Next Article in Journal
Hukou Reform and the “Luohu” of Rural Migrants in Urban China
Next Article in Special Issue
Associations between Environmental Exposure, Urban Environment Parameters and Meteorological Conditions, during Active Travel in Montevideo, Uruguay
Previous Article in Journal
AR Search Engine: Semantic Information Retrieval for Augmented Reality Domain
 
 
Font Type:
Arial Georgia Verdana
Font Size:
Aa Aa Aa
Line Spacing:
Column Width:
Background:
Article

An Approach to Model the Willingness to Use of E-Scooter Sharing Services in Different Urban Road Environments

by
Theodora Sorkou
1,
Panagiotis G. Tzouras
1,*,
Katerina Koliou
1,
Lambros Mitropoulos
2,
Christos Karolemeas
3 and
Konstantinos Kepaptsoglou
1
1
Department of Rural Technology and Development, School of Rural, Surveying and Geoinformatics Engineering, National Technical University of Athens, 15772 Athens, Greece
2
LKM Consulting Engineers and Planners, 10682 Athens, Greece
3
MoveNow Technologies P.C., 10677 Athens, Greece
*
Author to whom correspondence should be addressed.
Sustainability 2022, 14(23), 15680; https://doi.org/10.3390/su142315680
Submission received: 18 October 2022 / Revised: 18 November 2022 / Accepted: 22 November 2022 / Published: 25 November 2022

Abstract

E-scooter sharing services been grown exponentially within the last five years. They are based on the flexibility of accessing dense urban areas without specialized infrastructure. In modern cities, there are diverse road environments that impact the comfort, and therefore the attractiveness, of micro-mobility services. This study aims to investigate the willingness to use e-scooter sharing services, while considering the road environment. To formulate area-specific pricing policies, a stated preferences experiment with 243 respondents, who can be considered as potential users, is conducted in Athens, Greece and a binary logistic regression model with random beta parameters is developed. The analysis of the model marginal effects indicates that the integration of bonus points into micro-mobility services, combined with the option of transferring these points to parking services, can compensate a non-friendly road environment, thus increasing the service demand. The existence of roads with good pavement conditions and wide sidewalks significantly increased the willingness of respondents to use e-scooter sharing services. Unexpectedly, pedestrianized zones in a buffer area of 2 km radius from the trip origin reinforce the attractiveness of shared e-scooters, while the contribution of bike lanes and traffic calming streets (or shared space) were proven to be insignificant.

1. Introduction

In recent years, micro-mobility has been considered as a potential solution for addressing transportation needs in urban areas that are more predisposed to traffic congestion [1]. As defined by the International Transport Forum (ITF), micro-mobility is “the use of micro-vehicles: vehicles with a mass of no more than 350 kg (771 lb) and a design speed no higher than 45 km/h” [2]. Taking into consideration that most common trips in urban areas have a maximum length of no more than 5 km, micro-mobility vehicles, such as e-scooters, can become a suitable alternative [3]. Therefore, micro-mobility modes aspire to meet sustainability criteria by promoting multimodality and active mobility, which in turn leads to the minimization of environmental harm and the efficient use of resources [3]. The last view is questioned by the study of De Bortoli and Christoforou [4], which proved that shared e-scooters can generate an additional thirteen thousand tons of CO2 emission if its demand reaches 1 million users in Paris, France. Furthermore, it seems that the manufacturing and charging processes of dockless micro-mobility modes have a more significant environmental harm compared to its operational stage [5,6]. An e-scooter is defined as “a wheeled vehicle that: (a) has a center column with a handlebar, (b) It is controlled by the operator using accelerator/throttle and brakes, (c) It has a foot platform for the operator to stand on, (d) It is powered partially or fully by a motor, (e) it is manufactured primarily for transportation of one person […], and (f) is composed of two or three wheels”. The main advantage of micro-mobility vehicles, and particularly e-scooters, is their flexibility, as they compete over space with pedestrians, cyclists, and motorized transport [7]. However, their capability to switch between vehicle roadways and pedestrian sidewalks can also become a major handicap, as this dual behavior creates complex and unsafe traffic interactions with other road users [8]. A previous research study conducted by Liazos et al. [9] developed a decision-making tool that considers traffic safety in the geofence planning of an e-scooter sharing service.
The rising demand for micro-mobility vehicles has provoked an interest in understanding the factors that impact e-scooter travelling. In 2019, a study consisting of findings from secondary data analysis, a series of observations, and a quantitative questionnaire survey completed by 534 users in the city of Rethymno, Greece showed that micromobility services seem to be popular for short-distance travel (up to 1.5 km) and very short rentals (up to 15 min) within the central urban core [10]. The variables of travel distance and travel time were also mentioned in a study that took place in Washington D.C., USA. The main conclusions, which emerged from the use of descriptive statistical methods, showed that the travel distance did not exceed 0.73 miles (1.17 km) and that the travel time was quite long, with an average of 13.82 min [11]. Similar preferences were demonstrated by participants in a questionnaire in Singapore. According to the study findings, e-scooters are currently more likely to replace short-distance trips that are performed by walking [12]. A similar questionnaire survey which was conducted in Paris, France resulted in an average distance of 15 min or 2.5 km [13].
Another variable that was identified in different studies was the impact of public transportation on the number of e-scooter trips. The relationship between bus lines and e-scooters was investigated by the Difference-in-Differences method on the spatio-temporal patterns of micro-mobility means of movement in Indianapolis, USA [14]. The results of the study showed that approximately 27% of micro-mobility trips could potentially replace and compete with the existing bus system. Furthermore, most of the e-scooter trips began in the city center (68%), while the supplementary trips (29%) are mainly outside the city center, where the bus coverage is low. Surprisingly, the study of Liu and Lin [15] observed that shared e-scooters are considered more as a substitute of a private transport mode to access the city center and less as a transfer mode. In practice, e-bikes seem to be preferred by micro-mobility users to cover the first/last mile from/to public transport stations. In the same vein, the study by Ziedan et al. [16] conducted an empirical analysis to quantify the impact of shared e-scooters on bus use in Louisville, USA. Based on the analysis results concerning express bus lines, the calculated statistical models show that every ten shared e-scooters trips that take place within the zone of influence of an express bus stop can compete with up to five trips. This correlation was also delineated in the results of a questionnaire conducted in Zurich, Switzerland, that presented a high statistical significance between public transportation subscription and shared modes of micro-mobility [17,18].
Previous studies used trajectory data to describe the impact of the built environment on shared e-scooter usage. An analysis of trip origins and destinations of e-scooter trips conducted in Washington D.C., USA, showed that street segments near tourist sites, hotels and transit stops concentrate a high proportion of e-scooter trips [19]. The study of Jiao and Bai [20] revealed that shared e-scooter trips are mostly observed in urban areas with high population density areas, which concentrate various land uses and are close to a transit station. By comparing the built environment of Austin with Minneapolis, USA, in another study [21], the same authors revealed that the diversity, rather than the mix, of land uses influences shared e-scooter usage patterns. These findings were confirmed by the study of Yang et al. [22]. Indeed, the built environment accounts for 91.66% of the total relative importance of the factor’s influence on the ridership of e-scooter sharing services. However, variables related to the transport network are included in this result; intersection, road, and public transit station density report the highest scores in terms of relative importance. Unexpectedly, bike lane density comes last. A recent study conducted by Tokey et al. [23] revealed an insignificant spatial correlation between e-scooter usage and bike lanes. However, areas with bike-share stations and the presence of sidewalks in most of the streets reported higher usage of e-scooters. In Calgary, Canada, additional factors associated with higher shared e-scooter trip volumes were uncovered, including: density of trees, streetlights, existence of low-speed limits and motorized traffic flows [24]. Similarly, the analysis of Younes and Baiocchi [25] across four U.S. cities demonstrated that pedestrian-oriented facilities comprise a very strong predictor of shared e-scooter and e-bike trips. Pedestrian-oriented facilities can be defined as roads with a speed limit no greater than 30 mph or (pedestrians–bicyclists) trails, where motorized vehicle traffic is forbidden.
The e-scooter trips also appeared to be affected by speed. Almanna et al. [26] estimated that the average speed of e-scooters ranges between 2.19 and 2.78 m/s. E-scooter riders demonstrate comparatively lower speed when the purpose of the trip was for fun. Another survey [27], that took into account approximately 80,000 routes, which is almost 1.4% of the total routes made in Austin, USA, showed that the average speed of e-scooters was observed to be between 8% and 9% higher in bike lanes, while in motor lanes and on urban roads, the speed increases by between 5% and 7% most days of the week. Road infrastructure seems to be a catalytic factor in route choice when using an e-scooter. E-scooter riders are willing to change their route in order to follow bike paths, multipurpose paths, tertiary roads and one-way streets [28]. E-scooter users also tend to use shorter and simpler routes, preferring to use sidewalks and bike paths, while avoiding common car and pedestrian routes [29]. Based on the above findings, the capability of a road network to provide safe, fast, short and simple paths to e-scooter riders seems to influence the overall mode demand.
Finally, the socioeconomic characteristics of e-scooter users are strongly related to their decision concerning when, where, and why they choose this transportation mode. In their research, Hosseinzadeh et al. concluded that younger people, between the ages of 18 and 29, are more likely to use shared e-scooters [30]. Older people are reluctant to use shared e-scooters, as well as people with lower incomes [31]. Moreover, women are more willing to adopt the daily use of micro-mobility media in the long run, compared to men [32]. The study of Merlin et al. [20] showed that young and well-educated people tend to use e-scooter sharing services daily in Washington D.C., USA. The positive correlation between education and shared e-scooter usage was also observed in the study of Jiao and Bai [20]. Hence, a potential e-scooter sharing service user is defined as an active well-educated young person (preferably below 40 years old) who is familiar with technological advancements and does not own a private e-scooter [33]. As the e-scooter is a relatively new transport mode, the amount of experience in using one cannot be an additional attribute of a potential e-scooter sharing service user. Furthermore, these services aspire to change current travel behavior by inviting more and more people to ride it for their first/last mile trips.
While some of the previously mentioned studies analyze the impact of the road environment on route choice and driving behavior, interestingly, there is hardly any research on the aspect of understanding users’ willingness to use e-scooter sharing services in the first place. Therefore, the objective of this study is to explore the willingness to use e-scooter sharing services, while considering the road environment. In other words, the main contribution of this paper is to develop a model which can assist decision makers in understanding whether a specific road network status will attract or deter e-scooter riders and present some “smart” pricing policies to change their preferences. For that purpose, a binary logistic regression model is developed based on the survey data collected from a stated preference experiment conducted with potential service users in Athens, Greece. The paper is structured as follows: the study’s methodology and results are presented and analyzed, and, finally, the major findings are discussed, along with study limitations and recommendations.

2. Methodology

Stated preference (SP) experiments are widely accepted as an appropriate method for extending the behavioral response space of traveler behavior and travel demand [34]. These experiments are based on hypothetical scenarios, which are formulated based on a particular methodology consisting of the following steps: selection of variables, identification of measurement unit, determination of variable levels, survey design, translation of designed scenarios into a set of questions, selection of an appropriate estimation method, and model estimation [35,36]. In this experiment, the willingness to use an e-scooter is examined for a 2 km trip within an urban area, a fact clearly stated to all survey participants. This distance threshold was selected based on the findings from previous studies. Accordingly, the average travel distance using a shared e-scooter seem to be, approximately, between 1.2 km (Washington D.C.) and 2.5 km (Paris) [11,13]. To integrate environmental factors into the experiment, a fixed buffer area of a 2 km radius around the trip origin location is defined and considered as the investigation area. Travel time is not used as an explanatory variable. As the travel speed of e-scooters is related to the road infrastructure, the travel time to cover a 2 km distance may differ per urban area. Consequently, road infrastructure factors can indicate the travel speed and time to respondents. In this area, the values of the explanatory variables presented in the next paragraph are assumed to be constant.

2.1. Selection of Variables and Variable Levels

The dependent variable refers to the willingness of individuals to use or not use an e-scooter sharing service to cover the previously mentioned distance, taking the pre-defined conditions into consideration. Respondents decide whether a shared e-scooter is the best option to perform this first/last mile trip. Therefore, this experiment particularly focuses on the demand of this transport mode, while the alternative option is to use any alternative means of transport available in the area. The dependent variable is a binary with only two options, i.e., 1 signifies that the participant would choose to use an e-scooter sharing service and 0 signifies that they would not choose it.
In Table 1, the explanatory variables of the experiment and their variable levels are presented; they are classified into three main groups: (a) service cost and benefits; (b) transport system; and (c) road infrastructure. The experiment takes into consideration various sociodemographic variables, namely: gender, age, education, employment, income, residence location, car and e-scooter ownership. However, these are not included in the scenario design. The explanatory variables and variable levels were selected by taking into account the findings of relevant studies, presented in the Introduction, and by identifying potential urban road environments and conditions. More specifically, service cost is a critical factor that impacts individual choices. Furthermore, understanding changes in demand in correlation with the unit of cost constitutes part of the research objective. That is why, in this study, additional variables, such as bonus points and the option to transfer them to parking services to obtain a 50% discount, were integrated. The main aim is to examine a variety of pricing schemes that may increase or decrease the willingness to use e-scooter sharing services. The variable levels of the service cost were chosen based on the prices of past or present e-scooter services operating in Athens, Greece. Next, two variables related to the transport system of the buffer area are introduced; the first one refers to the existence of a metro station, which acts as a multimodal hub and attracts or generates last-mile trips. Feeder bus line services may compete with shared e-scooter services in dense urban areas; thus, this binary variable is taken into consideration. A mix of binary, categorical and continuous independent variables are utilized to describe road infrastructure. The basic concept was to integrate all the different cases’ urban roads, in which an e-scooter can operate, or that e-scooters riders tend to use. Bicycle lanes and pedestrianized zones are exclusive road environments, in which e-scooter riders can co-exist with other vulnerable road users, e.g., cyclists and pedestrians. However, the possibility to ride an e-scooter in a mixed traffic road environment should be considered. The condition of the pavement along with the speed limit may influence the perceived safety of e-scooters by potential riders, and therefore their willingness to use it in a particular road network. Pavement with some cracks or potholes and cobblestone pavements can seriously increase the frequency of vibrations, downgrading e-scooter riding comfort; these cases refer to the bad condition level. Nevertheless, wide sidewalks may provide enough space, so that e-scooter users can avoid unsafe interactions with motorized traffic. Simultaneously, wide sidewalks can be utilized to overcome congestion occurring in traffic lanes; this may boost the attractiveness of an e-scooter sharing service.

2.2. Model Formulation

The initial design of the experiment ensures zero correlations among the explanatory variables included in the model formulation. Due to the fact that the dependent variable has a binary format, the binary logistic regression was selected for the estimation of the coefficients (or beta parameters) of the independent variables [37]. The binary logistic regression method is suitable for experiments in which no choice option is given to respondents [38]. Variables related to the socio-demographic characteristics do not appear in the model formula as they cannot be controlled in the survey design process. In other words, it is impossible to ensure zero-correlation between socio-demographic variables at this stage. It requires a strategic survey distribution based on the research objective, so that people from different social groups will complete the survey form. Equation (1) presents the model formula (or utility function).
log ( p 1 p ) = β c o s t   c o s t + β p o i n t s   p o i n t s + β m u l m   m u l m + β m e t r o   m e t r o + β b u s   b u s + β s p e e d 1 s p e e d 1 + β s p e e d 2 s p e e d 2 + β p a v p a v + β c y c l c y c l + β p e d p e d + β s i d w   s i d w
where:
p : the probability to use an e-scooter sharing service for a 2 km trip in the investigation area
β 0 : constant (or intercept) of the utility function
β i : coefficient of variable i (beta parameters)
c o s t : service cost per hour in euros
p o i n t s : bonus points in points
m u l m : 1, if points can be transferred to parking services
m e t r o : 1, there is a metro station in the investigation area
b u s : 1, if bus lines are operating in the investigation area
s p e e d 1 : 1, if speed limit is 30 km/h or less in the 70% of residential roads in the investigation area (dummy coding)
s p e e d 2 : 1, if speed limit is 30 km/h or less in the 100% of residential roads in the investigation area (dummy coding)
p a v : 1, if the overall pavement condition is good in the investigation area
c y c l : 1, if there are cycle lanes in the investigation area
p e d : 1, if there are pedestrianized zones in the investigation area
s i d w : mean sidewalk width in meters in the investigation area
To estimate the beta parameters, the Maximum Likelihood Method is implemented. However, each respondent will evaluate multiple scenarios; therefore, these choices are not independent to each other, as classical multinomial or binary logit models assume. In essence, each choice cannot be considered as a single observation. To reinforce the validity of the model, panel effects are considered. More specifically, in the estimation process, random beta parameters are introduced, so that the heterogeneity in the preferences (or tastes) of individuals can be described appropriately by a normal distribution, for which the mean and the standard deviation are estimated (i.e., one additional unknown per random parameter). The integration of random beta parameters in the modeling process is meaningful, particularly in studies that deal with safety perceptions that differ per individual and environmental factors (e.g., pavement condition, existence of cycle lane etc.) and their impact is unknown [36,39]. The model estimation requires a Monte-Carlo Simulation using Halton draws (e.g., random numbers) to maximize the joint probability function (i.e., loglikelihood). The result from this maximization process is compared with the null loglikelihood to test the model prediction ability. To estimate the null loglikelihood, all coefficients in the model are hypothesized to be zero. This means that the selected independent variables do not impact the individuals’ choices. Other outputs of the binary regression analysis are the marginal effects that are used to understand the contribution of each regressor to the willingness of individuals to use e-scooter sharing services. They are the partial derivation of the probability with respect to the examined variable [36].

2.3. Survey Design

Considering the variables included in Equation (1) and their levels, the total number of all possible combinations is estimated to be 10,368. Formulating and sharing this number of scenarios is not feasible. To minimize the number of scenarios considered in the stated preference experiment, a fractional factorial design is chosen. Fractional factorial designs are based on orthogonal tables that ensure zero correlation between the selected independent variables; these appear in the model formula presented above. By applying this methodology, the number of scenarios (or choice situations) is now reduced to 36. To avoid questionnaires lasting longer than 10 min, and to minimize the possibility of collecting incomplete responses, the 36 scenarios are equally divided into three blocks. At this point, it is important to collect the same number of responses per block, while each block sample should have similar sociodemographic characteristics in order to ensure zero-correlations among the independent variables. This can be achieved by randomly distributing the blocks to respondents and monitoring the sample characteristics per block at the same time.
The questionnaire form was created using Google Forms tools and was made available online. Each of the developed scenarios was presented in a separate page (see Figure 1), using images to familiarize respondents with all the different environmental conditions. At the end of each scenario, the participants were asked to answer whether they would be willing to use a shared e-scooter service or not. Furthermore, after the completion of 12 scenarios, information regarding the socio-demographic characteristics of the participants were collected. Before distributing the core survey, a pilot experiment, with six experts from the field of transportation research, was conducted in order to test the surveys and identify potential problems in the survey process, such as identifying unclear points or expressions that may confuse the respondents in the scenario evaluations. Finally, National Technical University of Athens (NTUA) students (i.e., undergraduate, postgraduate, PhD students) and employees were asked to participate as their age group perfectly matches that of the potential users of a new micro-mobility service [17,31]. This study aimed to explore opinions amongst the university students regarding this relatively new mode of transport. Furthermore, e-scooters, as a transport mode, is foreseen by many experts and policy makers as an alternative to connect the university campus with the nearest Metro Station. It should be mentioned that the NTUA students and employees travel from various districts of the metropolitan area of Athens. As the urban road environment of Athens presents a noticeable spatial variability in its characteristics [40], the experiences of the respondents differ significantly. The distribution of the survey was performed via online links that were sent through social media. In addition, the survey was promoted by flyers and posters in the university buildings, providing a QR code linked to the survey form.

3. Results

The total number of individuals that participated in the survey was 243. As the response rate was considerably high, the responses were collected in a short-time period, i.e., one month. Each participant responded to 12 scenarios; therefore, in total, the number of observations in the study was 2916. Among the responders, 45% were female and 55% were male. This represents the current ratio of the student populations of this university. The participants were not equally distributed among age groups; however, this kind of division was expected (see Figure 2). As a result, participation as high as approximately 75% for the group age 18–30 was observed, followed by 12% of the age group 31–40. The group ages of 51–65 and >65 years of age were represented by a percentage equal to 3% and 1%, respectively. These proportions may prove the interest of each group to use this new mode and the general familiarization with the new technological advancements. A relatively high variance was observed in terms of employment amongst the participants, including retired people or people that stay at home (5%), unemployed people (2%), students (22%), and finally employed people (71%). The sample includes university students who work part-time or have an internship. Usually, these students tend to prefer to be recorded as employed rather than university students. Income and education levels are correlated with the age groups.
Overall, 87% of the respondents live in the metropolitan area of Athens, Greece, while 13% are from smaller Greek cities. The last group had a limited knowledge regarding e-scooter sharing services operations, as they do not operate in these areas. In addition, it is noticeable that only 16 out of 243 respondents (7%) own an e-scooter, while car owners of the sample correspond to a share of 89%. This represents the vehicle ownership patterns appearing in a car-dependent city, such as Athens. In general, the sample had a low experience on using micro-mobility for daily trips, although most of the respondents are young. This is not actually a problem, as e-scooter sharing services aim to invite inexperienced travelers who do not own one to ride these micro-vehicles. Moreover, it should be mentioned that in Athens, the share of e-scooter trips does not exceed 1% of all trips. By conducting an analysis of variance ANOVA, gender seems to be the only sociodemographic variable with a statistically significant effect on choices considering this sample distribution. Simultaneously, it presents an insignificant correlation with the independent variables included in the scenarios; therefore, it can be imported in the model estimation process without creating multicollinearities.
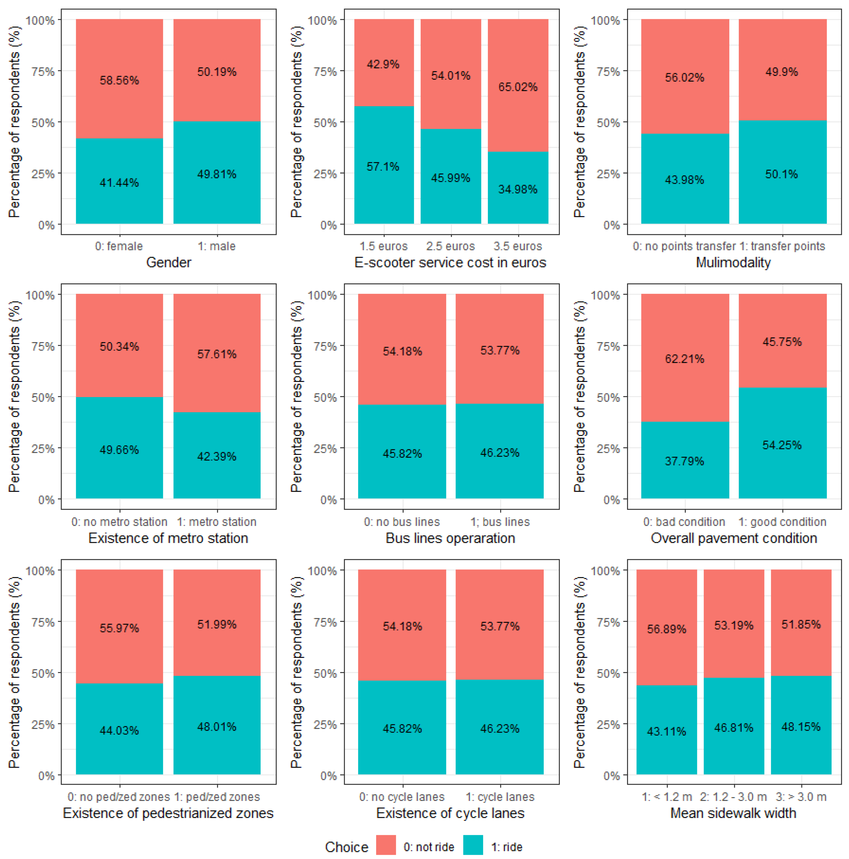
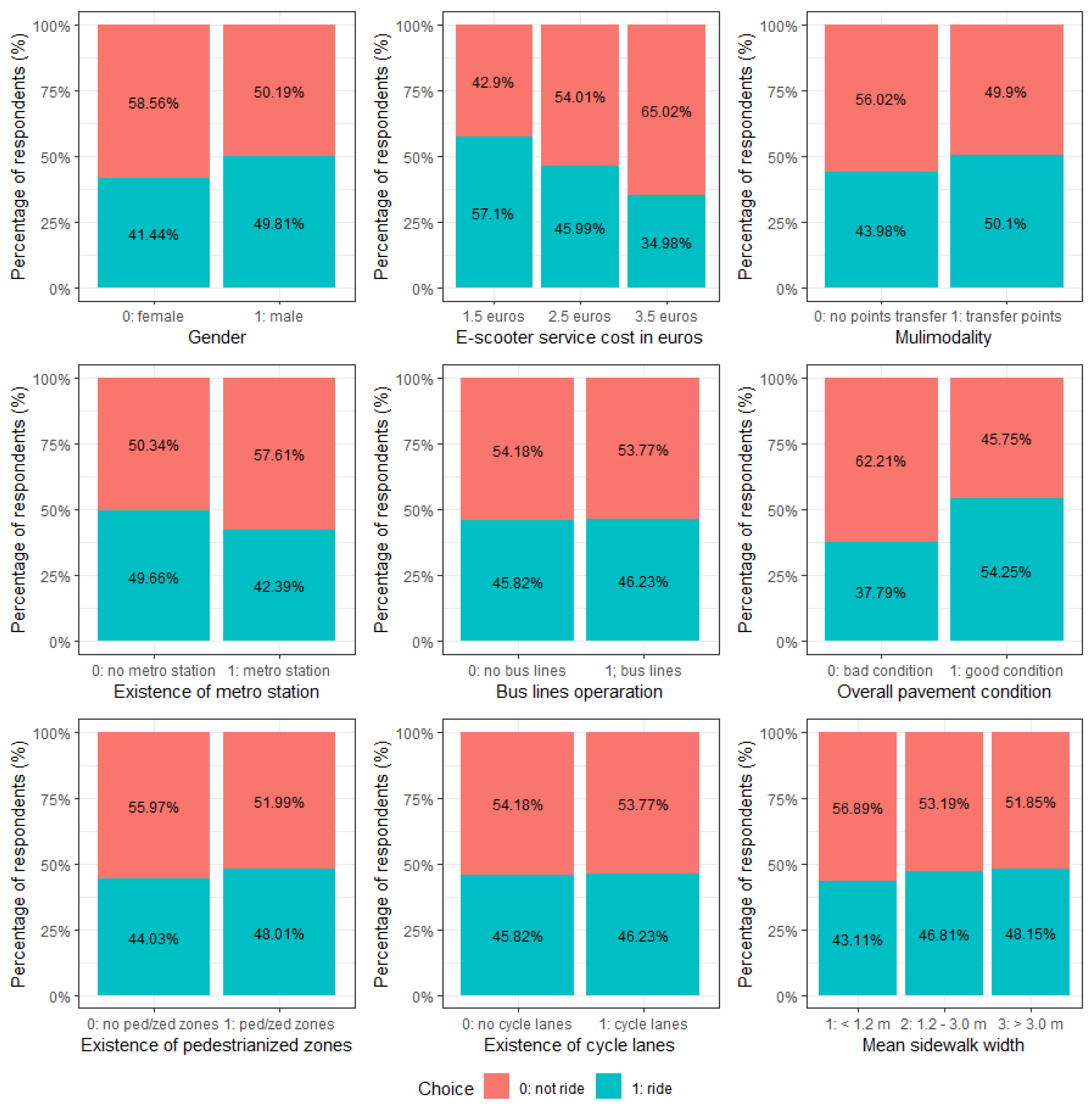
To reveal some of the major trends appearing in the respondents’ choices, the bar charts of Figure 3 were plotted. As it has been mentioned, males chose to use a shared e-scooter in 49.81% of the choice situations, while females were not so positive., Cost is a variable that influenced choices; this was not unexpected. By giving the option to transfer bonus points to parking services, the willingness of participants to use shared e-scooters slightly increased. Unexpectedly, the existence of a metro station in the area resulted in less positive answers by a percentage of 57.61%, while bus line services do not seem to have a significant impact on choices. Considering the variables related to the road environment, the influence of the pavement condition on the willingness of respondents to use e-scooter sharing services is evident from this graph only. Indeed, in 62.21% of the choice situations presenting scenarios with poor pavement conditions, the survey participants chose to not use a shared e-scooter, while in good condition scenarios, this proportion is reduced to 45.75%. Moreover, from these bar charts, the influence of pedestrianized zones and mean sidewalk width on choices can be observed; however, the existence of cycle lanes is not a critical parameter, as was hypothesized.
A binary logistic regression was performed in order to quantify and test the significance of the statistical relationships discussed above. The model outputs are given in Table 2. The road environment variables were selected to be random in order to describe the heterogeneity of how the participants perceived each infrastructure type. The developed model does not have a constant parameter, as it was found to be statistically insignificant in all of the tests, which is probably due to the high number of binary and categorical variables introduced in the model. As was expected, gender and service cost are two statistically significant variables, with a 95% confidence interval. Nevertheless, the chance to gain points or to transfer them to parking services significantly increased the utility of shared e-scooters. The existence of bus-lines in the investigation area did not affect the choices, while a metro station can decrease the usage of shared e-scooters (negative beta parameter). Pavement condition, mean sidewalk width and the existence of pedestrian zones are three statistically significant factors, with the same confidence interval as above; cycle lanes and traffic calming roads were excluded from the analysis as insignificant factors. Focusing on the standard deviations, the three significant variables related to the road environment were correctly considered to be random. Indeed, the standard deviation values are significant for a confidence interval of 95%. However, the mean sidewalk width and the existence of pedestrianized zones as random variables have a similar variance, revealing a higher level of agreement among participants concerning their impact on choices compared to the pavement condition, which reports higher heterogeneity.
In the next step, the marginal effects are calculated, aiming to predict how the willingness to use shared e-scooted described with probabilities is increased (positive sign) or decreased (negative sign) in regard to different pricing policies in different urban areas (see Table 3). The user’s gender was also added in the analysis. Therefore, in an area with pavements in a poor condition, without pedestrianized zones and sidewalks that are less 1.2 m wide, an operator can increase e-scooter usage up to 18% by reducing the price by −0.5 euros/h and providing bonus points that can be transferred to parking services. If the user rides in an area with good environmental conditions, these benefits will not significantly influence their willingness to use a shared e-scooter.

4. Discussion

This study developed a binary logistic regression model to examine the willingness to use e-scooter sharing services based on the cost and the characteristics of each urban area. Compared to other studies on micro-mobility, the approach of this study considers road infrastructure as a major factor affecting the use of e-scooter services. Hence, based on this consideration, pricing policies are investigated, which have the potential to increase the demand for such a service. The pricing policies cannot only be individual-specific, but are also area-specific in terms of the diversity of the urban road environment in cities [41]. In this study, a set of hypothetical scenarios is designed in order to formulate and propose these policies. That is why, in the following paragraphs, the main findings of this study are compared with previous studies, which mainly utilized trajectories and real-time traffic measurements.
Starting with the main findings drawn from the stated preferences experiment, it was quite clear that females expressed higher unwillingness to use a shared e-scooter service. This is not in line with the findings of the study conducted by Eccarius et al. [32], which showed that females are more interested in using micro-mobility modes on a daily basis. Therefore, this comprises a point for further research. The integration of bonus points combined with the option of transferring these points can be considered as a major contribution of this study. The logic behind this approach is that economic or other incentives can compensate a non-friendly road environment for shared e-scooters. Indeed, the model outputs proved some statistically significant relationships between the dependent variable and these user benefits, thus raising the probability of service usage. Of course, the concept of point transferring can be connected with concepts such as multimodality or Mobility as a Service [42,43]. However, based on the survey responses, e-scooters are not considered to be a mode for access/egress trips from/to metro stations, but more as a main mode to move around densely populated areas of the city. This is confirmed by some previous studies [19,21,44]. In addition, previous analysis of e-scooter trajectories by Luo et al. [14] clearly proved that the major proportion of micro-mobility trips do not complement, but rather compete with, the existing public transport system. This is also confirmed by other relevant studies [16,17,18], highlighting e-scooter as a less promising solution for solving the first/last mile problem [15].
At the same time, it is interesting that respondents place this micro-mobility mode in sidewalks or pedestrianized zones and not in spaces dedicated for cyclists, as was noted in the study of Zhang et al. [28]. One explanation for this is the “vague” regulatory framework established in Greece, which does not clarify whether the use of e-scooters in pedestrianized areas is entirely forbidden. This was observed in the study by Glenn et al. [29], which revealed that e-scooter users are unaware of traffic rules, while the study by Tokey et al. [23] and Yang et al. [44] show that there are other factors more significant than bike lane density. However, it was quite unexpected that the heterogeneity regarding the contribution of pedestrianized zones and mean sidewalk width to the willingness to use e-scooter sharing services was considerably lower compared to pavement condition. As the majority of e-scooter users tend to prefer coexistence with pedestrians, rather than with motorized traffic, an increased share of e-scooter trips would threaten pedestrians’ comfort and safety in urban areas. On the contrary, by implementing a regulatory framework which forbids their usage in pedestrianized areas, the attractiveness of this new mode will be seriously downgraded. Therefore, regulating this mode to ensure safe traffic operations remains a serious challenge. Other traffic regulations, such as lower speed limits (i.e., 30 km/h) or traffic calming areas, did not have a significant impact on the willingness to use a shared e-scooter. However, pavements in poor condition should be considered as a very significant barrier making e-scooter usage unattractive as an urban transport mode. This is due to the higher frequency of vibrations, which are experienced more intensely by e-scooter users compared to other road users, resulting in lower comfort levels [45]. However, on sidewalks, the vibrations are more frequent compared to the asphalted surfaces (e.g., cycle, traffic lanes) [46].
The study limitations mostly refer to the sample distribution. The stated preferences experiment was conducted with participants who predominantly live in Athens, Greece, and are not experienced micro-mobility users [39]. Access/egress trips from/to metro stations are mainly performed by walking, while a high percentage of the respondents are car owners. At the same time, Athens has a very limited cycling infrastructure and a large network of pedestrianized zones at the city center. Therefore, it would be interesting to conduct the same stated preferences experiences in cities with a different mix of road infrastructures and mobility cultures. This would lead to different compensation rates and therefore different pricing policies. In addition, respondents’ preferences are related to the travel distances covered daily; in a dense city such as Athens, these distances do not extend more than (on average) 12 km for work purposes and 2–5 km for leisure [47,48]. Thus, in some cases, e-scooters are considered as the main trip mode. The climate of each city is an additional variable which impacts on the willingness to use this new mode and, therefore, impacts the service cost. As this study collected responses from a city that can be characterized as climatically suitable for e-scooter riding, this environmental factor was examined. The flow of motorized traffic recorded in each area can be an additional variable that may impact people’s willingness to use an e-scooter. Specifically, traffic congestion decreases vehicle speeds, leading to safer traffic interactions; simultaneously, it limits the space available to e-scooter riders, while private car use increases delays. Therefore, the impact of this parameter is questionable and requires further research to evaluate the real economic benefit of avoiding heavy traffic. In general, mobility patterns vary among cities. To develop an effective pricing policy, these mobility patterns should be taken into consideration by re-calibrating the probability function. In addition, the model outputs should be compared with e-scooter trajectories to validate the model’s findings. However, this requires the existence of a heterogenous urban road environment with various road designs.

5. Conclusions

This study investigated area-specific factors that influence the willingness to use an e-scooter. A stated preferences experiment was conducted, and a binary logistic regression model with random beta parameters was developed. This approach increased the validity of the model, as the heterogeneity among individuals, regarding the contribution of each road infrastructure factor to the final model result, was analytically described. The outputs of this analysis clearly show how (inexperienced or new) users of an e-scooter sharing service can be compensated by implementing effective pricing policies in urban areas with unpleasant road environments that do not facilitate e-scooter trips. This study proved the effectiveness of transferable bonus points as an additional measure. However, most importantly, the followed approach revealed that the quality of the urban road environment has a measurable cost, which e-scooter services should cover in order to increase their demand. This comprises a finding that can be generalized, reinventing the way that pricing policies in micro-mobility services are developed.
Regarding the identified factors, the service cost, the chance to gain bonus points and the ability to transfer them to other mobility services significantly increased the willingness to use an e-scooter sharing service, as was predicted. Unexpectedly, the probability of willingness to use an e-scooter service is significantly decreased in urban areas of a 2 km radius that have a metro station, as micro-mobility services seem to compete with public transport services in accessing dense and populated urban areas. On the contrary, pedestrianized zones or streets with wide sidewalks seem to create the right road environment to encourage e-scooter use. Nevertheless, the pavement condition is the most important factor that affects the willingness of travelers to use such a service. Indeed, a pavement in good condition minimizes the frequency of vibrations experienced by e-scooter rider. Regarding the role of gender, it was observed that females tend to express higher unwillingness to use e-scooter sharing services in urban areas, where its use is perceived as unsafe. This contradicts the findings in the literature; thus, this requires further investigation. Other socio-demographics characteristics can be integrated in this modeling framework, aiming to develop both area- and user-specific pricing policies that will effectively increase the demand. Therefore, this methodology is replicable.

Author Contributions

Conceptualization, T.S. and P.G.T.; methodology, P.G.T.; software, P.G.T.; validation, K.K. (Konstantinos Kepaptsoglou) and L.M.; formal analysis, T.S.; investigation, T.S.; resources, C.K.; data curation, T.S.; writing—original draft preparation, P.G.T. and K.K. (Katerina Koliou); writing—review and editing, P.G.T. and K.K. (Katerina Koliou); visualization, P.G.T.; supervision, K.K. (Konstantinos Kepaptsoglou); project administration, C.K.; funding acquisition, C.K. and K.K. (Konstantinos Kepaptsoglou). All authors have read and agreed to the published version of the manuscript.

Funding

This research has been co-financed by the European Regional Development Fund of the European Union and Greek national funds, National Strategic Reference Framework 2014–2020 (NSRF), through the Operational Program Competitiveness, Entrepreneurship and Innovation, under the call RESEARCH–CREATE–INNOVATE (project code: T2EDK-02494).

Institutional Review Board Statement

The study was conducted in accordance with the Declaration of Helsinki, and approved by the Ethics Committee of Research of National Technical University of Athens (protocol code: 57829/24.10.2022).

Informed Consent Statement

Informed consent was obtained from all subjects involved in the study.

Conflicts of Interest

The funders had no role in the design of the study; in the collection, analyses, or interpretation of data; in the writing of the manuscript, or in the decision to publish the results.

References

  1. Oeschger, G.; Carroll, P.; Caulfield, B. Micromobility and Public Transport Integration: The Current State of Knowledge. Transp. Res. Part D Transp. Environ. 2020, 89, 102628. [Google Scholar] [CrossRef]
  2. OECD/ITF. Safe Micromobility: Corporate Partnership Board Report; International Transport Forum (ITF): Paris, France, 2020; p. 98. [Google Scholar]
  3. Yanocha, D.; Allan, M. The Electric Assist: Leveraging E-Bikes and E-Scooters for More Livable Cities; Institute for Transportation and Development Policy (ITDP): New York, NY, USA, 2019. [Google Scholar]
  4. De Bortoli, A.; Christoforou, Z. Consequential LCA for Territorial and Multimodal Transportation Policies: Method and Application to the Free-Floating e-Scooter Disruption in Paris. J. Clean. Prod. 2020, 273, 122898. [Google Scholar] [CrossRef]
  5. De Bortoli, A. Environmental Performance of Shared Micromobility and Personal Alternatives Using Integrated Modal LCA. Transp. Res. Part D Transp. Environ. 2021, 93, 102743. [Google Scholar] [CrossRef]
  6. Hollingsworth, J.; Copeland, B.; Johnson, J.X. Are E-Scooters Polluters? The Environmental Impacts of Shared Dockless Electric Scooters. Environ. Res. Lett. 2019, 14, 084031. [Google Scholar] [CrossRef]
  7. Gössling, S. Integrating E-Scooters in Urban Transportation: Problems, Policies, and the Prospect of System Change. Transp. Res. Part D Transp. Environ. 2020, 79, 102230. [Google Scholar] [CrossRef]
  8. Tuncer, S.; Laurier, E.; Brown, B.; Licoppe, C. Notes on the Practices and Appearances of E-Scooter Users in Public Space. J. Transp. Geogr. 2020, 85, 102702. [Google Scholar] [CrossRef]
  9. Liazos, A.; Iliopoulou, C.; Kepaptsoglou, K.; Bakogiannis, E. Geofence Planning for Electric Scooters. Transp. Res. Part D Transp. Environ. 2022, 102, 103149. [Google Scholar] [CrossRef]
  10. Bakogiannis, E.; Siti, M.; Tsigdinos, S.; Vassi, A.; Nikitas, A. Monitoring the First Dockless Bike Sharing System in Greece: Understanding User Perceptions, Usage Patterns and Adoption Barriers. Res. Transp. Bus. Manag. 2019, 33, 100432. [Google Scholar] [CrossRef]
  11. Zou, Z.; Younes, H.; Erdoğan, S.; Wu, J. Exploratory Analysis of Real-Time E-Scooter Trip Data in Washington, D.C. Transp. Res. Rec. 2020, 2674, 285–299. [Google Scholar] [CrossRef]
  12. Cao, Z.; Zhang, X.; Chua, K.; Yu, H.; Zhao, J. E-Scooter Sharing to Serve Short-Distance Transit Trips: A Singapore Case. Transp. Res. Part A Policy Pract. 2021, 147, 177–196. [Google Scholar] [CrossRef]
  13. Christoforou, Z.; Gioldasis, C.; de Bortoli, A.; Seidowsky, R. Who Is Using E-Scooters and How? Evidence from Paris. Transp. Res. Part D Transp. Environ. 2021, 92, 102708. [Google Scholar] [CrossRef]
  14. Luo, H.; Zhang, Z.; Gkritza, K.; Cai, H. Are Shared Electric Scooters Competing with Buses? A Case Study in Indianapolis. Transp. Res. Part D Transp. Environ. 2021, 97, 102877. [Google Scholar] [CrossRef]
  15. Liu, H.C.; Lin, J.J. Associations of Built Environments with Spatiotemporal Patterns of Shared Scooter Use: A Comparison with Shared Bike Use. Transp. Policy 2022, 126, 107–119. [Google Scholar] [CrossRef]
  16. Ziedan, A.; Darling, W.; Brakewood, C.; Erhardt, G.; Watkins, K. The Impacts of Shared E-Scooters on Bus Ridership. Transp. Res. Part A Policy Pract. 2021, 153, 20–34. [Google Scholar] [CrossRef]
  17. Reck, D.J.; Axhausen, K.W. Who Uses Shared Micro-Mobility Services? Empirical Evidence from Zurich, Switzerland. Transp. Res. Part D Transp. Environ. 2021, 94, 102803. [Google Scholar] [CrossRef]
  18. Reck, D.J.; Haitao, H.; Guidon, S.; Axhausen, K.W. Explaining Shared Micromobility Usage, Competition and Mode Choice by Modelling Empirical Data from Zurich, Switzerland. Transp. Res. Part C Emerg. Technol. 2021, 124, 102947. [Google Scholar] [CrossRef]
  19. Merlin, L.A.; Yan, X.; Xu, Y.; Zhao, X. A Segment-Level Model of Shared, Electric Scooter Origins and Destinations. Transp. Res. Part D Transp. Environ. 2021, 92, 102709. [Google Scholar] [CrossRef]
  20. Jiao, J.; Bai, S. Understanding the Shared E-Scooter Travels in Austin, TX. ISPRS Int. J. Geo Inform. 2020, 9, 135. [Google Scholar] [CrossRef]
  21. Bai, S.; Jiao, J. Dockless E-Scooter Usage Patterns and Urban Built Environments: A Comparison Study of Austin, TX, and Minneapolis, MN. Travel Behav. Soc. 2020, 20, 264–272. [Google Scholar] [CrossRef]
  22. Huo, J.; Yang, H.; Li, C.; Zheng, R.; Yang, L.; Wen, Y. Influence of the Built Environment on E-Scooter Sharing Ridership: A Tale of Five Cities. J. Transp. Geogr. 2021, 93, 103084. [Google Scholar] [CrossRef]
  23. Tokey, A.I.; Shioma, S.A.; Jamal, S. Analysis of Spatiotemporal Dynamics of E-Scooter Usage in Minneapolis: Effects of the Built and Social Environment. Multimodal Transp. 2022, 1, 100037. [Google Scholar] [CrossRef]
  24. Yang, H.; Bao, Y.; Huo, J.; Hu, S.; Yang, L.; Sun, L. Impact of Road Features on Shared E-Scooter Trip Volume: A Study Based on Multiple Membership Multilevel Model. Travel Behav. Soc. 2022, 28, 204–213. [Google Scholar] [CrossRef]
  25. Younes, H.; Baiocchi, G. Analyzing the Spatial Determinants of Dockless E-Scooter & E-Bike Trips across Four U.S. Cities. Int. J. Sustain. Transp. 2022, 1–13. [Google Scholar] [CrossRef]
  26. Almannaa, M.H.; Ashqar, H.I.; Elhenawy, M.; Masoud, M.; Rakotonirainy, A.; Rakha, H. A Comparative Analysis of E-Scooter and e-Bike Usage Patterns: Findings from the City of Austin, TX. Int. J. Sustain. Transp. 2021, 15, 571–579. [Google Scholar] [CrossRef]
  27. Zuniga-Garcia, N.; Ruiz Juri, N.; Perrine, K.A.; Machemehl, R.B. E-Scooters in Urban Infrastructure: Understanding Sidewalk, Bike Lane, and Roadway Usage from Trajectory Data. Case Stud. Transp. Policy 2021, 9, 983–994. [Google Scholar] [CrossRef]
  28. Zhang, W.; Buehler, R.; Broaddus, A.; Sweeney, T. What Type of Infrastructures Do E-Scooter Riders Prefer? A Route Choice Model. Transp. Res. Part D Transp. Environ. 2021, 94, 102761. [Google Scholar] [CrossRef]
  29. Glenn, J.; Bluth, M.; Christianson, M.; Pressley, J.; Taylor, A.; Macfarlane, G.S.; Chaney, R.A. Considering the Potential Health Impacts of Electric Scooters: An Analysis of User Reported Behaviors in Provo, Utah. Int. J. Environ. Res. Public Health 2020, 17, 6344. [Google Scholar] [CrossRef]
  30. Hosseinzadeh, A.; Algomaiah, M.; Kluger, R.; Li, Z. E-Scooters and Sustainability: Investigating the Relationship between the Density of E-Scooter Trips and Characteristics of Sustainable Urban Development. Sustain. Cities Soc. 2021, 66, 102624. [Google Scholar] [CrossRef]
  31. Nikiforiadis, A.; Paschalidis, E.; Stamatiadis, N.; Raptopoulou, A.; Kostareli, A.; Basbas, S. Analysis of Attitudes and Engagement of Shared E-Scooter Users. Transp. Res. Part D Transp. Environ. 2021, 94, 102790. [Google Scholar] [CrossRef]
  32. Eccarius, T.; Lu, C.C. Adoption Intentions for Micro-Mobility—Insights from Electric Scooter Sharing in Taiwan. Transp. Res. Part D Transp. Environ. 2020, 84, 102327. [Google Scholar] [CrossRef]
  33. Tzouras, P.G.; Mitropoulos, L.; Stavropoulou, E.; Antoniou, E.; Koliou, K.; Karolemeas, C.; Karaloulis, A.; Mitropoulos, K.; Tarousi, M.; Vlahogianni, E.I.; et al. Agent-Based Models for Simulating e-Scooter Sharing Services: A Review and a Qualitative Assessment. Int. J. Transp. Sci. Technol. 2022; in press. [Google Scholar] [CrossRef]
  34. Hensher, D.A. Stated Preference Analysis of Travel Choices: The State of Practice. Transportation 1993, 21, 107–133. [Google Scholar] [CrossRef]
  35. Kroes, E.P.; Sheldon, R.J. Stated Preference Methods. J. Transp. Econ. Policy 1988, 22, 11–25. [Google Scholar]
  36. Tzouras, P.G.; Farah, H.; Papadimitriou, E.; van Oort, N.; Hagenzieker, M. Tram Drivers’ Perceived Safety and Driving Stress Evaluation. A Stated Preference Experiment. Transp. Res. Interdiscip. Perspect. 2020, 7, 100205. [Google Scholar] [CrossRef]
  37. Harell, F.E., Jr. Binary logistic regression. In Regression Modeling Strategies; Spinger Science: New York, NY, USA, 2001; pp. 215–265. [Google Scholar]
  38. Kepaptsoglou, K.; Milioti, C.; Spyropoulou, D.; Haider, F.; Karlaftis, A.G. Comparing Traveler Preferences for BRT and LRT Systems in Developing Countries: Evidence from Multan, Pakistan. J. Traffic Transp. Eng. 2020, 7, 384–393. [Google Scholar] [CrossRef]
  39. Tzamourani, E.; Tzouras, P.G.; Tsigdinos, S.; Kepaptsoglou, K. Exploring the Social Acceptance of Transforming Urban Arterials to Multimodal Corridors: The Case of Panepistimiou Avenue in Athens. Int. J. Sustain. Transp. 2022, 1–15. [Google Scholar] [CrossRef]
  40. Bartzokas-Tsiompras, A.; Photis, Y.N. Microscale Walkability Modelling. The Case of Athens City Centre. Int. J. Sustain. Dev. Plan. 2021, 16, 413–426. [Google Scholar] [CrossRef]
  41. Tsigdinos, S.; Tzouras, P.G.; Bakogiannis, E.; Kepaptsoglou, K.; Nikitas, A. The Future Urban Road: A Systematic Literature Review-Enhanced Q-Method Study with Experts. Transp. Res. Part D 2022, 102, 103158. [Google Scholar] [CrossRef]
  42. Meng, L.; Somenahalli, S.; Berry, S. Policy Implementation of Multi-Modal (Shared) Mobility: Review of a Supply-Demand Value Proposition Canvas. Transp. Rev. 2020, 40, 670–684. [Google Scholar] [CrossRef]
  43. Lämmel, G.; Chraibi, M.; Wagoum, A.U.K.; Steffen, B. Hybrid Multimodal and Intermodal Transport Simulation: Case Study on Large-Scale Evacuation Planning. Transp. Res. Rec. 2016, 2561, 1–8. [Google Scholar] [CrossRef]
  44. Yang, H.; Zheng, R.; Li, X.; Huo, J.; Yang, L.; Zhu, T. Nonlinear and Threshold Effects of the Built Environment on E-Scooter Sharing Ridership. J. Transp. Geogr. 2022, 104, 103453. [Google Scholar] [CrossRef]
  45. Bai, L.; Liu, P.; Chan, C.Y.; Li, Z. Estimating Level of Service of Mid-Block Bicycle Lanes Considering Mixed Traffic Flow. Transp. Res. Part A Policy Pract. 2017, 101, 203–217. [Google Scholar] [CrossRef]
  46. Ma, Q.; Yang, H.; Mayhue, A.; Sun, Y.; Huang, Z.; Ma, Y. E-Scooter Safety: The Riding Risk Analysis Based on Mobile Sensing Data. Accid. Anal. Prev. 2021, 151, 105954. [Google Scholar] [CrossRef] [PubMed]
  47. Milakis, D.; Vlastos, T.; Barbopoulos, N. Relationships between Urban Form and Travel Behaviour in Athens, Greece. A Comparison with Western European and North American Results. Eur. J. Transp. Infrastruct. Res. 2008, 8, 201–215. [Google Scholar] [CrossRef]
  48. Kopsidas, A.; Kepaptsoglou, K.; Vlahogianni, E.; Iliopoulou, C. Modeling Transit User Travel Time Perception in a Post-Economic Recession Era: The Case of Athens, Greece. Adv. Intell. Syst. Comput. 2019, 879, 504–511. [Google Scholar] [CrossRef]
Figure 1. Sample scenario from the online questionnaire form in English.
Figure 1. Sample scenario from the online questionnaire form in English.
Sustainability 14 15680 g001
Figure 2. Sample socio-demographic characteristics: (a) gender, (b) age, (c) education level and (d) e-scooter ownership.
Figure 2. Sample socio-demographic characteristics: (a) gender, (b) age, (c) education level and (d) e-scooter ownership.
Sustainability 14 15680 g002
Figure 3. Main observed study trends.
Figure 3. Main observed study trends.
Sustainability 14 15680 g003
Table 1. Presentation of independent variables considered in scenarios’ design.
Table 1. Presentation of independent variables considered in scenarios’ design.
VariableAbbrv.TypeNr. of levelsLevel 0Level 1Level 2Level 3
A. Pricing policy
Service cost“cost”Continuous3 1.5 euro2.5 euro3.5 euro
Bonus points and points transferability“points”
“mulm”
Categorical3 0 points2 points, with the collection of 10 points you win a 2 km free ride1 point, with the collection of 10 points you win a 2 km free ride or a 50% discount in a private parking lot
B. Transport system
Metro stations“metro”Binary2Without stationWith station
Bus lines“bus”Binary2Without bus stationWith bus station
C. Road infrastructure
Speed limit of ≤30 km/h“speed1”
“speed2”
Categorical3 None of the roads70% of residential roads100% of residential roads
Pavement condition“pav”Binary2Bad conditionGood condition
Cycle lanes“cycle”Binary2Without bike lanesWith bike lanes
Pedestrianized zones“ped”Binary2Without pedestrian zoneWith pedestrian zone
Mean sidewalk width“sidw”Continuous3 <1.2 m2.1 m>3.0 m
Table 2. Binary logistic regression model—presentation of model results.
Table 2. Binary logistic regression model—presentation of model results.
EstimateStd. Errorz-Valuep (>|z|)
Socio-demographic characteristics (non-random variables)
Gender (1, if male)0.77950.19843.9280<0.0001
Pricing policy (non-random variables)
Service cost per hour in euros−0.75970.0602−12.6247<0.0001
Bonus points in points0.24800.06223.9883<0.0001
Points transfer to parking services (1, if yes)0.45370.11274.0277<0.0001
Transport system (non-random variables)
With metro stations (1, if yes)−0.53970.1001−5.3935<0.0001
With bus lines (1, if yes)0.03590.10010.35920.7195
Road infrastructure (random variables)
Mean beta values
Overall pavement condition (1, if in a good condition)1.07730.14577.3965<0.0001
Mean sidewalk width in meters0.17600.08662.03170.0422
With cycle lanes (1, if yes)0.03720.10230.36360.7161
With pedestrianized zones (1, if yes)0.29400.11572.54140.0110
With speed limit of 30 km/h—70% of residential streets−0.04130.1282−0.32220.7473
With speed limit of 30 km/h or less—100% of residential and collector streets0.19390.12311.57470.1153
Standard deviation
Overall pavement condition (1, if in a good condition)1.44570.17268.3759<0.0001
Mean sidewalk width in meters0.83710.069012.1286<0.0001
With cycle lanes (1, if yes)0.00870.19500.04460.9624
With pedestrianized zones (1, if yes)0.80260.17384.6180<0.0001
With speed limit of 30 km/h—70% of residential streets0.51920.28301.83470.0666
With speed limit of 30 km/h or less—100% of residential and collector streets0.00560.28000.02000.9841
Number of observations2916
Number of individuals243
Null loglikelihood (with zero coefficients)−2408
Loglikelihood at convergence−1589
Halton draws1000
Table 3. Estimation of marginal effects, i.e., the partial derivations of the estimated model using mean beta values (the maximum percentage change is indicated with ciel color, the minimum one with red color).
Table 3. Estimation of marginal effects, i.e., the partial derivations of the estimated model using mean beta values (the maximum percentage change is indicated with ciel color, the minimum one with red color).
GenderCostBonusPavementBad ConditionGood Condition
Pedestrianized ZonesNoYesNoYes
Mean Sidewalk Width1.2 m2.1 m3.0 m1.2 m2.1 m3.0 m1.2 m2.1 m3.0 m1.2 m2.1 m3.0 m
female+0.5 €/h0 pointsno option−8.1%−5.4%−3.1%−7.1%−4.4%−2.4%−4.3%−2.4%−1.2%−3.5%−1.8%−0.9%
+1 pointno option−2.7%−1.7%−1.0%−2.3%−1.4%−0.8%−1.4%−0.7%−0.4%−1.1%−0.6%−0.3%
+transfer points5.8%3.6%2.0%4.9%2.9%1.5%2.8%1.5%0.7%2.2%1.1%0.5%
+2 pointsno option2.2%1.4%0.8%1.9%1.1%0.6%1.1%0.6%0.3%0.9%0.4%0.2%
+transfer points9.6%5.8%3.1%8.1%4.6%2.4%4.5%2.3%1.2%3.5%1.8%0.9%
−0.5 €/h0 pointsno option6.8%4.2%2.2%5.7%3.3%1.7%3.2%1.7%0.8%2.5%1.3%0.6%
+1 pointno option10.5%6.3%3.4%8.7%5.0%2.6%4.8%2.5%1.2%3.8%1.9%0.9%
+transfer points15.8%9.2%4.8%13.0%7.2%3.7%7.0%3.6%1.8%5.4%2.7%1.3%
+2 pointsno option13.6%8.0%4.2%11.2%6.3%3.2%6.1%3.2%1.6%4.8%2.4%1.2%
+transfer points18.0%10.3%5.4%14.7%8.1%4.1%7.9%4.0%2.0%6.1%3.0%1.5%
male+0.5 €/h0 pointsno option−5.3%−3.0%−1.6%−4.3%−2.4%−1.2%−2.3%−1.2%−0.6%−1.8%−0.9%−0.4%
+1 pointno option−1.7%−0.9%−0.5%−1.4%−0.7%−0.4%−0.7%−0.4%−0.2%−0.5%−0.3%−0.1%
+transfer points3.5%1.9%1.0%2.8%1.5%0.7%1.4%0.7%0.3%1.1%0.5%0.3%
+2 pointsno option1.4%0.8%0.4%1.1%0.6%0.3%0.6%0.3%0.1%0.4%0.2%0.1%
+transfer points5.7%3.0%1.5%4.5%2.3%1.2%2.3%1.1%0.5%1.7%0.8%0.4%
−0.5 €/h0 pointno option4.1%2.2%1.1%3.2%1.7%0.8%1.6%0.8%0.4%1.3%0.6%0.3%
+1 pointno option6.2%3.3%1.6%4.9%2.5%1.2%2.4%1.2%0.6%1.9%0.9%0.4%
+transfer points9.0%4.7%2.3%7.1%3.6%1.8%3.5%1.7%0.8%2.7%1.3%0.6%
+2 pointsno option7.8%4.1%2.1%6.2%3.2%1.6%3.1%1.5%0.7%2.3%1.1%0.5%
+transfer points10.1%5.3%2.6%7.9%4.0%2.0%3.9%1.9%0.9%3.0%1.4%0.7%
Publisher’s Note: MDPI stays neutral with regard to jurisdictional claims in published maps and institutional affiliations.

Share and Cite

MDPI and ACS Style

Sorkou, T.; Tzouras, P.G.; Koliou, K.; Mitropoulos, L.; Karolemeas, C.; Kepaptsoglou, K. An Approach to Model the Willingness to Use of E-Scooter Sharing Services in Different Urban Road Environments. Sustainability 2022, 14, 15680. https://doi.org/10.3390/su142315680

AMA Style

Sorkou T, Tzouras PG, Koliou K, Mitropoulos L, Karolemeas C, Kepaptsoglou K. An Approach to Model the Willingness to Use of E-Scooter Sharing Services in Different Urban Road Environments. Sustainability. 2022; 14(23):15680. https://doi.org/10.3390/su142315680

Chicago/Turabian Style

Sorkou, Theodora, Panagiotis G. Tzouras, Katerina Koliou, Lambros Mitropoulos, Christos Karolemeas, and Konstantinos Kepaptsoglou. 2022. "An Approach to Model the Willingness to Use of E-Scooter Sharing Services in Different Urban Road Environments" Sustainability 14, no. 23: 15680. https://doi.org/10.3390/su142315680

APA Style

Sorkou, T., Tzouras, P. G., Koliou, K., Mitropoulos, L., Karolemeas, C., & Kepaptsoglou, K. (2022). An Approach to Model the Willingness to Use of E-Scooter Sharing Services in Different Urban Road Environments. Sustainability, 14(23), 15680. https://doi.org/10.3390/su142315680

Note that from the first issue of 2016, this journal uses article numbers instead of page numbers. See further details here.

Article Metrics

Back to TopTop