Shuttle Bus Timetable Adjustment in Response to Behind-Schedule Commuter Railway Disturbance
Abstract
1. Introduction
- An integrated challenge with respect to bus stop locations, optional routes, and optimized timetable;
- The elimination process of different delay ranges predefined as four stages, which require different responses/shifts in individual stages;
- A nonlinear integer programming model is proposed, in which the objective function takes passengers’ waiting, travelling, and walking costs into account as well as combining them with the operation cost of the entire route. A genetic algorithm and simulated annealing are used to encode the candidate bus stops by searching the traversal of bus route options. A well-adjusted timetable and bus routes showing stop locations are generated by bridging the connection gap derived from the behind-schedule commuter railway.
1.1. Literature Review
1.2. Contributions
- The joint optimization between tactic level routes, stops, and strategy level timetabling;
- A nonlinear integer programming model proposed to deal with the left-behind schedule adjustment problem with the objective of minimizing net supply and demand interests with regard to walking, waiting, and traveling times;
- Two algorithms, i.e., a genetic algorithm and simulated annealing adopted to facilitate the solution efficiency.
1.3. Layout
2. Problem Statement
2.1. Study Context
2.2. Assumption
- The delays caused by disturbance have the capability of recovering to a normal/plan by rescheduling techniques along the railway operation horizon;
- A great number of passengers alighting from trains have a fixed number of gates to exit and follow the first-come first-served principle (FCFS). The OD (origin destination) proportion of passenger demand arriving at the origin station is stable;
- Rigorous load capacity is fixed owing to the homogeneous vehicle type. In other words, the passengers who exceed the upper load of capacity threshold cannot board vehicles. In addition, overtaking is allowed;
- The destinations desired by passengers are located approximately in the center of the defined districts. Destination information for these commuter passengers is known to assure exact destination districts;
- Traffic accidents and vehicle breakdown do not occur on the horizon of the study;
- A shuttle bus is featured by a single-directional loop route. Notice that shuttle buses do not pick up the passengers along the route, rather they are customized to accommodate commuter railway demand from the origin station. It means that there are only alighting passengers as long as the shuttle buses depart from the origin station;
- The number of trips is judged by an evaluation metric of operation cost with a hypothesis of sufficient fleet sizes.
2.3. Nomenclature
3. Modelling Formulation
3.1. Objective Functions
3.2. Shuttle Bus Constraints
4. Solution Algorithm
4.1. Decomposition
4.2. Genetic Algorithm
4.2.1. Genetic Algorithm for the Routing Problem
4.2.2. Genetic Algorithm for the Timetabling Problem
| Algorithm 1. Procedures for generating the shuttle bus route/timetable by GA |
|
4.3. Simulated Annealing
4.3.1. Simulated Annealing for the Routing Problem
4.3.2. Simulated Annealing for the Timetabling Problem
| Algorithm 2. Procedures for generating the shuttle bus route/timetable by SA |
| input the initial solution , termination temperature , set iteration |
| output |
| initialize , , |
| while and do |
| if or then |
| end if |
| end while |
| return |
5. Case Study
5.1. Data and Parameter Settings
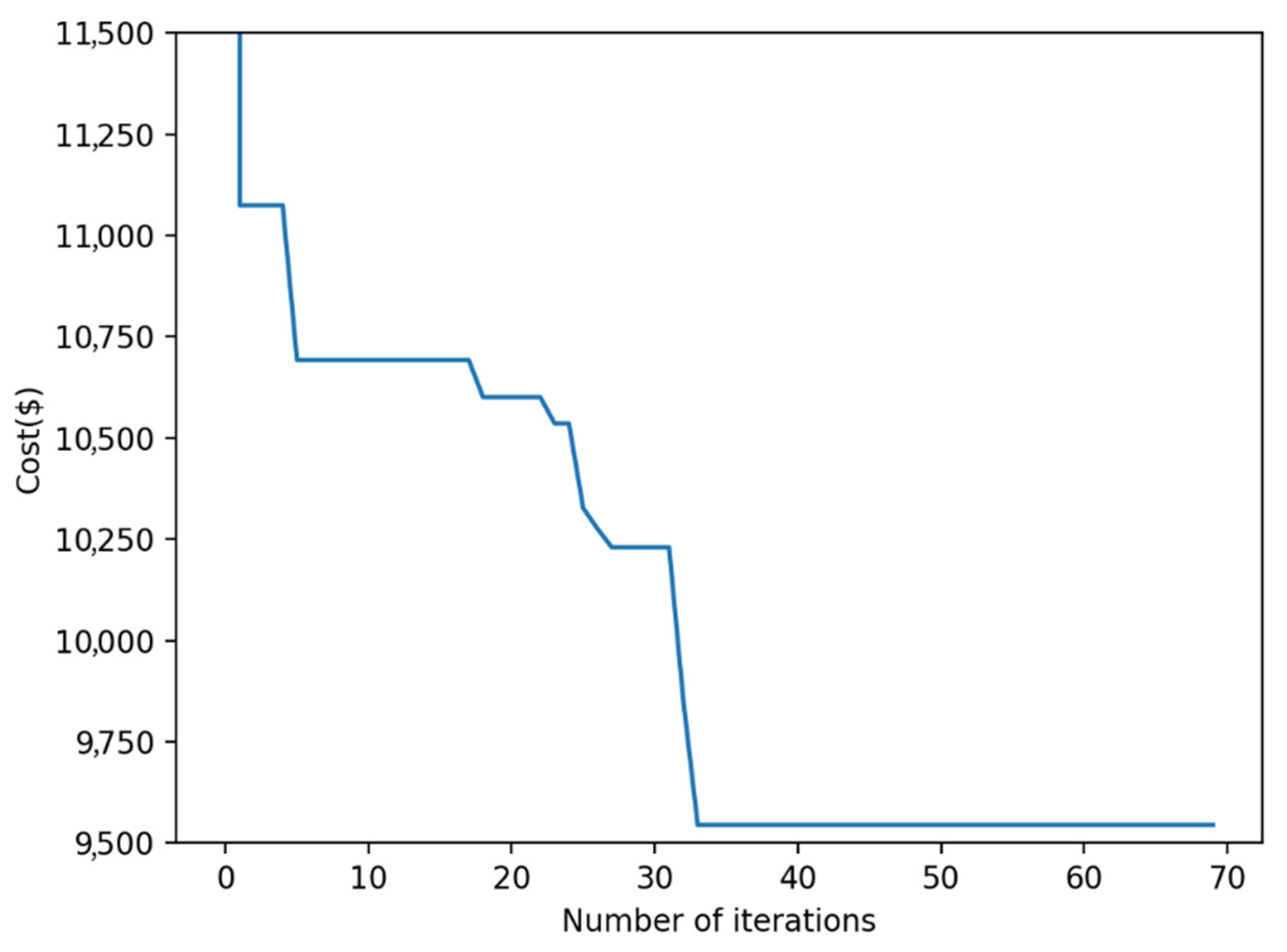
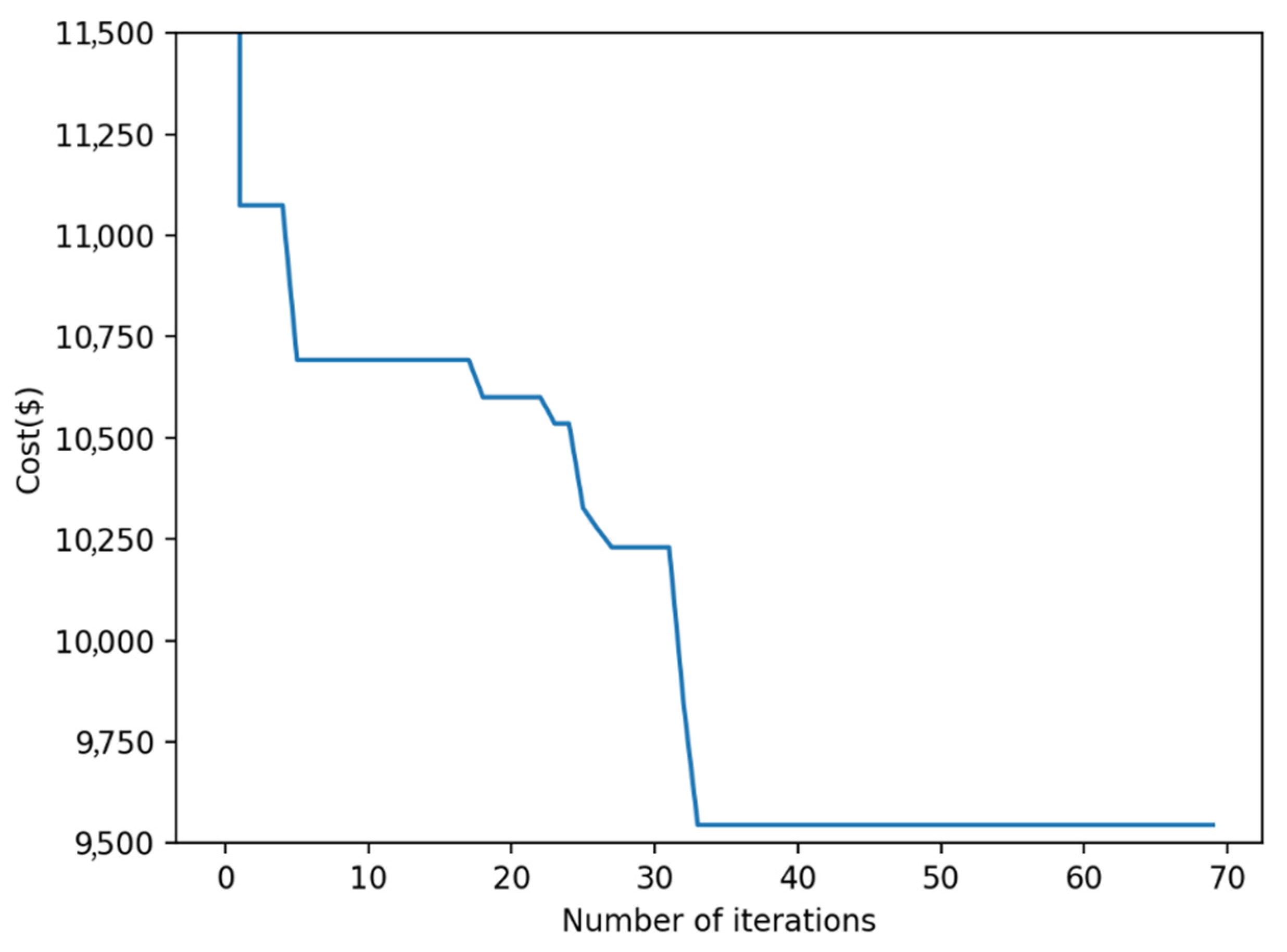
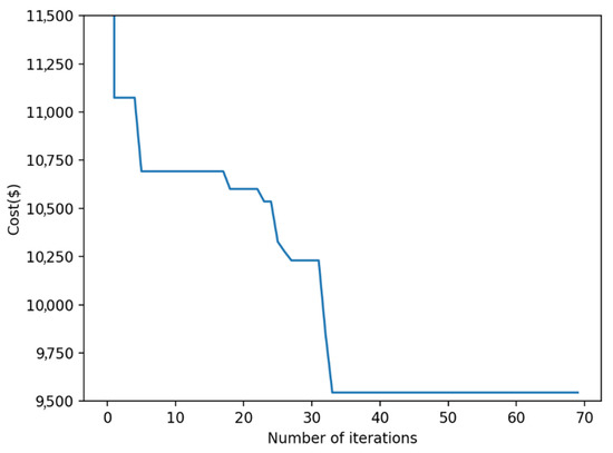
5.2. Computation Results and Solution Quality
5.3. Sensitivity Analysis
5.3.1. Delay Times
5.3.2. Arrival Rates
5.3.3. Vehicle Capacities
6. Conclusions
- The disruptions on the commuter railway, which spurs the adjustment of vehicle scheduling and renders crew scheduling infeasible. Under this circumstance, the knock-on effect of spreading the delay should be taken into consideration;
- Traffic conditions should be considered in terms of the randomness of traveling time;
- Passengers’ boarding and alighting times tend to be precisely tracked, and this needs to be improved specifically in relation to the degree of in-vehicle crowding.
Author Contributions
Funding
Institutional Review Board Statement
Data Availability Statement
Conflicts of Interest
References
- Shu, P.; Sun, Y.; Xie, B.; Xu, S.X.; Xu, G. Data-driven shuttle service design for sustainable last mile transportation. Adv. Eng. Inform. 2021, 49, 101344. [Google Scholar] [CrossRef]
- Dell’Olio, L.; Bordagaray, M.; Barreda, R.; Ibeas, A. A methodology to promote sustainable mobility in college campuses. Transp. Res. Procedia 2014, 3, 838–847. [Google Scholar] [CrossRef]
- Dou, X.; Meng, Q. Feeder bus timetable design and vehicle size setting in peak hour demand conditions. Transp. Res. Rec. 2019, 2673, 321–332. [Google Scholar] [CrossRef]
- Dou, X.; Gong, X.; Guo, X.; Tao, T. Coordination of feeder bus schedule with train service at integrated transport hubs. Transp. Res. Rec. 2017, 2648, 103–110. [Google Scholar] [CrossRef]
- Wang, J.; Yuan, Z.; Yin, Y. Optimization of bus bridging service under unexpected metro disruptions with dynamic passenger flows. J. Adv. Transp. 2019, 2019, 6965728. [Google Scholar] [CrossRef]
- Soe, R.M.; Müür, J. Mobility acceptance factors of an automated shuttle bus last-mile service. Sustainability 2020, 12, 5469. [Google Scholar] [CrossRef]
- Wang, N.; Pei, Y.; Fu, H. Public Acceptance of Last-Mile Shuttle Bus Services with Automation and Electrification in Cold-Climate Environments. Sustainability 2022, 14, 14383. [Google Scholar] [CrossRef]
- Sell, R.; Rassõlkin, A.; Wang, R.; Otto, T. Integration of autonomous vehicles and Industry 4.0. Proc. Est. Acad. Sci. 2019, 68, 389–394. [Google Scholar] [CrossRef]
- Mowrin, A.N.; Hadiuzzaman, M.; Barua, S.; Rahman, M.M. Identifying Key Factors of Commuter Train Service Quality: An Empirical Analysis for Dhaka City. Malays. J. Civ. Eng. 2019, 31, 23–32. [Google Scholar]
- Xu, L.; Ng, T.S.A. A robust mixed-integer linear programming model for mitigating rail transit disruptions under uncertainty. Transp. Sci. 2020, 54, 1388–1407. [Google Scholar] [CrossRef]
- Arslan Asim, M.; Weiss, A.; Kattan, L.; Wirasinghe, S.C. Transit Users’ Mode Choice Behavior During Light Rail Transit Short-Term Planned Service Disruption. Transp. Res. Rec. 2021, 2675, 711–722. [Google Scholar] [CrossRef]
- Chen, J.; Liu, J.; Du, B.; Peng, Q.; Yin, Y. Resilience Assessment of an Urban Rail Transit Network Under Short-Term Operational Disturbances. IEEE Trans. Intell. Transp. Syst. 2022, 23, 24841–24853. [Google Scholar] [CrossRef]
- Cacchiani, V.; Huisman, D.; Kidd, M.; Kroon, L.; Toth, P.; Veelenturf, L.; Wagenaar, J. An overview of recovery models and algorithms for real-time railway rescheduling. Transp. Res. Part B Methodol. 2014, 63, 15–37. [Google Scholar] [CrossRef]
- Wang, Y.; Shang, P. Shuttle Bus Rerouting and Rescheduling Problem considering Daily Demand Fluctuation. Math. Probl. Eng. 2022, 2022, 2917240. [Google Scholar] [CrossRef]
- Jerby, S.; Ceder, A. Optimal routing design for shuttle bus service. Transp. Res. Rec. 2006, 1971, 14–22. [Google Scholar] [CrossRef]
- Lownes, N.E.; Machemehl, R.B. Exact and heuristic methods for public transit circulator design. Transp. Res. Part B Methodol. 2010, 44, 309–318. [Google Scholar] [CrossRef]
- Yu, Y.; Machemehl, R.B.; Xie, C. Demand-responsive transit circulator service network design. Transp. Res. Part E Logist. Transp. Rev. 2015, 76, 160–175. [Google Scholar] [CrossRef]
- Jin, J.G.; Teo, K.M.; Odoni, A.R. Optimizing bus bridging services in response to disruptions of urban transit rail networks. Transp. Sci. 2016, 50, 790–804. [Google Scholar] [CrossRef]
- Kong, X.; Li, M.; Tang, T.; Tian, K.; Moreira-Matias, L.; Xia, F. Shared subway shuttle bus route planning based on transport data analytics. IEEE Trans. Autom. Sci. Eng. 2018, 15, 1507–1520. [Google Scholar] [CrossRef]
- Cao, Z.; Ceder, A.A.; Zhang, S. Real-time schedule adjustments for autonomous public transport vehicles. Transp. Res. Part C Emerg. Technol. 2019, 109, 60–78. [Google Scholar] [CrossRef]
- Cao, Z.; Ceder, A.A. Autonomous shuttle bus service timetabling and vehicle scheduling using skip-stop tactic. Transp. Res. Part C Emerg. Technol. 2019, 102, 370–395. [Google Scholar] [CrossRef]
- Liang, J.; Wu, J.; Qu, Y.; Yin, H.; Qu, X.; Gao, Z. Robust bus bridging service design under rail transit system disruptions. Transp. Res. Part E Logist. Transp. Rev. 2019, 132, 97–116. [Google Scholar] [CrossRef]
- Cao, Z.; Ceder, A.; Li, D.; Zhang, S. Robust and optimized urban rail timetabling using a marshaling plan and skip-stop operation. Transp. A Transp. Sci. 2020, 16, 1217–1249. [Google Scholar] [CrossRef]
- Wang, Y.; Yan, X.; Zhou, Y. A straightforward method for shuttle-bus line design under urban rail transit emergencies. J. Transp. Saf. Secur. 2021, 13, 1093–1113. [Google Scholar] [CrossRef]
- Cao, Z.; Zhang, S.; Ceder, A.A. Novel coupling–decoupling strategy for scheduling autonomous public transport vehicles in overcrowded corridors. Appl. Math. Model. 2022, 106, 299–324. [Google Scholar] [CrossRef]
- Cao, Z.; Xu, T.; Zhang, S.; Ceder, A.A.; Sun, Y. Comparative Evaluation: Passenger Satisfaction and Operation Efficiency of Different Even-Headway and Even-Load Public Transport Timetables. KSCE J. Civ. Eng. 2022, 26, 3063–3081. [Google Scholar] [CrossRef]
- Wu, M.; Yu, C.; Ma, W.; An, K.; Zhong, Z. Joint optimization of timetabling, vehicle scheduling, and ride-matching in a flexible multi-type shuttle bus system. Transp. Res. Part C Emerg. Technol. 2022, 139, 103657. [Google Scholar] [CrossRef]
- Katoch, S.; Chauhan, S.S.; Kumar, V. A review on genetic algorithm: Past, present, and future. Multimed. Tools Appl. 2021, 80, 8091–8126. [Google Scholar] [CrossRef]
- Mohammed, M.A.; Abd Ghani, M.K.; Hamed, R.I.; Mostafa, S.A.; Ahmad, M.S.; Ibrahim, D.A. Solving vehicle routing problem by using improved genetic algorithm for optimal solution. J. Comput. Sci. 2017, 21, 255–262. [Google Scholar] [CrossRef]
- Bertsimas, D.; Tsitsiklis, J. Simulated annealing. Stat. Sci. 1993, 8, 10–15. [Google Scholar] [CrossRef]
- Li, P.; Jiang, L.; Zhang, S.; Jiang, X. Demand Response Transit Scheduling Research Based on Urban and Rural Transportation Station Optimization. Sustainability 2022, 14, 13328. [Google Scholar] [CrossRef]
- Chen, J.; Liu, Z.; Zhu, S.; Wang, W. Design of limited-stop bus service with capacity constraint and stochastic travel time. Transp. Res. Part E Logist. Transp. Rev. 2015, 83, 1–15. [Google Scholar] [CrossRef]















| Publication (Chronologically) | Motivation from Disturbance/Disruption | Capacity Constraint | Considers Waiting Times | Objective(s) | Solution Algorithms | Case |
|---|---|---|---|---|---|---|
| Jerby and Ceder (2006) [15] | No | No | No | To maximize the demand potential of the route links | A heuristic algorithm based on the first option | Experiments |
| Lownes and Machemehl (2010) [16] | No | No | No | To minimize the total cost of operating bus, in-vehicle travel time, unserved demand and walking | Tabu search | Experiments |
| Yu et al. (2015) [17] | No | No | No | To minimize the total tour cost for passengers and operators with respect to minimization in passenger walking time | Tabu search | Experiments and real |
| Jin et al. (2016) [18] | Disruptions | Yes | Yes, as a sub-problem | To minimize the total increase in journey time of all commuter groups over the entire disrupted period | A column generation procedure | Experiments |
| Kong et al. (2018) [19] | No | Yes | No | To minimize the operating distance | A dynamic programming algorithm | Real |
| Cao and Ceder (2019) [21] | No | Yes | Yes | To minimize passengers’ in-vehicle times, waiting times and fleet sizes | A binary variable iteration method | Experiments |
| Liang et al. (2019) [22] | Disruptions | Yes | No | To minimize passengers’ travel costs on railway, in-vehicle costs, transfer costs and bus bridging operation costs | A column generation procedure | Experiments |
| Wang et al. (2021) [24] | Disturbances and disruptions | No | No | To minimize the total fixed edge cost based on the OD paths | A two-step method | Experiments |
| Wu et al. (2022) [27] | No | Yes | Yes | To minimize passengers’ waiting times, in-vehicle times, and operation costs | Lagrangian relaxation and rolling horizon optimization | Experiments and real |
| This paper (2022) | Disturbances | Yes | Yes | To minimize passengers’ waiting, travelling and walking costs as well as operation costs for the entire route | Genetic algorithm and simulated annealing | Experiments and real |
| Sets | |
| Set of destination centroids, | |
| Set of bus stops, | |
| Set of trips, , which indicates that trip belongs to process | |
| Set of subprocesses, | |
| Set of users, | |
| Parameters | |
| Number of passengers who are willing to reach destination centroid (unit: pax) | |
| Bus travel time between bus stops to (unit: min) | |
| Walking time of passengers from stop to destination centroid (unit: min) | |
| Vehicle operation cost per unit time (unit: USD /min) | |
| In-vehicle travel cost for each passenger per unit time (unit: USD /min) | |
| Out-of-vehicle walking cost for each passenger per unit time (unit: USD /min) | |
| Waiting cost for each passenger per unit time (unit: USD /min) | |
| Capacity of vehicle (unit: pax/vehicle) that is fixed subject to Assumption (3) | |
| Passenger arrival rate (unit: pax/min) | |
| Passenger drop-on/drop-off time (unit: sec) | |
| Opening/closing door time (unit: sec) | |
| Time slice when passenger arrives at origin station | |
| Variables | |
| Number of total trips | |
| Total alighting time of passengers at bus stop over all trips (unit: min) | |
| Departure time of trip in subprocess | |
| Total number of passengers assigned at the link between stops and over all trips (unit: pax) | |
| Waiting time for passenger at origin station (unit: min) | |
| Decision variables | |
| Bus stop selection indicator, which specifies that bus stop is elected if ; otherwise | |
| Bus link selection indicator, which implies that one bus link candidate between bus stops and is elected if ; otherwise | |
| Passenger link selection indicator, which suggests there are passengers who choose the walk link from stop to destination centroid (i.e., alighting from bus stop and desired to destination centroid g) if ; otherwise | |
| Passenger boarding selection indicator, which denotes that the passenger boards the trip in subprocess from origin station if ; otherwise | |
| Headway of shuttle bus in subprocess (unit: min) | |
| Status | Subprocess | Train Arrival Time |
|---|---|---|
| Normal | 1 | 7:30 |
| Abnormal | 2 | 7:50 |
| 3 | 8:25 | |
| Transition | 4 | 8:30 |
| Normal | 1 | 8:50 |
| Normal | 1 | 9:10 |
| Index of Destination Area | Reach Ratio |
|---|---|
| 0 | 0 |
| 1 | 0.2 |
| 2 | 0.2 |
| 3 | 0.05 |
| 4 | 0.2 |
| 5 | 0.05 |
| 6 | 0.15 |
| 7 | 0.1 |
| 8 | 0.05 |
| Algorithms | Optimized Routes | Headway of Each Sub-Process | Costs (USD) | CPU_Time (s) 1 | NIO 1 |
|---|---|---|---|---|---|
| GA | 0-1-2-4-3-5-8-6-7-0 | 5-7-1-5-5 | 9545 | 125.76 | 43 |
| SA | 0-1-2-4-3-5-8-6-7-0 | 5-7-1-5-5 | 9545 | 137.32 | 33 |
| No Planning | Optimized | ||||||||||
|---|---|---|---|---|---|---|---|---|---|---|---|
| Index | Trip | Departure Times | Index | Trip | Departure Times | Index | Trip | Departure Times | Index | Trip | Departure Times |
| 1 | 7:30 | 12 | 8:25 | 1 | 7:30 | 12 | 8:27 | ||||
| 2 | 7:35 | 13 | 8:30 | 2 | 7:35 | 13 | 8:28 | ||||
| 3 | 7:40 | 14 | 8:35 | 3 | 7:40 | 14 | 8:29 | ||||
| 4 | 7:45 | 15 | 8:40 | 4 | 7:45 | 15 | 8:30 | ||||
| 5 | 7:50 | 16 | 8:45 | 5 | 7:50 | 16 | 8:35 | ||||
| 6 | 7:55 | 17 | 8:50 | 6 | 7:57 | 17 | 8:40 | ||||
| 7 | 8:00 | 18 | 8:55 | 7 | 8:04 | 18 | 8:45 | ||||
| 8 | 8:05 | 19 | 9:00 | 8 | 8:11 | 19 | 8:50 | ||||
| 9 | 8:10 | 20 | 9:05 | 9 | 8:18 | 20 | 8:55 | ||||
| 10 | 8:15 | 10 | 8:25 | 21 | 9:00 | ||||||
| 11 | 8:20 | 11 | 8:26 | 22 | 9:05 | ||||||
Publisher’s Note: MDPI stays neutral with regard to jurisdictional claims in published maps and institutional affiliations. |
© 2022 by the authors. Licensee MDPI, Basel, Switzerland. This article is an open access article distributed under the terms and conditions of the Creative Commons Attribution (CC BY) license (https://creativecommons.org/licenses/by/4.0/).
Share and Cite
Feng, Y.; Cao, Z.; Zhang, S. Shuttle Bus Timetable Adjustment in Response to Behind-Schedule Commuter Railway Disturbance. Sustainability 2022, 14, 16708. https://doi.org/10.3390/su142416708
Feng Y, Cao Z, Zhang S. Shuttle Bus Timetable Adjustment in Response to Behind-Schedule Commuter Railway Disturbance. Sustainability. 2022; 14(24):16708. https://doi.org/10.3390/su142416708
Chicago/Turabian StyleFeng, Yinfei, Zhichao Cao, and Silin Zhang. 2022. "Shuttle Bus Timetable Adjustment in Response to Behind-Schedule Commuter Railway Disturbance" Sustainability 14, no. 24: 16708. https://doi.org/10.3390/su142416708
APA StyleFeng, Y., Cao, Z., & Zhang, S. (2022). Shuttle Bus Timetable Adjustment in Response to Behind-Schedule Commuter Railway Disturbance. Sustainability, 14(24), 16708. https://doi.org/10.3390/su142416708

