Next Article in Journal
Systems Thinking and Group Concept Mapping for Classification of Marketing Techniques in Mobility Plans
Previous Article in Journal
Coordinated Frequency Control of an Energy Storage System with a Generator for Frequency Regulation in a Power Plant
 
 
Font Type:
Arial Georgia Verdana
Font Size:
Aa Aa Aa
Line Spacing:
Column Width:
Background:
Article

Can the Energy-Consumption Permit Trading Scheme Curb SO2 Emissions? Evidence from a Quasi-Natural Experiment in China

School of Finance and Economics, Jiangsu University, Zhenjiang 212013, China
*
Author to whom correspondence should be addressed.
Sustainability 2022, 14(24), 16935; https://doi.org/10.3390/su142416935
Submission received: 30 October 2022 / Revised: 6 December 2022 / Accepted: 12 December 2022 / Published: 16 December 2022
(This article belongs to the Section Air, Climate Change and Sustainability)

Abstract

Energy and environmental pollution are major global challenges. This paper aims to examine the impact of China’s energy-consumption permit trading scheme (ECPT) on environmental pollution and the influence mechanisms. The study constructs provincial panel data for China from 2006 to 2020 and uses the difference-in-difference (DID) method to investigate the issue. Our results demonstrate that ECPT significantly curbs SO2 emissions, as confirmed by a series of statistical robustness tests. Specifically, the ECPT has significantly reduced SO2 by approximately 30.4%. Furthermore, the ECPT reduces SO2 emissions mainly by optimizing the structure of energy consumption and promoting technological innovation. In addition, the impact of the ECPT on SO2 emissions is more pronounced in the central and western provinces of China, and in provinces with lower levels of industrial structure and high environmental regulation intensity. This study provides a perspective from a developing country and makes an important contribution to the existing research by exploring the curbing effect of energy policy on SO2 emissions.

1. Introduction

Energy is a vital material and productive force in the development of society and the economy. Since the industrial revolution, the world’s energy consumption has increased dramatically and is in a state of continuous growth. According to the “BP World Energy Statistics Yearbook” (2022), global primary energy consumption rebounded sharply in 2021, reaching 595.15 EJ, up 31 EJ (or 5.8%), the largest increase in history. Due to extreme weather, economic recovery, and the deteriorating international situation, the global energy supply is experiencing serious shortages and prices are soaring [1]. The world is undergoing a serious energy crisis. In the context of the huge energy demand, the environmental pollution caused by energy consumption is another major problem that needs to be solved. Fossil energy consumption is the main cause of environmental pollution [2], which inevitably leads to large emissions of pollutants [3]. Nasreen et al. [4] used time series data for South Asian economies over the period 1980–2012 to demonstrate the relationship between energy consumption and environmental quality, arguing that the long-term use of large-scale fossil energy sources can cause severe air pollution and compromise environmental sustainability. SO2 is one of the main air pollutants produced by the consumption of fossil fuels [5]. Zhao et al. [2] found that the greater the fossil energy consumption, the greater the SO2 emissions. Specifically, the increase in the proportion of coal and crude oil is the main reason for the increase in SO2 emissions [6], while the improvement of treatment technology plays a leading role in curbing SO2 emissions [7]. The current energy structure in China is still dominated by fossil energy [8,9], and SO2 is an important air pollutant to be managed in China. China used to account for 25% of global SO2 emissions and 90% of SO2 emissions in East Asia [10]. The massive energy consumption and unbalanced energy structure in China have caused serious environmental pollution [11]. Energy and the environment are the basis for the sustainable development of society. Coordinated development of energy and the environment is an important way to achieve sustainable development [12].
In response to the global call for energy conservation and environmental protection, many countries and organizations around the world have implemented a series of policies and programs. For example, in 2015, the European Commission released the Strategic Energy Technology Plan (SET-Plan) to accelerate the energy transition by creating a full value chain of application-driven energy technology innovations [13]. Mexico’s 2015 Energy Transition Law could facilitate the integration of climate and energy policies to achieve an energy transition [14]. To ensure energy security and achieve energy conservation and environmental protection goals, the Chinese government has made many efforts at policy innovation and implementation. For example, the “Fourteenth Five-Year Plan for Modern Energy System” proposed carrying out emissions permit trading, such as SO2 emissions trading and carbon emissions trading [15]. To fully realize energy saving and environmental protection, China announced the energy-consumption permit trading scheme (ECPT) in 2016 and officially launched pilots in four provinces in 2017.
ECPT is a market-based energy policy based on Coase’s theory of property rights [16]. The ECPT pilot provinces (Zhejiang, Fujian, Henan, and Sichuan) impose limits on traditional energy consumption. Companies only have the right to use the energy within their quotas; those that exceed their quotas need to purchase the right to use the energy. Companies can profit from selling residual energy consumption rights quotas or increase costs by purchasing the energy consumption rights that exceed their quotas. Theoretically, to avoid additional production costs, companies select the following two measures. On the one hand, enterprises reduce the use of traditional energy sources so that traditional energy consumption is within the quota. This optimizes the energy consumption structure of the enterprise and reduces SO2 emissions [17]. On the other hand, companies improve energy efficiency through technological innovation [18], which in turn reduces SO2 emissions [19].
Previous studies on the environmental consequences of the ECPT have mainly focused on the impact of ECPT on energy consumption. Wang et al. [16] found that ECPT significantly reduces energy intensity. Che and Wang [20] assessed the spillover effects and regional differences in energy consumption reduction by ECPT. At present, few studies have investigated the environmental benefits of ECPT and its mechanisms. To fill this gap, this paper assesses the impact of ECPT on SO2 emissions, using the difference-in-difference (DID) approach based on 30 Chinese provinces covering 2006 to 2020.
The contributions are as follows. First, this paper assesses the environmental effects of ECPT from the perspective of pollutant emissions by using the DID approach, providing theoretical and empirical evidence from emerging economies. There is much available literature on the relationship between pilot policies and environmental pollution, such as carbon emissions trading systems [21,22]. However, there is currently a gap in the research on the environmental benefits of the ECPT pilot. This paper enriches the research on the environmental consequence of the ECPT and on the driving factors of mitigating environmental pollution. Second, we explore the transmission mechanisms of ECPT affecting SO2 emissions from energy consumption structure and technological innovation to gain insight into how ECPT affects SO2 emissions. Third, this paper probes the heterogeneous impact of ECPT on SO2 emissions as a function of province location, industrial structure, and environmental regulations. The relevant research illuminates the situation of ECPT and pollutant emissions in developing countries.
The remainder of the paper is organized as follows. Section 2 presents the literature review. Section 3 proposes the research hypothesis. Section 4 describes the method, variables, and data. Section 5 provides baseline results, robustness tests, mechanism analysis, and a heterogeneity analysis. Section 6 provides a summary and gives policy recommendations.

2. Literature Review

2.1. Institutional Background

The Chinese government first proposed the idea of implementing an energy-saving trading system in 2013. To deepen the reform and further reduce energy consumption, China issued the “General Plan for the Reform of the Ecological Civilization System” in 2015, first proposing the ECPT. “The Pilot Scheme on Paid Use and Trading System of Energy Rights” was then promulgated in July 2016. The function of the ECPT is to enhance energy efficiency, save energy, and reduce emissions. Four provinces, Zhejiang, Fujian, Henan, and Sichuan (see the colored areas in Figure 1) were selected as the pilots of the ECPT, and the program was implemented in 2017. The main elements of the policy pilot include determining energy use rights indicators, promoting the paid use of energy consumption rights, clarifying trading elements, and improving trading systems [16,20,23].
The pilot provinces are required to reasonably determine the energy consumption control targets according to their industrial structure, resource endowment, and other factors. The pilot projects in Fujian, Henan, and Sichuan adopted the storage trading model. The initial energy consumption right is allocated for free. If the energy consumption exceeds the annual quota target, the energy consumption right is purchased from the market for compliance. The Zhejiang pilot adopted the incremental trading model. The additional energy consumption needs to be obtained by utilizing paid use. According to provincial trading platform data and disclosed data, in 2021, the total annual trading volume in Zhejiang Province was 337,794 tons of standard coal; in Fujian Province, it was about 1.24 million tons of standard coal, and the transaction amount was about CNY 18.4 million [24]. The ECPT fully exerts the decisive role of the market in allocating resources, which, in turn, inspires the vigor of market participants and facilitates the flow and concentration of energy factors to green industries.

2.2. Literature Review

2.2.1. Environmental Policies and Pollutant Emissions

The impact of environmental policies on pollutant emissions has received widespread attention. Most studies have concluded that environmental policies play a positive role in reducing the emissions from many pollutants. Magnani [25] believed that the lack of environmental pollution leads to increased pollution. Du and Li [26] argued that pollutant emission reductions are achieved through environmental protection taxes and emissions trading systems. In addition, environmental policy also plays an essential contribution to the reduction of SO2, nitrogen oxide emissions, and haze [27,28,29].
In order to combat the environmental pollution brought about by industrial production, China has enacted numerous policies, especially after the “11th Five-Year Plan”. Among them, the emissions trading system (ETS) is an environmental policy directly targeting pollutant emissions in China. Many scholars have also assessed the effectiveness of ETS, but the results are controversial. Based on provincial panel data, Chen et al. [30] applied the synthetic control method to argue that the SO2 ETS only reduced the industrial SO2 emissions intensity in Tianjin, but had no impact on other regions. However, using the DID method, Wu et al. [31] determined that the SO2 ETS pilot in China played an essential role in both industrial SO2 emissions reduction and economic growth in the pilot regions of China. Du et al. [32] demonstrated the dual effect of the ETS pilot in achieving emission reductions and promoting energy efficiency from a microcompany perspective. In addition to environmental policies that directly target pollutant emissions, other policies promulgated by the Chinese government have also had a positive impact on reducing environmental pollution. Tang et al. [33] revealed that China’s eco-province policy had an overall dampening effect on the emission intensity of both COD and SO2, but there was a five-year lag in the effect of the policy. Using data from prefecture-level cities in China from 2003–2016, Li and Zhao [34] found that the national forest city construction led to a decrease of 12.14% in PM2.5 concentration and 4.29% in SO2 emissions. Yu et al. [35] indicated that, after the implementation of environmental accountability, companies significantly reduced their SO2 emissions under the intensity of control by local governments. Yuan et al. [36] used the event study method to explore the central environmental inspection system, which considerably decreased the air quality index and the aggregation of PM2.5, PM10, SO2, NO2, and CO.

2.2.2. Energy-Consumption Permit Trading Scheme (ECPT)

To limit excessive energy consumption and reduce environmental pollution, countries have formulated relevant energy policies. The EU White Certificate Scheme is representative. To improve energy efficiency among end-users, the White Certificate Scheme was first created in Italy in July 2004 and later implemented in the UK, France, Poland, and other countries. The White Certificate Scheme has a notably positive effect on promoting energy conservation and improving industrial energy efficiency [37].
Inspired by Western countries, China has established a range of trading systems based on economic and environmental requirements, such as the ECPT. Some scholars have explored the impact of the ECPT. Wang et al. [16] constructed a Propensity Score Matching-Difference-in-Differences model and conducted an empirical study using provincial panel data. The results show that ECPT can reduce energy intensity by 6.4–10.2%, and there is a significant spatial spillover effect. Further research by Zhang et al. [23] yielded an average energy saving of 4.3 Mtce in the pilot provinces from 2016 to 2019 through energy structure adjustment after policy implementation. Wang et al. [38] adopted a nonparametric optimization approach to compare the potential benefits of a command-and-control (CAC) policy with ECPT in China. Wang et al. [39] compared China’s ECPT and carbon ETS and used the DEA model to construct and evaluate the joint trading system and separate trading system of the two systems.
After the pilot implementation of ECPT, the existing literature mainly focuses on the analysis of the impact of ECPT on energy consumption (including total energy consumption, energy consumption structure, and energy consumption intensity) and the construction of a trading platform for energy use rights, but lacks due attention to the environmental benefits of ECPT. As energy policies are closely related to SO2 emissions, there is a big gap in the studies on the relationship between ECPT and SO2 emissions. This study investigates the relationship between ECPT and SO2 emissions in terms of the environmental benefits of ECPT and aims to fill a gap in existing research.

3. Research Hypotheses

Environmental problems have externalities, and there are two economic instruments to internalize external problems. One is the tax and subsidy instruments proposed by Pigou [40], and the other is the use of private contracts and quota trading proposed by Coase [41]. The ECPT is a market-based energy policy based on Coase’s theory of property rights [16]. The theorem asserts that the reduction of negative externalities in the economy can be achieved through trade negotiations, that is, by clearly defining property rights and using market mechanisms to promote efficient allocation to achieve Pareto optimality. On the one hand, the pilot provinces set quotas for enterprises in accordance with the total energy consumption allocated by the central government. When the energy consumption is within the quota, there is no need to purchase additional energy use rights, but the part that exceeds the quota needs to be purchased, otherwise, the company will be penalized. On the other hand, when the price of the energy-consumption rights quota in the trading market is above the marginal cost of energy saving, enterprises can obtain economic benefits by selling the remaining energy-consumption targets, which motivates them to reduce energy use. That is, the ECPT can improve energy allocation efficiency, reduce total energy consumption, and thus reduce SO2 emissions. Based on the theoretical analysis, the research hypothesis is as follows.
H1. 
The implementation of the ECPT can reduce SO2 emissions in the pilot provinces.
The ECPT limits the amount of energy used by enterprises. There are two possible measures that enterprises can take. The first is to reduce the use of energy types that are restricted by policy (traditional fossil energy); the second is to increase investment in R & D and innovate energy-saving technologies and equipment. The ECPT does not control renewable energy consumption, which gives enterprises an incentive to reduce their primary energy use and increase renewable energy use, leading to the optimization of the energy consumption structure. Optimizing the energy consumption structure is the key to alleviating environmental problems [42]. The more rational the energy consumption structure, the more pollutant emissions can be curbed [17,43]. Based on the theoretical analysis, the research hypothesis is as follows.
H2. 
The ECPT achieves the suppression of SO2 emissions through the energy consumption structure.
According to the Porter hypothesis [44], energy use quotas, as a scarce commodity, are beneficial in inducing enterprises to develop energy-efficient technologies and products. The ECPT promotes technological innovation in enterprises mainly in terms of cost pressure and financial incentives. On the one hand, the ECPT constrains the energy usage of enterprises, making them face pressure to save energy and forcing them to make technological innovations [18]. On the other hand, the energy savings resulting from innovation can provide economic profit to the company, thus providing an incentive for technological innovation. The impact of technological innovation on pollutant emissions can be analyzed at two levels. At the societal level, technological innovation is an essential path to change the crude development model of high input and high consumption, thus promoting sustainable economic development and reducing pollutant emissions. At the enterprise level, enterprises engage in clean production through technological innovation as a way to reduce harmful air pollutants [19]. Based on the theoretical analysis, the research hypothesis is as follows.
H3. 
The ECPT achieves the suppression of SO2 emissions through technological innovation.
The transmission mechanism of policy effects is shown in Figure 2.

4. Model, Variables, and Data

4.1. Econometric Model

DID, a common approach to policy evaluation, is based on a counterfactual to assess changes and differences in the dependent variable between the two situations of policy implementation and nonimplementation by means of counterfactual tests. DID has the advantage of avoiding endogeneity problems; hence, the main approach in this paper is to use the DID model [45]. To test Hypothesis 1, that is, the effect of the ECPT on SO2 emissions, a DID model was conceived, as shown in Equation (1):
l n S O 2   i t = β 0 + β 1 T r e a t i × T i m e t + m = 1 7 α m C o n t r o l m i t + δ i + λ t + ε i t
where i and t denote province and year respectively. l n S O 2   i t means the pollutant emissions in province i in year t. Treati is the dummy variable; if province i is a pilot province (Zhejiang, Henan, Fujian, Sichuan), then Treati = 1, otherwise, Treati = 0. Timet is the time dummy variable; if t ≥ 2017, then Timet = 1, otherwise, Timet = 0. Although the policy was enacted in 2016, it was officially implemented in 2017. This paper, therefore, considers 2017 to be the first year in which the pilot provinces were affected by the ECPT. Control is a set of control variables affecting SO2 emissions, including population density (PD), GDP per capita (PGDP), foreign direct investment (FDI), R & D investment intensity (RD), forest cover (FC), industrial enterprise development status (IED), and marketization level (ML). δ i denotes a province-fixed effect and λ t denotes a time-fixed effect. ε i t is the error term, which is assumed to be normally distributed with mean zero and constant variance [46].
To test Hypotheses 2 and 3, the paper draws on Baron and Kenny [47] to construct the following test of mediating effects:
M V i t = β 0 + β 2 T r e a t i × T i m e i + m = 1 7 α m C o n t r o l i m t + δ i + λ i + ε i t
l n S O 2   i t = β 0 + β 3 T r e a t i × T i m e t + β 4 M V i t + m = 1 7 α m C o n t r o l m i t + δ i + λ i + ε i t
where M V i t is the mediating variable—the energy consumption structure (ES) and technology innovation (TI), respectively.

4.2. Variables

4.2.1. Explained Variable

The explanatory variable is SO2 emissions (lnSO2). SO2 is mainly formed by the consuming of fossil fuels in the manufacturing process of industrial enterprises [48,49]. China’s industrial SO2 emissions level ranks ahead of much of the rest of the world, so industrial SO2 emissions represent the level of industrial air pollution to a large extent. This study therefore draws on relevant previous papers [50] and chooses industrial SO2 emissions as the explanatory variable. Based on existing studies, the logarithm of total industrial SO2 emissions is finally selected as the explanatory variable in this paper [51].

4.2.2. Explanatory Variable

The explanatory variable T r e a t i × T i m e t is the multiplicative term of the dummy variables Treati and Timet. Treat equals 1 if the province is a pilot region; if not, it equals 0. Time equals 1 each year since the province became a pilot province; before that, it equals 0.

4.2.3. Control Variables

Referring to previous studies [27,52,53,54,55], we selected the following control variables. Population density (PD) is expressed in terms of the number of people per square kilometer of land area. Generally speaking, the more densely populated a region, the greater the energy demand and therefore the greater the SO2 emissions [19]. Gross domestic product per capita (PGDP) is defined in terms of the ratio of the area’s GDP to the number of people in the region. Economic development can be measured as GDP per capita, and environmental pollution is closely linked to economic development [56]. Foreign direct investment intensity (FDI) is represented in terms of the ratio of regional FDI volume to regional GDP. Foreign direct investment deteriorates the air quality by increasing pollutant emissions and accelerating resource depletion [57]. R & D investment intensity (RD) is presented in terms of the ratio of regional internal expenses on R & D to regional GDP. Although there are both positive and negative aspects of the impact of R & D investment on the environment [58,59], existing studies have demonstrated that R & D investment causes environmental change. Forest cover (FC) is quantified by the ratio of the area covered by forest to the total land area of a region. Forests significantly reduce SO2 concentrations and greenery improves air quality [52]. Industrial enterprise development (IED) is the ratio of total current assets of industrial companies above the regional scale to regional GDP. The current assets of industrial enterprises are an important indicator of the financial position of industrial enterprises. The development of industrial enterprises increases regional pollutant emissions. The data on the marketization level (ML) are derived from the “China Marketization Index by Province Report” (2021) and comprehensively reflect changes in various aspects of marketization. Market-based trading mechanisms are the foundation of the ECPT. More market-based regions have a greater number of energy transactions, thus better serving to reduce pollutant emissions.

4.2.4. Mediating Variable

The intermediate variables are energy consumption structure (ES) and technological innovation (TI). Energy consumption structure (ES) is measured as the rate of coal consumption to total energy consumption [60]. The energy structure closely influences the level of pollution emissions [61]. Of China’s total SO2 emissions, about 92% are generated by coal. The use of coal as a proportion of the energy structure is representative and reasonable in China. Technological innovation (TI) is expressed as the number of patents granted in a year (in 100,000) [62]. Patent applications and patents granted represent the technological innovation output of a region [63]. Innovative technologies are the basis for promoting pollution reduction techniques and equipment, which, in turn, have the effect of reducing pollutant emissions.

4.3. Data Sources

The panel data are aggregated across 30 Chinese provinces, including 450 samples spanning the period 2006 to 2020. The reason for selecting only 30 provinces is that there are missing values for the variables lnSO2, FDI, IED, ES, and TI for Tibet, Hong Kong, Macao, and Taiwan. There are two reasons why the sample covers only 15 years of data. Firstly, there is a post-2006 phase in China. The Chinese government has placed much greater emphasis on energy and the environment since the “11th Five-Year Plan” in 2006 and has enacted a range of governance policies. Secondly, the main data sources are the “China Statistical Yearbook” and the “China Environment Statistical Yearbook”, which are only up to date to 2020, with post-2020 data not yet published.
The data of lnSO2 and FC are from the “China Environment Statistical Yearbook”. The data on PGDP, PD, FDI, RD, and IED are from the “China Statistical Yearbook”. The data on ML are available from the “China Subprovincial Marketization Index Report”. Descriptive statistics for the data are shown in Table 1.

4.4. The Current Situation of Energy Consumption and Environment in China

According to the “BP World Energy Statistics Yearbook” (2022), China’s total energy consumption in 2021 was 157.65 EJ, which was the highest in the world and accounted for 26.5% of the total global consumption. China ranked first in the world for its consumption of coal, accounting for 53.8% of the world’s total. As illustrated in Figure 3, China’s total energy consumption continued to rise from 2006 to 2020, but the growth rate declined after 2015. The proportion of coal consumption was above 50% but declined after 2011. The share of oil consumption was relatively stable, and the percentage of natural gas consumption rose slowly. The current state of energy consumption in China is caused by two main factors. First, in China, the energy consumption structure is mainly determined by the current situation of natural resources, which is “rich in coal, short on oil and gas”, and means China’s pattern of using coal as the main energy source may exist for a long time. Moreover, the usage of energy is relatively inefficient. In order to support economic development, China’s high-energy-consuming enterprises have suffered from low-level excessive development for a long period in the past, resulting in high energy consumption and a serious waste of resources. To mitigate environmental pollution, the energy consumption structure should be gradually upgraded by reducing the consumption of traditional energy sources such as coal and encouraging the development and consumption of clean and renewable energy. Moreover, improving energy efficiency is also an effective way to reduce environmental pollution.
China’s SO2 emissions decreased from 25.888 million tons in 2006 to 3.182 million tons in 2020. The largest share of SO2 emissions was industrial SO2, which accounted for 86.4% of national SO2 emissions in 2006 and 79.6% of industrial SO2 in 2020. As can be seen from Figure 4, specifically in 2006, industrial SO2 pollution was concentrated in northern China, mainly in Inner Mongolia, Hebei, Henan, Shandong, and Tianjin, where heavy industry was more developed and, thus, industrial SO2 pollution was relatively serious. In addition, industrial SO2 concentrations in Liaoning, Shanxi, Jiangsu, Sichuan, Guizhou, and Guangdong were also relatively high. Compared with 2006, SO2 concentrations in these heavily polluted areas in China in 2020 have all decreased and improved overall, especially in northern China, where the area of pollution has been reduced.

5. Empirical Results

5.1. A Brief Comparative Analysis before and after the Pilot

Table 2 reports the comparison of the means of the explanatory variables in the pilot and nonpilot provinces before and after the pilot. The results show that SO2 emissions were significantly lower in both the treatment and control groups after the implementation of the ECPT, but the treatment groups reduce SO2 emissions more than the control group, and this difference is statistically significant. Specifically, ECPT contributed 30.4% to the reduction of SO2 emissions in the pilot provinces.

5.2. Baseline Regression Results

The empirical results of Equation (1) are given in Table 3. Column (1) controls for province- and time-fixed effects only, and seven control variables are added in column (2). The coefficient of Treat × Time is significantly negative at the 1% level regardless of whether or not control variables are included, showing that the implementation of the ECPT can significantly reduce SO2 emissions in the pilot provinces. According to column (2), the estimated coefficient of the Treat × Time is –0.304, indicating that the implementation of the ECPT reduces SO2 emissions in the pilot provinces by 30.4% on average. Hypothesis H1 is, therefore, verified. Whether from the perspective of cost control or economic incentives, the ECPT restricts the uncontrolled use of energy by high-energy-consuming enterprises, which reduces SO2 emissions.

5.3. Common Trend Test and Dynamic Analysis

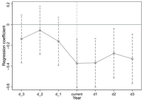
A prerequisite for using the DID method is that the treatment and control groups must have an identical time trend before the ECPT policy [64]. This paper checks whether the lnSO2 between the pilot and nonpilot provinces satisfies the common trend assumption. We used the event study approach for parallel trend hypothesis and dynamic effects analysis and built the following regression model, drawing on Beck et al. [65] and Cao et al. [66]:
l n S O 2   i t = β 0 + β 1 d i t 3 + β 2 d i t 2 + β 3 d i t 1 + β 4 c u r r e n t + β 5 d i t 1 + β 6 d i t 2 + β 7 d i t 3 + m = 1 7 α m C o n t r o l m i t + δ i + λ t + ε i t
where d i t ± k means that province i is confirmed to be a pilot-province. If province i serves as the pilot-province in year t, then d i t ± k equals 1 for all lead periods t+k and lag periods tk; otherwise, it equals 0.
The regression result of Equation (4) is presented in Table 4. The coefficients of d−3, d−2, and d−1 are not significant, which indicates that the treatment and control groups satisfy the common trend assumption. However, after the implementation of the ECPT policy, the coefficients of current, d1, d2, and d3 clearly decreased and were statistically negative, proving that the ECPT policy had a significant curbing effect on SO2 emissions. To show the parallel trend test more visually, the coefficients of the model were plotted as illustrated in Figure 5. As seen from Table 4, SO2 emissions fell by 37.5% in the year the policy was implemented, 36.9% in the first year, 27.8% in the second year, and 33.1% in the third year. There have been fluctuations in the effect of the policy, but overall, SO2 emissions have decreased significantly.

5.4. Robustness Test

5.4.1. Placebo Test

One possible issue with our methodology is that the discrepancy between the treatment and control groups after ECPT implementation may be driven by other policies or random factors. To test whether the policy effects in the baseline regressions are due to other unobservable factors, we referred to Abadie et al. [67] and constructed a placebo test with randomly generated ECPT pilots. This test randomly selected four provinces as the treatment groups, so that Treat = 1; the rest of the provinces were the control group, so that Treat = 0. The regression was performed according to the baseline model after repeating the random sampling 1000 times. The results of the placebo test can be obtained from Figure 6, where the regression coefficients of Treat × Time are concentrated around 0, distinct from the baseline regression coefficient of –0.304. The distribution of p-values shows that the majority were greater than 0.1, indicating that the regression coefficients of the randomly generated treatment groups were mostly insignificant at the 10% level. This confirms that the suppression of SO2 emissions by the ECPT did not originate from unobservable factors and proves the robustness of the model results.

5.4.2. PSM-DID (Difference-in-Difference Propensity Score Matching)

The DID method suffers from sample selection bias in use. The government will consider the economic development level, energy-saving potential, resource endowment, and development base when selecting pilot provinces, resulting in pilot provinces having an advantage over nonpilot provinces. Such sample selection probably has endogeneity problems, leading to biased study results. Therefore, we further utilized the PSM-DID method for robustness testing to overcome systematic differences between the pilot provinces and nonpilot provinces and mitigate estimation bias.
First of all, we chose whether the sample regions carry out the ECPT as the dependent variable and population density (PD), GDP per capita (PGDP), foreign direct investment (FDI), R & D investment intensity (RD), forest coverage (FC), industrial enterprise development (IED), and marketization level (ML) as the independent variables. We then performed a regression using the Probit model to calculate propensity scores. The treatment and control groups were matched according to the propensity score values, and the matched samples were re-estimated by the DID model. Considering the robustness of the results, nearest-neighbor matching, radius matching, kernel matching, and Mahalanobis distance matching were adopted. Table 5 summarizes the results of the PSM-DID regression. The estimated values of the Treat × Time were still significantly negative at the 1% level, further validating the conclusion that the ECPT significantly suppresses SO2 emissions.

5.4.3. Other Robustness Tests

Exclude the influence of other policies. To achieve a certain environmental goal, the Chinese government usually develops a range of relevant policy measures. Therefore, in the process of estimating the impact of the ECPT on SO2 emissions, it might be confounded by other environmental policies, leading to over- or underestimation of the regression results. During the sample period selected for this paper (2006–2020), China implemented the SO2 Emissions Trading Pilot policy (SETP) in 2007, the Carbon Emissions Trading Pilot policy (CETP) in 2013, and the Green Financial Reform Pilot policy (GFRP) in 2017. All three policies directly affected environmental pollution and have been piloted extensively [68,69], with a wide range of impacts in China. To avoid the interference of these three policies with the research results, we included time dummy variables for these three policies and then re-ran the regressions. The regression results are presented in columns (1)–(3) of Table 6. As can be seen from Table 6, the estimated coefficients of the ECPT were still significantly negative at the 1% level, which indicates that the results of the ECPT were robust to the suppression of SO2 emissions.
Shorten the sample time. In this paper, we referred to Zhu and Lu [48], and controlled for a shortened sample time of 2010 to 2018. The regression results are shown in column (3) of Table 6. After shortening the sample time, the regression results demonstrate that the ECPT significantly suppressed SO2 emissions and was significantly negative at the 5% level, which is consistent with the baseline regression findings and further supports the original conclusions.
Remove the samples of municipalities. The municipalities directly under the central government are different from other provinces in respect of economic development level and resource endowment. These four municipalities (Beijing, Tianjin, Shanghai, and Chongqing) were excluded from the sample. The regression results are presented in column (5) of Table 6. The estimated coefficient of Treat × Time was still significantly negative at the 1% level. Hypothesis H1 is still verified.

5.5. Impact Mechanism

Based on the above research results, we believe that the implementation of ECPT can curb the emissions of SO2. However, the question of how ECPT affects SO2 emissions still needs further exploration. To verify the validity of Equations (2) and (3), we proposed that ECPT indirectly influences SO2 emissions through energy consumption structure and technological innovation. The estimation results of Equations (2) and (3) are shown in Table 7.
As presented in column (2), the coefficient of the ECPT is significantly negative at the 1% level, proving that the implementation of the ECPT can effectively reduce the proportion of coal use and optimize the energy consumption structure. The results shown in column (3) reveal that the improvement of energy consumption structure can effectively curb SO2 emissions. The empirical results confirm that the energy consumption structure is a pathway for ECPT to reduce SO2 emissions. Theoretically, under the conditions of energy consumption restriction and unrestricted renewable energy consumption, enterprises will reduce their usage of traditional fossil fuel energy and increase renewable energy considering the additional costs and benefits, thus optimizing the energy consumption structure and reducing SO2 emissions. Given this, Hypothesis H2 is verified.
Columns (4) and (5) in Table 7 examine whether the ECPT curbs SO2 emissions through technological innovation. Column (4) of Table 7 shows that the ECPT promotes technological innovation at the 10% level, verifying the Porter effect of the ECPT. Column (5) indicates that technological innovation suppresses SO2 emissions at the 1% level. According to the mediating effects model proposed by Baron and Kenny [47], the same control variables are used in models (1)–(3), so the R2 is different. The empirical results mean that technological innovation is another pathway to reduce SO2 emissions with the ECPT. Enterprises engage in technological innovation to avoid additional costs. This leads enterprises to enhance energy efficiency and reduce energy waste, thus reducing SO2 emissions. Given this, Hypothesis H3 is verified.

5.6. Heterogeneity Test

According to the results of the baseline regression, the ECPT effectively suppresses SO2 emissions. However, due to the different economic basis and resource endowments of different provinces, the same policy has been implemented differently in different regions. Therefore, we further examine the heterogeneous effects of the ECPT on SO2 emissions from three aspects: geographical location, industrial development, and environmental regulation.

5.6.1. Heterogeneity of Geographic Location

Chinese provinces strongly differ in terms of their economic development level, energy-saving potential, and industrial structure. The eastern regions of China are more economically developed, with a gradually increasing share of tertiary industries in their industrial structure and a greater potential for energy saving. The central and western regions are less economically developed, with a large share of industry and less energy-saving potential. The impact of the ECPT on SO2 emissions may vary by province. In this paper, the sample provinces are split into two groups, the eastern region and the central and western regions. The regression results of heterogeneity analysis according to the geographic location are shown in columns (1) and (2) of Table 8. The coefficient of Treat × Time is significantly negative (–0.592) in the central and western regions; the coefficient for the eastern region is not significant. This suggests that the ECPT is only able to mitigate SO2 emissions in the central and western regions. More specifically, the eastern region includes Beijing, Tianjin, Hebei, Liaoning, Shanghai, Jiangsu, Zhejiang, Fujian, Shandong, Guangdong, and Hainan; and the central and western region includes Shanxi, Jilin, Heilongjiang, Henan, Hubei, Hunan, Anhui, Jiangxi, Inner Mongolia, Chongqing, Sichuan, Guangxi, Guizhou, Yunnan, Shaanxi, Gansu, Qinghai, Ningxia, and Xinjiang. The reason is that the eastern region has a relatively high share of tertiary industries. The structural shift to tertiary land can significantly reduce energy consumption [70] and therefore SO2 emissions. Industrial restructuring contributes significantly to SO2 emissions [71,72]. China’s industries are mostly clustered in the central and western regions, where SO2 emissions are relatively high and the marginal emissions reduction effect of the ECPT is strong.

5.6.2. Heterogeneity of Industrial Structure Levels

SO2 emissions are mainly from secondary industry, and the emissions reduction effectiveness of the ECPT may vary depending on the industrial structure. According to Zhao et al.’s [73] methodology, the ratio of the tertiary industry to the secondary industry is adopted as a proxy for the industrial structure. Based on the median of the ratio of the tertiary industry to secondary industry, the sample is divided into a high industrial structure level and a low industrial structure level, and the grouped regression results are shown in columns (3) and (4) of Table 8. In the low industrial structure level group, the coefficient of Treat × Time is significantly negative; in the high industrial structure level group, the coefficient of Treat × Time is negative, but not statistically significant. The secondary industry (including mining, manufacturing, etc.) is a high-energy-consuming industry and a major source of environmental pollution. Regions with lower industrial structure levels emit more SO2, and the marginal pollution reduction effect of the ECPT is more evident.

5.6.3. Heterogeneity in the Intensity of Environmental Regulation

The environmental benefits of ECPT in China are influenced by the overall environmental regulatory environment. First, ECPT as a market-based environmental regulation plays the leading role of the market in resource allocation [74]. Through market-oriented environmental regulation, companies can receive more incentives and benefits as a way to better attract corporate attention [75]. However, the ECPT is currently in a pilot phase and the system’s policies and related regulations are still not comprehensive. Other environmental regulations play a positive role in the better implementation of the ECPT. Moreover, the Porter hypothesis pointed out that appropriate environmental regulations stimulate firms’ green innovation, which is one of the mechanisms of influence of the ECPT on SO2 emissions tested above [44]. Instituting environmental regulations plays an important role in technological innovation [76]. Hence, this paper examines the heterogeneity of SO2 emissions after the implementation of ECPT in provinces with different intensities of environmental regulation. Higher environmental regulation intensity is an essential driver of regional pollution reduction [77]. As the amount of investment in pollution management reflects the local government’s concern for the environment and the intensity of control, following Xia et al. [78], we used the ratio of completed investment in industrial pollution control to the value added of the secondary industry to characterize the degree of environmental regulation. According to the median ratio of completed investment in industrial pollution control to the value added of secondary industry, the sample was divided into two groups, high and low environmental regulation intensity, and the results are as indicated in columns (5) and (6) of Table 8. In the group with low environmental regulation intensity, the coefficient of Treat × Time was significantly negative (–0.201) at the 5% significance level; in the group with high environmental regulation intensity, the coefficient of Treat × Time was significantly negative (–0.499) at the 1% significance level. The results demonstrate that ECPT is more effective in provinces where the intensity of environmental regulation is higher. Specifically, provinces with high environmental regulation intensity include Yunnan, Inner Mongolia, Jilin, Tianjin, Ningxia, Shandong, Shanxi, Guangxi, Xinjiang, Hebei, Gansu, Guizhou, Liaoning, Shaanxi, and Qinghai. ECPT, as a market-based policy, compensates for the lack of command-based environmental regulation. The level of command-based environmental regulation is too strict, while the level of market-based environmental regulation is more reasonable. Market-based environmental regulation is more effective for energy efficiency [79].

6. Conclusions and Policy Recommendations

At present, energy and environmental issues are important global challenges that need to be addressed. China has proposed ECPT to achieve energy security and environmental protection, but few studies have explored the effect of ECPT on environmental pollution. The objective of this paper is to examine the impact of ECPT on environmental pollution.
In this paper, the ECPT pilot implemented in 2017 in China was adopted as a quasi-natural experiment to study the effect of the ECPT on SO2 emissions and its mechanisms based on the DID method. The key conclusions are summarized below. First, our results demonstrated that ECPT significantly curbs SO2 emissions, as confirmed by a series of statistical robustness tests. Furthermore, energy consumption structure optimization and technological innovation are the main influence mechanisms for ECPT to suppress SO2 emissions. In addition, the effect of the ECPT on SO2 emissions is more pronounced for Chinese provinces located in the central and western regions, provinces with low industrial structure levels, and provinces with higher environmental regulation intensity. Our study showed that the implementation of the Chinese ECPT pilot has contributed significantly to the reduction of SO2 emissions in four pilot provinces (Zhejiang, Henan, Fujian, and Sichuan). As an institutional innovation in the practice of green development, the ECPT is of great value to environmental protection and sustainable development. On this basis, we hope that the study will not only broaden the research on the impact of energy policies on environmental pollution but also enrich the practical experience of emerging economies in environmental pollution management.
The research in this paper can provide insights into ECPT and environmental governance for China and other developing countries. First, the study shows that ECPT significantly suppresses SO2 emissions in the pilot provinces (Zhejiang, Fujian, Henan, and Sichuan). Therefore, the government should continue to promote and improve the ECPT in order to fully play the role of market mechanisms in environmental governance. The ECPT pilot provinces should summarize the pilot experience and extend it. In the process of extending the experience, the resource endowment and economic development of each province should be taken into account in China. If a province has a high degree of similarity to Zhejiang Province, the incremental trading model can be adopted. If a province has a high degree of similarity with Fujian, Henan, and Sichuan provinces, a storage trading model can be adopted. By accumulating experience, provinces improve the energy-use rights trading system and eventually establish a national energy-use rights trading platform. Second, considering the heterogeneity of the impact of ECPT on SO2 emissions, the government should gradually and methodically expand the scope of the pilot project. The pilot provinces should give priority to provinces in central and western China, provinces with a low share of tertiary industries, and provinces with a high intensity of environmental regulations. Third, the key to ECPT curbing SO2 emissions lies in optimizing the energy consumption structure and promoting technological innovation. As far as the government is concerned, it should reduce the dependence of economic development on traditional fossil fuel energy sources. The ECPT pilot provinces should increase tax incentives or subsidies for clean energy and renewable energy consumption to promote a cleaner energy consumption structure. The government should guide the flow of capital to green and clean industry and increase financial support for the technological innovation behavior of enterprises. Enterprises, meanwhile, should take the initiative to conduct technological innovation to achieve energy saving and emissions reduction goals.
Although this study analyzes the impact of ECPT on SO2 emissions, the influence mechanisms, and the heterogeneous effects, the following shortcomings may still exist. First, the sample size is not large enough. The empirical study was only based on provincial panel data, which may affect the reliability of the estimation. Second, we did not take into account the issue of industrial transfer and pollution transfer. When the implementation of ECPT in a pilot province makes the cost to the enterprise greater than the profit from energy savings, some enterprises may select to move their production to a nonpilot province. This results in a reduction of SO2 emissions in the pilot provinces, but the root cause is the transfer of pollution due to the transfer of enterprises. In our future research, we will explore the effects of ECPT based on prefecture-level and above cities in China, and discuss the pollution transfer.

Author Contributions

Conceptualization, H.J.; methodology, M.L. and H.J.; formal analysis, M.L. and H.J.; data curation, M.L.; writing—original draft preparation, M.L. and H.J.; writing—review and editing, M.L. and H.J.; supervision, H.J.; funding acquisition, M.L. and H.J. All authors have read and agreed to the published version of the manuscript.

Funding

This research was funded by Jiangsu University’s 21st batch of research projects for university students (grant number 21C067) and National Natural Science Foundation of China: Central Environmental Regulation and Local Government Industrial Land Allocation: Influencing Mechanism and Policy Options (grant number 72104091).

Institutional Review Board Statement

Not applicable.

Informed Consent Statement

Not applicable.

Data Availability Statement

The main data sources for this study are China Statistical Yearbook (https://data.cnki.net/yearbook/Single/N2021110004, accessed on 15 July 2022) and China Environment Statistical Yearbook (https://data.cnki.net/yearbook/Single/N2022030234, accessed on 15 July 2022). In addition, the text section cites selected data from the BP World Energy Statistics Yearbook (2022) (https://www.bp.com/en/global/corporate/energy-economics/statistical-review-of-world-energy.html?_ga=2.254188872.1352558147.1668562778-476213073.1665191846, accessed on 5 September 2022).

Conflicts of Interest

The authors declare no conflict of interest.

References

  1. Siksnelyte-Butkiene, I. Combating Energy Poverty in the Face of the COVID-19 Pandemic and the Global Economic Uncertainty. Energies 2022, 15, 3649. [Google Scholar] [CrossRef]
  2. Zhao, H.R.; Guo, S.; Zhao, H.R. Impacts of GDP, Fossil Fuel Energy Consumption, Energy Consumption Intensity, and Economic Structure on SO2 Emissions: A Multi-Variate Panel Data Model Analysis on Selected Chinese Provinces. Sustainability 2018, 10, 657. [Google Scholar] [CrossRef]
  3. Yilanci, V.; Bozoklu, S.; Gurus, M.S. Are BRICS countries pollution havens? Evidence from a bootstrap ARDL bounds testing approach with a Fourier function. Sustain. Cities Soc. 2020, 55, 102035. [Google Scholar] [CrossRef]
  4. Nasreen, S.; Anwar, S.; Ozturk, I. Financial stability, energy consumption and environmental quality: Evidence from South Asian economies. Renew. Sustain. Energy Rev. 2017, 67, 1105–1122. [Google Scholar] [CrossRef]
  5. Yuan, X.L.; Mi, M.; Mu, R.M.; Zuo, J. Strategic route map of sulphur dioxide reduction in China. Energy Policy 2013, 60, 844–851. [Google Scholar] [CrossRef]
  6. Wang, Q.W.; Wang, Y.Z.; Zhou, P.; Wei, H.Y. Whole process decomposition of energy-related SO2 in Jiangsu Province, China. Appl. Energy 2017, 194, 679–687. [Google Scholar] [CrossRef]
  7. Yang, X.; Wang, S.J.; Zhang, W.Z.; Li, J.M.; Zou, Y.F. Impacts of energy consumption, energy structure, and treatment technology on SO2 emissions: A multi-scale LMDI decomposition analysis in China. Appl. Energy 2016, 184, 714–726. [Google Scholar] [CrossRef]
  8. Zhang, P.; Wu, J.N. Performance targets, path dependence, and policy adoption: Evidence from the adoption of pollutant emission control policies in Chinese provinces. Int. Public Manag. J. 2020, 23, 405–420. [Google Scholar] [CrossRef]
  9. Wu, J.N.; Xu, M.M.; Zhang, P. The impacts of governmental performance assessment policy and citizen participation on improving environmental performance across Chinese provinces. J. Clean. Prod. 2018, 184, 227–238. [Google Scholar] [CrossRef]
  10. Lu, Z.; Streets, D.G.; Zhang, Q.; Wang, S.; Carmichael, G.R.; Cheng, Y.F.; Wei, C.; Chin, M.; Diehl, T.; Tan, Q. Sulfur dioxide emissions in China and sulfur trends in East Asia since 2000. Atmos. Chem. Phys. 2010, 10, 6311–6331. [Google Scholar] [CrossRef]
  11. Zeng, J.J.; Liu, T.; Feiock, R.; Li, F. The impacts of China’s provincial energy policies on major air pollutants: A spatial econometric analysis. Energy Policy 2019, 132, 392–403. [Google Scholar] [CrossRef]
  12. Zhao, W.B.; Zhang, Y.Y.; Mi, S.J.; Wu, H.Q.; He, Z.Y.; Qian, Y.; Lu, X.C. Technological and environmental advantages of a new engine combustion mode: Dual Biofuel Intelligent Charge Compression Ignition. Fuel 2022, 326, 125067. [Google Scholar] [CrossRef]
  13. Soriano, F.H.; Mulatero, F. EU Research and Innovation (R&I) in renewable energies: The role of the Strategic Energy Technology Plan (SET-Plan). Energy Policy 2011, 39, 3582–3590. [Google Scholar]
  14. von Lupke, H.; Well, M. Analyzing climate and energy policy integration: The case of the Mexican energy transition. Clim. Policy 2020, 20, 832–845. [Google Scholar] [CrossRef]
  15. “14th Five-Year Plan” for Modern Energy System. Available online: http://www.gov.cn/zhengce/zhengceku/2022-03/23/5680759/files/ccc7dffca8f24880a80af12755558f4a.pdf (accessed on 20 October 2022).
  16. Wang, Z.; Wu, M.Y.; Li, S.X.; Wang, C.J. The Effect Evaluation of China’s Energy-Consuming Right Trading Policy: Empirical Analysis Based on PSM-DID. Sustainability 2021, 13, 11612. [Google Scholar] [CrossRef]
  17. Neagu, O.; Teodoru, M.C. The Relationship between Economic Complexity, Energy Consumption Structure and Greenhouse Gas Emission: Heterogeneous Panel Evidence from the EU Countries. Sustainability 2019, 11, 497. [Google Scholar] [CrossRef]
  18. Wang, X.L.; Zhang, T.Y.; Nathwani, J.; Yang, F.M.; Shao, Q.L. Environmental regulation, technology innovation, and low carbon development: Revisiting the EKC Hypothesis, Porter Hypothesis, and Jevons’ Paradox in China’s iron & steel industry. Technol. Forecast. Soc. Chang. 2022, 176, 121471. [Google Scholar]
  19. Ma, N.; Liu, P.Y.; Xiao, Y.D.; Tang, H.Y.; Zhang, J.Q. Can Green Technological Innovation Reduce Hazardous Air Pollutants?—An Empirical Test Based on 283 Cities in China. Int. J. Environ. Res. Public Health 2022, 19, 1611. [Google Scholar] [CrossRef]
  20. Che, S.; Wang, J. Policy effectiveness of market-oriented energy reform: Experience from China energy-consumption permit trading scheme. Energy 2022, 261, 125354. [Google Scholar] [CrossRef]
  21. Cheng, B.B.; Dai, H.C.; Wang, P.; Zhao, D.Q.; Masui, T. Impacts of carbon trading scheme on air pollutant emissions in Guangdong Province of China. Energy Sustain. Dev. 2015, 27, 174–185. [Google Scholar] [CrossRef]
  22. Chen, X.; Lin, B.Q. Towards carbon neutrality by implementing carbon emissions trading scheme: Policy evaluation in China. Energy Policy 2021, 157, 112510. [Google Scholar] [CrossRef]
  23. Zhang, Y.F.; Guo, S.Y.; Shi, X.P.; Qian, X.Y.; Nie, R. A market instrument to achieve carbon neutrality: Is China’s energy-consumption permit trading scheme effective? Appl. Energy 2021, 299, 117338. [Google Scholar] [CrossRef]
  24. Progress of China’s Energy-Use Rights Trading Market in 2021 and Policy Recommendations. Available online: http://iigf.cufe.edu.cn/info/1012/5564.htm (accessed on 7 October 2022).
  25. Magnani, E. The Environmental Kuznets Curve, environmental protection policy and income distribution. Ecol. Econ. 2000, 32, 431–443. [Google Scholar] [CrossRef]
  26. Du, W.J.; Li, M.J. Assessing the impact of environmental regulation on pollution abatement and collaborative emissions reduction: Micro-evidence from Chinese industrial enterprises. Environ. Impact Assess. Rev. 2020, 82, 106382. [Google Scholar] [CrossRef]
  27. Ai, H.S.; Zhou, Z.Q.; Li, K.; Kang, Z.Y. Impacts of the desulfurization price subsidy policy on SO2 reduction: Evidence from China’s coal-fired power plants. Energy Policy 2021, 157, 112477. [Google Scholar] [CrossRef]
  28. Alex, F.; Robert, C.; Roger, R. The NOx Budget: Market-based control of tropospheric ozone in the northeastern United States. Resour. Energy Econ. 1999, 21, 103–124. [Google Scholar]
  29. Zhang, G.X.; Jia, Y.Q.; Su, B.; Xiu, J. Environmental regulation, economic development and air pollution in the cities of China: Spatial econometric analysis based on policy scoring and satellite data. J. Clean. Prod. 2021, 328, 129496. [Google Scholar] [CrossRef]
  30. Chen, J.D.; Huang, S.S.; Shen, Z.Y.; Song, M.L.; Zhu, Z.H. Impact of sulfur dioxide emissions trading pilot scheme on pollution emissions intensity: A study based on the synthetic control method. Energy Policy 2022, 161, 112730. [Google Scholar] [CrossRef]
  31. Wu, X.P.; Gao, M.; Guo, S.H.; Maqbool, R. Environmental and economic effects of sulfur dioxide emissions trading pilot scheme in China: A quasi-experiment. Energy Environ. 2019, 30, 1255–1274. [Google Scholar] [CrossRef]
  32. Du, Z.L.; Xu, C.C.; Lin, B.Q. Does the Emission Trading Scheme achieve the dual dividend of reducing pollution and improving energy efficiency? Micro evidence from China. J. Environ. Manag. 2022, 323, 116202. [Google Scholar] [CrossRef]
  33. Tang, M.F.; Li, L.; Li, T.; Rong, Y.J.; Deng, H.B. Does China’s Eco-Province Policy Effectively Reduce the Pollutant Emission Intensities? Int. J. Environ. Res. Public Health 2022, 19, 11025. [Google Scholar] [CrossRef]
  34. Li, X.; Zhao, C.K. Can national forest city construction mitigate air pollution in China? Evidence from a quasi-natural experiment. Environ. Geochem. Health 2022, 1–22. [Google Scholar] [CrossRef] [PubMed]
  35. Yu, H.W.; Xu, J.H.; Shen, F.; Fang, D.B.; Shi, D.Q. The effects of an environmental accountability system on local environmental governance and firms’ emissions. Econ. Syst. 2022, 46, 100987. [Google Scholar] [CrossRef]
  36. Yuan, F.; Zhai, Y.; Sun, X.H.; Dong, Y. Air pollution mitigation: Evidence from China’s central environmental inspection. Environ. Impact Assess. Rev. 2022, 96, 106835. [Google Scholar] [CrossRef]
  37. Franzo, S.; Frattini, F.; Cagno, E.; Trianni, A. A multi-stakeholder analysis of the economic efficiency of industrial energy efficiency policies: Empirical evidence from ten years of the Italian White Certificate Scheme. Appl. Energy 2019, 240, 424–435. [Google Scholar] [CrossRef]
  38. Wang, J.; Fang, D.B.; Yu, H.W. Potential gains from energy quota trading in China: From the perspective of comparison with command-and-control policy. J. Clean. Prod. 2021, 315, 128174. [Google Scholar] [CrossRef]
  39. Wang, Y.Z.; Hang, Y.; Wang, Q.W. Joint or separate? OSMf energy-consuming and carbon emissions permits trading in China. Energy Econ. 2022, 109. [Google Scholar] [CrossRef]
  40. Pigou, A. The Economics of Welfare; Palgrave Macmillan: London, UK, 1920. [Google Scholar]
  41. Coase, R. The problem of Social Cost. J. Law Econ. 1960, 3, 1–44. [Google Scholar]
  42. Wang, Z.L.; Xia, C.X.; Xia, Y.H. Dynamic relationship between environmental regulation and energy consumption structure in China under spatiotemporal heterogeneity. Sci. Total Environ. 2020, 738, 140364. [Google Scholar] [CrossRef]
  43. Sun, W.; Ren, C.M. The impact of energy consumption structure on China’s carbon emissions: Taking the Shannon-Wiener index as a new indicator. Energy Rep. 2021, 7, 2605–2614. [Google Scholar] [CrossRef]
  44. Porter, M.E.; Linde, C. Toward a new conception of the environment-competitiveness relationship. J. Econ. Perspect. 1995, 9, 97–118. [Google Scholar] [CrossRef]
  45. Christopeit, N. Econometric analysis of cross section and panel data. J. Econ. Z. Natl. 2003, 80, 206–209. [Google Scholar] [CrossRef]
  46. Elahi, E.; Khalid, Z.; Tauni, M.Z.; Zhang, H.X.; Lirong, X. Extreme weather events risk to crop-production and the adaptation of innovative management strategies to mitigate the risk. Technovation 2022, 117, 102255. [Google Scholar] [CrossRef]
  47. Baron, R.M.; Kenny, D.A. The moderator-mediator variable distinction in social psychological research: Conceptual, strategic, and statistical considerations. J. Personal. Soc. Psychol. 1986, 51, 1173–1182. [Google Scholar] [CrossRef]
  48. Zhu, M.L.; Lu, S.R. Effects of ICT diffusion on environmental pollution: Analysis of industrial reallocation effects in China. Environ. Sci. Pollut. Res. 2022, 1–22. [Google Scholar] [CrossRef] [PubMed]
  49. Zhang, N.; Huang, X.H.; Qi, C. The effect of environmental regulation on the marginal abatement cost of industrial firms: Evidence from the 11th Five-Year Plan in China. Energy Econ. 2022, 112, 106147. [Google Scholar] [CrossRef]
  50. Bu, C.Q.; Shi, D.Q. The emission reduction effect of daily penalty policy on firms. J. Environ. Manag. 2021, 294, 112922. [Google Scholar] [CrossRef]
  51. Hu, C.; Hu, B.L.; Shi, X.P.; Wu, Y. The Roles of Beijing-Tianjin-Hebei Coordinated Development Strategy in Industrial Energy and Related Pollutant Emission Intensities. Sustainability 2020, 12, 7973. [Google Scholar] [CrossRef]
  52. Wang, K.L.; Yin, H.C.; Chen, Y.W. The effect of environmental regulation on air quality: A study of new ambient air quality standards in China. J. Clean. Prod. 2019, 215, 268–279. [Google Scholar] [CrossRef]
  53. Yan, Y.X.; Zhang, X.L.; Zhang, J.H.; Li, K. Emissions trading system (ETS) implementation and its collaborative governance effects on air pollution: The China story. Energy Policy 2020, 138, 111282. [Google Scholar] [CrossRef]
  54. Li, X.S.; Shu, Y.X.; Jin, X. Environmental regulation, carbon emissions and green total factor productivity: A case study of China. Environ. Dev. Sustain. 2022, 24, 2577–2597. [Google Scholar] [CrossRef]
  55. Chen, Y.; Cheng, L.; Lee, C.C.; Wang, C.S. The impact of regional banks on environmental pollution: Evidence from China’s city commercial banks. Energy Econ. 2021, 102, 105492. [Google Scholar] [CrossRef]
  56. Hao, Y.; Huang, Z.R.; Wu, H.T. Do Carbon Emissions and Economic Growth Decouple in China? An Empirical Analysis Based on Provincial Panel Data. Energies 2019, 12, 2411. [Google Scholar] [CrossRef]
  57. Liu, S.L.; Zhang, P.L. Foreign direct investment and air pollution in china: Evidence from the global financial crisis. Dev. Econ. 2022, 60, 30–61. [Google Scholar] [CrossRef]
  58. Lin, A.H.; Xu, Y.K. China’s R&D Investment’s Impact on Environmental Pollution: An Integrated Approach Based on Panel Moderated Mediation and Regression Discontinuity. J. Adv. Comput. Intell. Intell. Inform. 2022, 26, 461–470. [Google Scholar]
  59. Liu, K.; Lin, B.Q. Research on influencing factors of environmental pollution in China: A spatial econometric analysis. J. Clean. Prod. 2019, 206, 356–364. [Google Scholar] [CrossRef]
  60. Chen, L.; Li, K.; Chen, S.Y.; Wang, X.F.; Tang, L.W. Industrial activity, energy structure, and environmental pollution in China. Energy Econ. 2021, 104, 105633. [Google Scholar] [CrossRef]
  61. Lin, B.Q.; Du, Z.L. Promoting energy conservation in China’s metallurgy industry. Energy Policy 2017, 104, 285–294. [Google Scholar] [CrossRef]
  62. Xu, G.X.; Yang, Z.J. The mechanism and effects of national smart city pilots in China on environmental pollution: Empirical evidence based on a DID model. Environ. Sci. Pollut. Res. 2022, 29, 41804–41819. [Google Scholar] [CrossRef]
  63. Gumbau-Albert, M.; Maudos, J. Patents, technological inputs and spillovers among regions. Appl. Econ. 2009, 41, 1473–1486. [Google Scholar] [CrossRef]
  64. Kahn, M.E.; Li, P.; Zhao, D.X. Water Pollution Progress at Borders: The Role of Changes in China’s Political Promotion Incentives. Am. Econ. J.-Econ. Policy 2015, 7, 223–242. [Google Scholar] [CrossRef]
  65. Beck, T.; Levine, R.; Levkov, A. Big Bad Banks? The Winners and Losers from Bank Deregulation in the United States. J. Financ. 2010, 65, 1637–1667. [Google Scholar] [CrossRef]
  66. Cao, X.G.; Deng, M.; Li, H.K. How does e-commerce city pilot improve green total factor productivity? Evidence from 230 cities in China. J. Environ. Manag. 2021, 289, 112520. [Google Scholar] [CrossRef] [PubMed]
  67. Abadie, A.; Diamond, A.; Hainmueller, J. Synthetic Control Methods for Comparative Case Studies: Estimating the Effect of California’s Tobacco Control Program. J. Am. Stat. Assoc. 2010, 105, 493–505. [Google Scholar] [CrossRef]
  68. Yang, S.Y.; Sun, W.X.; Wu, Z.Y.; He, Y. Can the SO2 emission trading system promote urban emission reduction? Manag. Decis. Econ. 2022, 43, 963–974. [Google Scholar] [CrossRef]
  69. Huang, H.F.; Zhang, J. Research on the Environmental Effect of Green Finance Policy Based on the Analysis of Pilot Zones for Green Finance Reform and Innovations. Sustainability 2021, 13, 3754. [Google Scholar] [CrossRef]
  70. Liu, X.; Lin, J.; Hu, J.F.; Lu, H.; Cai, J.R. Economic Transition, Technology Change, and Energy Consumption in China: A Provincial-Level Analysis. Energies 2019, 12, 2581. [Google Scholar] [CrossRef]
  71. Hang, Y.; Wang, F.; Su, B.; Wang, Y.Z.; Zhang, W.; Wang, Q.W. Multi-Region Multi-Sector Contributions to Drivers of Air Pollution in China. Earths Future 2021, 9, e2021EF002012. [Google Scholar] [CrossRef]
  72. Zhang, S.Y.; Collins, A.R.; Etienne, X.L.; Ding, R.J. The Environmental Effects of International Trade in China: Measuring the Me-diating Effects of Technology Spillovers of Import Trade on Industrial Air Pollution. Sustainability 2021, 13, 6895. [Google Scholar] [CrossRef]
  73. Zhao, J.; Jiang, Q.Z.; Dong, X.C.; Dong, K.Y.; Jiang, H.D. How does industrial structure adjustment reduce CO2 emissions? Spatial and mediation effects analysis for China. Energy Econ. 2022, 105, 105704. [Google Scholar] [CrossRef]
  74. Ji, X.; Wu, G.W.; Lin, J.; Zhang, J.R.; Su, P.Y. Reconsider policy allocation strategies: A review of environmental policy instruments and application of the CGE model. J. Environ. Manag. 2022, 323, 116176. [Google Scholar] [CrossRef] [PubMed]
  75. Wu, X.P.; Gao, M. Effects of different environmental regulations and their heterogeneity on air pollution control in China. J. Regul. Econ. 2021, 60, 140–166. [Google Scholar] [CrossRef]
  76. Liu, H.Y.; Owens, K.A.; Yang, K.; Zhang, C.H. Pollution abatement costs and technical changes under different environmental reg-ulations. China Econ. Rev. 2020, 62, 101497. [Google Scholar] [CrossRef]
  77. Shapiro, J.S.; Walker, R. Why Is Pollution from US Manufacturing Declining? The Roles of Environmental Regulation, Productivity, and Trade. Am. Econ. Rev. 2018, 108, 3814–3854. [Google Scholar] [CrossRef]
  78. Xia, C.X.; Wang, Z.L.; Xia, Y.H. The drivers of China’s national and regional energy consumption structure under environmental regulation. J. Clean. Prod. 2021, 285, 124913. [Google Scholar] [CrossRef]
  79. Guo, R.; Yuan, Y.J. Different types of environmental regulations and heterogeneous influence on energy efficiency in the industrial sector: Evidence from Chinese provincial data. Energy Policy 2020, 145, 111747. [Google Scholar] [CrossRef]
Figure 1. Provinces implementing ECPT in China.
Figure 1. Provinces implementing ECPT in China.
Sustainability 14 16935 g001
Figure 2. The transmission mechanisms.
Figure 2. The transmission mechanisms.
Sustainability 14 16935 g002
Figure 3. Total energy consumption and energy consumption structure in China.
Figure 3. Total energy consumption and energy consumption structure in China.
Sustainability 14 16935 g003
Figure 4. Industrial SO2 emissions in China in 2006 (a) and 2020 (b).
Figure 4. Industrial SO2 emissions in China in 2006 (a) and 2020 (b).
Sustainability 14 16935 g004
Figure 5. Common trend test.
Figure 5. Common trend test.
Sustainability 14 16935 g005
Figure 6. Placebo test.
Figure 6. Placebo test.
Sustainability 14 16935 g006
Table 1. Descriptive statistics.
Table 1. Descriptive statistics.
TypeVariableObsMeanSDMinMax
Explained variablelnSO24503.44901.09400.08405.1340
Explanatory variableTreat × Time4500.03600.18500.00001.0000
Control variablesPD4504.30905.48900.079030.8770
PGDP4502.29602.03000.011012.0990
FDI4504.62602.80100.579016.4890
RD4501.57501.10200.20006.4440
FC4500.31100.17800.02900.6680
IED4500.58400.17100.24701.2000
ML4506.66201.99202.330012.0000
Intermediate variablesES4500.51600.16500.01000.8370
TI4500.43600.77100.00107.0970
Table 2. Comparison of the means of the explanatory variables in pilot and nonpilot provinces before and after the pilot.
Table 2. Comparison of the means of the explanatory variables in pilot and nonpilot provinces before and after the pilot.
VariableControl GroupsTreatment GroupsDID Test Results
Before the PolicyPost the PolicyDifferenceBefore the PolicyPost the PolicyDifference
lnSO23.78092.38251.3984 ***4.17642.43791.7384 ***−0.304 ***
Note: Robust t-statistics in parentheses; *** denotes significance levels at 1%.
Table 3. Baseline regressions.
Table 3. Baseline regressions.
VariableslnSO2lnSO2
(1)(2)
Treat × Time−0.340 ***−0.304 ***
(0.076)(0.068)
PD −0.173 ***
(0.025)
FDI 0.011
(0.010)
PGDP 0.019
(0.018)
RD −0.111 **
(0.053)
FC −2.166 ***
(0.503)
IED 0.063
(0.200)
ML −0.128 ***
(0.023)
Province-FEYesYes
Year-FEYesYes
Constant1.926 ***6.162 ***
(0.076)(0.416)
Obs.450.000450.000
R-squared0.9560.969
Note: Robust t-statistics in parentheses; ***, ** denote significance levels at 1% and 5% respectively.
Table 4. Parallel trend test.
Table 4. Parallel trend test.
VariableslnSO2
d−3−0.138
(0.118)
d−2−0.055
(0.118)
d−1−0.161
(0.118)
current−0.375 ***
(0.119)
d1−0.369 ***
(0.119)
d2−0.278 **
(0.121)
d3−0.331 ***
(0.121)
Control variablesYes
Province-FEYes
Year-FEYes
Constant6.262 ***
(0.256)
Obs.450.000
R-squared0.931
Note: Robust t-statistics in parentheses; ***, ** denote significance levels at 1% and 5% respectively.
Table 5. PSM-DID estimation results.
Table 5. PSM-DID estimation results.
VariablesNearest Neighbor MatchingRadius MatchingKernel MatchingMahalanobis Distance Matching
(1)(2)(3)(4)
Treat × Time−0.543 ***−0.456 ***−0.429 ***−0.318 ***
(0.156)(0.072)(0.072)(0.089)
Control variablesYesYesYesYes
Province-FEYesYesYesYes
Year-FEYesYesYesYes
Constant9.062 ***7.813 ***7.846 ***7.492 ***
(1.424)(0.442)(0.448)(0.720)
Obs.79283284133
R-squared0.9610.9430.9410.965
Note: Robust t-statistics in parentheses; *** denotes significance levels at 1%.
Table 6. Results of other robustness tests.
Table 6. Results of other robustness tests.
VariableslnSO2lnSO2lnSO2lnSO2lnSO2
(1)(2)(3)(4)(5)
Treat × Time−0.303 ***−0.320 ***−0.341 ***−0.206 **−0.391 ***
(0.068)(0.067)(0.069)(0.082)(0.066)
SETP−0.157 *
(0.082)
CETP 0.180 ***
(0.059)
GFRP −0.179 ***
(0.066)
Control variablesYesYesYesYesYes
Province-FEYesYesYesYesYes
Year-FEYesYesYesYesYes
_cons6.054 ***6.264 ***5.493 ***5.551 ***7.699 ***
(0.418)(0.413)(0.480)(0.541)(0.383)
Obs.450450450270390
R-squared0.9690.9690.9690.9230.967
Note: Robust t-statistics in parentheses; ***, **, * denote significance levels at 1%, 5%, and 10% respectively.
Table 7. Impact mechanism.
Table 7. Impact mechanism.
VariableslnSO2ESlnSO2TIlnSO2
(1)(2)(3)(4)(5)
Treat × Time−0.304 ***−0.0534 ***−0.277 ***0.202 *−0.287 ***
(0.0678)(0.0142)(0.0686)(0.123)(0.0672)
ES 0.501 **
(0.237)
TI −0.0867 ***
(0.0274)
ControlYesYesYesYesYes
Province-FEYesYesYesYesYes
Year-FEYesYesYesYesYes
Constant6.259 ***0.732 ***5.893 ***−1.536 ***6.126 ***
(0.255)(0.0535)(0.307)(0.460)(0.255)
Obs.450450450450450
R-squared0.9300.5440.9310.5160.932
Note: Robust t-statistics in parentheses; ***, **, * denote significance levels at 1%, 5%, and 10% respectively.
Table 8. Heterogeneity regression results.
Table 8. Heterogeneity regression results.
VariablesGeographic LocationLevel of Secondary Industry DevelopmentEnvironmental Regulation Intensity
(1) Eastern(2) Central and Western(4) Low(5) High(6) Low(7) High
Treat × Time0.075−0.592 ***−0.367 ***−0.360−0.201 **−0.499 ***
(0.115)(0.085)(0.075)(0.245)(0.090)(0.116)
ControlYesYesYesYesYesYes
Province-FEYesYesYesYesYesYes
Year-FEYesYesYesYesYesYes
_cons5.510 ***6.642 ***7.837 ***6.036 ***6.178 ***5.811 ***
(0.560)(0.474)(0.669)(0.347)(0.440)(0.304)
Obs.165285225225225225
R-squared0.9370.9410.9500.9240.9390.944
Note: Robust t-statistics in parentheses; ***, ** denote significance levels at 1% and 5% respectively.
Publisher’s Note: MDPI stays neutral with regard to jurisdictional claims in published maps and institutional affiliations.

Share and Cite

MDPI and ACS Style

Liu, M.; Jiang, H. Can the Energy-Consumption Permit Trading Scheme Curb SO2 Emissions? Evidence from a Quasi-Natural Experiment in China. Sustainability 2022, 14, 16935. https://doi.org/10.3390/su142416935

AMA Style

Liu M, Jiang H. Can the Energy-Consumption Permit Trading Scheme Curb SO2 Emissions? Evidence from a Quasi-Natural Experiment in China. Sustainability. 2022; 14(24):16935. https://doi.org/10.3390/su142416935

Chicago/Turabian Style

Liu, Mengyao, and Hongli Jiang. 2022. "Can the Energy-Consumption Permit Trading Scheme Curb SO2 Emissions? Evidence from a Quasi-Natural Experiment in China" Sustainability 14, no. 24: 16935. https://doi.org/10.3390/su142416935

APA Style

Liu, M., & Jiang, H. (2022). Can the Energy-Consumption Permit Trading Scheme Curb SO2 Emissions? Evidence from a Quasi-Natural Experiment in China. Sustainability, 14(24), 16935. https://doi.org/10.3390/su142416935

Note that from the first issue of 2016, this journal uses article numbers instead of page numbers. See further details here.

Article Metrics

Back to TopTop