Sustainable Strategy Analysis: Platform Channel Configuration and Slotting Fee Design under Differentiated Quality Investment
Abstract
1. Introduction
2. Literature Review
2.1. Platform Slotting Fee Contract
2.2. Supply Chain Channel Configuration
2.3. Supply Chain Quality Investment
3. Model Setup
4. Model Analysis
4.1. Model Analysis under the UFC
4.1.1. NG Mode
4.1.2. SG Mode
4.2. Model Analysis under the VFC
4.2.1. NS Mode
4.2.2. SS Mode
5. Comparison of Equilibrium Results
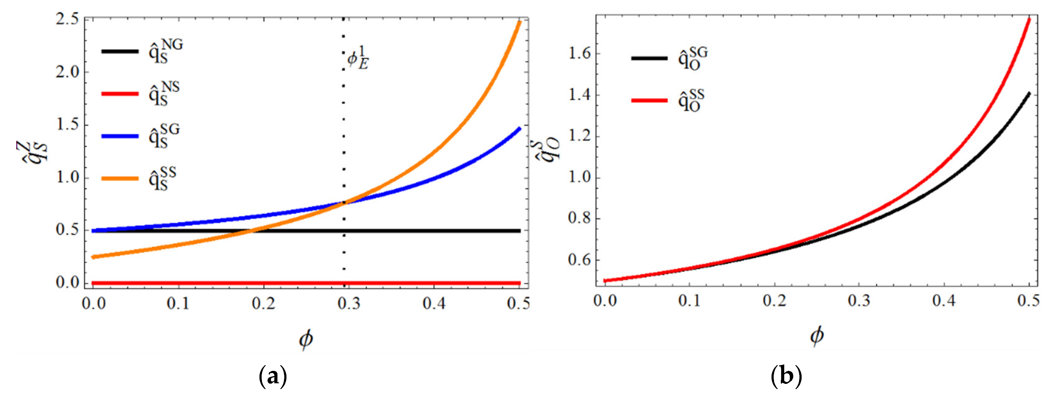
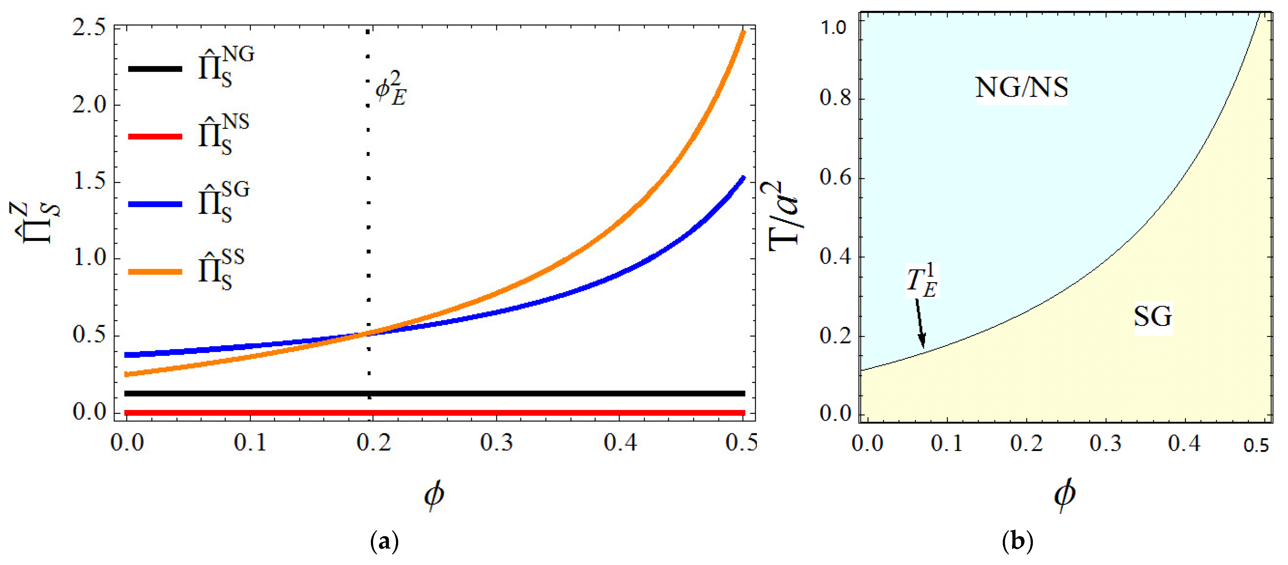
5.1. Quality Investment
5.2. Channel Configuration Strategy
5.3. Slotting Fee Contract
5.4. Consumer Surplus
6. Extensions
6.1. Endogenous Slotting Fee
6.2. Consumer Quality Sensitivity
7. Conclusions
7.1. Summary Findings
7.2. Theoretical Implications
7.3. Managerial Implications
7.4. Further Research
Author Contributions
Funding
Institutional Review Board Statement
Informed Consent Statement
Data Availability Statement
Conflicts of Interest
Appendix A
References
- Liu, W.; Yan, X.; Li, X.; Wei, W. The impacts of market size and data-driven marketing on the sales mode selection in an Internet platform based supply chain. Transp. Res. Part E Logist. Transp. Rev. 2020, 136, 101914. [Google Scholar] [CrossRef]
- Xie, X.; Han, Y.; Anderson, A.; Ribeiro-Navarrete, S. Digital platforms and SMEs’ business model innovation: Exploring the mediating mechanisms of capability reconfiguration. Int. J. Inf. Manag. 2022, 65, 102513. [Google Scholar] [CrossRef]
- Peng, J.; Chen, L.; Zhang, B. Transportation planning for sustainable supply chain network using big data technology. Inf. Sci. 2022, 609, 781–798. [Google Scholar] [CrossRef]
- Shen, Y. Platform retailing with slotting allowance and revenue sharing. J. Oper. Res. Soc. 2018, 69, 1033–1045. [Google Scholar] [CrossRef]
- Lehdonvirta, V.; Kässi, O.; Hjorth, I.; Barnard, H.; Graham, M. The Global Platform Economy: A New Offshoring Institution Enabling Emerging-Economy Microproviders. J. Manag. 2018, 45, 567–599. [Google Scholar] [CrossRef] [PubMed]
- Gu, Q.; Yang, X.; Liu, B. Pricing Decisions on Online Channel Entry for Complementary Products in a Dominant Retailer Supply Chain. Sustainability 2020, 12, 5007. [Google Scholar] [CrossRef]
- Qin, X.; Liu, Z.; Tian, L. The optimal combination between selling mode and logistics service strategy in an e-commerce market. Eur. J. Oper. Res. 2021, 289, 639–651. [Google Scholar] [CrossRef]
- Zhou, L.; Fan, T.; Yang, J.; Zhang, L. Monopolistic vs. Competitive supply chain concerning selection of the platform selling mode in three power structures. Sustainability 2022, 14, 11016. [Google Scholar] [CrossRef]
- Hoang, L.; Blank, G.; Anabel, Q.H. The winners and the losers of the platform economy: Who participates? Inf. Commun. Soc. 2020, 23, 681–700. [Google Scholar] [CrossRef]
- Xu, X.; Lee, C. Utilizing the platform economy effect through EWOM: Does the platform matter? Int. J. Prod. Econ. 2020, 227, 107663. [Google Scholar] [CrossRef]
- Shen, Y.; Willems, S.P.; Dai, Y. Channel Selection and Contracting in the Presence of a Retail Platform. Prod. Oper. Manag. 2019, 28, 1173–1185. [Google Scholar] [CrossRef]
- Chen, L.; Nan, G.; Li, M.; Feng, B.; Liu, Q. Manufacturer’s online selling strategies under spillovers from online to offline sales. J. Oper. Res. Soc. 2022, 1–24. [Google Scholar] [CrossRef]
- Wang, Y.-Y.; Lau, H.-S.; Wang, J.-C. Defending and improving the ‘slotting fee’: How it can benefit all the stakeholders dealing with a newsvendor product with price and effort-dependent demand. J. Oper. Res. Soc. 2012, 63, 1731–1751. [Google Scholar] [CrossRef]
- Zhang, J.; Cao, Q.; He, X. Contract and product quality in platform selling. Eur. J. Oper. Res. 2019, 272, 928–944. [Google Scholar] [CrossRef]
- Guan, Z.; Ye, T.; Yin, R. Channel coordination under Nash bargaining fairness concerns in differential games of goodwill accumulation. Eur. J. Oper. Res. 2020, 285, 916–930. [Google Scholar] [CrossRef]
- Niu, B.; Cui, Q.; Zhang, J. Impact of channel power and fairness concern on supplier’s market entry decision. J. Oper. Res. Soc. 2017, 68, 1570–1581. [Google Scholar] [CrossRef]
- Thaichon, P.; Phau, I.; Weaven, S. Moving from multi-channel to Omni-channel retailing: Special issue introduction. J. Retail. Consum. Serv. 2021, 65, 102311. [Google Scholar] [CrossRef]
- Wagner, G.; Schramm-Klein, H.; Steinmann, S. Online retailing across e-channels and e-channel touchpoints: Empirical studies of consumer behavior in the multichannel e-commerce environment. J. Bus. Res. 2020, 107, 256–270. [Google Scholar] [CrossRef]
- Li, X.; Cai, X.; Chen, J. Quality and Private Label Encroachment Strategy. Prod. Oper. Manag. 2022, 31, 374–390. [Google Scholar] [CrossRef]
- Nie, J.; Wang, Q.; Shi, C.; Zhou, Y. The dark side of bilateral encroachment within a supply chain. J. Oper. Res. Soc. 2021, 73, 811–821. [Google Scholar] [CrossRef]
- Ha, A.; Long, X.; Nasiry, J. Quality in supply chain encroachment. Manuf. Serv. Oper. Manag. 2016, 18, 280–298. [Google Scholar] [CrossRef]
- Acquila-Natale, E.; Iglesias-Pradas, S. How to measure quality in multi-channel retailing and not die trying. J. Bus. Res. 2020, 39, 38–48. [Google Scholar] [CrossRef]
- Chen, Y.-J.; Deng, M. Supplier certification and quality investment in supply chains. Nav. Res. Logist. (NRL) 2013, 60, 175–189. [Google Scholar] [CrossRef]
- Xia, Y.; Xiao, T.; Zhang, G.P. Service Investment and Channel Structure Decisions in Competing Supply Chains. Serv. Sci. 2019, 11, 57–74. [Google Scholar] [CrossRef]
- Shi, H.; Liu, Y.; Petruzzi, N.C. Consumer heterogeneity, product quality, and distribution channels. Manag. Sci. 2013, 59, 1162–1176. [Google Scholar] [CrossRef]
- Ahmad, W.; Zhang, Q. Green purchase intention: Effects of electronic service quality and customer green psychology. J. Clean. Prod. 2020, 267, 122053. [Google Scholar] [CrossRef]
- Elassy, N. The concepts of quality, quality assurance and quality enhancement. Qual. Assur. Educ. 2015, 23, 250–261. [Google Scholar] [CrossRef]
- Bondareva, M.; Pinker, E. Dynamic Relational Contracts for Quality Enforcement in Supply Chains. Manag. Sci. 2019, 65, 1305–1321. [Google Scholar] [CrossRef]
- Avinadav, T.; Chernonog, T.; Fruchter, G.E.; Prasad, A. Contract design when quality is co-created in a supply chain. Eur. J. Oper. Res. 2020, 286, 908–918. [Google Scholar] [CrossRef]
- Mu, Z.; Zheng, Y.; Sun, H. Cooperative Green Technology Innovation of an E-Commerce Sales Channel in a Two-Stage Supply Chain. Sustainability 2021, 13, 7499. [Google Scholar] [CrossRef]
- Chen, L.; Nan, G.; Liu, Q.; Peng, J.; Ming, J. How Do Consumer Fairness Concerns Affect an E-Commerce Platform’s Choice of Selling Scheme? J. Theor. Appl. Electron. Commer. Res. 2022, 17, 1075–1106. [Google Scholar] [CrossRef]
- Arya, A.; Mittendorf, B.; Sappington, D.E.M. The Bright Side of Supplier Encroachment. Mark. Sci. 2007, 26, 651–659. [Google Scholar] [CrossRef]
- Huang, S.; Chen, S.; Guan, X. Retailer information sharing under endogenous channel structure with investment spillovers. Comput. Ind. Eng. 2020, 142, 106346. [Google Scholar] [CrossRef]
- Tian, L.; Vakharia, A.J.; Tan, R.Y.; Xu, Y. Marketplace, reseller, or hybrid: Strategic analysis of an emerging E-commerce model. Prod. Oper. Manag. 2018, 27, 1595–1610. [Google Scholar] [CrossRef]
- Liu, J.; Ke, H. Firms’ pricing strategies under different decision sequences in dual-format online retailing. Soft Comput. 2020, 24, 7811–7826. [Google Scholar] [CrossRef]
- Chen, C.; Zhuo, X.; Li, Y. Online channel introduction under contract negotiation: Reselling versus agency selling. Manag. Decis. Econ. 2021, 43, 146–158. [Google Scholar] [CrossRef]
- Li, S.; Cheng, H.K.; Jin, Y. Optimal Distribution Strategy for Enterprise Software: Retail, SaaS, or Dual Channel? Prod. Oper. Manag. 2018, 27, 1928–1939. [Google Scholar] [CrossRef]
- Ye, F.; Xie, Z.; Tong, Y.; Li, Y. Promised delivery time: Implications for retailer’s optimal sales channel strategy. Comput. Ind. Eng. 2020, 144, 106474. [Google Scholar] [CrossRef]
- Müller, S.; Götz, G. Quality competition and entry deterrence: When to launch a second brand. Manag. Decis. Econ. 2017, 38, 1201–1215. [Google Scholar] [CrossRef]
- He, Y.; Xu, Q.; Xu, B.; Wu, P. Supply chain coordination in quality improvement with reference effects. J. Oper. Res. Soc. 2016, 67, 1158–1168. [Google Scholar] [CrossRef]
- Chen, J.; Liang, L.; Yang, F. Cooperative quality investment in outsourcing. Int. J. Prod. Econ. 2015, 162, 174–191. [Google Scholar] [CrossRef]
- Wang, J.; Yan, Y.; Du, H.; Zhao, R. The optimal sales format for green products considering downstream investment. Int. J. Prod. Res. 2020, 58, 1107–1126. [Google Scholar] [CrossRef]
- Yan, R.; Pei, Z. Retail services and firm profit in a dual-channel market. J. Retail. Consum. Serv. 2009, 16, 306–314. [Google Scholar] [CrossRef]
- Zhang, S.; Zhang, J.; Zhu, G. Retail service investing: An anti-encroachment strategy in a retailer-led supply chain. Omega 2019, 84, 212–231. [Google Scholar] [CrossRef]
- Kwak, S.-Y.; Cho, W.-S.; Seok, G.-A.; Yoo, S.-G. Intention to Use Sustainable Green Logistics Platforms. Sustainability 2020, 12, 3502. [Google Scholar] [CrossRef]
- Ha, A.Y.; Tong, S.; Wang, Y. Channel Structures of Online Retail Platforms. Manuf. Serv. Oper. Manag. 2021, 24, 1547–1561. [Google Scholar] [CrossRef]
- Cui, Q. Quality investment, and the contract manufacturer’s encroachment. Eur. J. Oper. Res. 2019, 279, 407–418. [Google Scholar] [CrossRef]
- Chen, X.; Luo, Z.; Wang, X. Compete or cooperate: Intensity, dynamics, and optimal strategies. Omega 2019, 86, 76–86. [Google Scholar] [CrossRef]















| Reference | UFC(TFC) | VFC | Encroachment Type | Quality |
|---|---|---|---|---|
| Arya et al. [32] | × | × | Manufacturer | × |
| Ha et al. [21] | × | × | Manufacturer | √ |
| Huang et al. [33] | × | × | Manufacturer | √ |
| Li et al. [22] | × | × | Retailer | √ |
| Zhang et al. [44] | × | × | Manufacturer | √ |
| Cui et al. [47] | × | × | Contract manufacturer | √ |
| Qin et al. [7] | × | Exogeneous | × | √ |
| Liu et al. [1] | × | Exogeneous | × | √ |
| Tian [34] | × | Exogeneous | × | × |
| Shen [4] | TFC, Exogeneous | Exogeneous | × | × |
| Shen et al. [11] | TFC, Endogenous | Exogeneous | × | × |
| Zhang et al. [14] | UFC, Endogenous | Endogenous | × | √ |
| Our work | UFC, Exogeneous and Endogenous | Exogeneous and Endogenous | Platform | √ |
| Indices | Definition |
|---|---|
| Market size. | |
| , | Selling price of the channel (). |
| , | Sales volume of the channel (). |
| , | Quality investment level of the channel (). |
| Wholesale price. | |
| Unit fixed cost. | |
| Substitution rate between agent channel and self-operated channel (). | |
| Unit commission rate (i.e., UR), and . | |
| Variable commission rate. | |
| Platform encroachment cost. |
| S | O | ||
|---|---|---|---|
| NG | N/A | ||
| NS | N/A | ||
| SG | |||
| SS |
| D | NG | SG | NS | SS |
|---|---|---|---|---|
| N/A | N/A | |||
| N/A | N/A | |||
| N/A | N/A | |||
| D. | NG | SG | NS | SS |
|---|---|---|---|---|
| N/A | N/A | |||
| N/A | N/A | |||
| N/A | N/A | |||
Publisher’s Note: MDPI stays neutral with regard to jurisdictional claims in published maps and institutional affiliations. |
© 2022 by the authors. Licensee MDPI, Basel, Switzerland. This article is an open access article distributed under the terms and conditions of the Creative Commons Attribution (CC BY) license (https://creativecommons.org/licenses/by/4.0/).
Share and Cite
Li, C.; Xing, P.; Li, Y. Sustainable Strategy Analysis: Platform Channel Configuration and Slotting Fee Design under Differentiated Quality Investment. Sustainability 2022, 14, 16095. https://doi.org/10.3390/su142316095
Li C, Xing P, Li Y. Sustainable Strategy Analysis: Platform Channel Configuration and Slotting Fee Design under Differentiated Quality Investment. Sustainability. 2022; 14(23):16095. https://doi.org/10.3390/su142316095
Chicago/Turabian StyleLi, Chunyu, Peng Xing, and Yanting Li. 2022. "Sustainable Strategy Analysis: Platform Channel Configuration and Slotting Fee Design under Differentiated Quality Investment" Sustainability 14, no. 23: 16095. https://doi.org/10.3390/su142316095
APA StyleLi, C., Xing, P., & Li, Y. (2022). Sustainable Strategy Analysis: Platform Channel Configuration and Slotting Fee Design under Differentiated Quality Investment. Sustainability, 14(23), 16095. https://doi.org/10.3390/su142316095

