Research on Spatial Scale of Fluctuation for the Uncertain Thermal Parameters of Artificially Frozen Soil
Abstract
1. Introduction
2. Materials and Methods
2.1. Background Description and Collection
2.2. Measurement and Extraction of Parameters
2.3. Calculating Method of Fluctuation Scales
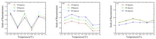
3. Results and Analyses
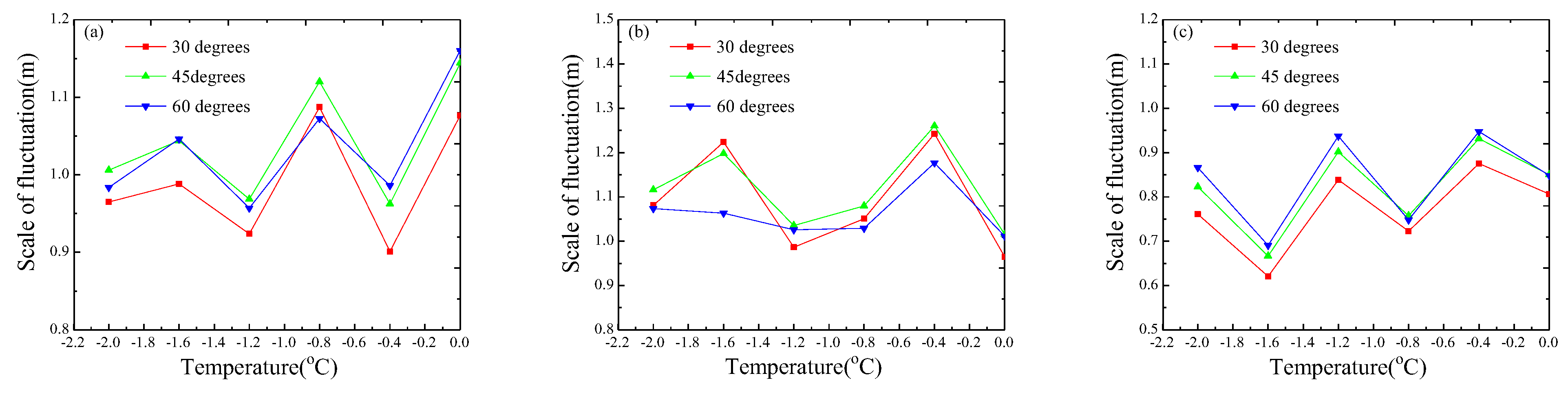
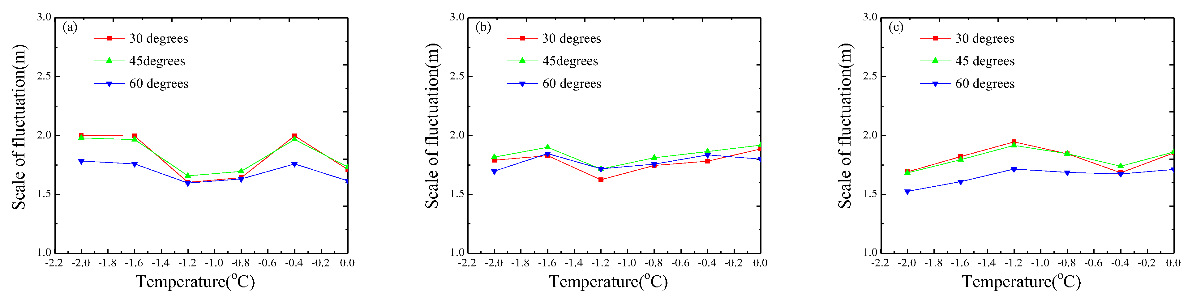
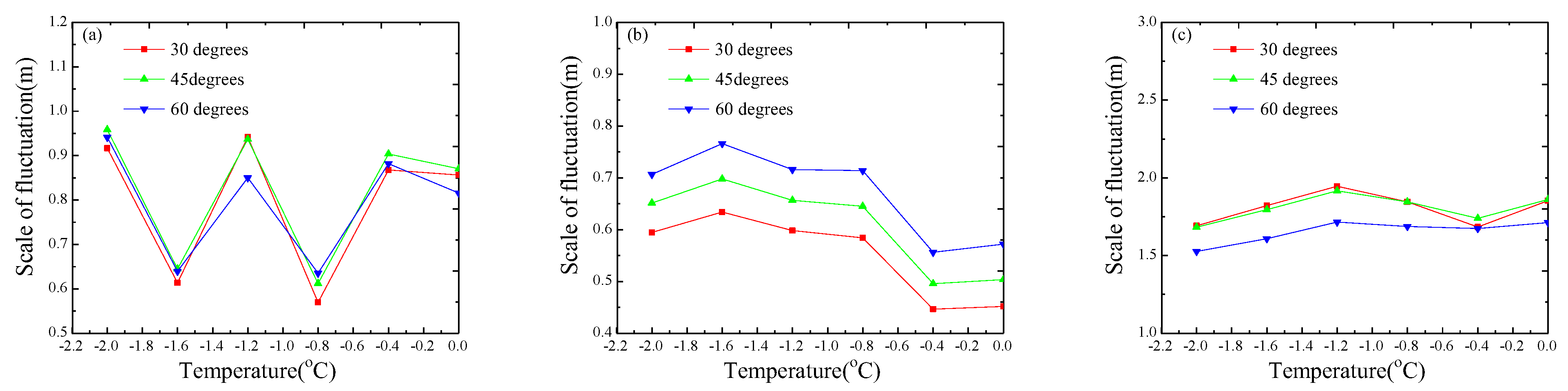
3.1. Vertical Fluctuation Scale
3.2. Horizontal Fluctuation Scale
3.3. Oblique Fluctuation Scale
4. Discussion
5. Conclusions
Author Contributions
Funding
Acknowledgments
Conflicts of Interest
References
- Fan, W.H.; Yang, P. Ground temperature characteristics during artificial freezing around a subway cross passage. Transp. Geotech. 2019, 20, 100250. [Google Scholar] [CrossRef]
- Ma, D.D.; Ma, Q.Y.; Yao, Z.M.; Huang, K. Static-dynamic coupling mechanical properties and constitutive model of artificial frozen silty clay under triaxial compression. Cold Reg. Sci. Technol. 2019, 167, 102858. [Google Scholar] [CrossRef]
- Cai, H.B.; Li, S.; Liang, Y.; Yao, Z.S.; Cheng, H. Model test and numerical simulation of frost heave during twin-tunnel construction using artificial ground-freezing technique. Comput. Geotech. 2019, 115, 103155. [Google Scholar] [CrossRef]
- Hu, X.D.; Han, L.; Han, Y.G. Analytical solution to temperature distribution of frozen soil wall by multi-row-piped freezing with the boundary separation method. Appl. Therm. Eng. 2019, 149, 702–711. [Google Scholar] [CrossRef]
- Alzoubi, M.A.; Madiseh, A.; Hassani, F.P.; Sasmito, A.P. Heat transfer analysis in artificial ground freezing under high seepage: Validation and heatlines visualization. Int. J. Therm. Sci. 2019, 139, 232–245. [Google Scholar] [CrossRef]
- Tu, S.; Yang, X.; Zhou, X.; Luo, M.; Zhang, X. Experimenting and Modeling Thermal Performance of Ground Heat Exchanger Under Freezing Soil Conditions. Sustainability 2019, 11, 5738. [Google Scholar] [CrossRef]
- Cai, H.B.; Liu, Z.; Li, S.; Zheng, T.L. Improved analytical prediction of ground frost heave during tunnel construction using artificial ground freezing technique. Tunn. Undergr. Space Technol. 2019, 92, 103050. [Google Scholar] [CrossRef]
- Huang, S.B.; Guo, Y.L.; Liu, Y.Z.; Ke, L.H.; Liu, G.F.; Chen, C. Study on the influence of water flow on temperature around freeze pipes and its distribution optimization during artificial ground freezing. Appl. Therm. Eng. 2018, 135, 435–445. [Google Scholar] [CrossRef]
- Shan, W.; Zhang, C.; Guo, Y.; Qiu, L.; Xu, Z.; Wang, Y. Spatial Distribution and Variation Characteristics of Permafrost Temperature in Northeast China. Sustainability 2022, 14, 8178. [Google Scholar] [CrossRef]
- Rouabhi, A.; Jahangir, E.; Tounsi, H. Modeling heat and mass transfer during ground freezing taking into account the salinity of the saturating fluid. Int. J. Heat Mass Transf. 2018, 120, 523–533. [Google Scholar] [CrossRef]
- Li, T.; Zhou, Y.; Shi, X.Y.; Hu, X.X.; Zhou, G.Q. Analytical solution for the soil freezing process induced by an infinite line sink. Int. J. Therm. Sci. 2018, 127, 232–241. [Google Scholar] [CrossRef]
- Meng, F.; Hou, R.; Li, T.; Fu, Q. Variability of Soil Water Heat and Energy Transfer Under Different Cover Conditions in a Seasonally Frozen Soil Area. Sustainability 2020, 12, 1782. [Google Scholar] [CrossRef]
- Hu, X.D.; Yu, J.Z.; Ren, H.; Wang, Y.; Wang, J.T. Analytical solution to steady-state temperature field for straight-row-piped freezing based on superposition of thermal potential. Appl. Therm. Eng. 2017, 111, 223–231. [Google Scholar] [CrossRef]
- Li, S.Y.; Wang, C.; Shi, L.H.; Yin, N. Statistical characteristics of the thermal conductivity of frozen clay at different water contents. Results Phys. 2019, 13, 102179. [Google Scholar] [CrossRef]
- Li, S.Y.; Wang, C.; Xu, X.T.; Shi, L.H.; Yin, N. Experimental and statistical studies on the thermal properties of frozen clay in Qinghai-Tibet Plateau. Appl. Clay Sci. 2019, 177, 1–11. [Google Scholar] [CrossRef]
- Wang, T.; Zhou, G.Q.; Jiang, X.; Wang, J.Z. Assessment for the spatial variation characteristics of uncertain thermal parameters for warm frozen soil. Appl. Therm. Eng. 2018, 134, 484–489. [Google Scholar] [CrossRef]
- Shen, Y.J.; Wang, Y.Z.; Zhao, X.D.; Yang, G.S.; Jia, H.L.; Rong, T.L. The influence of temperature and moisture content on sandstone thermal conductivity from a case using the artificial ground freezing(AGF) method. Cold Reg. Sci. Technol. 2018, 155, 149–160. [Google Scholar] [CrossRef]
- Vessia, G.; Russo, S. Random field theory to interpret the spatial variability of lacustrine soils. Biosyst. Eng. 2018, 168, 4–13. [Google Scholar] [CrossRef]
- Liu, H.X.; Qi, X.H. Random field characterization of uniaxial compressive strength and elastic modulus for intact rocks. Geosci. Front. 2018, 9, 1609–1618. [Google Scholar] [CrossRef]
- Chen, D.F.; Xu, D.P.; Ren, G.F.; Jiang, Q.; Liu, G.F.; Wan, L.P.; Li, N. Simulation of cross-correlated non-Gaussian random fields for layered rock mass mechanical parameters. Comput. Geotech. 2019, 112, 104–119. [Google Scholar] [CrossRef]
- Masoudian, M.S.; Afrapoli, M.A.; Tasalloti, A.; Marshall, A.M. A general framework for coupled hydro-mechanical modelling of rainfall-induced instability in unsaturated slopes with multivariate random fields. Comput. Geotech. 2019, 115, 103162. [Google Scholar] [CrossRef]
- Dyson, A.P.; Tolooiyan, A. Prediction and classification for finite element slope stability analysis by random field comparison. Comput. Geotech. 2019, 109, 117–129. [Google Scholar] [CrossRef]
- Li, D.Q.; Xiao, T.; Zhang, L.M.; Cao, Z.J. Stepwise covariance matrix decomposition for efficient simulation of multivariate large-scale three-dimensional random fields. Appl. Math. Model. 2019, 68, 169–181. [Google Scholar] [CrossRef]
- Jiang, S.H.; Huang, J.S.; Huang, F.M.; Yang, J.H.; Chi, Y.; Zhou, C.B. Modelling of spatial variability of soil undrained shear strength by conditional random fields for slope reliability analysis. Appl. Math. Model. 2018, 63, 374–389. [Google Scholar] [CrossRef]
- Gong, W.; Juang, C.H.; Martin, I.I.J.R.; Tang, H.; Wang, Q.; Huang, H. Probabilistic analysis of tunnel longitudinal performance based upon conditional random field simulation of soil properties. Tunn. Undergr. Space Technol. 2018, 73, 1–14. [Google Scholar] [CrossRef]
- Liu, Z.Q.; Yang, W.H.; Wei, J. Analysis of random temperature field for freeway with wide subgrade in cold regions. Cold Reg. Sci. Technol. 2014, 106, 22–27. [Google Scholar] [CrossRef]
- Wang, T.; Zhou, G.Q.; Wang, J.Z.; Zhou, L. Stochastic analysis of uncertain thermal parameters for random thermal regime of frozen soil around a single freezing pipe. Heat Mass Transf. 2018, 54, 2845–2852. [Google Scholar] [CrossRef]
- Wang, T.; Zhou, G.Q.; Chao, D.Y.; Yin, L.J. Influence of hydration heat on stochastic thermal regime of frozen soil foundation considering spatial variability of thermal parameters. Appl. Therm. Eng. 2018, 142, 1–9. [Google Scholar] [CrossRef]
- Wang, T.; Zhou, G.Q.; Wang, J.Z.; Zhou, Y.; Chen, T. Stochastic coupling analysis of uncertain hydro-thermal properties for embankment in cold regions. Transp. Geotech. 2019, 21, 100275. [Google Scholar] [CrossRef]
- Liu, L.L.; Cheng, Y.M.; Jiang, S.H.; Zhang, S.H.; Wang, X.M.; Wu, Z.H. Effects of spatial autocorrelation structure of permeability on seepage through an embankment on a soil foundation. Comput. Geotech. 2017, 87, 62–75. [Google Scholar] [CrossRef]
- Zhu, H.; Zhang, L.M.; Xiao, T.; Li, X.Y. Generation of multivariate cross-correlated geotechnical random fields. Comput. Geotech. 2017, 86, 95–107. [Google Scholar] [CrossRef]
- Zhao, T.Y.; Wang, Y. Simulation of cross-correlated random field samples from sparse measurements using Bayesian compressive sensing. Mech. Syst. Signal Process. 2018, 112, 384–400. [Google Scholar] [CrossRef]
- Zhu, H.; Zhang, L.M. Characterizing geotechnical anisotropic spatial variations using random field theory. Can. Geotech. J. 2013, 50, 723–773. [Google Scholar] [CrossRef]








| Number | Density (g/cm3) | Dry Density (g/cm3) | Water Content | |||
|---|---|---|---|---|---|---|
| V | H | V | H | V | H | |
| 1 | 2.01 | 2.06 | 1.60 | 1.62 | 26.01% | 26.98% |
| 2 | 2.12 | 2.12 | 1.60 | 1.60 | 32.45% | 32.28% |
| 3 | 2.34 | 2.42 | 1.79 | 1.85 | 30.41% | 30.48% |
| 4 | 1.93 | 1.97 | 1.45 | 1.48 | 33.22% | 33.46% |
| 5 | 2.18 | 2.12 | 1.71 | 1.68 | 27.67% | 26.52% |
| 6 | 1.85 | 1.81 | 1.46 | 1.43 | 26.62% | 26.85% |
| 7 | 1.92 | 1.92 | 1.55 | 1.54 | 23.61% | 24.42% |
| 8 | 1.9 | 1.86 | 1.54 | 1.48 | 23.36% | 25.89% |
| 9 | 1.84 | 1.83 | 1.47 | 1.48 | 25.07% | 23.26% |
| 10 | 1.77 | 1.85 | 1.39 | 1.42 | 27.68% | 30.16% |
| Number | Thermal Conductivity (W/(m·°C)) | |||||||||||
|---|---|---|---|---|---|---|---|---|---|---|---|---|
| −2.0 °C | −1.6 °C | −1.2 °C | −0.8 °C | −0.4 °C | 0 °C | |||||||
| V | H | V | H | V | H | V | H | V | H | V | H | |
| 1 | 1.552 | 1.513 | 1.408 | 1.478 | 1.580 | 1.571 | 1.473 | 1.379 | 1.460 | 1.368 | 1.490 | 1.539 |
| 2 | 1.444 | 1.428 | 1.444 | 1.433 | 1.527 | 1.455 | 1.269 | 1.347 | 1.429 | 1.362 | 1.293 | 1.401 |
| 3 | 1.546 | 1.529 | 1.470 | 1.481 | 1.624 | 1.486 | 1.465 | 1.483 | 1.305 | 1.433 | 1.522 | 1.453 |
| 4 | 1.426 | 1.474 | 1.382 | 1.454 | 1.327 | 1.517 | 1.509 | 1.436 | 1.330 | 1.457 | 1.413 | 1.381 |
| 5 | 1.367 | 1.437 | 1.374 | 1.469 | 1.342 | 1.402 | 1.183 | 1.431 | 1.303 | 1.433 | 1.433 | 1.461 |
| 6 | 1.600 | 1.503 | 1.580 | 1.479 | 1.572 | 1.446 | 1.535 | 1.484 | 1.446 | 1.490 | 1.291 | 1.472 |
| 7 | 1.581 | 1.568 | 1.398 | 1.500 | 1.431 | 1.446 | 1.280 | 1.448 | 1.448 | 1.448 | 1.474 | 1.520 |
| 8 | 1.636 | 1.658 | 1.582 | 1.485 | 1.472 | 1.493 | 1.320 | 1.454 | 1.508 | 1.378 | 1.437 | 1.470 |
| 9 | 1.498 | 1.451 | 1.539 | 1.486 | 1.314 | 1.370 | 1.585 | 1.475 | 1.423 | 1.429 | 1.378 | 1.459 |
| 10 | 1.560 | 1.529 | 1.449 | 1.426 | 1.283 | 1.355 | 1.406 | 1.518 | 1.397 | 1.355 | 1.483 | 1.479 |
| Number | Heat Capacity (106 J/(m3·°C)) | |||||||||||
|---|---|---|---|---|---|---|---|---|---|---|---|---|
| −2.0 °C | −1.6 °C | −1.2 °C | −0.8 °C | −0.4 °C | 0 °C | |||||||
| V | H | V | H | V | H | V | H | V | H | V | H | |
| 1 | 2.209 | 2.093 | 2.132 | 2.138 | 2.185 | 2.204 | 1.924 | 1.886 | 1.975 | 2.017 | 1.926 | 2.106 |
| 2 | 2.232 | 2.086 | 2.086 | 2.145 | 2.238 | 2.203 | 2.120 | 2.193 | 1.977 | 2.009 | 2.036 | 2.035 |
| 3 | 2.195 | 2.090 | 2.422 | 2.381 | 2.071 | 2.215 | 2.268 | 2.344 | 2.417 | 2.413 | 1.974 | 1.897 |
| 4 | 2.271 | 2.316 | 2.193 | 2.161 | 2.162 | 2.347 | 1.934 | 1.903 | 1.972 | 2.037 | 1.962 | 1.965 |
| 5 | 2.299 | 2.312 | 2.253 | 2.245 | 2.224 | 2.196 | 2.047 | 2.101 | 1.920 | 1.903 | 2.116 | 2.313 |
| 6 | 2.316 | 2.485 | 2.035 | 1.813 | 2.194 | 2.116 | 2.025 | 2.073 | 2.176 | 2.099 | 2.063 | 1.978 |
| 7 | 2.171 | 2.097 | 2.008 | 2.032 | 1.906 | 1.765 | 2.087 | 2.229 | 2.004 | 2.013 | 1.884 | 1.739 |
| 8 | 2.092 | 1.921 | 2.002 | 1.905 | 1.933 | 1.935 | 2.168 | 2.321 | 1.925 | 2.043 | 1.982 | 2.003 |
| 9 | 2.147 | 2.078 | 2.244 | 2.266 | 1.836 | 1.790 | 1.887 | 2.018 | 2.136 | 2.190 | 1.949 | 2.020 |
| 10 | 2.185 | 2.093 | 2.216 | 2.185 | 2.052 | 2.098 | 1.915 | 2.028 | 2.033 | 2.019 | 2.057 | 2.077 |
| Number | Thermal Diffusivity (10−6 m2/s) | |||||||||||
|---|---|---|---|---|---|---|---|---|---|---|---|---|
| −2.0 °C | −1.6 °C | −1.2 °C | −0.8 °C | −0.4 °C | 0 °C | |||||||
| V | H | V | H | V | H | V | H | V | H | V | H | |
| 1 | 1.552 | 1.513 | 1.408 | 1.478 | 1.580 | 1.571 | 1.473 | 1.379 | 1.460 | 1.368 | 1.490 | 1.539 |
| 2 | 1.444 | 1.428 | 1.444 | 1.433 | 1.527 | 1.455 | 1.269 | 1.347 | 1.429 | 1.362 | 1.293 | 1.401 |
| 3 | 1.546 | 1.529 | 1.470 | 1.481 | 1.624 | 1.486 | 1.465 | 1.483 | 1.305 | 1.433 | 1.522 | 1.453 |
| 4 | 1.426 | 1.474 | 1.382 | 1.454 | 1.327 | 1.517 | 1.509 | 1.436 | 1.330 | 1.457 | 1.413 | 1.381 |
| 5 | 1.367 | 1.437 | 1.374 | 1.469 | 1.342 | 1.402 | 1.183 | 1.431 | 1.303 | 1.433 | 1.433 | 1.461 |
| 6 | 1.600 | 1.503 | 1.580 | 1.479 | 1.572 | 1.446 | 1.535 | 1.484 | 1.446 | 1.490 | 1.291 | 1.472 |
| 7 | 1.581 | 1.568 | 1.398 | 1.500 | 1.431 | 1.446 | 1.280 | 1.448 | 1.448 | 1.448 | 1.474 | 1.520 |
| 8 | 1.636 | 1.658 | 1.582 | 1.485 | 1.472 | 1.493 | 1.320 | 1.454 | 1.508 | 1.378 | 1.437 | 1.470 |
| 9 | 1.498 | 1.451 | 1.539 | 1.486 | 1.314 | 1.370 | 1.585 | 1.475 | 1.423 | 1.429 | 1.378 | 1.459 |
| 10 | 1.560 | 1.529 | 1.449 | 1.426 | 1.283 | 1.355 | 1.406 | 1.518 | 1.397 | 1.355 | 1.483 | 1.479 |
| Form | ||
|---|---|---|
| Single index | ||
| Quadratic index | ||
| Exponential cosine 1 | ||
| Exponential cosine 2 |
Publisher’s Note: MDPI stays neutral with regard to jurisdictional claims in published maps and institutional affiliations. |
© 2022 by the authors. Licensee MDPI, Basel, Switzerland. This article is an open access article distributed under the terms and conditions of the Creative Commons Attribution (CC BY) license (https://creativecommons.org/licenses/by/4.0/).
Share and Cite
Wang, T.; Cao, J.; Pei, X.; Hong, Z.; Liu, Y.; Zhou, G. Research on Spatial Scale of Fluctuation for the Uncertain Thermal Parameters of Artificially Frozen Soil. Sustainability 2022, 14, 16521. https://doi.org/10.3390/su142416521
Wang T, Cao J, Pei X, Hong Z, Liu Y, Zhou G. Research on Spatial Scale of Fluctuation for the Uncertain Thermal Parameters of Artificially Frozen Soil. Sustainability. 2022; 14(24):16521. https://doi.org/10.3390/su142416521
Chicago/Turabian StyleWang, Tao, Jiazeng Cao, Xiangjun Pei, Zequn Hong, Yaohui Liu, and Guoqing Zhou. 2022. "Research on Spatial Scale of Fluctuation for the Uncertain Thermal Parameters of Artificially Frozen Soil" Sustainability 14, no. 24: 16521. https://doi.org/10.3390/su142416521
APA StyleWang, T., Cao, J., Pei, X., Hong, Z., Liu, Y., & Zhou, G. (2022). Research on Spatial Scale of Fluctuation for the Uncertain Thermal Parameters of Artificially Frozen Soil. Sustainability, 14(24), 16521. https://doi.org/10.3390/su142416521
