The Influence of the Transition to Ecological Farming on the Quality of Runoff Water
Abstract
1. Introduction
- RQ1: Which qualitative parameters of water were affected after the transition to ecological farming in the catchment?
- RQ2: Which qualitative parameters were affected by other ongoing changes during the analyzed period?
- RQ3: How is the quantitative extent that the qualitative parameters of water have been affected by these changes?
2. Materials and Methods
2.1. Study Site
2.2. Sample Collection
2.3. Statistical Analysis
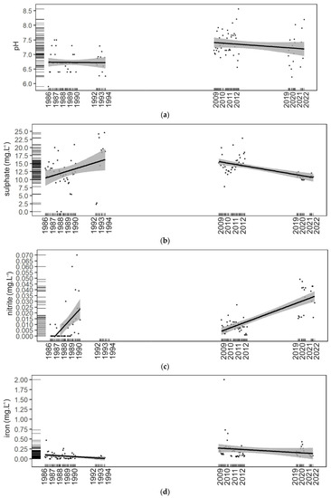
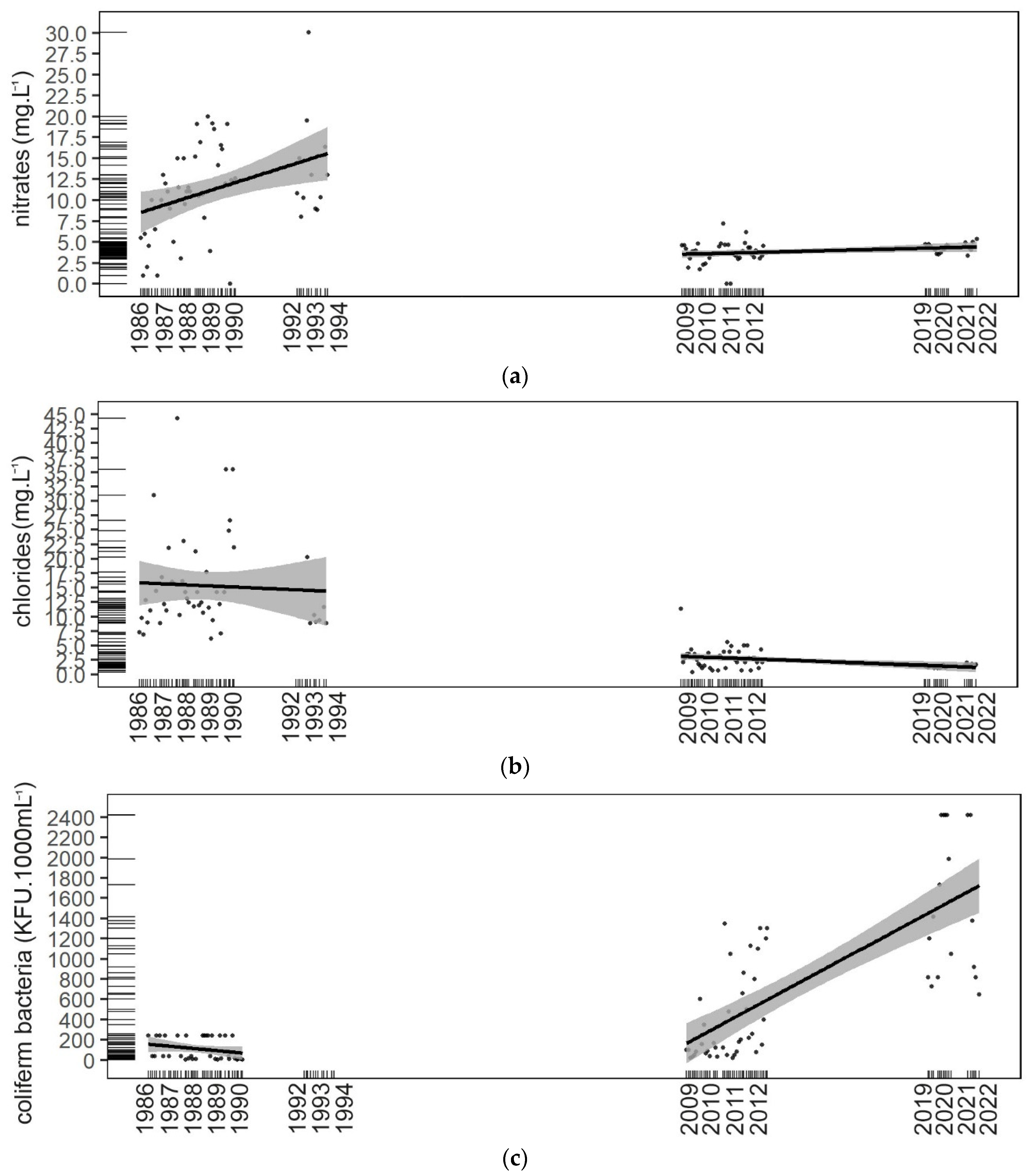
3. Results
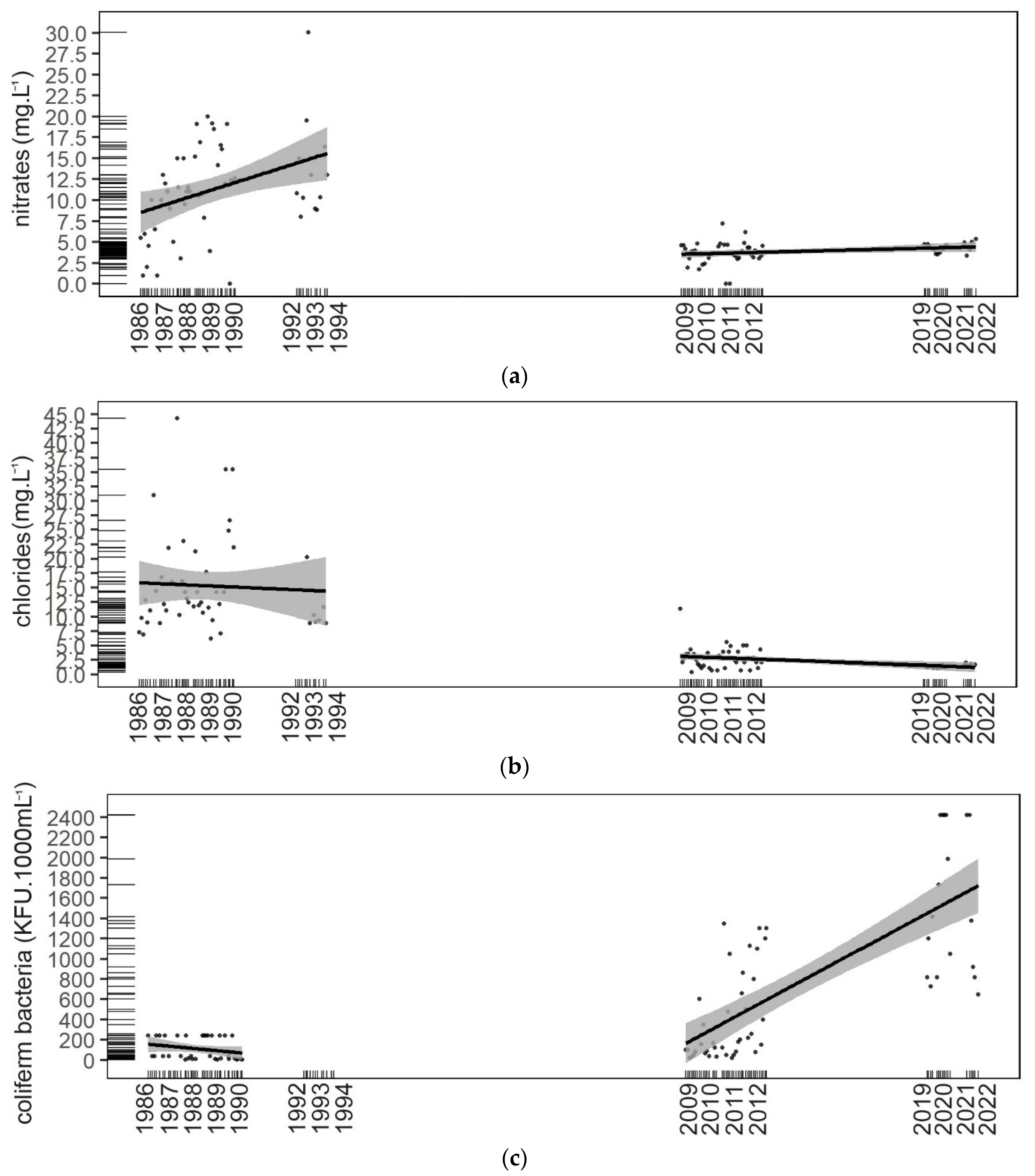
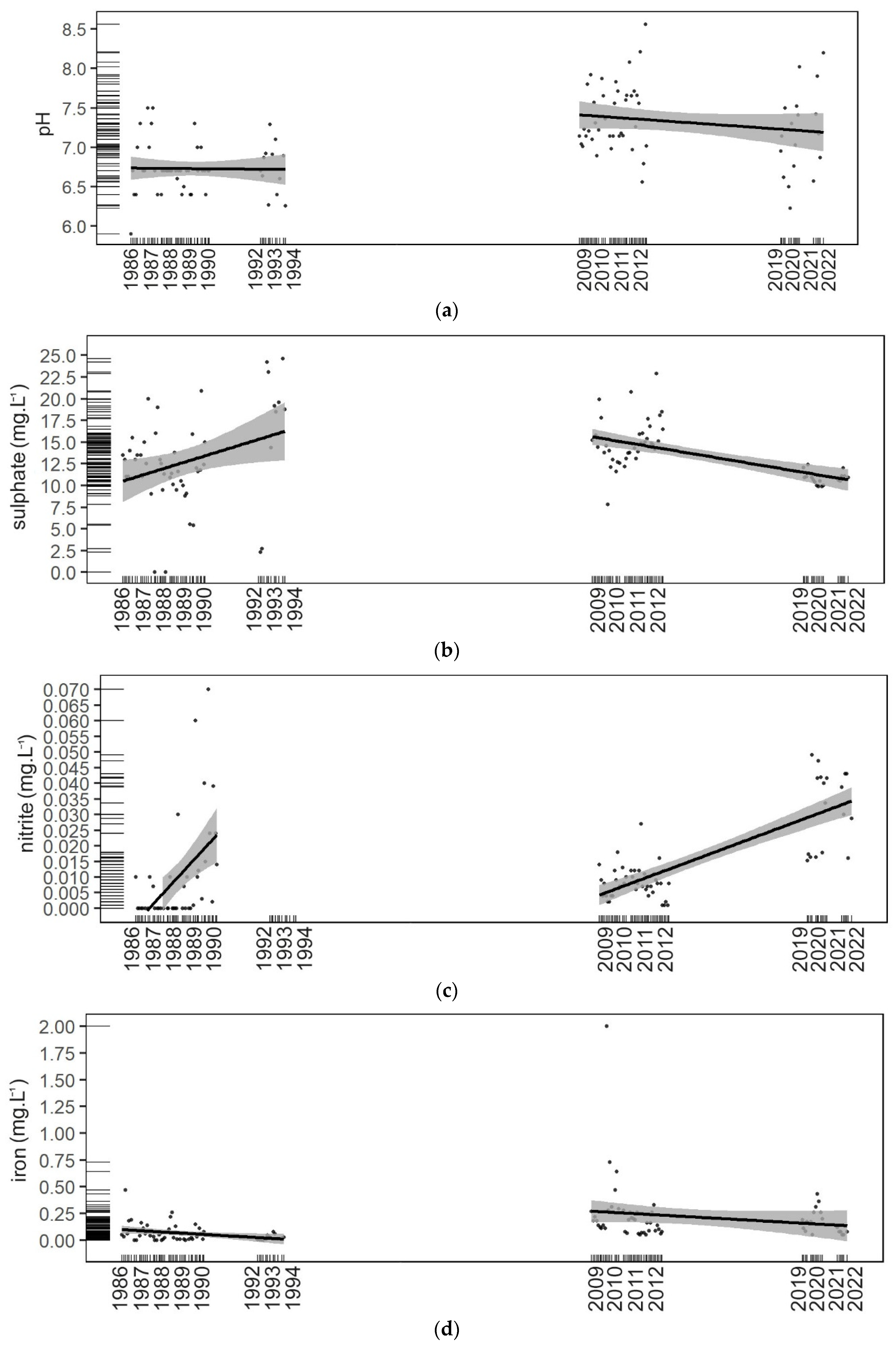
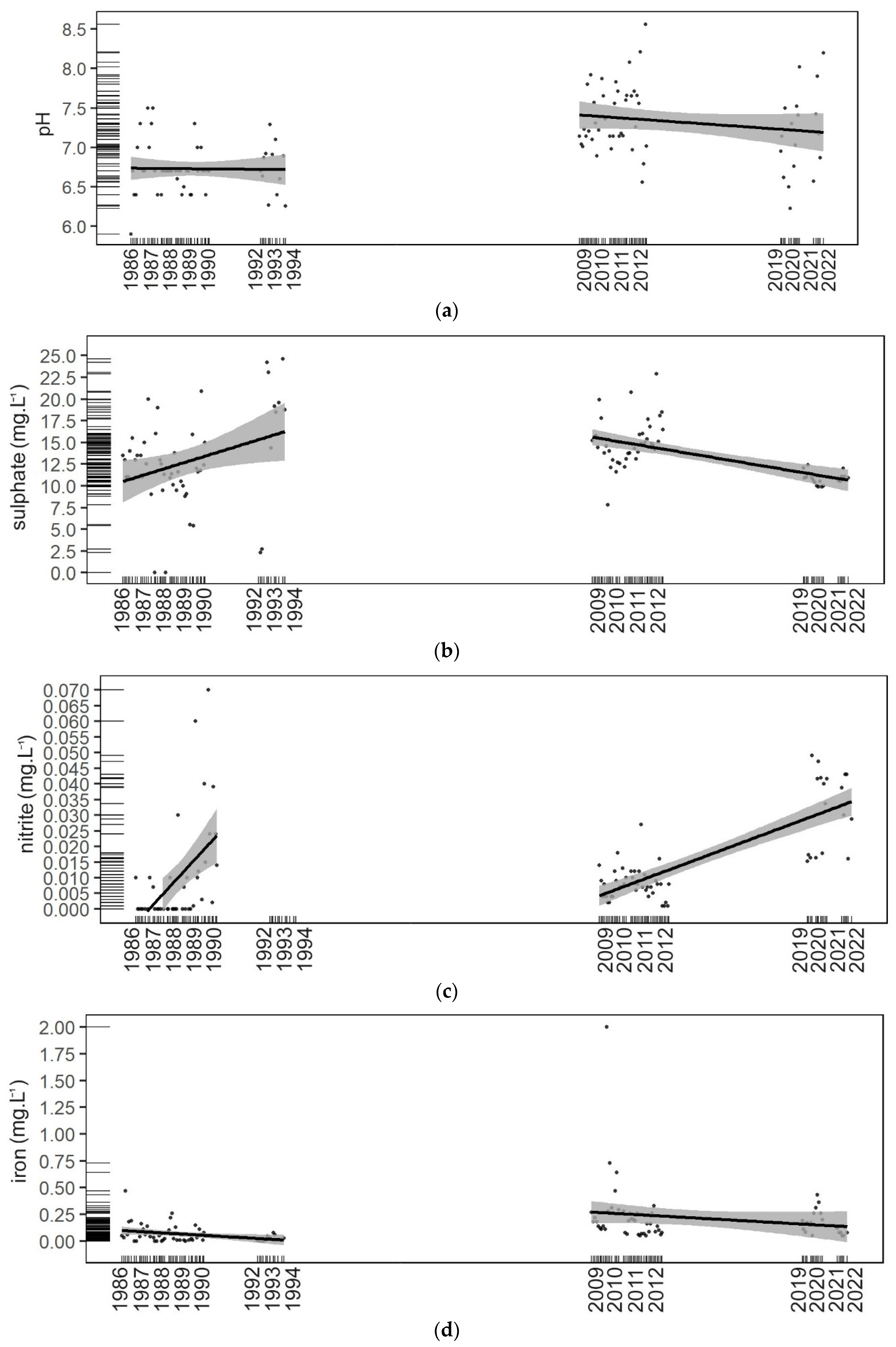
3.1. Parameters Influenced by the Transition to Ecological Farming
3.2. Parameters Influenced by Other Potential Factors
3.3. Parameters without Changes
4. Discussion
5. Conclusions
Author Contributions
Funding
Institutional Review Board Statement
Informed Consent Statement
Data Availability Statement
Conflicts of Interest
References
- Baillie, B.R.; Neary, D.G. Water quality in New Zealand´s planted forests: A review. N. Z. J. For. Sci. 2015, 45, 1–18. [Google Scholar] [CrossRef]
- Carr, G.M.; Neary, J.P. Water Quality for Ecosystem and Human Health, 2nd ed.; United Nations Environment Programme/Earthprint: Ontario, ON, Canada, 2008; 130p. [Google Scholar]
- Binkley, D.; Burnham, H.; Allen, L.H. Water quality impacts of forest fertilization with nitrogen and phosphorus. For. Ecol. Manag. 1999, 121, 191–213. [Google Scholar] [CrossRef]
- Brown, T.C.; Binkley, D. Effect of Management on Water Quality in North American Forests; USDA Forest Service General Technical Report RM-248; Colorado State University: Fort Collins, CO, USA, 1994. [Google Scholar] [CrossRef]
- O’Neill, R.V.; Hunsaker, C.T.; Jones, K.B.; Riitters, K.H.; Wickham, J.D.; Schwartz, P.M.; Goodman, I.A.; Jackson, B.L.; Baillargeon, W.S. Monitoring environmental quality at the landscape scale: Using landscape indicators to assess biotic diversity, watershed integrity and landscape stability. BioScience 1997, 47, 513–519. [Google Scholar] [CrossRef]
- Gleick, P.H. Water in Crisis: A Guide to the World’s Fresh Water Resources; Oxford University Press: New York, NY, USA, 1993; 504p. [Google Scholar]
- Feller, M.C. Forest Harvesting and streamwater inorganic chemistry in western North America: A review. J. Am. Water Resour. Assoc. 2005, 41, 785–811. [Google Scholar] [CrossRef]
- Chauhan, A.; Verma, S. Impact of Agriculture, Urban and Forest Land Use on Physico-Chemical Properties of Water a Review. Int. J. Curr. Microbiol. Appl. Sci. 2015, 4, 18–22. [Google Scholar]
- Giri, S.; Qiu, Z. Understanding the relationship of land uses and water quality in Twenty First Century: A review. J. Environ. Manag. 2016, 173, 41–48. [Google Scholar] [CrossRef]
- Gergel, S.E. Spatial and non-spatial factors: When do they affect landscape indicators of watershed loading? Landsc. Ecol. 2005, 20, 177–189. [Google Scholar] [CrossRef]
- Griffith, J.A.; Martinko, E.A.; Whistler, J.L.; Price, K.P. Preliminary comparison of landscape pattern-normalizqed difference vegetation index (NDVI) relationships to central plains stream conditions. J. Environ. Qual. 2002, 31, 846–859. [Google Scholar] [CrossRef]
- Moreno-Mateos, D.; Mander, U.; Comin, F.A.; Pedrocchi, C.; Uuemaa, E. Relationships between landscape pattern, wetland characteristic, and water quality in agricultural catchments. J. Environ. Qual. 2008, 37, 2170–2180. [Google Scholar] [CrossRef]
- Snyder, M.N.; Goetz, S.J.; Wright, R.K. Stream health rankings predicted by satellite derived land cover metrics. J. Am. Water Resour. Assoc. 2005, 41, 659–677. [Google Scholar] [CrossRef]
- Uuemaa, E.; Roosaaree, J.; Mander, U. Landscape metrics as indicators of river water quality at catchment scale. Nord. Hydrol. 2007, 38, 125–138. [Google Scholar] [CrossRef]
- Tong, S.T.Y.; Chen, W. Modelling the relationship between land use and surface water quality. J. Environ. Manag. 2002, 66, 377–393. [Google Scholar] [CrossRef] [PubMed]
- Xiao, R.; Wang, G.; Zhang, Q.; Zhang, Z. Multi-scale analysis of relationship between landscape pattern and urban river water quality in different seasons. Sci. Rep. 2016, 6, 25250. [Google Scholar] [CrossRef] [PubMed]
- Foley, J.A.; DeFries, R.; Asner, G.P.; Barford, C.; Bonan, G.; Carpenter, S.R.; Chapin, F.S.; Coe, M.T.; Daily, G.C.; Gibbs, H.K.; et al. Global consequences of land use. Science 2005, 309, 570–574. [Google Scholar] [CrossRef]
- Assessment, M.E. Ecosystem and Human Well-Being: Biodiversity Synthesis; World Resources Institute: Washington, DC, USA, 2005; 100p. [Google Scholar]
- Bennett, E.M.; Carpenter, S.R.; Caraco, N.F. Human impact on erodible phosphorus and eutrophication: A global perspective: Increasing accumulation of phosphorus in soil threatens rivers, lakes, and coastal oceans with eutrophication. AIBS Bull. 2001, 51, 227–234. [Google Scholar] [CrossRef]
- Johnson, L.; Richards, C.; Host, G.; Arthur, J. Landscape influences on water chemistry in Midwestern stream ecosystems. Freshw. Biol. 1997, 37, 193–208. [Google Scholar] [CrossRef]
- Adhikari, R.N.; Rao, M.S.R.M.; Selvi, V.; Math, S.K.N.; Husenappa, V.; Chandrappa, M.; Reddy, K.K. Studies on runoff coefficient of rational formula. Indian J. Soil Conserv. 2002, 30, 106–108. [Google Scholar]
- Sikka, A.K.; Selvi, V. Experimental examination of rational runoff coefficient for small agricultural and forest watersheds in the Nilgirs. IE J. 2005, 86, 24–27. [Google Scholar]
- Stachera, J.; Lalkovič, M. Vplyv lesnatosti povodia na chemizmus odtekajúcej vody (Influence of foresteed catchment area on runoff water chemistry). For. J. 2000, 46, 187–201. (In Sovak) [Google Scholar]
- Trenčiansky, M.; Štěrbová, M.; Výbošťok, J.; Lieskovský, M. Impacts of Forest Cover on Surface Runoff Quality in Small Catchments. BioResources 2021, 16, 7830–7845. [Google Scholar] [CrossRef]
- Helsel, D.R.; Hirsch, R.M. Statistical Methods in Water Resources; Elsevier: Amsterdam, The Netherlands, 1992; Volume 49, 529p. [Google Scholar]
- Chen, Q.; Mei, K.; Dahlgren, R.A.; Wang, T.; Gong, J.; Zhang, M. Impacts of land use and population density on seasonal surface water quality using a modified geographically weighted regression. Sci. Total Environ. 2016, 572, 450–466. [Google Scholar] [CrossRef] [PubMed]
- DeOliveira, L.M.; Maillard, P.; de Andrade Pinto, É.J. Modelling the effect of land use/land cover on nitrogen, phosphorous and dissolved oxygen loads in the Velhas River using the concept of exclusive contribution area. Environ. Monit. Assess. 2016, 188, 333. [Google Scholar] [CrossRef] [PubMed]
- Álvarez-Cabria, M.; Barquín, J.; Peñas, F.J. Modelling the spatial and seasonal variability of water quality for entire river networks: Relationships with natural and anthropogenic factors. Sci. Total Environ. 2016, 545/546, 152–162. [Google Scholar] [CrossRef] [PubMed]
- Frankovská, J.; Slaninka, I.; Kordík, J.; Jurkovič, L.; Greif, V.; Šottník, P.; Dananaj, I.; Mikita, S.; Dercová, K.; Jánová, V. Atlas Sanačných Metód Environmentálnych Záťaží; Štátny Geologický Ústav Dionýza Štúra: Bratislava, Slovakia, 2010; 360p. [Google Scholar]
- Ministry of Environment of the Slovak Republic and Slovak Environment Agency. State of the Environment Report of the Slovak Republic 1999; Ministry of Environment of the Slovak Republic and Slovak Environment Agency: Bratislava, Slovakia, 1999; 19p.
- Environment of the SR (Selected Indicators in 2014–2018; Statistical Office of the Slovak Republic: Bratislava, Slovakia, 2019; 4p.
- Pecho, J.; Markovič, L.; Faško, P.; Madara, M. Výdatnosť Atmosférických Zrážok na Slovensku sa Zvyšuje (The Yield of Atmospheric Precipitation in Slovakia is Increasing); Slovak Hydrometeorological Institute: Bratislava, Slovakia, 2018; Available online: http://www.shmu.sk/sk/?page=2049&id=932 (accessed on 10 March 2020).
- Stoate, C.; Boatman, N.D.; Borralho, R.J.; Carvalho, C.R.; Sno, G.R.; de Eden, P. Ecological impacts of arable intensification in Europe. J. Environ. Manag. 2001, 63, 337–365. [Google Scholar] [CrossRef] [PubMed]
- Allan, J.D. Landscapes and riverscapes: The influence of land use on stream ecosystems. Annu. Rev. Ecol. Evol. Syst. 2004, 35, 257–284. [Google Scholar] [CrossRef]
- Herringshaw, D.; Johnson, R.K.; Kramm, S.; Schmutz, S.; Szoszkiewicz, K.; Verdonschot, P.F.M. Assessment of European streams with diatoms, macrophytes, macroinvertebrates and fish: A comparative metric-based analysis of organism response to stress. Freshw. Biol. 2006, 51, 1757–1785. [Google Scholar] [CrossRef]
- Mahler, R.L.; Barber, M.E. Using benthic macro invertebrates to assess water quality in 15 watersheds in the Pacific Northwest, USA. Int. J. Sustain. Dev. Plann. 2017, 12, 51–60. [Google Scholar] [CrossRef]




| Year | 1986 | 1987 | 1988 | 1989 | 1990 | 1992 |
| Number of samples | 8 | 9 | 11 | 9 | 4 | 1 |
| Year | 1993 | 1994 | 2009 | 2010 | 2011 | 2012 |
| Number of samples | 9 | 2 | 7 | 9 | 12 | 12 |
| Year | 2019 | 2020 | 2021 | 2022 | ||
| Number of samples | 2 | 11 | 5 | 1 |
| Parameter | Average (mg·L−1, CFU·100 mL−1) | MK-Stat | s.e. | z-Stat | p-Value | Trend | |
|---|---|---|---|---|---|---|---|
| Before the transition to ecological farming | pH | 6.729 | −30 | 125.0253 | −0.232 | 0.817 | no |
| phosphate | 0.076 | 400 | 129.430 | 3.083 | 0.002 | yes | |
| sulphate | 12.750 | 113 | 123.054 | 0.910 | 0.363 | no | |
| nitrates | 11.418 | 401 | 130.319 | 3.069 | 0.002 | yes | |
| chlorides | 15.318 | 15 | 112.450 | 0.125 | 0.901 | no | |
| iron | 0.062 | −226 | 129.980 | −1.731 | 0.083 | no | |
| nitrite | 0.010 | 328 | 82.531 | 3.962 | 0.000 | yes | |
| coliform | 92 | −61 | 86.393 | −0.695 | 0.487 | no | |
| After the transition to ecological farming | pH | 7.328 | −39 | 148.964 | −0.255 | 0.799 | no |
| phosphate | 0.083 | 223 | 134.792 | 1.647 | 0.100 | no | |
| sulphate | 13.747 | −497 | 149.040 | −3.328 | 0.001 | yes | |
| nitrates | 3.862 | 329 | 149.040 | 2.201 | 0.028 | yes | |
| chlorides | 2.416 | −342 | 148.829 | −2.291 | 0.022 | yes | |
| iron | 0.220 | −344 | 148.912 | −2.303 | 0.021 | yes | |
| nitrite | 0.016 | 627 | 148.816 | 4.207 | 0.000 | yes | |
| coliform | 837 | 845 | 148.949 | 5.666 | 0.000 | yes |
| Parameter | p Value |
|---|---|
| pH | 0.000 |
| phosphate | 0.516 |
| sulphate | 0.205 |
| nitrates | 0.000 |
| chlorides | 0.000 |
| iron | 0.000 |
| nitrite | 0.001 |
| coliform | 0.000 |
Publisher’s Note: MDPI stays neutral with regard to jurisdictional claims in published maps and institutional affiliations. |
© 2022 by the authors. Licensee MDPI, Basel, Switzerland. This article is an open access article distributed under the terms and conditions of the Creative Commons Attribution (CC BY) license (https://creativecommons.org/licenses/by/4.0/).
Share and Cite
Trenčiansky, M.; Štěrbová, M.; Výbošťok, J. The Influence of the Transition to Ecological Farming on the Quality of Runoff Water. Sustainability 2022, 14, 15412. https://doi.org/10.3390/su142215412
Trenčiansky M, Štěrbová M, Výbošťok J. The Influence of the Transition to Ecological Farming on the Quality of Runoff Water. Sustainability. 2022; 14(22):15412. https://doi.org/10.3390/su142215412
Chicago/Turabian StyleTrenčiansky, Marek, Martina Štěrbová, and Jozef Výbošťok. 2022. "The Influence of the Transition to Ecological Farming on the Quality of Runoff Water" Sustainability 14, no. 22: 15412. https://doi.org/10.3390/su142215412
APA StyleTrenčiansky, M., Štěrbová, M., & Výbošťok, J. (2022). The Influence of the Transition to Ecological Farming on the Quality of Runoff Water. Sustainability, 14(22), 15412. https://doi.org/10.3390/su142215412

