphorus transport and transformation in soil under freezing and thawing actions. Ecol. Environ. Sci. 2013, 22, 1074–1078, (In Chinese with English abstract). [Google Scholar]
- Oztas, T.; Favetorbay, F. Effect of freezing and thawing processes on soil aggregate stability. Catena 2003, 52, 1–8. [Google Scholar] [CrossRef]
- Chamberlain, E.J.; Gow, A.J. Effect of freezing and thawing on the permeability and structure of soils. Eng. Geol. 1979, 13, 73–92. [Google Scholar] [CrossRef]
- Edwards, L.M. The effect of alternate freezing and thawing on aggregate stability and aggregate size distribution of some Prince Edward Island soils. J. Soil Sci. 1991, 42, 193–204. [Google Scholar] [CrossRef]
- Zhao, B.H.; Li, Z.B.; Li, P.; Xiao, L.; Chang, E.H.; Zhang, Y.; Gao, B. Effects of ecological construction on the transformation of different water types on Loess Plateau, China. Ecol. Eng. 2020, 144, 105642. [Google Scholar] [CrossRef]
- Lehrsch, G.A. Freeze-thaw cycles increase near-surface aggregate stability. Soil Sci. 1998, 163, 63–70. [Google Scholar] [CrossRef] [Green Version]
- Pawluk, S. Freeze-thaw effects on granular structure reorganization for soil materials of varying texture and moisture content. Can. J. Soil Sci. 1988, 68, 485–494. [Google Scholar] [CrossRef]
- Wang, T.; Li, P.; Li, Z.B.; Xu, G.C.; Cheng, S.D.; Ren, Z.P.; Li, X.T.; Wang, F.C.; Yang, Y.Y.; Dong, S.S. A Kind of Intelligent Multifunctional Artificially-Simulated Rainfall System. China Patent 201710524790.7, 27 July 2018. [Google Scholar]
- Boardman, J.; Favis-Mortlock, D.; Foster, I. A 13-year record of erosion on badland sites in the Karoo, South Africa. Earth Surf. Processes Landf. 2015, 40, 1964–1981. [Google Scholar] [CrossRef] [Green Version]
- Ren, Z.P.; Ma, Y.Y.; Wang, Y.S.; Xie, M.Y.; Li, P. Runoff changes and attribution analysis in tributaries of different geomorphic regions in Wuding River basin. Acta Ecol. Sin. 2019, 39, 4309–4318. [Google Scholar]
- Hua, W.X.; Fan, H.M.; Xu, X.Q.; Jia, Y.F.; Liu, Y.J.; Tan, J.; Zhang, N. Observation on the Spring Snowmelt Erosion of Sloping Farmland in Northeast China. J. Soil Water Conserv. 2017, 31, 92–96. [Google Scholar]
- Han, D.D.; Deng, J.C.; Gu, C.J.; Mu, X.M.; Gao, P.; Gao, J.J. Effect of shrub-grass vegetation coverage and slope gradient on runoff and sediment yield under simulated rainfall. Int. J. Sediment Res. 2021, 36, 34–42. [Google Scholar] [CrossRef]
- Wu, L.; Peng, M.L.; Qiao, S.S.; Ma, X.Y. Effects of rainfall intensity and slope gradient on runoff and sediment yield characteristics of bare loess soil. Environ. Sci. Pollut. Res. 2018, 25, 1–8. [Google Scholar] [CrossRef]
- Yong, L.K.; Law, P.L.; Taib, S.; Ngu, J.; Mah, D.; Law, S. A study on topography versus sediment yield under simulated rainfall. IOP Conf. Ser. Mater. Sci. Eng. 2021, 1101, 012019. [Google Scholar] [CrossRef]
- Hao, H.X.; Guo, Z.L.; Wang, X.Z.; Zhan, H.G.; Ma, R.M.; Li, Z.X.; Juan, J. Rill erosion process on red soil slope under interaction of rainfall and scouring flow. Trans. Chin. Soc. Agric. Eng. 2017, 33, 134–140, (In Chinese with English abstract). [Google Scholar]
- Guo, Z.L.; Ma, M.J.; Cai, C.F.; Wu, Y.W. Combined effects of simulated rainfall and overland flow on sediment and solute transport in hillslope erosion. J. Soil Sediments 2018, 18, 1120–1132. [Google Scholar] [CrossRef]
- Foster, I.D.L.; Chapman, A.S.; Hodgkinson, R.M.; Jones, A.R.; Lees, J.A.; Turner, S.E.; Scott, M. Changing suspended sediment and particulate phosphorus loads and pathways in underdrained lowland agricultural catchments; Herefordshire and Worcestershire, U.K. Hydrobiologia 2003, 494, 1–3. [Google Scholar] [CrossRef]
- Kreyling, J.; Schumann, R.; Weigel, R. Soils from cold and snowy temperate deciduous forests release more nitrogen and phosphorus after soil freeze-thaw cycles than soils from warmer, snow-poor conditions. Biogeosciences 2020, 134, 5194. [Google Scholar] [CrossRef]
- Yao, L.U.; Hu, W.L.; Lei, B.K.; Duan, Z.Y.; Liu, H.B.; Zhai, L.M. Location monitoring of nitrogen and phosphorus loss in red soil surface runoff of farmland in Yunnan Province. J. Agro-Environ. Sci. 2012, 31, 1544–1553. [Google Scholar]
- Chen, L.; Liu, D.F.; Song, L.X.; Cui, Y.J.; Zhang, G. Characteristics of Nutrient Loss by Runoff in Sloping Arable Land of Yellowbrown Under Different Rainfall Intensities. Environ. Sci. 2013, 34, 2151–2158. [Google Scholar]
- Ran, Q.H.; Su, D.Y.; Li, P.; He, Z.G. Experimental study of the impact of rainfall characteristics on runoff generation and soil erosion. J. Hydrol. 2012, 424, 99–111. [Google Scholar] [CrossRef]
- Wischmeier, W.H.; Smith, D.D. Predicting rainfall erosion losses-a guide to conservation planning. In Agriculture Handbook; Department of Agriculture, Science and Education Administration: Washington, DC, USA, 1978. [Google Scholar]
- Slaughter, C.W.; Hilgert, J.W.; Culp, E.H. Summer Streamflow and Sediment Yield from Discontinuous-Permafrost Headwaters Catchments. In Proceedings of the 4th International Conference on Permafrost, Fairbanks, AK, USA, 18–22 July 1983. [Google Scholar]
- Yamazaki, Y.; Kubota, J.; Ohata, T.; Vuglinsky, V.; Mizuyama, T. Seasonal changes in runoff characteristics on a permafrost watershed in the southern mountainous region of eastern Siberia. Hydrol. Processes 2010, 20, 453–467. [Google Scholar] [CrossRef]
- Ahuja, L.R.; Sharpley, A.N.; Lehman, O.R. Effect of Soil Slope and Rainfall Characteristics on Phosphorus in Runoff. J. Environ. Qual. 1982, 11, 9–13. [Google Scholar] [CrossRef]












| Soil Type | Soil Particle/mm | Bulk Density | Total Nitrogen (TN) | Total Phosphorus (TP) | Available Phosphorus (AP) | Ammonia Nitrogen (AN) | Nitrate Nitrogen (NN) | ||
|---|---|---|---|---|---|---|---|---|---|
| Clay <0.002 | Silt 0.002~0.02 | Sand 0.02~2.0 | (g·kg−1) | (g·kg−1) | (g·kg−1) | (g·kg−1) | (mg·kg−1) | (mg·kg−1) | |
| Loess | 0.20 | 65.20 | 34.60 | 1.29 | 0.74 | 0.56 | 6.07 | 5.36 | 3.21 |
| Thawing Depth/cm | Runoff Time/min | Drop Pit Time/min | Runoff Yield/mm |
|---|---|---|---|
| 0 | 5.47 | 10.38 | 24.41 |
| 2 | 12.83 | 7.50 | 32.84 |
| 4 | 16.44 | 7.00 | 33.35 |
| 6 | 31.38 | 11.00 | 12.95 |
| Thaw Depth/cm | Total Nitrogen | Ammonium Nitrogen | Nitrate Nitrogen | |||
|---|---|---|---|---|---|---|
| Regression Equation | R2 | Regression Equation | R2 | Regression Equation | R2 | |
| 0 | y = 11.8849x + 0.867 | 0.54 | y = 0.1348x + 0.0144 | 0.62 | y = 0.0629x + 0.0232 | 0.72 |
| 2 | y = 13.1681x − 2.57 | 0.46 | y = 0.1757x − 0.0034 | 0.57 | y = 0.0503x + 0.0138 | 0.80 |
| 4 | y = 18.8339x − 3.13 | 0.89 | y = 0.5096x + 0.0608 | 0.94 | y = 0.0353x − 0.0068 | 0.86 |
| 6 | y = 11.6143x − 0.28 | 0.91 | y = 0.4987x + 0.0284 | 0.98 | y = 0.0329x + 0.0018 | 0.75 |
| Thaw Depth/cm | Total Phosphorus | Available Phosphorus | ||
|---|---|---|---|---|
| Regression Equation | R2 | Regression Equation | R2 | |
| 0 | y = 0.2589x + 0.0537 | 0.55 | y = 0.1325x + 0.0161 | 0.84 |
| 2 | y = 0.2148x + 0.0284 | 0.20 | y = 0.1601x + 0.0113 | 0.43 |
| 4 | y = 0.9199x − 0.0312 | 0.91 | y = 0.2699x + 0.0207 | 0.83 |
| 6 | y = 0.8352x + 0.01 | 0.91 | y = 0.2692x + 0.0063 | 0.96 |
| Thaw Depth | Runoff | Total Loss (mg) | Proportion of TN (%) | |||
|---|---|---|---|---|---|---|
| /cm | /mm | TN | AN | NN | AN | NN |
| 0 | 24.41 | 542.12 | 6.57 | 4.55 | 1.21 | 0.84 |
| 2 | 32.84 | 425.76 | 8.46 | 3.75 | 1.99 | 0.88 |
| 4 | 33.35 | 702.47 | 32.10 | 1.23 | 4.57 | 0.18 |
| 6 | 12.95 | 213.20 | 12.81 | 0.83 | 6.01 | 0.39 |
| Thaw Depth | The Runoff | Loss Amount (mg) | The Proportion of Available Phosphorus to Total Phosphorus (%) | |
|---|---|---|---|---|
| cm | mm | Total Phosphorus | Available Phosphorus | Available Phosphorus |
| 0 | 24.41 | 14.95 | 6.62 | 44.28 |
| 2 | 32.84 | 8.85 | 6.01 | 67.87 |
| 4 | 33.35 | 30.17 | 10.65 | 35.30 |
| 6 | 12.95 | 12.04 | 4.07 | 33.75 |
| Thaw Depth/cm | Runoff Energy/J·m−2 | Runoff Power/L4·s−1·m−2 |
|---|---|---|
| 0 | 0.247 | 0.239 |
| 2 | 0.485 | 0.438 |
| 4 | 0.346 | 0.381 |
| 6 | 0.212 | 0.143 |
Publisher’s Note: MDPI stays neutral with regard to jurisdictional claims in published maps and institutional affiliations. |
© 2022 by the authors. Licensee MDPI, Basel, Switzerland. This article is an open access article distributed under the terms and conditions of the Creative Commons Attribution (CC BY) license (https://creativecommons.org/licenses/by/4.0/).
Share and Cite
Wang, F.; Li, Z.; Cheng, Y.; Li, P.; Wang, B.; Zhang, H. Effect of Thaw Depth on Nitrogen and Phosphorus Loss in Runoff of Loess Slope. Sustainability 2022, 14, 1560. https://doi.org/10.3390/su14031560
Wang F, Li Z, Cheng Y, Li P, Wang B, Zhang H. Effect of Thaw Depth on Nitrogen and Phosphorus Loss in Runoff of Loess Slope. Sustainability. 2022; 14(3):1560. https://doi.org/10.3390/su14031560
Chicago/Turabian StyleWang, Feichao, Zhanbin Li, Yuting Cheng, Peng Li, Bin Wang, and Hui Zhang. 2022. "Effect of Thaw Depth on Nitrogen and Phosphorus Loss in Runoff of Loess Slope" Sustainability 14, no. 3: 1560. https://doi.org/10.3390/su14031560
APA StyleWang, F., Li, Z., Cheng, Y., Li, P., Wang, B., & Zhang, H. (2022). Effect of Thaw Depth on Nitrogen and Phosphorus Loss in Runoff of Loess Slope. Sustainability, 14(3), 1560. https://doi.org/10.3390/su14031560

