NEV’s Supply Chain Coordination with Financial Constraint and Demand Uncertainty
Abstract
:1. Introduction
- We study the coordination through revenue-sharing and buy-back (RSBB) contracts when a member of the NEV supply chain has financial constraints and analyze the acceptable bankruptcy risk impact on optimal order quantity, which has not been involved in previous literature.
- We investigate the impact of acceptable bankruptcy risk on the optimal decision making when a retailer has a financial constraint. In both decisions, there exists a fixed acceptable value of bankruptcy risk, below which the retailer’s optimal order quantity increases in the risk, but above which it remains constant. Under the RSBB contract, if the retailer has a low acceptable risk of bankruptcy, the supply chain can be coordinated by increasing the revenue sharing ratio and reducing the buy-back price. Similarly, we investigate the impact of acceptable bankruptcy risk on optimal decision-making when a manufacturer is financially constrained. Under the RSBB contract, if the manufacturer has a high preference for acceptable bankruptcy risk, then the supply chain should be coordinated by reducing the revenue sharing ratio and increasing the buy-back price.
2. Literature Review
3. Model Setup
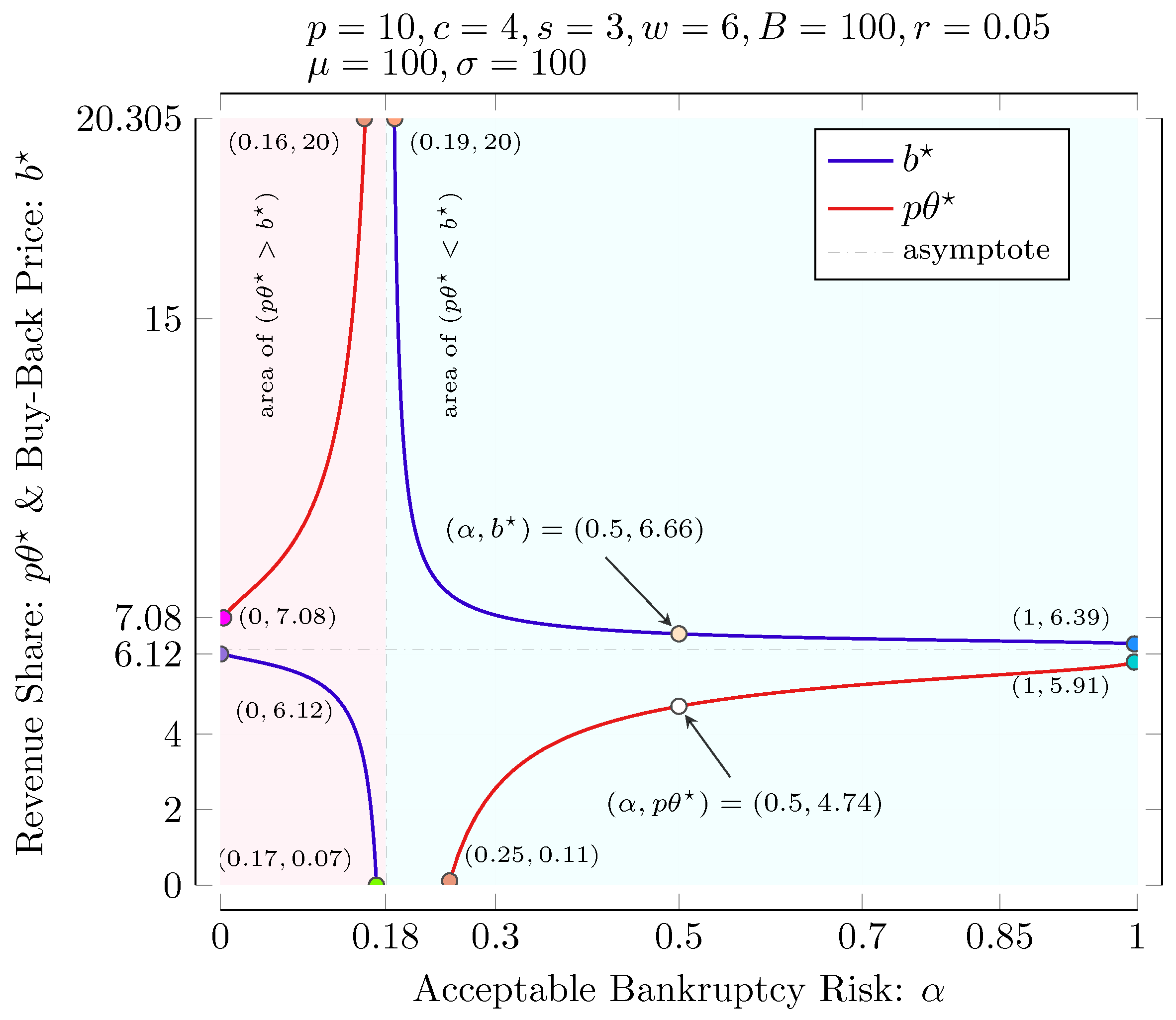
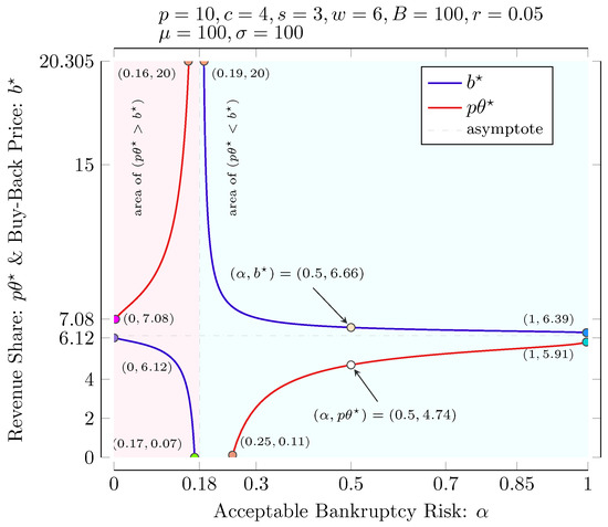
4. The Coordination When Retailer Has Financial Constraints
4.1. Centralized Decision
4.2. Decentralized Decision
4.3. The Channel Coordination
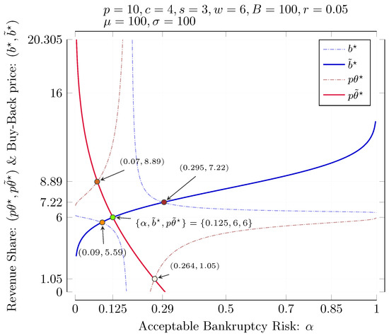
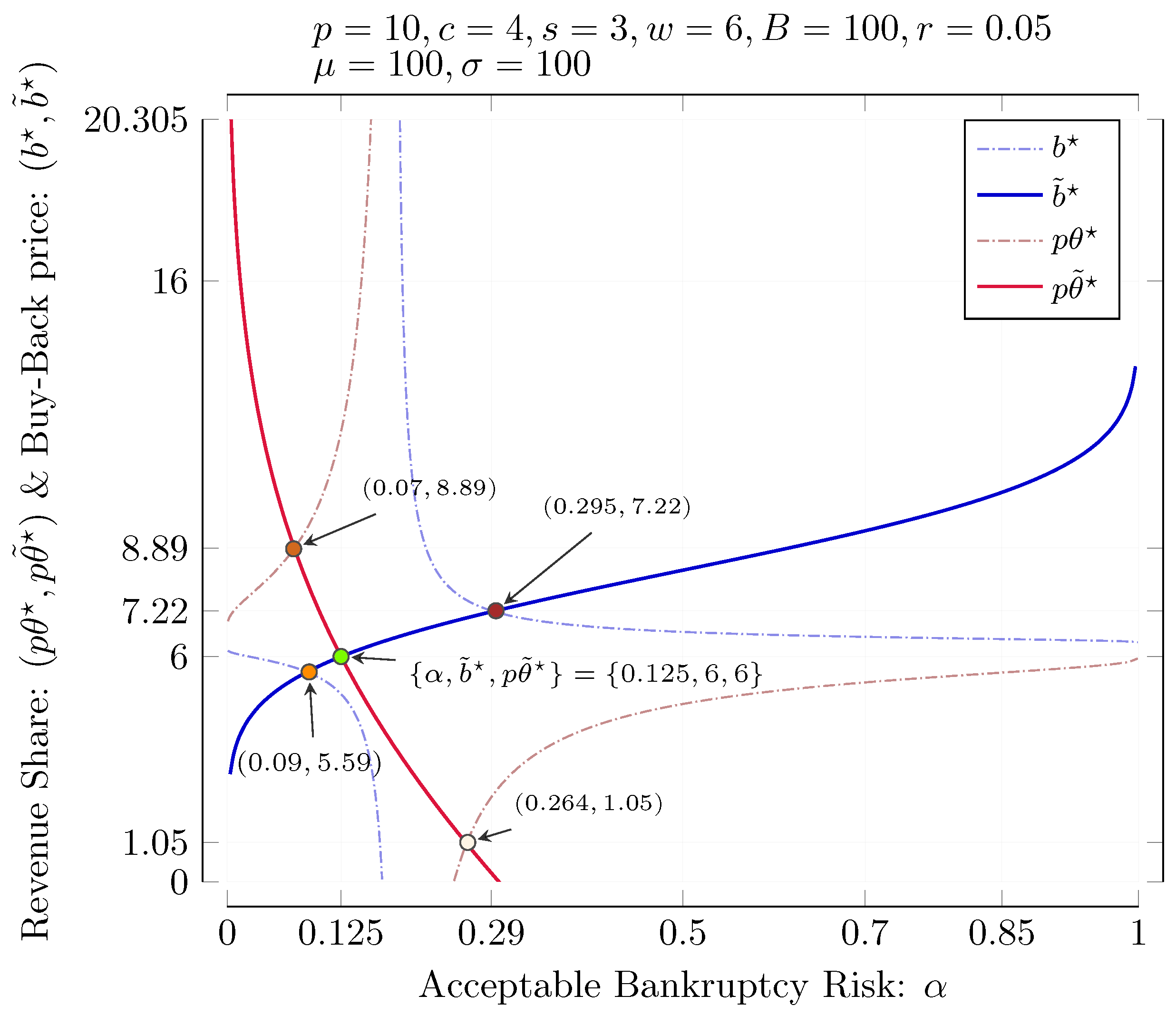
5. The Coordination When the Manufacturer Has Financial Constraints
5.1. Centralized Decision
5.2. Decentralized Decision
5.3. The Coordination
6. Conclusions
Author Contributions
Funding
Data Availability Statement
Acknowledgments
Conflicts of Interest
Abbreviations
| CSR | Corporate Social Responsible |
| NEV | New Energy Vehicles |
| SC | Supply Chain |
| SCF | Supply Chain Financing |
| SCM | Supply Chain Management |
| SSCM | Sustainable Supply Chain Management |
| RS | Revenue-Sharing Contract |
| WP | Wholesale-Price Contract |
| CS | Cost-Sharing Contract |
| IS | Investment-Sharing Contract |
| QD | Quantity-Discount Contract |
| APD | Advance-Purchase Discount Contract |
| TPTF | Two-Part Tariff Contract |
| RSBB | Revenue-Sharing and Buy-Back Contract |
| RGMS | Revenue and Green Marketing Cost-sharing Contract |
Appendix A. Proofs
Appendix A.1. Proof of Proposition 1
Appendix A.2. Proof of Proposition 2
References
- Wu, Y.; Zhang, L. Can the development of electric vehicles reduce the emission of air pollutants and greenhouse gases in developing countries? Transp. Res. Part D-Transp. Environ. 2017, 51, 129–145. [Google Scholar] [CrossRef]
- Gong, B.; Xia, X.; Cheng, J. Supply-Chain Pricing and Coordination for New Energy Vehicles Considering Heterogeneity in Consumers’ Low Carbon Preference. Sustainability 2020, 12, 1306. [Google Scholar] [CrossRef] [Green Version]
- Zhu, W.; He, Y. Green product design in supply chains under competition. Eur. J. Oper. Res. 2017, 258, 165–180. [Google Scholar] [CrossRef]
- Yu, Y.; Zhou, D.; Zha, D.; Wang, Q. Joint optimization of charging facility investment and pricing in automobile retail supply chain and coordination. Comput. Ind. Eng. 2021, 156. [Google Scholar] [CrossRef]
- Srinivasa Raghavan, N.R.; Mishra, V.K. Short-term financing in a cash-constrained supply chain. Int. J. Prod. Econ. 2011, 134, 407–412. [Google Scholar] [CrossRef]
- Hertzel, M.; Li, Z.; Officer, M.; Rodgers, K. Inter-firm linkages and the wealth effects of financial distress along the supply chain. J. Financ. Econ. 2008, 87, 374–387. [Google Scholar] [CrossRef]
- Gong, H.; Wang, M.Q.; Wang, H. New energy vehicles in China: Policies, demonstration, and progress. Mitig. Adapt. Strateg. Glob. Chang. 2013, 18, 207–228. [Google Scholar] [CrossRef]
- Zhang, X.; Wang, K.; Hao, Y.; Fan, J.L.; Wei, Y.M. The impact of government policy on preference for NEVs: The evidence from China. Energy Policy 2013, 61, 382–393. [Google Scholar] [CrossRef]
- Wang, Z.; Zhao, C.; Yin, J.; Zhang, B. Purchasing intentions of Chinese citizens on new energy vehicles: How should one respond to current preferential policy? J. Clean. Prod. 2017, 161, 1000–1010. [Google Scholar] [CrossRef]
- Song, Q.N. Study on the Mechanism for Profit Distribution in Energy Supply Chain. Adv. Mater. Res. 2013, 734–737, 1772–1780. [Google Scholar] [CrossRef]
- Linton, J.D.; Klassen, R.; Jayaraman, V. Sustainable supply chains: An introduction. J. Oper. Manag. 2007, 25, 1075–1082. [Google Scholar] [CrossRef]
- Carter, C.R.; Rogers, D.S. A framework of sustainable supply chain management: Moving toward new theory. Int. J. Phys. Distrib. Logist. Manag. 2008, 38, 360–387. [Google Scholar] [CrossRef]
- Carter, C.R.; Easton, P.L. Sustainable supply chain management: Evolution and future directions. Int. J. Phys. Distrib. Logist. Manag. 2011, 41, 46–62. [Google Scholar] [CrossRef]
- Beske, P.; Seuring, S. Putting sustainability into supply chain management. Supply Chain. Manag.-Int. J. 2014, 19, 322–331. [Google Scholar] [CrossRef]
- Dubey, R.; Gunasekaran, A.; Papadopoulos, T.; Childe, S.J.; Shibin, K.T.; Wamba, S.F. Sustainable supply chain management: Framework and further research directions. J. Clean. Prod. 2017, 142, 1119–1130. [Google Scholar] [CrossRef] [Green Version]
- Panda, S. Coordination of a socially responsible supply chain using revenue sharing contract. Transp. Res. Part E-Logist. Transp. Rev. 2014, 67, 92–104. [Google Scholar] [CrossRef]
- Hsueh, C.F. Improving corporate social responsibility in a supply chain through a new revenue sharing contract. Int. J. Prod. Econ. 2014, 151, 214–222. [Google Scholar] [CrossRef]
- Wu, Y.; Li, H.; Gou, Q.; Gu, J. Supply chain models with corporate social responsibility. Int. J. Prod. Res. 2017, 55, 6732–6759. [Google Scholar] [CrossRef]
- Closs, D.J.; Speier, C.; Meacham, N. Sustainability to support end-to-end value chains: The role of supply chain management. J. Acad. Mark. Sci. 2011, 39, 101–116. [Google Scholar] [CrossRef]
- Hong, Z.; Guo, X. Green product supply chain contracts considering environmental responsibilities. Omega 2019, 83, 155–166. [Google Scholar] [CrossRef]
- Kouvelis, P.; Zhao, W. The Newsvendor Problem and Price-Only Contract When Bankruptcy Costs Exist. Prod. Oper. Manag. 2011, 20, 921–936. [Google Scholar] [CrossRef]
- Kouvelis, P.; Zhao, W. Financing the newsvendor: Supplier vs. bank, and the structure of optimal trade credit contracts. Oper. Res. 2012, 60, 566–580. [Google Scholar] [CrossRef]
- Kouvelis, P.; Zhao, W. Supply Chain Contract Design Under Financial Constraints and Bankruptcy Costs. Manag. Sci. 2016, 62, 2341–2357. [Google Scholar] [CrossRef]
- Feng, X.; Moon, I.; Ryu, K. Supply chain coordination under budget constraints. Comput. Ind. Eng. 2015, 88, 487–500. [Google Scholar] [CrossRef]
- Xiao, S.; Sethi, S.P.; Liu, M.; Ma, S. Coordinating contracts for a financially constrained supply chain. Omega-Int. J. Manag. Sci. 2017, 72, 71–86. [Google Scholar] [CrossRef]
- He, Y.; Zhao, X. Contracts and Coordination: Supply Chains with Uncertain Demand and Supply. Nav. Res. Logist. 2016, 63, 305–319. [Google Scholar] [CrossRef]
- Xing, G.; Xia, B.; Guo, J. Sustainable Cooperation in the Green Supply Chain under Financial Constraints. Sustainability 2019, 11, 5977. [Google Scholar] [CrossRef] [Green Version]
- Li, T.; Zhang, R.; Zhao, S.; Liu, B. Low carbon strategy analysis under revenue-sharing and cost-sharing contracts. J. Clean. Prod. 2019, 212, 1462–1477. [Google Scholar] [CrossRef]
- Xin, C.; Chen, X.; Chen, H.; Chen, S.; Zhang, M. Green Product Supply Chain Coordination Under Demand Uncertainty. IEEE Access 2020, 8, 25877–25891. [Google Scholar] [CrossRef]
- Wolf, J. Sustainable Supply Chain Management Integration: A Qualitative Analysis of the German Manufacturing Industry. J. Bus. Ethics 2011, 102, 221–235. [Google Scholar] [CrossRef]











| Related Literature | Sustainability | Uncertainty Demand | Bankruptcy Risk | Constraint | Contract | Year |
|---|---|---|---|---|---|---|
| [21,22,23] | ✗ | ✓ | ✓ | Financial constraints | WP, RS | 2011, 2012, 2016 |
| [24] | ✗ | ✓ | ✗ | Budget constraints | RSBB | 2015 |
| [26] | ✗ | ✓ | ✗ | ✗ | APD | 2016 |
| [25] | ✗ | ✓ | ✓ | Financial constraints | RS, BB, QD | 2017 |
| [16,17,18] | CSR | ✗ | ✗ | ✗ | RS | 2014, 2014, 2017 |
| [28] | Low Carbon | ✗ | ✗ | ✗ | CS, RS | 2019 |
| [27] | Green SC | ✓ | ✓ | Financial constraints | IS | 2019 |
| [29] | Green SC | ✓ | ✗ | ✗ | WP, RGMS, TPTF | 2020 |
| [2] | NEV SC | ✓ | ✗ | ✗ | RS | 2020 |
| our study | NEV SC | ✓ | ✓ | Financial constraints | RSBB |
| Symbol | Description | Hypotheses |
|---|---|---|
| p | The market price per unit | |
| w | The wholesale price per unit | |
| c | The manufacturing cost per unit | |
| s | The salvage value per unit | |
| b | Buy-back price | |
| Revenue share of the retailer per unit | ||
| q | The order quantity set by the retailer | |
| B | Own funds of supply chain members | |
| r | Interest rate for the loan | |
| Acceptable bankruptcy risk | ||
| x | The customer demand | |
| The Cumulative Distribution Function (CDF) of the demand | ||
| The inverse function of |
Publisher’s Note: MDPI stays neutral with regard to jurisdictional claims in published maps and institutional affiliations. |
© 2022 by the authors. Licensee MDPI, Basel, Switzerland. This article is an open access article distributed under the terms and conditions of the Creative Commons Attribution (CC BY) license (https://creativecommons.org/licenses/by/4.0/).
Share and Cite
Li, X.; Li, Y. NEV’s Supply Chain Coordination with Financial Constraint and Demand Uncertainty. Sustainability 2022, 14, 1114. https://doi.org/10.3390/su14031114
Li X, Li Y. NEV’s Supply Chain Coordination with Financial Constraint and Demand Uncertainty. Sustainability. 2022; 14(3):1114. https://doi.org/10.3390/su14031114
Chicago/Turabian StyleLi, Xin, and Yongjian Li. 2022. "NEV’s Supply Chain Coordination with Financial Constraint and Demand Uncertainty" Sustainability 14, no. 3: 1114. https://doi.org/10.3390/su14031114
APA StyleLi, X., & Li, Y. (2022). NEV’s Supply Chain Coordination with Financial Constraint and Demand Uncertainty. Sustainability, 14(3), 1114. https://doi.org/10.3390/su14031114

