A Multiscale Normalization Method of a Mixed-Effects Model for Monitoring Forest Fires Using Multi-Sensor Data
Abstract
1. Introduction
2. Materials and Methods
2.1. Data Introduction
2.2. Data Pre-Processing
2.3. Determination of Model Parameters
2.4. Data Collection
2.5. Classification of Model Parameters
2.6. Normalized Modeling
2.7. Model Accuracy Evaluation
3. Results
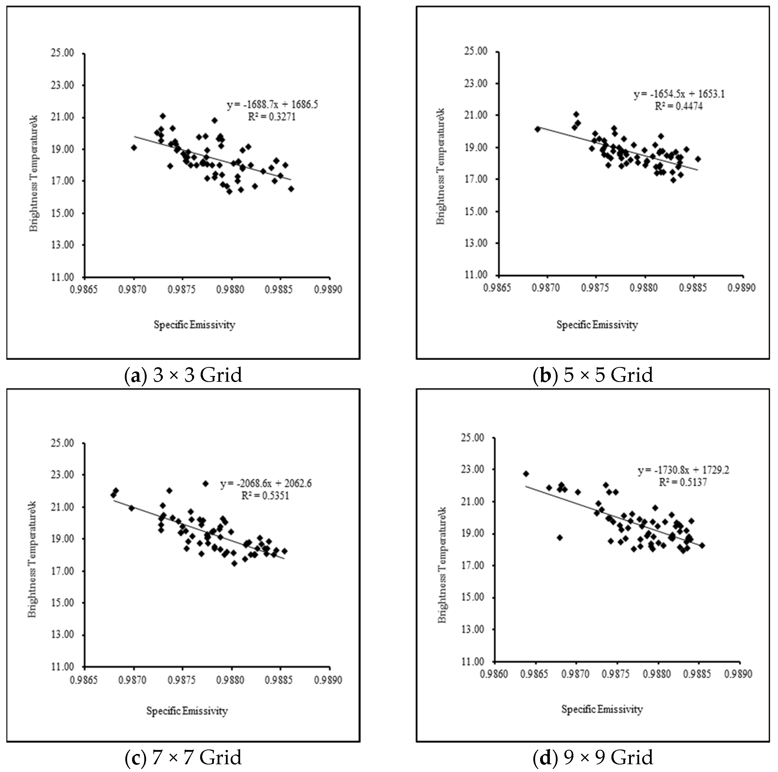
3.1. Multiple Linear Regression
3.2. Determination of the Basic Model
3.3. Fitting the Mixed-Effects Model
3.4. Comparison of the Accuracy of Normalization Methods
3.5. The Results of Fire Detection Verification
4. Discussions
5. Conclusions
Author Contributions
Funding
Institutional Review Board Statement
Informed Consent Statement
Data Availability Statement
Conflicts of Interest
References
- Wang, S.; Li, H.; Niu, S. Empirical research on climate warming risks for forest fires: A case study of grade I forest fire danger zone, Sichuan Province, China. Sustainability 2021, 13, 7773. [Google Scholar] [CrossRef]
- Wotton, B.M.; Nock, C.A.; Flannigan, M.D. Forest fire occurrence and climate change in Canada. Int. J. Wildland Fire 2010, 19, 253–271. [Google Scholar] [CrossRef]
- Singhal, G.; Bansod, B.; Mathew, L. Unmanned Aerial Vehicle Classification, Applications and Challenges: A review. ICAFOF. 2018. Available online: https://www.preprints.org/manuscript/201811.0601/v1 (accessed on 1 December 2021).
- Yuan, C.; Zhang, Y.; Liu, Z. A survey on technologies for automatic forest fire monitoring, detection, and fighting using unmanned aerial vehicles and remote sensing techniques. Can. J. For. Res. 2015, 45, 783–792. [Google Scholar] [CrossRef]
- Yang, X.; Chen, R.; Zhang, F.; Zhang, L.; Fan, X.; Ye, Q.; Fu, L. Pixel-level automatic annotation for forest fire image. Eng. Appl. Artif. Intell. 2021, 104, 104353. [Google Scholar] [CrossRef]
- Dhall, A.; Dhasade, A.; Nalwade, A.; Raj, M.V.K.; Kulkarni, V. A survey on systematic approaches in managing forest fires. Appl. Geogr. 2020, 121, 102266. [Google Scholar] [CrossRef]
- Yong, H.; Liu, L.; Liu, L.; Jiao, Q. Comparison of absolute and relative radiometric normalization use Landsat time series images. In MIPPR 2011: Remote Sensing Image Processing, Geographic Information Systems, and Other Applications; SPIE: Bellingham, WA, USA, 2011; Volume 8006, p. 800616. [Google Scholar] [CrossRef]
- Yuan, D.; Elvidge, C.D. Comparison of relative radiometric normalization techniques. ISPRS J. Photogramm. Remote Sens. 1996, 51, 117–126. [Google Scholar] [CrossRef]
- Tuia, D.; Marcos, D.; Camps-Valls, G. Multi-temporal and multi-source remote sensing image classification by nonlinear relative normalization. ISPRS J. Photogramm. Remote Sens. 2016, 120, 1–12. [Google Scholar] [CrossRef]
- Hutengs, C.; Vohland, M. Downscaling land surface temperatures at regional scales with random forest regression. Remote Sens. Environ. 2016, 178, 127–141. [Google Scholar] [CrossRef]
- Zhao, W.; Wu, H.; Yin, G.; Duan, S.B. Normalization of the temporal effect on the MODIS land surface temperature product using random forest regression. ISPRS J. Photogramm. Remote Sens. 2019, 152, 109–118. [Google Scholar] [CrossRef]
- De Carvalho, J.O.A.; Guimarães, R.F.; Silva, N.C.; Gillespie, A.R.; Gomes, R.A.T.; Silva, C.R.; De Carvalho, A.P.F. Radiometric normalization of temporal images combining automatic detection of pseudo-invariant features from the distance and similarity spectral measures, density scatterplot analysis, and robust regression. Remote Sens. 2013, 5, 2763–2794. [Google Scholar] [CrossRef]
- Elvidge, C.; Yuan, D.; Weerackoon, R.D.; Lunetta, R. Relative radiometric normalization of landsat multispectral scanner (MSS) data using an automatic scattergram-controlled regression. ISPRS J. Photogramm. Remote Sens. 1995, 61, 1255–1260. [Google Scholar]
- Kaufman, Y.J.; Justice, C.O.; Flynn, L.P.; Kendall, J.D.; Prins, E.M.; Giglio, L.; Ward, D.E.; Menzel, W.P.; Setzer, A.W. Potential global fire monitoring from EOS-MODIS. J. Geophys. Res. 1998, 103, 32215–32238. [Google Scholar] [CrossRef]
- Giglio, L.; Schroeder, W.; Justice, C.O. The collection 6 MODIS active fire detection algorithm and fire products. Remote Sens. Environ. 2016, 178, 31–41. [Google Scholar] [CrossRef]
- Dozier, J. A method for satellite identification of surface temperature fields of subpixel resolution. Remote Sens. Environ. 1981, 11, 221–229. [Google Scholar] [CrossRef]
- Matson, M.; Dozier, J. Identification of sub-resolution high temperature sources using a thermal IR sensor. Photogram. Eng. Remote Sens. 1998, 47, 1311–1318. [Google Scholar]
- Yi, Q.; Huang, J.; McVicar, T.R.; West, S.; Khan, M.; Steven, A.D.L. Estimating surface solar irradiance from geostationary Himawari-8 over Australia: A physics-based method with calibration. Sol. Energy 2021, 220, 119–129. [Google Scholar] [CrossRef]
- Okuyama, A.; Takahashi, M.; Date, K.; Hosaka, K.; Murata, H.; Tabata, T.; Yoshino, R. Validation of Himawari-8/AHI radiometric calibration based on two years of in-orbit data. J. Meteorol. Soc. Jpn. 2018, 96, 91–109. [Google Scholar] [CrossRef]
- Ward, J.G.; Merceret, F.J. An automated cloud-edge detection algorithm using cloud physics and radar data. J. Atmos. Ocean. Technol. 2004, 21, 762–765. [Google Scholar] [CrossRef][Green Version]
- Liu, C.; Yang, S.; Di, D.; Yang, Y.; Zhou, C.; Hu, X.; Sohn, B.J. A Machine Learning-Based Cloud Detection Algorithm for the Himawari-8 Spectral Image. Adv. Atmos. Sci. 2021, 1–14. Available online: https://link.springer.com/article/10.1007/s00376-021-0366-x (accessed on 1 December 2021). [CrossRef]
- Zhang, R.; Qu, J.J.; Liu, Y.; Hao, X.; Huang, C.; Zhan, X. Detection of burned areas from mega-fires using daily and historical MODIS surface reflectance. Int. J. Remote Sens. 2015, 36, 1167–1187. [Google Scholar] [CrossRef]
- Mitraka, Z.; Chrysoulakis, N.; Kamarianakis, Y.; Partsinevelos, P.; Tsouchlaraki, A. Improving the estimation of urban surface emissivity based on sub-pixel classification of high resolution satellite imagery. Remote Sens. Environ. 2012, 117, 125–134. [Google Scholar] [CrossRef]
- Ma, X.L.; Wan, Z.; Moeller, C.C.; Menzel, W.P.; Gumley, L.E. Simultaneous retrieval of atmospheric profiles, land-surface temperature, and surface emissivity from Moderate-Resolution Imaging Spectroradiometer thermal infrared data: Extension of a two-step physical algorithm. Appl. Opt. 2002, 41, 909–924. [Google Scholar] [CrossRef]
- Zhou, S.; Cheng, J. An improved temperature and emissivity separation algorithm for the advanced Himawari imager. IEEE Trans. Geosci. Remote Sens. 2020, 58, 7105–7124. [Google Scholar] [CrossRef]
- Friedl, M.A.; Sulla-Menashe, D.; Tan, B.; Schneider, A.; Ramankutty, N.; Sibley, A.; Huang, X. MODIS collection 5 global land cover: Algorithm refinements and characterization of new datasets. Remote Sens. Environ. 2010, 114, 168–182. [Google Scholar] [CrossRef]
- Foody, G.M. Status of land cover classification accuracy assessment. Remote Sens. Environ. 2002, 80, 185–201. [Google Scholar] [CrossRef]
- Liu, Q.; Kampffmeyer, M.; Jenssen, R.; Salberg, A.-B. Dense dilated convolutions’ merging network for land cover classification. IEEE Trans. Geosci. Remote Sens. 2020, 58, 6309–6320. [Google Scholar] [CrossRef]
- Bandyopadhyay, G.; Chattopadhyay, S. Single hidden layer artificial neural network models versus multiple linear regression model in forecasting the time series of total ozone. Int. J. Environ. Sci. Technol. 2007, 4, 141–149. [Google Scholar] [CrossRef]
- Šoškić, M.; Plavšić, D.; Trinajstić, N. Link between orthogonal and standard multiple linear regression models. J. Chem. Inf. Comput. Sci. 1996, 36, 829–832. [Google Scholar] [CrossRef]
- Lindstrom, M.J.; Bates, D. Nonlinear mixed effects models for repeated measures data. Biometrics 1990, 46, 673–687. [Google Scholar] [CrossRef]
- Pinheiro, J.C.; Bates, D.M. Mixed-Effects Models in S and S-PLUS; Springer: New York, NY, USA, 2002; ISBN 978-1-4419-0317-4. [Google Scholar]
- Scaranello, M.A.D.S.; Alves, L.; Vieira, S.A.; De Camargo, P.B.; Joly, C.A.; Martinelli, L. Height-diameter relationships of tropical Atlantic moist forest trees in southeastern Brazil. Sci. Agric. 2012, 69, 26–37. [Google Scholar] [CrossRef]
- Wang, L.; Guo, N.; Wang, W.; Zuo, H. Optimization of the local split-window algorithm for FY-4A land surface temperature retrieval. Remote Sens. 2019, 11, 2016. [Google Scholar] [CrossRef]
- Wooster, M.J.; Roberts, G.; Freeborn, P.H.; Xu, W.; Govaerts, Y.; Beeby, R.; He, J.; Lattanzio, A.; Fisher, D.; Mullen, R. LSA SAF Meteosat FRP products—Part 1: Algorithms, product contents, and analysis. Atmos. Chem. Phys. 2015, 15, 13217–13239. [Google Scholar] [CrossRef]







| Site Factors | Grade Division | |||||||
|---|---|---|---|---|---|---|---|---|
| Elevation | Level 1 per 100 m | |||||||
| Slope gradient | [0,5] I | [6,15] II | [16,25] III | [26,35] IV | [36,45] V | ≥46 VI | ||
| Slope aspect | (337.5, 22.5] | (22.5, 67.5] | (67.5, 112.5] | (112.5, 157.5] | (157.5, 202.5] | (202.5, 247.5] | (247.5, 292.5] | (292.5, 337.5] |
| North slope | Northeast slope | East slope | Southeast slope | South slope | Southwest slope | West slope | Northwest slope | |
| Factor Group | Sum of Squares | Freedom | Mean Square | F Value | Pr > F |
|---|---|---|---|---|---|
| Longitude | 7.1550 | 1 | 7.1550 | 7.5492 | 0.006372 ** |
| Latitude | 29.8800 | 1 | 29.8800 | 31.5249 | 4.534 × 10−8 ** |
| Emissivity | 220.2950 | 1 | 220.2950 | 232.4239 | <2.2 × 10−16 *** |
| Residuals | 280.5530 | 296 | 0.9480 |
| Parameters | Values | Standard Value | Value T | Pr > F | R2 |
|---|---|---|---|---|---|
| (Intercept) | 2.300 × 103 | 1.509 × 102 | 15.238 | <2 × 10−16 *** | 0.4731 |
| Longitude | −2.594 × 10−1 | 5.606 × 10−2 | −4.627 | 5.55 × 10−6 *** | |
| Latitude | 3.305 × 10−2 | 7.204 × 10−3 | 4.588 | 6.61 × 10−6 *** | |
| Emissivity | −2.280 × 103 | 1.496 × 102 | −15.245 | <2 × 10−16 *** |
| Parameters | Values | Down Limit | Up Limit | Fitting Data | ||
|---|---|---|---|---|---|---|
| R2 | MAE | RMSE | ||||
| a | −1747.4422 | −1978.5302 | 1516.3542 | 0.4244 | 0.7907 | 1.0142 |
| b | 1745.5010 | 1517.2530 | 1973.7489 | |||
| Random Factor | Model | Parameter Combination | R2 | AIC | BIC | RMSE | MAE |
|---|---|---|---|---|---|---|---|
| LDLX | M1 | a | 0.5181 | 865.8 | 880.6 | 0.9314 | 0.7206 |
| M2 | b | 0.5181 | 865.8 | 880.6 | 0.9314 | 0.7205 | |
| ldlx | M3 | a | 0.6640 | 754.4 | 769.2 | 0.7752 | 0.5794 |
| M4 | b | 0.6640 | 754.4 | 769.2 | 0.7752 | 0.5794 | |
| SOZ | M5 | a | 0.4452 | 867.8 | 882.6 | 0.9959 | 0.7751 |
| M6 | b | 0.4454 | 867.8 | 882.6 | 0.9957 | 0.7749 | |
| soz | M7 | a | Singular fit | ||||
| M8 | b | Singular fit | |||||
| SOA | M9 | a | 0.5194 | 867.0 | 881.8 | 0.9306 | 0.7289 |
| M10 | b | 0.5196 | 867.0 | 881.8 | 0.9305 | 0.7288 | |
| soa | M11 | a | 0.7942 | 632.7 | 647.6 | 0.6067 | 0.4381 |
| M12 | b | 0.7942 | 632.7 | 647.6 | 0.6067 | 0.4381 | |
| Ldlx + soa | M13 | a + a | 0.8418 | 590.4 | 609.0 | 0.5321 | 0.3977 |
| M14 | b + b | 0.8418 | 590.4 | 609.0 | 0.5321 | 0.3977 | |
| M15 | b + a | 0.8418 | 590.4 | 609.0 | 0.5321 | 0.3977 | |
| M16 | a + b | 0.8418 | 590.4 | 609.0 | 0.5321 | 0.3977 | |
| Brightness Temperature Inversion Normalization Method | R2 | MAE | RMSE |
|---|---|---|---|
| MEMN Method | 0.8045 | 0.4657 | 0.5648 |
| RF Method | 0.7318 | 0.5583 | 0.6817 |
| PIF Method | 0.7264 | 0.5603 | 0.7155 |
| ASCR Method | 0.6841 | 0.6193 | 0.7882 |
| Actual Number of Fire Points | Number Detected | Fire Detection Rate | |
|---|---|---|---|
| FY-4A original image | 11 | 6 | 54.5% |
| Himawari-8 original image | 11 | 8 | 72.7% |
| MEMN normalized image | 11 | 10 | 90.9% |
Publisher’s Note: MDPI stays neutral with regard to jurisdictional claims in published maps and institutional affiliations. |
© 2022 by the authors. Licensee MDPI, Basel, Switzerland. This article is an open access article distributed under the terms and conditions of the Creative Commons Attribution (CC BY) license (https://creativecommons.org/licenses/by/4.0/).
Share and Cite
Feng, L.; Xiao, H.; Yang, Z.; Zhang, G. A Multiscale Normalization Method of a Mixed-Effects Model for Monitoring Forest Fires Using Multi-Sensor Data. Sustainability 2022, 14, 1139. https://doi.org/10.3390/su14031139
Feng L, Xiao H, Yang Z, Zhang G. A Multiscale Normalization Method of a Mixed-Effects Model for Monitoring Forest Fires Using Multi-Sensor Data. Sustainability. 2022; 14(3):1139. https://doi.org/10.3390/su14031139
Chicago/Turabian StyleFeng, Lanbo, Huashun Xiao, Zhigao Yang, and Gui Zhang. 2022. "A Multiscale Normalization Method of a Mixed-Effects Model for Monitoring Forest Fires Using Multi-Sensor Data" Sustainability 14, no. 3: 1139. https://doi.org/10.3390/su14031139
APA StyleFeng, L., Xiao, H., Yang, Z., & Zhang, G. (2022). A Multiscale Normalization Method of a Mixed-Effects Model for Monitoring Forest Fires Using Multi-Sensor Data. Sustainability, 14(3), 1139. https://doi.org/10.3390/su14031139
