AR Search Engine: Semantic Information Retrieval for Augmented Reality Domain
Abstract
1. Introduction
2. AR Ontology
2.1. Development Procedure
2.2. Ontology Classes and Individuals
3. Ontology Based AR Information Retrieval
4. Experimental Design
| Algorithm 1: Semantic information retrieval for AR search engine. |
![]() |
5. Results
5.1. Overview of the AR Search Engine
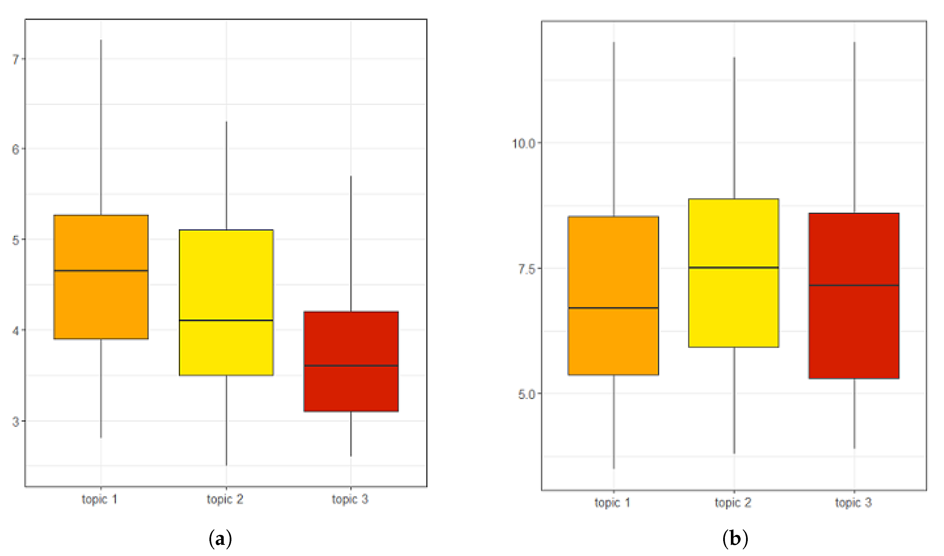
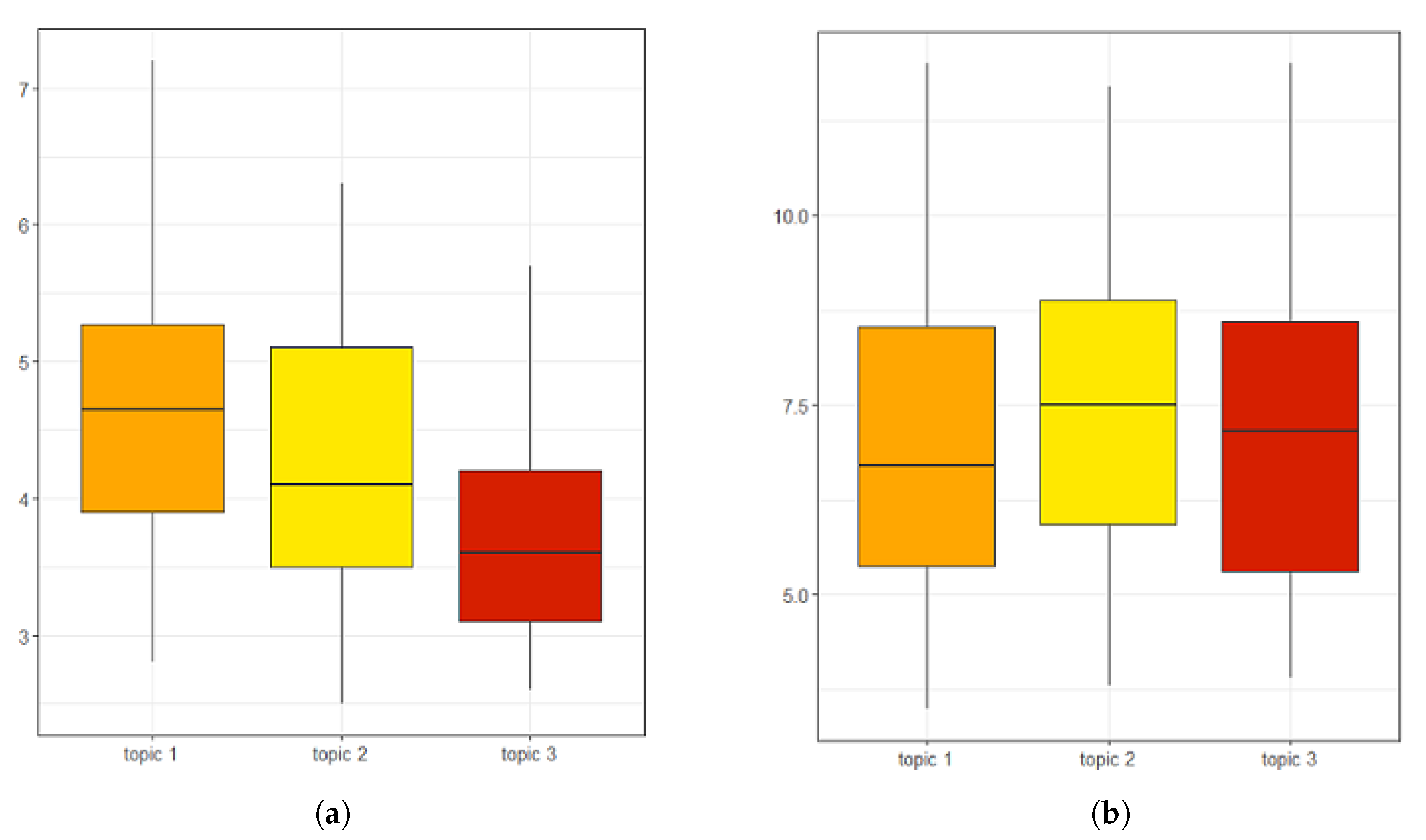
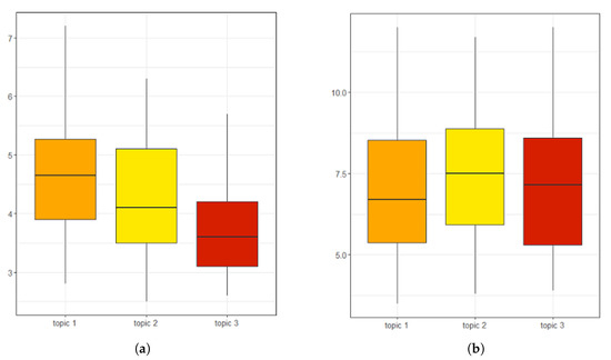
5.2. Evaluation Results
6. Conclusions and Future Works
Author Contributions
Funding
Institutional Review Board Statement
Informed Consent Statement
Data Availability Statement
Conflicts of Interest
References
- Evangelista, A.; Ardito, L.; Boccaccio, A.; Fiorentino, M.; Petruzzelli, A.M.; Uva, A.E. Unveiling the technological trends of augmented reality: A patent analysis. Comput. Ind. 2020, 118, 103221. [Google Scholar] [CrossRef]
- Rezaee, S.; Sadeghi-Niaraki, A.; Shakeri, M.; Choi, S.M. Personalized Augmented Reality Based Tourism System: Big Data and User Demographic Contexts. Appl. Sci. 2021, 11, 6047. [Google Scholar] [CrossRef]
- Park, H.; Shakeri, M.; Jeon, I.; Kim, J.; Sadeghi-Niaraki, A.; Woo, W. Spatial transition management for improving outdoor cinematic augmented reality experience of the TV show. Virtual Real. 2022, 26, 1059–1077. [Google Scholar] [CrossRef] [PubMed]
- Shakeri, M.; Sadeghi-Niaraki, A.; Choi, S.M. Augmented reality-based border management. Virtual Real. 2022, 26, 1123–1143. [Google Scholar] [CrossRef]
- Arici, F.; Yildirim, P.; Caliklar, Ş.; Yilmaz, R.M. Research trends in the use of augmented reality in science education: Content and bibliometric mapping analysis. Comput. Educ. 2019, 142, 103647. [Google Scholar] [CrossRef]
- Eckert, M.; Volmerg, J.S.; Friedrich, C.M. Augmented reality in medicine: Systematic and bibliographic review. JMIR mHealth uHealth 2019, 7, e10967. [Google Scholar] [CrossRef]
- Han, J.; Kang, H.J.; Kim, M.; Kwon, G.H. Mapping the intellectual structure of research on surgery with mixed reality: Bibliometric network analysis (2000–2019). J. Biomed. Inform. 2020, 109, 103516. [Google Scholar] [CrossRef]
- Yung, R.; Khoo-Lattimore, C. New realities: A systematic literature review on virtual reality and augmented reality in tourism research. Curr. Issues Tour. 2019, 22, 2056–2081. [Google Scholar] [CrossRef]
- Egger, J.; Masood, T. Augmented reality in support of intelligent manufacturing—A systematic literature review. Comput. Ind. Eng. 2020, 140, 106195. [Google Scholar] [CrossRef]
- Paelke, V. Augmented reality in the smart factory: Supporting workers in an industry 4.0. environment. In Proceedings of the 2014 IEEE Emerging Technology and Factory Automation (ETFA), Barcelona, Spain, 16–19 September 2014; IEEE: Piscataway, NJ, USA, 2014; pp. 1–4. [Google Scholar]
- Djordjevic, L.; Petrovic, N.; Tosic, M. Ontology based approach to development of augmented reality applications. In Proceedings of the 2019 27th Telecommunications Forum (TELFOR), Belgrade, Serbia, 26–27 November 2019; IEEE: Piscataway, NJ, USA, 2019; pp. 1–4. [Google Scholar]
- Đorđević, L.; Petrović, N.; Tošić, M. An ontology-based framework for automated code generation of Web AR applications. Telfor J. 2020, 12, 67–72. [Google Scholar] [CrossRef]
- Hervás, R.; Bravo, J.; Fontecha, J.; Villarreal, V. Achieving adaptive augmented reality through ontological context-awareness applied to aal scenarios. J. Univers. Comput. Sci. 2013, 19, 1334–1349. [Google Scholar]
- Eckertz, D.; Möller, M.; Anacker, H.; Dumitrescu, R. Digital Knowledge Base for Industrial Augmented Reality Systems Based on Semantic Technologies. In Proceedings of the 2021 4th International Conference on Information and Computer Technologies (ICICT), Hawaii, GA, USA, 11–14 March 2021; IEEE: Piscataway, NJ, USA, 2021; pp. 243–252. [Google Scholar]
- Sala, H.V.; Leyva, P.R.; Febles, J.P.; Sentí, V.E. Information Retrieval with Semantic Annotation; Technical Report; EasyChair: Greater Manchester, UK, 2019. [Google Scholar]
- Selvalakshmi, B.; Subramaniam, M. Intelligent ontology based semantic information retrieval using feature selection and classification. Clust. Comput. 2019, 22, 12871–12881. [Google Scholar] [CrossRef]
- Sharma, S.; Mahajan, S.; Rana, V. A semantic framework for ecommerce search engine optimization. Int. J. Inf. Technol. 2019, 11, 31–36. [Google Scholar] [CrossRef]
- Ning, W.; Liu, J.; Xiong, H. Knowledge discovery using an enhanced latent Dirichlet allocation-based clustering method for solving on-site assembly problems. Robot. Comput.-Integr. Manuf. 2022, 73, 102246. [Google Scholar] [CrossRef]
- Kim, S.W.; Gil, J.M. Research paper classification systems based on TF-IDF and LDA schemes. Hum.-Centric Comput. Inf. Sci. 2019, 9, 30. [Google Scholar] [CrossRef]
- Bukhari, A.; Liu, X. A Web service search engine for large-scale Web service discovery based on the probabilistic topic modeling and clustering. Serv. Oriented Comput. Appl. 2018, 12, 169–182. [Google Scholar] [CrossRef]
- Li, X.; Li, K.; Qiao, D.; Ding, Y.; Wei, D. Application research of machine learning method based on distributed cluster in information retrieval. In Proceedings of the 2019 International Conference on Communications, Information System and Computer Engineering (CISCE), Haikou, China, 5–7 July 2019; IEEE: Piscataway, NJ, USA, 2019; pp. 411–414. [Google Scholar]
- Indra, Z.; Adnan, A.; Salambue, R. A Hybrid Information Retrieval for Indonesian Translation of Quran by Using Single Pass Clustering Algorithm. In Proceedings of the 2019 Fourth International Conference on Informatics and Computing (ICIC), Semarang, Indonesia, 16–17 October 2019; IEEE: Piscataway, NJ, USA, 2019; pp. 1–5. [Google Scholar]
- Logeswari, S.; Premalatha, K. Biomedical document clustering using ontology based concept weight. In Proceedings of the 2013 International Conference on Computer Communication and Informatics, Coimbatore, India, 4–6 January 2013; IEEE: Piscataway, NJ, USA, 2013; pp. 1–4. [Google Scholar]
- Kulathunga, C.; Karunaratne, D. An ontology-based and domain specific clustering methodology for financial documents. In Proceedings of the 2017 Seventeenth International Conference on Advances in ICT for Emerging Regions (ICTer), Colombo, Sri Lanka, 6–9 September 2017; IEEE: Piscataway, NJ, USA, 2017; pp. 1–8. [Google Scholar]
- Sandhiya, R.; Sundarambal, M. Clustering of biomedical documents using ontology-based TF-IGM enriched semantic smoothing model for telemedicine applications. Clust. Comput. 2019, 22, 3213–3230. [Google Scholar] [CrossRef]
- Kambau, R.A.; Hasibuan, Z.A. Concept-based multimedia information retrieval system using ontology search in cultural heritage. In Proceedings of the 2017 Second International Conference on Informatics and Computing (ICIC), Jayapura, Indonesia, 1–3 November 2017; IEEE: Piscataway, NJ, USA, 2017; pp. 1–6. [Google Scholar]
- Janani, R.; Vijayarani, S. Text document clustering using spectral clustering algorithm with particle swarm optimization. Expert Syst. Appl. 2019, 134, 192–200. [Google Scholar] [CrossRef]
- Zhou, Z.; Goh, Y.M.; Shen, L. Overview and analysis of ontology studies supporting development of the construction industry. J. Comput. Civ. Eng. 2016, 30, 04016026. [Google Scholar] [CrossRef]
- Zheng, Y.; Törmä, S.; Seppänen, O. A shared ontology suite for digital construction workflow. Autom. Constr. 2021, 132, 103930. [Google Scholar] [CrossRef]
- Azuma, R.T. A survey of augmented reality. Presence Teleoper. Virtual Environ. 1997, 6, 355–385. [Google Scholar] [CrossRef]
- Schmalstieg, D.; Hollerer, T. Augmented Reality: Principles and Practice; Addison-Wesley Professional: Boston, MA, USA, 2016. [Google Scholar]
- Kipper, G.; Rampolla, J. Augmented Reality: An Emerging Technologies Guide to AR; Elsevier: Amsterdam, The Netherlands, 2012. [Google Scholar]
- Furht, B. Handbook of Augmented Reality; Springer Science & Business Media: Berlin, Germany, 2011. [Google Scholar]
- Craig, A.B. Understanding Augmented Reality: Concepts and Applications; Newnes: Newton, MA, USA, 2013. [Google Scholar]
- Haghighi, P.D.; Burstein, F.; Zaslavsky, A.; Arbon, P. Development and evaluation of ontology for intelligent decision support in medical emergency management for mass gatherings. Decis. Support Syst. 2013, 54, 1192–1204. [Google Scholar] [CrossRef]
- Kim, K.; Billinghurst, M.; Bruder, G.; Duh, H.B.L.; Welch, G.F. Revisiting trends in augmented reality research: A review of the 2nd decade of ISMAR (2008–2017). IEEE Trans. Vis. Comput. Graph. 2018, 24, 2947–2962. [Google Scholar] [CrossRef]
- Billinghurst, M.; Clark, A.; Lee, G. A survey of augmented reality. Found. Trends® Hum.-Comput. Interact. 2015, 8, 73–272. [Google Scholar] [CrossRef]
- Palmarini, R.; Erkoyuncu, J.A.; Roy, R.; Torabmostaedi, H. A systematic review of augmented reality applications in maintenance. Robot. Comput.-Integr. Manuf. 2018, 49, 215–228. [Google Scholar] [CrossRef]
- Bae, H.; White, J.; Golparvar-Fard, M.; Pan, Y.; Sun, Y. Fast and scalable 3D cyber-physical modeling for high-precision mobile augmented reality systems. Pers. Ubiquitous Comput. 2015, 19, 1275–1294. [Google Scholar] [CrossRef]
- Chen, M.; Monroy-Hernández, A.; Sra, M. SceneAR: Scene-based Micro Narratives for Sharing and Remixing in Augmented Reality. In Proceedings of the 2021 IEEE International Symposium on Mixed and Augmented Reality (ISMAR), Bari, Italy, 4–8 October 2021; IEEE: Piscataway, NJ, USA, 2021; pp. 294–303. [Google Scholar]
- Nebeling, M.; Speicher, M. The trouble with augmented reality/virtual reality authoring tools. In Proceedings of the 2018 IEEE International Symposium on Mixed and Augmented Reality Adjunct (ISMAR-Adjunct), Munich, Germany, 16–20 October 2018; IEEE: Piscataway, NJ, USA, 2018; pp. 333–337. [Google Scholar]
- Tongprasom, K.; Boongsood, W.; Boongsood, W.; Pipatchotitham, T. Comparative Study of an Augmented Reality Software Development Kit Suitable for Forensic Medicine Education. Int. J. Inf. Educ. Technol. 2021, 11, 10–15. [Google Scholar] [CrossRef]
- Vakaliuk, T.A.; Pochtoviuk, S.I. Analysis of tools for the development of augmented reality technologies. In Proceedings of the CEUR Workshop Proceedings, Online, 7–8 January 2021. [Google Scholar]
- Pham, D.M.; Stuerzlinger, W. Is the pen mightier than the controller? A comparison of input devices for selection in virtual and augmented reality. In Proceedings of the 25th ACM Symposium on Virtual Reality Software and Technology, Parramatta, Australia, 12–15 November 2019; pp. 1–11. [Google Scholar]
- Belyavskii, A.; Sorokin, A.; Khaustov, A. Head-Up Display Systems in Aviation. Russ. Eng. Res. 2021, 41, 61–63. [Google Scholar] [CrossRef]
- Zhang, Y.; Yang, T.; Zhang, X.; Zhang, Y.; Sun, Y. Effects of full windshield head-up display on visual attention allocation. Ergonomics 2021, 64, 1310–1321. [Google Scholar] [CrossRef]
- Sadeghi-Niaraki, A.; Choi, S.M. A Survey of Marker-Less Tracking and Registration Techniques for Health & Environmental Applications to Augmented Reality and Ubiquitous Geospatial Information Systems. Sensors 2020, 20, 2997. [Google Scholar]
- Nizam, S.S.M.; Abidin, R.Z.; Hashim, N.C.; Lam, M.C.; Arshad, H.; Majid, N. A review of multimodal interaction technique in augmented reality environment. Int. J. Adv. Sci. Eng. Inf. Technol. 2018, 8, 1460–1469. [Google Scholar] [CrossRef]
- Carpineto, C.; Romano, G. A survey of automatic query expansion in information retrieval. Acm Comput. Surv. (CSUR) 2012, 44, 1–50. [Google Scholar] [CrossRef]
- Avasthi, S.; Chauhan, R.; Acharjya, D.P. Processing large text corpus using N-gram language modeling and smoothing. In Proceedings of the Second International Conference on Information Management and Machine Intelligence, Jaipur, India, 1–2 June 2021; Springer: Berlin/Heidelberg, Germany, 2021; pp. 21–32. [Google Scholar]
- Mabotuwana, T.; Lee, M.C.; Cohen-Solal, E.V. An ontology-based similarity measure for biomedical data—Application to radiology reports. J. Biomed. Inform. 2013, 46, 857–868. [Google Scholar] [CrossRef] [PubMed]
- Avasthi, S.; Chauhan, R.; Acharjya, D.P. Techniques, Applications, and Issues in Mining Large-Scale Text Databases. In Advances in Information Communication Technology and Computing; Goar, V., Kuri, M., Kumar, R., Senjyu, T., Eds.; Springer: Singapore, 2021; pp. 385–396. [Google Scholar]
- Avasthi, S.; Chauhan, R.; Acharjya, D.P. Topic Modeling Techniques for Text Mining Over a Large-Scale Scientific and Biomedical Text Corpus. Int. J. Ambient. Comput. Intell. (IJACI) 2022, 13, 1–18. [Google Scholar] [CrossRef]
- Sinaga, K.P.; Yang, M.S. Unsupervised K-means clustering algorithm. IEEE Access 2020, 8, 80716–80727. [Google Scholar] [CrossRef]
- Park, K.; Hong, J.S.; Kim, W. A methodology combining cosine similarity with classifier for text classification. Appl. Artif. Intell. 2020, 34, 396–411. [Google Scholar] [CrossRef]
- Nguyen, T.; Gopalan, N.; Patel, R.; Corsaro, M.; Pavlick, E.; Tellex, S. Affordance-based robot object retrieval. Auton. Robot. 2021, 46, 83–98. [Google Scholar] [CrossRef]
- Mufid, M.R.; Basofi, A.; Al Rasyid, M.U.H.; Rochimansyah, I.F.; rokhim, A. Design an mvc model using python for flask framework development. In Proceedings of the 2019 International Electronics Symposium (IES), Surabaya, Indonesia, 27–28 September 2019; IEEE: Piscataway, NJ, USA, 2019; pp. 214–219. [Google Scholar]











Publisher’s Note: MDPI stays neutral with regard to jurisdictional claims in published maps and institutional affiliations. |
© 2022 by the authors. Licensee MDPI, Basel, Switzerland. This article is an open access article distributed under the terms and conditions of the Creative Commons Attribution (CC BY) license (https://creativecommons.org/licenses/by/4.0/).
Share and Cite
Shakeri, M.; Sadeghi-Niaraki, A.; Choi, S.-M.; AbuHmed, T. AR Search Engine: Semantic Information Retrieval for Augmented Reality Domain. Sustainability 2022, 14, 15681. https://doi.org/10.3390/su142315681
Shakeri M, Sadeghi-Niaraki A, Choi S-M, AbuHmed T. AR Search Engine: Semantic Information Retrieval for Augmented Reality Domain. Sustainability. 2022; 14(23):15681. https://doi.org/10.3390/su142315681
Chicago/Turabian StyleShakeri, Maryam, Abolghasem Sadeghi-Niaraki, Soo-Mi Choi, and Tamer AbuHmed. 2022. "AR Search Engine: Semantic Information Retrieval for Augmented Reality Domain" Sustainability 14, no. 23: 15681. https://doi.org/10.3390/su142315681
APA StyleShakeri, M., Sadeghi-Niaraki, A., Choi, S.-M., & AbuHmed, T. (2022). AR Search Engine: Semantic Information Retrieval for Augmented Reality Domain. Sustainability, 14(23), 15681. https://doi.org/10.3390/su142315681


