You are currently viewing a new version of our website. To view the old version click .
Sustainability
  • Article
  • Open Access

13 December 2022

Effects of Planting Density and Nitrogen (N) Application Rate on Light Energy Utilization and Yield of Maize

,
,
,
,
and
Department of Resources and Environmental Science, College of Agriculture, Shihezi University, Shihezi 832003, China
*
Author to whom correspondence should be addressed.
This article belongs to the Special Issue Oasis Agricultural Ecology and Sustainable Development and Utilization of Oasis Resources

Abstract

Planting density and N fertilizer application amount directly affect the planting quality of maize. Therefore, this study analyzed the impact of these two factors on light energy utilization and yield. The field experiment was carried out with Xinyu 57 maize as the experimental variety. An experiment was set up with four different planting densities and three different N fertilizer concentrations. The light use efficiency, productivity, and growth of maize were observed. The effects of planting density and N fertilization on light use efficiency at the heading stage were analyzed in detail. Finally, it was concluded that high-density planting and the proper application of N fertilizer can significantly improve the light energy efficiency and yield of maize. High-density planting has a significant effect on corn light energy utilization. Increasing N fertilizer can improve the photosynthetic characteristics of plants, increase the content of photosynthetic pigments in maize ear leaves, and improve the utilization rate of light energy and yield.

1. Introduction

Maize is the largest crop in the world, ranking first among global cereal grain crop species in total production and unit yield [1,2,3]. As a C4 plant, maize has great potential for increasing yield due to its high light and efficiency. At the same time, corn is widely planted. More than 100 countries around the world produce corn, and a large number of them are planted from 58° N to 40° S in latitude [4,5]. In addition, corn kernels are rich in nutrients and rich in protein, fat, and starch, making them an excellent food [6]. Therefore, improving the yield and quality of corn is of great significance to global food security and human health. With the continuous increase in the world’s population, the annual reduction of per capita arable land, and the demand for corn from animal husbandry and industrial development, the demand for corn may further increase in the future.
Therefore, improving the yield of corn while reducing the yield difference on the limited corn arable land is a key scientific problem that needs to be solved urgently in current corn production [7,8,9,10]. Many previous studies have confirmed the effect of dense planting and N application on maize yield [11,12,13,14,15]. As one of the important mineral elements affecting the yield and quality of maize, N contributes about 45% to the yield per unit of maize [16]. Therefore, the rational application of N fertilizer is one of the effective measures to improve corn yield and quality. However, with the continuous increase in N fertilizer application rates in corn farmland in recent years, its utilization level has dropped to 40–60% [17]. This not only causes a huge waste of fertilizer resources but also increases the cost of agricultural production and seriously affects the quality of agricultural products. At the same time, differences in climatic factors and soil conditions in different maize production areas lead to differences in optimal N application rates for maize [18,19,20]. Taking China as an example, the average recommended dosage of N fertilizer is 181 kg hm−2 in east China, 219 kg hm−2 in northwest China, 150 kg hm−2 in the Northwest spring corn region, and 178 kg hm−2 in the southwest plateau region [21]. Therefore, coordinating the relationship between maize growth and N use efficiency (NUE) is the key to high-efficiency and high-yield maize while reducing environmental pollution.
Corn planting density also affects yield and quality. It is generally believed that low planting densities lead to a decrease in dry matter accumulation per unit area, which in turn reduces maize yield and agronomic traits [22,23,24,25]. On the contrary, high planting density will lead to an increase in the canopy area of maize colonies, and poor colony ventilation conditions will lead to intense competition for light resources, which will cause maize stem nodes to be thin and prone to lodging [26]. Studies have shown that high-density planting increases the plant height and ear position of maize plants [27]. However, some studies have found that the effect of density on plant height is not significant under high-density planting conditions [28]. A moderate increase in planting density can help increase maize yield by increasing dry matter accumulation in the population. With the increase in planting density, the dry matter weight per plant decreased gradually, but the dry matter accumulation of the population increased instead [29]. Therefore, in actual production, we should improve corn yield while improving corn quality through reasonable dense planting according to different variety characteristics and production conditions.
There is also an interaction between planting density and N utilization. Planting density affects N accumulation and transport mainly by affecting dry matter production and transport [30]. Increasing planting density increases the N requirement of plant populations, but also reduces plant tolerance to high levels of N. Studies have shown that corn planting density is proportional to corn NUE, absorption efficiency, and harvest index, but after a certain density, corn NUE, absorption efficiency, and harvest index will decline [31,32]. Under high-density conditions, N metabolism is more vigorous and excess photosynthetic products are consumed, limiting the growth of yield [33]. The effects of planting density and N fertilizer application rates on corn light utilization efficiency and yield are very critical. These factors affect the yield change of corn throughout the cycle and are also key ways to improve corn yield. How to control the planting density of corn and arrange the amount of N fertilizer reasonably, so that corn can quickly convert light energy, thereby increasing corn yield, has become a prominent issue.
The main purpose of this study is to examine the effects of planting density and N fertilizer application on corn light energy utilization and yield through field experiments. It aims to provide a scientific basis for corn production management.

2. Materials and Methods

2.1. Study Area

The experimental site is located at the Experimental Station of the Agricultural College of Shihezi University (44°32′ N, 86°08′ E), with an altitude of 428 m, a temperate continental climate, a frost-free period of 168–171 days, annual sunshine hours of 2721–2818 h, an effective accumulated temperature of ≥10 °C. 3570 °C~3729 °C, and an annual precipitation of 125.0~207.9 mm. The soil type in this area is grey desert soil under irrigation. The basic soil samples (0–20 cm) of the test site were collected before sowing, and the sundries were removed, air-dried, and ground, then sieved and stored for soil nutrient determination. Soil alkaline nitrogen was determined by the alkaline solution diffusion method. Soil available phosphorus was determined by the NaHCO3 leaching-molybdenum antimony anti-colorimetric method. Soil available potassium was determined by ammonium acetate leaching-flame photometry. Soil organic matter was determined by the potassium dichromate oxidation-external heating method. The pH value of the soil extract with a soil-water ratio of 1:2.5 was measured using a pH meter. The basic physical and chemical properties of the soil in the cultivation layer (0~20 cm): pH is 7.79, organic matter is 19.5 g kg−1, alkali-hydrolyzable N is 62.13 mg kg−1, available phosphorus is 29.85 mg kg−1, and available potassium is 175.95 mg kg−1 [34].

2.2. Experimental Design

The experiment started in April 2021 and maize Xinyu 57 was used as the test crop. The study comprised two treatments, planting density (60,000 (D0), 120,000 (D1), and 180,000 (D2) plants hm−1) and N fertilizer application rate (0, 150, 300, and 450 kg hm−2 designated as N0, N1, N2, and N3, respectively). N fertilizers were applied two times where the basal fertilization accounted for 40% of the total N application amount and the remaining (60%) was used as top application in the Dazhongkou stage. Phosphate and potash were applied as basal fertilizers [35]. The contents of different fertilization treatment schemes are shown in Table 1, Table 2 and Table 3.
Table 1. Fertilization condition (kg hm−2).
Table 2. Fertilization amounts for different treatment (kg hm−2).
Table 3. N dosage setting (kg hm−2).
Each treatment has 5 rows, the length is 10.75 m, the row spacing is 0.5 m, the plant spacing is 0.33 m, 0.17 m, 0.11 m respectively, and the unit area of each treatment is 26.9 m2. Split zone design, nitrogen fertilizer as the main zone, density as the secondary zone, random block arrangement. The corn was sown in April and harvested in October.

2.3. Measurement Items and Methods

2.3.1. Agronomic Traits

Three Representative Plants without Pests and Diseases were Selected from Each Block to Conduct Sampling Surveys on Agronomic Traits at the Emergence Stage, the Big Bell Mouth Stage, the Tasseling Stage, the Grain Filling Stage, and the Mature Stage.
  • Plant individual height: the height from the ground to the top of the ear is the plant height
  • Leaf height at ear position: the height from the ground to the upper ear node is the height of the ear leaf
  • Stem thickness: measure the circumference of the first internode at the base of the stem with a tape measure, and convert the diameter to the stem diameter
  • Leaf inclination angle: take the stem as the axis, measure the angle between the straight line formed by the leaf tip and the ear part and the stem with a protractor, and take the average value [36].

2.3.2. Seed Test and Yield Determination

After the corn matured, 3 corn plants with uniform growth were selected for each treatment for seed test and yield measurement, and the ear length, ear diameter, bald tip length, number of grains per row, number of grains per ear, and 1000-grain weight were measured. After threshing and drying, they were weighed and the yield was calculated [36].

2.3.3. N

The weighed samples were ground into a powder with a pulverizer, and digested with concentrated sulfuric acid-H2SO4, and the total N concentration of the plant samples was determined by the Kjeldahl method. N analysis uses the N harvest index (NHI), N uptake efficiency (NUPE), and N utilization efficiency (NUE) as indicators [36]. Detailed calculation was as follows:
  • Determination of nitrogen content: The weighed sample is ground into powder by a pulverizer, digested with concentrated H2SO4-H2O2, and the total nitrogen concentration of the plant sample is determined by the Kjeldahl method.
  • Partial productivity of nitrogen fertilizer: Partial productivity of nitrogen fertilizer = grain yield/nitrogen application amount
  • Nitrogen accumulation = dry matter accumulation × nitrogen content
  • Nitrogen harvest index = nitrogen accumulation in grains/total nitrogen accumulation in aboveground plants × 100%
  • Nitrogen uptake efficiency = total nitrogen uptake by aboveground plants/nitrogen application rate
  • Nitrogen fertilizer use efficiency = (nitrogen uptake under nitrogen application − nitrogen uptake under no nitrogen application)/nitrogen application

2.3.4. Dry Matter Contribution Rate

Three uniform plants were selected from each plot, and the leaves, stems, and grains were sampled at the mature stage. All fresh samples were greened at 105 °C for 30 min, then dried at 80 °C to a constant weight, and their dry weight was weighed. [36].

2.4. Data Processing and Statistical Analysis

Traditional statistics require the data to follow a normal distribution, and the Kolmogorov–Smirnov (K–S) test is used to determine whether the data is normally distributed [37]. In this study, analysis of variance (ANOVA) was used to determine the effects of qualitative variables (groups of planting density and fertilization concentration) on maize agronomic traits and yield. Statistical analysis was performed using R 3.3.3 software.

3. Results

3.1. Effects of Planting Density and N Concentration on Maize Yield

Firstly, the effects of planting density and the N application rate on maize yield were studied. Fifteen corn plants with similar growth vigour were selected in each experimental block, and the yield and the main indicators affecting yield were calculated, including yield per mu, the number of grains per ear, the number of rows per ear, and the 1000-grain weight (Table 4 and Table 5). The results indicate that planting density and N application rates were significantly associated with maize yield. Among them, the yield per mu of maize increases with the increase in planting density, but the increase in yield between different planting densities is non-linear. The difference in yield increase between planting densities D0 and D1 was higher than that of planting densities D1 and D2. The yield of maize increased first and then decreased with the increase in the N application rate. Our results showed that the yield of maize was highest when the N application was at the N2 level, and the yield of maize was highest with N2D2, reaching 11976 kg hm−2. The number of grains per panicle, the number of rows per panicle, and the 1000-grain weight decreased with the increase in planting density. The number of grains per panicle increased with the increase in the N application rate. The number of rows per panicle and the 1000-grain weight first increased with the increase in the N application rate and then decreased, and it is highest when the N application rate is N2. With the increase in the N application rate gradient, the number of grains per panicle increased by about 0.1 grains per panicle, and with the increase of planting density, the number of grains per panicle decreased by about 0.2 grains per panicle.
Table 4. Differences in maize yield and yield-related indicators among different treatment groups.
Table 5. Significant Differences in Maize Yield Among Different Factors.
Overall, the maximum yield per mu of maize was obtained in the group of planting density D2 and N fertilizer N2. Our results suggest that increased planting density and appropriate N fertilization can maximize maize yield.

3.2. Effects of Planting Density and N Application Rate on Maize Seedling Stage

This paper mainly analyzes the seedling stage, the jointing stage, and the tasseling stage as the three main stages that most affect maize yield. In chronological order, the effects of planting density and the N application rate on maize yield at seedling stage were firstly analyzed. The maize plant height, NUE, N uptake efficiency (NUPE), and N harvest index (NHI) were measured to indicate the degree of influence (Table 6). Plant height was significantly correlated with planting density and N application rate, and planting density and N application rate were also significantly correlated with NUE, N uptake efficiency (NUPE), and N harvest index (NHI). However, the relationship between maize plant height and the N application rate was not linear. In addition, the effect of planting density on maize plant height was greater than that of N application. We analyzed the reasons for the increase in N fertilizer in different maize plant heights through NUE, N fertilizer absorption efficiency, and N fertilizer harvest index in different maize plant heights. We found that NUE, N uptake efficiency, and N harvest index all increased, but N harvest index increased less. The N2 group performed the best in the fertilization scheme, in which the N2 plant height was the highest, and the NUE and N absorption efficiency were the highest.
Table 6. Differences in maize plant height, NUE, and nitrogen absorption efficiency under different planting densities and fertilization concentrations seedling stage.
At the same time, we analyzed the effect of different N application rates on the stem diameter of the maize seedling stage. Stem diameter, as one of the maize plant types, is a direct indicator of maize yield. In the maize seedling stage, the difference in plant diameter is shown in Figure 1. The results in Figure 1 show that under the same fertilizer application rate, there are certain differences in the diameter of maize plants with different planting densities. The largest stem diameter was observed in the D1 group, and the largest stem diameter was observed in the N2D1 group, with a diameter of 1.871 cm. The stem diameter of maize plants in the seedling stage of the test D3 group was the smallest, and the stem diameter of the maize plants with the highest amount of N2 N fertilizer in the D3 group was only 1.722 cm. However, the stems of maize plants in the D2 group were slightly higher than those in the D3 group. We also analyzed the accumulation of plant dry matter during different types of N fertilizer application. The upper part was defined as 5 cm below the top of the plant, 5 cm above the rhizome as the lower part, and 5 cm in the middle as the middle part (Table 7). Table 7 shows that the dry matter accumulation and dry matter mass of each group were significantly correlated with planting density and the N application rate after corn bloom. Among them, the average dry matter accumulation of the N2D2 group was the highest, reaching 43.7 g/plant, and the dry matter contribution rate was 60.14%. The average dry matter accumulation in the N3D3 group was the lowest, only 36.3 g/plant, and the dry matter contribution rate was 55.12%. At the maize seedling stage, the N2D2 experimental group had the best growth, the highest dry matter accumulation, and the highest contribution rate, with lower water content and lower maize growth height.
Figure 1. Differences in the diameter of maize at the Seedling stage. Significant differences between groups are marked with lowercase letters, and there is no significant difference between groups with the same letter.
Table 7. Differences in maize plant height, NUE and N absorption efficiency under different planting densities and fertilization concentrations seedling stage.

3.3. Effects of Planting Density and N Application Rate on Maize Growth at Jointing Stage

The effects of different planting densities and N application rates on the growth of maize at the jointing stage were analyzed. The plant height of maize plants was used as a performance indicator because this indicator can directly reflect the growth potential of maize (Figure 2). From our results, it can be seen that planting density and N content have significant effects on the maize jointing stage. It can be seen that under the influence of different N content and planting density, the growth of the maize jointing stage is greatly affected. Among planting densities, maize in D2 group grew best at the jointing stage, which was significantly higher than in D1 and D3. In terms of N application, the N2 treatment scheme was significantly higher than the other two gradient fertilization schemes. The maximum plant height of maize appeared in the N2D2 group.
Figure 2. Differences in the leaf height of maize at the joint stage. Significant differences between groups are marked with lowercase letters, and there is no significant difference between groups with the same letter.

3.4. Effects of Planting Density and N Application Rate on Light Energy Use Efficiency of Maize at Heading Stage

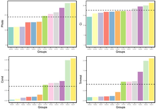
Heading stage is a critical period for corn yield. Higher light utilization efficiency resulted in greater effects of planting density and N application on maize photosynthesis during this period. Therefore, this experiment analyzed the effects of planting density and N application rates on maize light utilization efficiency at the heading stage (Figure 3). The results showed that when the planting density and N application rate changed at the heading stage, the leaf height at the ear position of the maize plant was different at the heading stage, and the growth value of each part also changed greatly. The general rule is that when the planting density increases and the N content remains unchanged, the position of the leaves at the ear of corn increases first and then decreases. Conversely, when the density was constant and the N content increased, the position of the leaves on the corn ear first increased and then remained unchanged. It can be seen that planting density and N application are the key factors affecting the growth of maize plants at the heading stage. The tasseling stage is the stage with the highest light energy utilization efficiency in maize photosynthesis, and the height of ear leaves can be affected by planting density and light energy utilization of maize N. Therefore, the photosynthetic parameters at this stage can be analyzed to determine the effects of different planting densities and N application rates on maize light use efficiency. The parameters of Ci and Cond were analyzed (Figure 4). The results showed that with the increase in the N application rate and density, the Ci parameter and Cond value changed in the same way, first increasing and then decreasing, and both reached the maximum value at N2 (Ci = 22.35, Cond = 0.176). Therefore, we concluded that when the N application rate was at the level of the N2 group, the photosynthesis of maize was the best, that is, the light utilization efficiency was the highest.
Figure 3. Differences in the leaf height of maize at the heading stage. Significant differences between groups are marked with lowercase letters, and there is no significant difference between groups with the same letter.
Figure 4. Differences in photosynthetic parameters of maize leaves with different fertilization and planting densities.

4. Discussion

Our results show that maize yield is related to planting density and N application. Different planting densities and N application rates affect the number of rows per ear, the number of grains per ear, etc., thus affecting the yield of maize. The number of rows per ear and the number of grains per ear play a key role by affecting the photosynthesis and light energy utilization of maize plant types under different planting densities and N fertilizer conditions, such as the distribution of photosynthetic products. This study shows that, within a certain range of N application rates, with the increase in N fertilizer amount, the yield of corn stalk can be significantly improved, and the accumulation of corn dry matter can be improved, which is consistent with previous studies [38,39,40,41,42]. During the growth period of maize, the rational application of N fertilizer can coordinate the growth of vegetative organs and reproductive organs, thus affecting the yield of maize. A large number of studies have shown that the use of N fertilizer can not only increase grain yield, promoting the accumulation of dry matter in maize, but also increase the accumulation of N [43]. Hou Yunpeng et al. showed that the application of N fertilizer can significantly increase the dry matter accumulation rate and the maximum N absorption rate of corn. When the N application rate is between N60–180 kg hm−1, increasing the N fertilizer amount can significantly improve the corn yield and the maximum dry matter, the accumulation rate, the N maximum absorption rate, and other indicators [44]. In this study, the amount of N uptake by maize was significantly correlated with the amount of N applied, which was consistent with the results of previous studies. Zhao et al. showed that when the N application rate was lower than 270 kg m−1, the application of N fertilizer could increase the dry matter weight of maize per plant. The dry matter weight decreased [45,46,47,48,49].
The total N accumulation in maize plants is caused mainly by increasing the accumulation of N in leaves and grains, improving NUE, reducing N distribution in stems, increasing N distribution in leaves and grains, and promoting N movement from stems to seeds to improve grain yield [50]. Under the conditions of this study, the grain yield of grain maize reached the maximum when the N application rate was 270 kg hm−2, and the grain yield began to decline when the N application rate exceeded this N rate. Studies have shown that the amount of N that is too low or too high will reduce the grain weight, and the amount of N in the appropriate range can increase the grain weight [51,52]. Some studies have also shown that the yield of summer maize increases first and then decreases with the increase in the N application rate. Reasonable N application can significantly improve grain yield, while excessive N application will reduce N utilization efficiency and partial N fertilizer productivity [49]. The results of this study are consistent with the above, the application of N fertilizer has a significant effect on the increase in maize yield, and the increase is 184.9%–193.7% under the optimal N application rate of grain maize. However, the yield began to decrease when the N fertilizer dosage exceeded 270 kg hm−2. The optimal N application rate is higher than the optimal N application rate of previous studies. This is mainly because of the special geographical environment in Northwest China, with many hills and mountains. The seasonal rainfall is large and the soil nutrient loss is relatively fast, resulting in low soil fertility. To obtain high yield, it is necessary to increase the input of N fertilizer.
Reasonable dense planting is to determine the appropriate density according to the changes of varieties and environmental conditions. Under the same conditions in the same area, the plant type, plant height, and yield of each variety are very different, so the appropriate density in the same area varies from variety to variety. The increased tolerance of maize to high densities allows maize to expand planting densities which will increase yields. Under the conditions of this experiment, the planting density of maize varieties was 55,500 plants/hm to obtain higher grain yield, and the yield began to decrease after exceeding this density. A large number of studies have shown that the effect of planting density on corn yield is related to the quadratic curve [51]. The yield of maize increased with the increase in planting density, but after a certain planting density, the yield began to decrease, and the determination of density was different for different varieties. Studies have shown that the best density estimate for the 1990 cultivar in Brazil is 85,000 plants hm−2 [52,53,54,55], and the 1990 Corn Belt planting density in the United States reaches 80,000 plants hm−2 [56]. It can be seen that, compared with European and American countries, the density tolerance of spring maize varieties in Northwest China is much lower than the national base level, which shows that there is a lot of room for improvement in the density tolerance of spring maize varieties in Northwest China. Previous studies conducted in central China showed that with the increase in density, the 1000-grain weight and the number of grains per ear showed a downward trend, but the population yield increased, and the dry matter accumulation and yield of the maize population increased with the increase in planting density. Under the condition of 9.0 and 10,000 plants hm−1, the dry matter accumulation and yield of maize increased by 8.3%, 5.2%, 27.7%, and 32.9%, respectively, compared with 6.75 and 45,000 plants hm−1 [57]. The results of this experiment showed that with the increase of planting density, the yield of corn stalks showed an increasing trend, which indicated that higher planting density was beneficial to the production of more corn stalk feed.

5. Conclusions

Planting density and N application rates had significant effects on corn light utilization and yield. Appropriate density and reasonable N application rates can help increase corn yield. The utilization of light energy in maize is mainly accomplished through photosynthesis. Therefore, the effect of planting density on the utilization of corn light energy is more significant. Density is affected by the crop variety, and the application rate of different N fertilizer types can also significantly affect maize yield. The increase in the N application rate can improve the photosynthetic characteristics of plants. The density effect in the early stage of plant growth had a great influence on the net photosynthetic rate of the leaves at ear position, and the carbon assimilation of the plant was affected. The dry matter of maize plants decreased significantly under the condition of high density. Therefore, under high density conditions, it is necessary to increase the application amount of N fertilizer to increase the content of photosynthetic pigments in panicle leaves and improve the efficiency of light energy use. This analysis verifies the effects of the above analysis of planting density and N application on corn light energy utilization and yield, and compares the results of several schemes. Plants hm−1 was the best, whilst other options also improved corn yield, but at lower levels.

Author Contributions

Conceptualization, C.M.; methodology, C.M.; formal analysis, C.M.; investigation, C.M., Z.W., Y.C., F.D. and J.C.; writing—original draft, C.M.; writing—review & Editing, C.X.; visualization, C.M.; supervision, C.X.; project administration, C.X. All authors have read and agreed to the published version of the manuscript.

Funding

This research was funded by National Natural Science Foundation of China, grant number (31460326). And the APC was funded by the same grant.

Institutional Review Board Statement

Not applicable.

Data Availability Statement

Not applicable.

Conflicts of Interest

The authors declare no conflict of interest.

References

  1. Keating, B.; Carberry, P. Resource capture and use in intercropping: Solar radiation. Field Crops Res. 1993, 34, 273–301. [Google Scholar] [CrossRef]
  2. Charles, B. The Food and Agriculture Organization of the United Nations (FAO) and World Food Security—Targeting Food Loss and Waste; FAO: Rome, Italy, 2019. [Google Scholar]
  3. Parihar, C.; Nayak, H.; Rai, V.; Jat, S.; Parihar, N.; Aggarwal, P.; Mishra, A. Soil water dynamics, water productivity and radiation use efficiency of maize under multi-year conservation agriculture during contrasting rainfall events. Field Crops Res. 2019, 241, 107570. [Google Scholar] [CrossRef]
  4. Boomsma, C.R.; Santini, J.B.; Tollenaar, M.; Vyn, T.J. Maize morphophysiological responses to intense crowding and low nitrogen availability: An analysis and review. Agron. J. 2009, 101, 1426–1452. [Google Scholar] [CrossRef]
  5. Shi, D.-Y.; Li, Y.-H.; Zhang, J.-W.; Liu, P.; Zhao, B.; Dong, S.-T. Increased plant density and reduced N rate lead to more grain yield and higher resource utilization in summer maize. J. Integr. Agric. 2016, 15, 2515–2528. [Google Scholar] [CrossRef]
  6. Xiangbei, D.; Lingcong, K.; Min, X.; Xinyue, Z. Split application improving sweetpotato yield by enhancing photosynthetic and sink capacity under reduced nitrogen condition. Field Crops Res. 2019, 238, 56–63. [Google Scholar] [CrossRef]
  7. Davidson, E.A.; Suddick, E.C.; Rice, C.W.; Prokopy, L.S. More Food, Low pollution (Mo Fo Lo Po): A grand challenge for the 21st century. J. Environ. Qual. 2015, 44, 305–311. [Google Scholar] [CrossRef]
  8. Pareja-Sánchez, E.; Plaza-Bonilla, D.; Álvaro-Fuentes, J.; Cantero-Martínez, C. Is it feasible to reduce tillage and N use while improving maize yield in irrigated Mediterranean agroecosystems? Eur. J. Agron. 2019, 109, 125919. [Google Scholar] [CrossRef]
  9. Testa, G.; Reyneri, A.; Blandino, M. Maize grain yield enhancement through high plant density cultivation with different inter-row and intra-row spacings. Eur. J. Agron. 2015, 72, 28–37. [Google Scholar] [CrossRef]
  10. Chen, G.; Cao, H.; Liang, J.; Ma, W.; Guo, L.; Zhang, S.; Jiang, R.; Zhang, H.; Goulding, K.W.T.; Zhang, F. Factors affecting nitrogen use efficiency and grain yield of summer maize on smallholder farms in the north China plain. Sustainability 2018, 10, 363. [Google Scholar] [CrossRef]
  11. Tian, G.; Gao, L.; Kong, Y.; Hu, X.; Xie, K.; Zhang, R.; Ling, N.; Shen, Q.; Guo, S. Improving rice population productivity by reducing nitrogen rate and increasing plant density. PLoS ONE 2017, 12, e0182310. [Google Scholar] [CrossRef]
  12. Liu, G.; Hou, P.; Xie, R.; Ming, B.; Wang, K.; Xu, W.; Liu, W.; Yang, Y.; Li, S. Canopy characteristics of high-yield maize with yield potential of 22.5 Mg ha-1. Field Crops Res. 2017, 213, 221–230. [Google Scholar] [CrossRef]
  13. Liu, G.; Hou, P.; Xie, R.; Ming, B.; Wang, K.; Liu, W.; Yang, Y.; Xu, W.; Chen, J.; Li, S. Nitrogen uptake and response to radiation distribution in the canopy of high-yield maize. Crops Sci. 2019, 59, 1236–1247. [Google Scholar] [CrossRef]
  14. Zhang, G.; Shen, D.; Xie, R.; Ming, B.; Hou, P.; Xue, J.; Li, R.; Chen, J.; Wang, K.; Li, S. Optimizing planting density to improve nitrogen use of super high-yield maize. Agron. J. 2020, 112, 4147–4158. [Google Scholar] [CrossRef]
  15. Yang, G.; Tang, H.; Nie, Y.; Zhang, X. Responses of cotton growth, yield, and biomass to nitrogen split application ratio. Eur. J. Agron. 2011, 35, 164–170. [Google Scholar] [CrossRef]
  16. Maddonni, G.; Otegui, M. Leaf area, light interception, and crop development in maize. Field Crops Res. 1996, 48, 81–87. [Google Scholar] [CrossRef]
  17. Maddonni, G.; Otegui, M.; Cirilo, A. Plant population density, row spacing and hybrid effects on maize canopy architecture and light attenuation. Field Crops Res. 2001, 71, 183–193. [Google Scholar] [CrossRef]
  18. Yao, H.; Zhang, Y.; Yi, X.; Zhang, X.; Zhang, W. Cotton responds to different plant population densities by adjusting specific leaf area to optimize canopy photosynthetic use efficiency of light and nitrogen. Field Crops Res. 2016, 188, 10–16. [Google Scholar] [CrossRef]
  19. Ciampitti, I.A.; Vyn, T.J. A comprehensive study of plant density consequences on nitrogen uptake dynamics of maize plants from vegetative to reproductive stages. Field Crops Res. 2011, 121, 2–18. [Google Scholar] [CrossRef]
  20. Bolaños, J.; Edmeades, G. Eight cycles of selection for drought tolerance in lowland tropical maize. I. Responses in grain yield, biomass, and radiation utilization. Field Crops Res. 1993, 31, 233–252. [Google Scholar] [CrossRef]
  21. Chang, J.-F.; Zhang, H.-H.; Li, H.-P.; Dong, P.-F.; Li, C.-H. Effects of different row spaces on canopy structure and resistance of summer maize. Acta Agron. Sin. 2016, 42, 104–112. [Google Scholar] [CrossRef]
  22. Dai, J.; Li, W.; Tang, W.; Zhang, D.; Li, Z.; Lu, H.; Eneji, A.E.; Dong, H. Manipulation of dry matter accumulation and partitioning with plant density in relation to yield stability of cotton under intensive management. Field Crops Res. 2015, 180, 207–215. [Google Scholar] [CrossRef]
  23. Tian, J.; Wang, C.; Xia, J.; Wu, L.; Xu, G.; Wu, W.; Li, D.; Qin, W.; Han, X.; Chen, Q.; et al. Teosinte ligule allele narrows plant architecture and enhances high-density maize yields. Science 2019, 365, 658–664. [Google Scholar] [CrossRef] [PubMed]
  24. Monteith, J.L.; Reifsnyder, W.E. Principles of Environmental Physics. Phys. Today 1974, 27, 51–52. [Google Scholar] [CrossRef]
  25. Zhai, L.-C.; Xie, R.-Z.; Ming, B.; Li, S.-K.; Ma, D.-L. Evaluation and analysis of intraspecific competition in maize: A case study on plant density experiment. J. Integr. Agric. 2018, 17, 2235–2244. [Google Scholar] [CrossRef]
  26. Mao, L.; Zhang, L.; Zhao, X.; Liu, S.; van der Werf, W.; Zhang, S.; Spiertz, H.; Li, Z. Crop growth, light utilization and yield of relay intercropped cotton as affected by plant density and a plant growth regulator. Field Crops Res. 2014, 155, 67–76. [Google Scholar] [CrossRef]
  27. Ku, L.X.; Zhang, J.; Guo, S.L.; Liu, H.Y.; Zhao, R.F.; Chen, Y.H. Integrated multiple population analysis of leaf architecture traits in maize (Zea mays L.). J. Exp. Bot. 2011, 63, 261–274. [Google Scholar] [CrossRef]
  28. Zahedi, M.; Mondani, F.; Eshghizadeh, H.R. Analyzing the energy balances of double-cropped cereals in an arid region. Energy Rep. 2015, 1, 43–49. [Google Scholar] [CrossRef]
  29. Parry, M.A.J.; Reynolds, M.; Salvucci, M.E.; Raines, C.; Andralojc, P.J.; Zhu, X.-G.; Price, D.G.; Condon, A.G.; Furbank, R.T. Raising yield potential of wheat. II. Increasing photosynthetic capacity and efficiency. J. Exp. Bot. 2010, 62, 453–467. [Google Scholar] [CrossRef]
  30. Battaglia, M.; Lee, C.; Thomason, W.; Van Mullekom, J. Effects of corn row width and defoliation timing and intensity on canopy light interception. Crops Sci. 2019, 59, 1718–1731. [Google Scholar] [CrossRef]
  31. Awal, M.; Ikeda, T. Effect of elevated soil temperature on radiation-use efficiency in peanut stands. Agric. For. Meteorol. 2003, 118, 63–74. [Google Scholar] [CrossRef]
  32. Jahan, M.; Mahallati, M.N.; Amiri, M.; Ehyayi, H. Radiation absorption and use efficiency of sesame as affected by biofertilizers inoculation in a low input cropping system. Ind. Crops Prod. 2013, 43, 606–611. [Google Scholar] [CrossRef]
  33. Huang, M.; Chen, J.; Cao, F.; Zou, Y. Increased hill density can compensate for yield loss from reduced nitrogen input in machine-transplanted double-cropped rice. Field Crops Res. 2018, 221, 333–338. [Google Scholar] [CrossRef]
  34. Ming, B.; Xie, R.; Hou, P.; Li, L.; Wang, K.; Li, S. Changes of maize planting density in China. Sci. Agric. Sin. 2017, 50, 1960–1972. [Google Scholar]
  35. Gou, F.; van Ittersum, M.K.; Simon, E.; Leffelaar, P.A.; van der Putten, P.E.; Zhang, L.; van der Werf, W. Intercropping wheat and maize increases total radiation interception and wheat RUE but lowers maize RUE. Eur. J. Agron. 2017, 84, 125–139. [Google Scholar] [CrossRef]
  36. Amanullah, M.J.H.; Nawab, K.; Ali, A. Response of specific leaf area (SLA), leaf area index (LAI) and leaf area ratio (LAR) of maize (Zea mays L.) to plant density, rate and timing of nitrogen application. World Appl. Sci. J. 2007, 2, 235–243. [Google Scholar]
  37. Van Opstal, N.V.; Caviglia, O.P.; Melchiori, R.J. Water and solar radiation productivity of double-crops in a humid temperate area. Aust. J. Crop Sci. 2011, 5, 1760–1766. [Google Scholar]
  38. Ning, P.; Yang, L.; Li, C.; Fritschi, F.B. Post-silking carbon partitioning under nitrogen deficiency revealed sink limitation of grain yield in maize. J. Exp. Bot. 2018, 69, 1707–1719. [Google Scholar] [CrossRef] [PubMed]
  39. Meng, Q.; Hou, P.; Wu, L.; Chen, X.; Cui, Z.; Zhang, F. Understanding production potentials and yield gaps in intensive maize production in China. Field Crops Res. 2013, 143, 91–97. [Google Scholar] [CrossRef]
  40. Muchow, R.; Carberry, P. Environmental control of phenology and leaf growth in a tropically adapted maize. Field Crops Res. 1989, 20, 221–236. [Google Scholar] [CrossRef]
  41. Shah, S.F.A.; McKenzie, B.A.; Gaunt, R.E.; Marshall, J.W.; Frampton, C.M. Effect of early blight (Alternaria solani) and different nitrogen inputs on radiation interception, radiation use efficiency, and total dry matter production in potatoes(Solanum tuberosum) grown in Canterbury, New Zealand. N. Z. J. Crops Hortic. Sci. 2004, 32, 263–272. [Google Scholar] [CrossRef]
  42. Luque, S.; Cirilo, A.G.; Otegui, M.E. Genetic gains in grain yield and related physiological attributes in Argentine maize hybrids. Field Crops Res. 2006, 95, 383–397. [Google Scholar] [CrossRef]
  43. Wei, S.; Wang, X.; Zhu, Q.; Jiang, D.; Dong, S. Optimising yield and resource utilisation of summer maize under the conditions of increasing density and reducing nitrogen fertilization. Sci. Nat. 2017, 104, 86. [Google Scholar] [CrossRef] [PubMed]
  44. Zhang, S.; Yue, S.; Yan, P.; Qiu, M.; Chen, X.; Cui, Z. Testing the suitability of the end-of-season stalk nitrate test for summer corn (Zea mays L.) production in China. Field Crops Res. 2013, 154, 153–157. [Google Scholar] [CrossRef]
  45. Peng, S.; Buresh, R.J.; Huang, J.; Yang, J.; Zou, Y.; Zhong, X.; Wang, G.; Zhang, F. Strategies for overcoming low agronomic nitrogen use efficiency in irrigated rice systems in China. Field Crops Res. 2006, 96, 37–47. [Google Scholar] [CrossRef]
  46. Seyoum, S.; Rachaputi, R.; Fekybelu, S.; Chauhan, Y.; Prasanna, B. Exploiting genotype x environment x management interactions to enhance maize productivity in Ethiopia. Eur. J. Agron. 2018, 103, 165–174. [Google Scholar] [CrossRef]
  47. Yong, T.-W.; Chen, P.; Dong, Q.; DU, Q.; Yang, F.; Wang, X.-C.; Liu, W.-G.; Yang, W.-Y. Optimized nitrogen application methods to improve nitrogen use efficiency and nodule nitrogen fixation in a maize-soybean relay intercropping system. J. Integr. Agric. 2018, 17, 664–676. [Google Scholar] [CrossRef]
  48. Sinclair, T.R.; Muchow, R.C. Radiation use efficiency. Adv. Agron. 1999, 65, 215–265. [Google Scholar] [CrossRef]
  49. Abera, T.; Debele, T.; Wegary, D. Effects of varieties and nitrogen fertilizer on yield and yield components of maize on farmers field in mid altitude areas of western Ethiopia. Int. J. Agron. 2017, 2017, 4253917. [Google Scholar] [CrossRef]
  50. Gandhi, V.P.; Zhou, Z. Food demand and the food security challenge with rapid economic growth in the emerging economies of India and China. Food Res. Int. 2014, 63, 108–124. [Google Scholar] [CrossRef]
  51. Sadras, V.O. Population-level compensation after loss of vegetative buds: Interactions among damaged and undamaged cotton neighbours. Oecologia 1996, 106, 417–423. [Google Scholar] [CrossRef]
  52. William, H. Official Methods of Analysis; Association of Official Analytical Chemists: Washington, DC, USA, 1996. [Google Scholar]
  53. Du, X.; Chen, B.; Shen, T.; Zhang, Y.; Zhou, Z. Effect of cropping system on radiation use efficiency in double-cropped wheat-cotton. Field Crops Res. 2015, 170, 21–31. [Google Scholar] [CrossRef]
  54. Zhu, X.; Zhang, J.; Zhang, Z.; Deng, A.; Zhang, W. Dense planting with less basal nitrogen fertilization might benefit rice cropping for high yield with less environmental impacts. Eur. J. Agron. 2016, 75, 50–59. [Google Scholar] [CrossRef]
  55. Zhang, X.; Bol, R.; Rahn, C.; Xiao, G.; Meng, F.; Wu, W. Agricultural sustainable intensification improved nitrogen use efficiency and maintained high crop yield during 1980–2014 in Northern China. Sci. Total Environ. 2017, 596–597, 61–68. [Google Scholar] [CrossRef] [PubMed]
  56. Zhu, X.-G.; Long, S.; Ort, D.R. Improving photosynthetic efficiency for greater yield. Annu. Rev. Plant Biol. 2010, 61, 235–261. [Google Scholar] [CrossRef] [PubMed]
  57. Jiang, X.; Tong, L.; Kang, S.; Li, F.; Li, D.; Qin, Y.; Shi, R.; Li, J. Planting density affected biomass and grain yield of maize for seed production in an arid region of northwest China. J. Arid Land 2018, 10, 292–303. [Google Scholar] [CrossRef]
Publisher’s Note: MDPI stays neutral with regard to jurisdictional claims in published maps and institutional affiliations.

Article Metrics

Citations

Article Access Statistics

Multiple requests from the same IP address are counted as one view.