Evaluation of the Environmental Performance of Cropping Systems under Different Nitrogen Management Scenarios Considering Regional Nitrogen Resilience
Abstract
1. Introduction
2. Materials and Methods
2.1. Distance-to-Target Approach for Assessing the Environmental Performance
- Calculation of background interventions (BI).
- 2.
- Definition of regional N-related thresholds.
- 3.
- Derivation of regional carrying capacity based normalization reference (rNR).
- 4.
- Assessment of the environmental performance.
2.2. Case Study Regions
- NUTS-3 region with the highest background intervention affecting TAP;
- NUTS-3 region with the highest background intervention affecting TEP;
- NUTS-3 region with the largest share of agricultural area.
- In addition, for comparability, two regions were selected, representing average population and agricultural area.
- Emsland (DE949), located in Lower Saxony, North West Germany;
- Mecklenburgische Seenplatte (DE80J) located in Mecklenburg-Western Pomerania, North-East Germany;
- Kassel (DE734), located in Hesse, Mid-West-Germany;
- Spree-Neiße (DE40G), located in Brandenburg, East-Germany;
- Ansbach (DE256), located in Bavaria, South Germany.
2.3. Goal, Scope and Functional Unit
2.4. Life Cycle Inventory and Assumptions
2.4.1. Nitrogen Management Scenarios and Effects of Nitrogen-Reducing Management
- N-base scenario: This scenario does not include an N demand analysis, and potential yields are based on general recommendations of the German fertilizer ordinance.
- N-management: In this scenario, the fertilizer amount is determined according to the N demand analysis, and the considered yields are based on the region’s three-year average. Furthermore, soil humus content is considered, and no further N mitigation options are included.
- N-catch crop: The calculated fertilizer amount is determined according to the N demand analysis, and considered yields are based on the region’s three-year average. The cultivation of a catch crop as an N reduction option is assumed.
- N-organic: This scenario applies the same measurement as the N-catch crop. In addition, it is assumed that the crop production system proportionally replaces its mineral fertilizer quantity by importing organic fertilizers (liquid manure). Thus, it also accounts for the organic fertilizer application of the previous year.
2.4.2. Consideration of Direct and Indirect Emissions
2.5. Life Cycle Impact Assessment
2.6. Sensitivity and Uncertainty Analysis
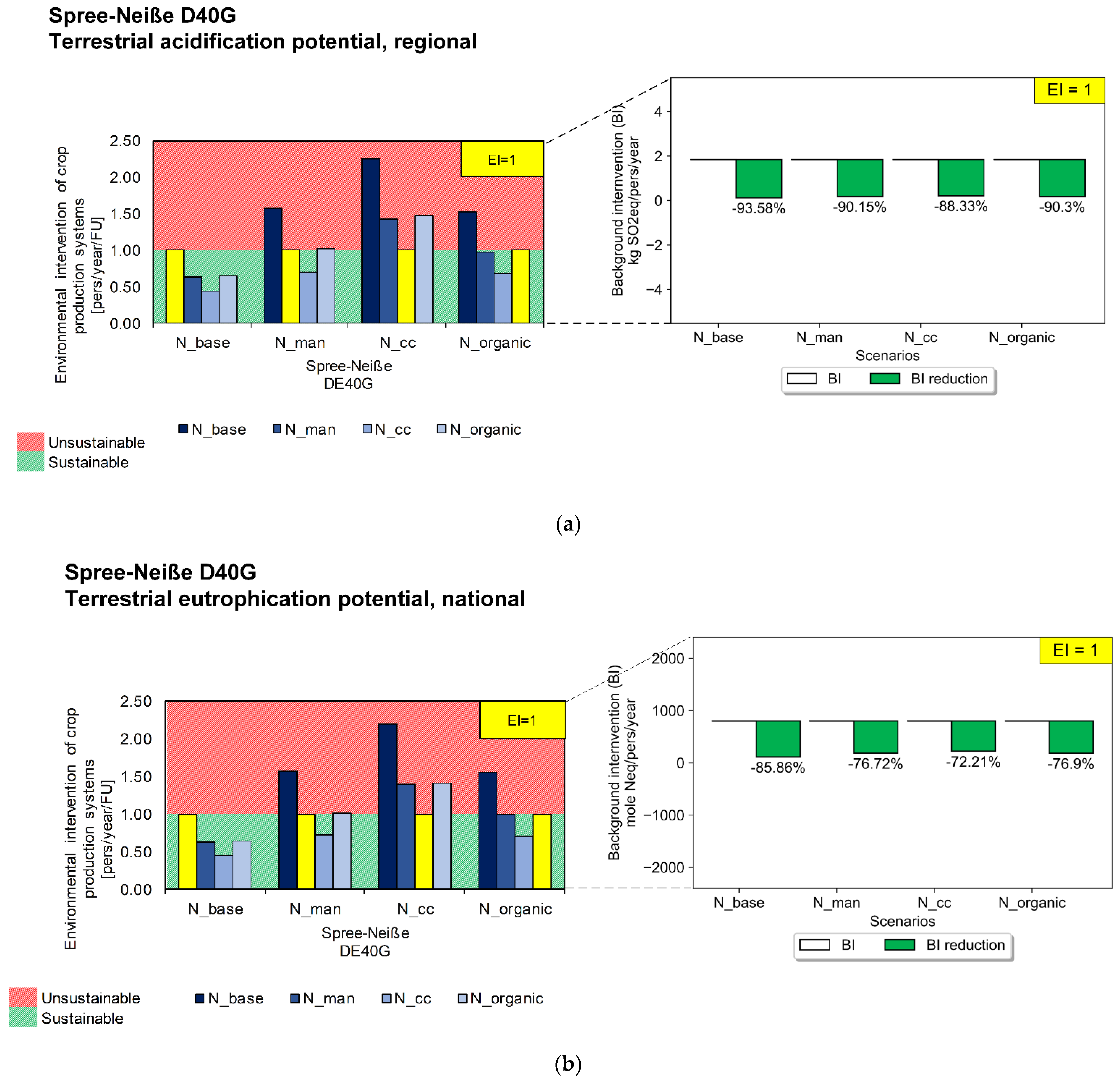
3. Results and Discussion
3.1. Current Background Interventions and Regional Normalization References
3.2. Environmental Performance of Rapeseed Production Systems
3.2.1. Regional Differences in Nitrogen Management Scenarios
3.2.2. Contribution of Agricultural Processes in N-Management Scenarios
3.3. Recommendation for Decision Makers and Added Value for Decision Support
3.4. Limitations and Improvement of the Approach
4. Conclusions
Supplementary Materials
Author Contributions
Funding
Institutional Review Board Statement
Informed Consent Statement
Data Availability Statement
Acknowledgments
Conflicts of Interest
References
- Erisman, J.W.; Galloway, J.N.; Seitzinger, S.; Bleeker, A.; Dise, N.B.; Am Petrescu, R.; Leach, A.M.; de Vries, W. Consequences of human modification of the global nitrogen cycle. Philos. Trans. R. Soc. B 2013, 368, 20130116. [Google Scholar] [CrossRef] [PubMed]
- Chen, X.; Cui, Z.; Fan, M.; Vitousek, P.; Zhao, M.; Ma, W.; Wang, Z.; Zhang, W.; Yan, X.; Yang, J.; et al. Producing more grain with lower environmental costs. Nature 2014, 514, 486–489. [Google Scholar] [CrossRef] [PubMed]
- Foley, J.A.; Ramankutty, N.; Brauman, K.A.; Cassidy, E.S.; Gerber, J.S.; Johnston, M.; Mueller, N.D.; O’Connell, C.; Ray, D.K.; West, P.C.; et al. Solutions for a cultivated planet. Nature 2011, 478, 337–342. [Google Scholar] [CrossRef] [PubMed]
- Sutton, M.A.; Bleeker, A.; Howard, C.M.; Bekunda, M.; Grizzetti, B.; de Vries, W.; van Grinsven, H.J.; Abrol, Y.P.; Adhya, T.K.; Billen, G. Our Nutrient World: The Challenge to Produce More Food and Energy with Less Pollution; No. 1906698406; Centre for Ecology & Hydrology: Lancaster, UK, 2013. [Google Scholar]
- Bodirsky, B.L.; Popp, A.; Lotze-Campen, H.; Dietrich, J.P.; Rolinski, S.; Weindl, I.; Schmitz, C.; Müller, C.; Bonsch, M.; Humpenöder, F. Reactive nitrogen requirements to feed the world in 2050 and potential to mitigate nitrogen pollution. Nat. Clin. Pract. Endocrinol. Metab. 2014, 5, 3858. [Google Scholar] [CrossRef] [PubMed]
- Bouwman, L.; Goldewijk, K.K.; van der Hoek, K.W.; Beusen, A.H.W.; van Vuuren, D.P.; Willems, J.; Rufino, M.C.; Stehfest, E. Exploring global changes in nitrogen and phosphorus cycles in agriculture induced by livestock production over the 1900–2050 period. Proc. Natl. Acad. Sci. USA 2013, 110, 20882–20887. [Google Scholar] [CrossRef]
- Tian, H.; Xu, R.; Canadell, J.G.; Thompson, R.L.; Winiwarter, W.; Suntharalingam, P.; Davidson, E.A.; Ciais, P.; Jackson, R.B.; Janssens-Maenhout, G.; et al. A comprehensive quantification of global nitrous oxide sources and sinks. Nature 2020, 586, 248–256. [Google Scholar] [CrossRef]
- Erisman, J.W.; Galloway, J.N.; Dise, N.B.; Sutton, M.A.; Bleeker, A.; Grizzetti, B.; Leach, A.M.; de Vries, W. Nitrogen: Too Much of a Vital Resource: Science Brief; No. 9074595227; WWF Netherlands: Zeist, The Netherlands, 2015. [Google Scholar]
- de Vries, W.; Kros, J.; Kroeze, C.; Seitzinger, S.P. Assessing planetary and regional nitrogen boundaries related to food security and adverse environmental impacts. Curr. Opin. Environ. Sustain. 2013, 5, 392–402. [Google Scholar] [CrossRef]
- Rockström, J.; Steffen, W.; Noone, K.; Persson, Å.; Chapin, F.S., III; Lambin, E.; Lenton, T.; Scheffer, M.; Folke, C.; Schellnhuber, H.J. Planetary boundaries: Exploring the safe operating space for humanity. Ecol. Soc. 2009, 14, 32. [Google Scholar] [CrossRef]
- Steffen, W.; Richardson, K.; Rockström, J.; Cornell, S.E.; Fetzer, I.; Bennett, E.M.; Biggs, R.; Carpenter, S.R.; de Vries, W.; de Wit, C.A.; et al. Planetary boundaries: Guiding human development on a changing planet. Science 2015, 347, 1259855. [Google Scholar] [CrossRef]
- Salomon, M.; Schmid, E.; Volkens, A.; Hey, C.; Holm-Müller, K.; Foth, H. Towards an integrated nitrogen strategy for Germany. Environ. Sci. Policy 2016, 55, 158–166. [Google Scholar] [CrossRef]
- Döhler, H.; Eurich-Menden, B.; Rößler, R.; Vandré, R.; Wulf, S. UN ECE-Luftreinhaltekonvention Task Force on Reactive Nitrogen; Umweltbundesamt: Dessau-Roßlau, Germany, 2011. [Google Scholar]
- Schütze, G.; Geupel, M. Stickstoff—Zuviel des Guten? Umweltbundesamt: Dessau-Roßlau, Germany, 2011. [Google Scholar]
- Bundesministerium für Ernährung und Landwirtschaft. Verordnung über die Anwendung von Düngemitteln, Bodenhilfsstoffen, Kultursubstraten und Pflanzenhilfsmitteln nach den Grundsätzen der Guten Fachlichen Praxis beim Düngen (Düngeverordnung—DüV): DüV. Available online: http://www.gesetze-im-internet.de/d_v_2017/ (accessed on 25 October 2022).
- Olfs, H.-W.; Blankenau, K.; Brentrup, F.; Jasper, J.; Link, A.; Lammel, J. Soil- and plant-based nitrogen-fertilizer recommendations in arable farming. J. Plant Nutr. Soil Sci. 2005, 168, 414–431. [Google Scholar] [CrossRef]
- Sala, S.; Amadei, A.M.; Beylot, A.; Ardente, F. The evolution of life cycle assessment in European policies over three decades. Int. J. Life Cycle Assess. 2021, 26, 2295–2314. [Google Scholar] [CrossRef]
- Potting, J.; Schöpp, W.; Blok, K.; Hauschild, M. Site-Dependent Life-Cycle Impact Assessment of Acidification. J. Ind. Ecol. 1998, 2, 63–87. [Google Scholar] [CrossRef]
- Patouillard, L.; Bulle, C.; Querleu, C.; Maxime, D.; Osset, P.; Margni, M. Critical review and practical recommendations to integrate the spatial dimension into life cycle assessment. J. Clean. Prod. 2018, 177, 398–412. [Google Scholar] [CrossRef]
- Yang, Y.; Heijungs, R. A generalized computational structure for regional life-cycle assessment. Int. J. Life Cycle Assess. 2017, 22, 213–221. [Google Scholar] [CrossRef]
- Norris, G.A. Impact Characterization in the Tool for the Reduction and Assessment of Chemical and Other Environmental Impacts. J. Ind. Ecol. 2002, 6, 79–101. [Google Scholar] [CrossRef]
- Roy, P.-O.; Deschênes, L.; Margni, M. Uncertainty and spatial variability in characterization factors for aquatic acidification at the global scale. Int. J. Life Cycle Assess. 2013, 19, 882–890. [Google Scholar] [CrossRef]
- Roy, P.O.; Azevedo, L.B.; Margni, M.; van Zelm, R.; Deschenes, L.; Huijbregts, M.A.J. Characterization factors for terrestrial acidification at the global scale: A systematic analysis of spatial variability and uncertainty. Sci. Total Environ. 2014, 500, 270–276. [Google Scholar] [CrossRef]
- Roy, P.-O.; Deschênes, L.; Margni, M. Life cycle impact assessment of terrestrial acidification: Modeling spatially explicit soil sensitivity at the global scale. Environ. Sci. Technol. 2012, 46, 8270–8278. [Google Scholar] [CrossRef]
- Seppälä, J.; Posch, M.; Johansson, M.; Hettelingh, J.P. Country-dependent characterisation factors for acidification and terrestrial eutrophication based on accumulated exceedance as an impact category indicator. Int. J. Life Cycle Assess. 2006, 11, 403–416. [Google Scholar] [CrossRef]
- Bjørn, A.; Sim, S.; Boulay, A.-M.; King, H.; Clavreul, J.; Lam, W.Y.; Barbarossa, V.; Bulle, C.; Margni, M. A planetary boundary-based method for freshwater use in life cycle assessment: Development and application to a tomato production case study. Ecol. Indic. 2020, 110, 105865. [Google Scholar] [CrossRef]
- Wowra, K.; Zeller, V.; Schebek, L. Nitrogen in Life Cycle Assessment (LCA) of agricultural crop production systems: Comparative analysis of regionalization approaches. Sci. Total Environ. 2021, 763, 143009. [Google Scholar] [CrossRef] [PubMed]
- Bjørn, A.; Sim, S.; King, H.; Margni, M.; Henderson, A.D.; Payen, S.; Bulle, C. A comprehensive planetary boundary-based method for the nitrogen cycle in life cycle assessment: Development and application to a tomato production case study. Sci. Total Environ. 2020, 715, 136813. [Google Scholar] [CrossRef] [PubMed]
- Ryberg, M.W.; Owsianiak, M.; Richardson, K.; Hauschild, M.Z. Development of a life-cycle impact assessment methodology linked to the Planetary Boundaries framework. Ecol. Indic. 2018, 88, 250–262. [Google Scholar] [CrossRef]
- Ryberg, M.W.; Owsianiak, M.; Richardson, K.; Hauschild, M.Z. Challenges in implementing a Planetary Boundaries based Life-Cycle Impact Assessment methodology. J. Clean. Prod. 2016, 139, 450–459. [Google Scholar] [CrossRef]
- Bjørn, A.; Hauschild, M.Z. Introducing carrying capacity-based normalisation in LCA: Framework and development of references at midpoint level. Int. J. Life Cycle Assess. 2015, 20, 1005–1018. [Google Scholar] [CrossRef]
- ISO 14044; Environmental Management—Life Cycle Assessment—Requirements and Guidelines. International Organization for Standardization: Geneva, Switzerland, 2006.
- Pizzol, M.; Laurent, A.; Sala, S.; Weidema, B.; Verones, F.; Koffler, C. Normalisation and weighting in life cycle assessment: Quo vadis? Int. J. Life Cycle Assess. 2017, 22, 853–866. [Google Scholar] [CrossRef]
- Wowra, K.; Zeller, V.; Schebek, L. Regional nitrogen resilience as distance-to-target approach in LCA of crop production systems. Environ. Impact Assess. Rev. 2022, 97, 106869. [Google Scholar] [CrossRef]
- Bjørn, A. Better, but Good Enough? Indicators for Absolute Environmental Sustainability in a Life Cycle Perspective. Ph.D. Thesis, DTU Management Engineering, Lyngby, Denmark, 2015. Available online: https://orbit.dtu.dk/en/publications/better-but-good-enough-indicators-for-absolute-environmental-sust (accessed on 10 October 2022).
- Walker, B.; Holling, C.S.; Carpenter, S.R.; Kinzig, A. Resilience, adaptability and transformability in social–ecological systems. Ecol. Soc. 2004, 9, 5. [Google Scholar] [CrossRef]
- ISO 14040; Environmental Management—Life Cycle Assessment—Principles and Framework. International Organization for Standardization: Geneva, Switzerland, 2006.
- Schneider, C.; Pelzer, M.; Toenges-Schuller, N.; Nacken, M.; Niederau, A. ArcGIS Basierte Lösung zur Detaillierten, Deutschlandweiten Verteilung (Gridding) Nationaler Emissionsjahreswerte auf Basis des Inventars zur Emissionsberichterstattung 71/206. 2016. Available online: https://www.umweltbundesamt.de/publikationen/arcgis-basierte-loesung-zur-detaillierten (accessed on 25 October 2022).
- De Vries, W.; Schulte-Uebbing, L. Required Changes in Nitrogen Inputs and Nitrogen Use Efficiencies to Reconcile Agricultural Productivity with Water and Air Quality Objectives in the EU-27; Proceedings 842. 2020. Available online: https://www.fertilizerseurope.com/news/required-changes-in-nitrogen-inputs-and-nitrogen-use-efficiencies-to-reconcile-agricultural-productivity-with-water-and-air-quality-objectives-in-the-eu-27/ (accessed on 25 October 2022).
- De Vries, W.; Schulte-Uebbing, L.; Kros, H.; Voogd, J.C.; Louwagie, G. Spatially explicit boundaries for agricultural nitrogen inputs in the European Union to meet air and water quality targets. Sci. Total Environ. 2021, 786, 147283. [Google Scholar] [CrossRef]
- Bulle, C.; Margni, M.; Patouillard, L.; Boulay, A.-M.; Bourgault, G.; de Bruille, V.; Cao, V.; Hauschild, M.; Henderson, A.; Humbert, S.; et al. IMPACT World+: A globally regionalized life cycle impact assessment method. Int. J. Life Cycle Assess. 2019, 24, 1653–1674. [Google Scholar] [CrossRef]
- Fazio, S.; Castellani, V.; Sala, S.; Schau, E.M.; Secchi, M.; Zampori, L.; Diaconu, E. Supporting Information to the Characterisation Factors of Recommended EF Life Cycle Impact Assessment Methods, Version 2, from ILCD to EF 3.0; European Comission: Rome, Italy, 2018. [Google Scholar] [CrossRef]
- Sala, S.; Benini, L.; Castellani, V.; Vidal Legaz, B.; de Laurentiis, V.; Pant, R. Suggestions for the update of the Environmental Footprint Life Cycle Impact Assessment: Impacts due to Resource Use, Water Use, Land Use, and Particulate Matter. EUR 28636 EN 2019. Publications Office of the European Union, Luxembourg. Available online: https://publications.jrc.ec.europa.eu/repository/handle/JRC106939 (accessed on 10 October 2022).
- DeStatis. Daten aus dem Gemeindeverzeichnis: Kreisfreie Städte und Landkreise nach Fläche, Bevölkerung und Bevölkerungsdichte. Available online: https://www.destatis.de/DE/Themen/Laender-Regionen/Regionales/Gemeindeverzeichnis/_inhalt.html (accessed on 25 October 2022).
- DeStatis. Bodenfläche nach Art der Tatsächlichen Nutzung—Stichtag 31.12.—Kreise und Kreisfr. Städte (ab 2016). Available online: https://www.regionalstatistik.de/genesis/online?operation=statistic&levelindex=0&levelid=1635625816774&code=33111#abreadcrumb (accessed on 25 October 2022).
- Düwel, O.; Siebner, C.; Utermann, J.; Krone, F. Bodenarten der Böden Deutschlands Bericht über Länderübergreifende Auswertungen von Punktinformationen im FISBo BGR: Karte der Bodenarten in Oberböden 1:1.000.000 (BOART1000OB). Available online: https://www.bgr.bund.de/DE/Themen/Boden/Informationsgrundlagen/Bodenkundliche_Karten_Datenbanken/Themenkarten/BOART1000OB/boart1000ob_node.html (accessed on 25 October 2022).
- Wetterkontor.de. Wetterrückblick—Jahreswerte Deutschland. Available online: https://www.wetterkontor.de/wetter-rueckblick/jahreswerte/deutschland?jahr=2020 (accessed on 7 June 2022).
- Wernet, G.; Bauer, C.; Steubing, B.; Reinhard, J.; Moreno-Ruiz, E.; Weidema, B. The ecoinvent database version 3 (part I): Overview and methodology. Int. J. Life Cycle Assess. 2016, 21, 1218–1230. [Google Scholar] [CrossRef]
- Landesbetrieb Landwirtschaft Hessen. Düngebedarfsermittlung Frühjahr. 2021. Available online: https://llh.hessen.de/pflanze/boden-und-duengung/duengeverordnung/neue-rahmenbedingungen-fuer-die-duengebedarfsermittlung-im-fruehjahr-2021 (accessed on 25 October 2022).
- DeStatis. Düngemittelversorgung—Fachserie 4 Reihe 8.2—3. Vierteljahr. 2020. Available online: https://www.destatis.de/DE/Themen/Branchen-Unternehmen/Industrie-Verarbeitendes-Gewerbe/Publikationen/Downloads-Fachstatistiken/duengemittelversorgung-vierteljahr-2040820203234.html (accessed on 25 October 2022).
- Bayrisches Landesamt für Statistik. Land-und Forstwirtschaft, Fischerei: Pflanzliche Erzeugung (Erntestatistiken). Available online: https://www.statistik.bayern.de/statistik/wirtschaft_handel/landwirtschaft/index.html#link_2 (accessed on 25 October 2022).
- Bayerische Landesanstalt für Landwirtschaft. Nmin-Werte im Jahr 2021 in Bayern. Available online: https://www.lfl.bayern.de/mam/cms07/iab/dateien/alle_nmin_werte_2021.pdf (accessed on 25 October 2022).
- Amt für Statistik Berlin-Brandenburg. Ernteberichterstattung über Feldfrüchte und Grünland im Land Brandenburg (endgültiges Ergebnis). Available online: https://www.statistik-berlin-brandenburg.de/c-ii-2-j (accessed on 25 October 2022).
- Landesamt für Ländliche Entwicklung, Landwirtschaft und Flurneuordnung. Empfehlung 2021 Entsprechend Düngeverordnung § 4 (4) für Winterungen und Sommergetreide. Available online: https://lelf.brandenburg.de/sixcms/media.php/9/Empfehlung-2021-entsprechend-Duengeverordnung-fuer-Winterungen-und-Sommergetreide.pdf (accessed on 25 October 2022).
- Hessisches Statistisches Landesamt. Regionale Erntedaten. Available online: https://statistik.hessen.de/unsere-zahlen/land-und-forstwirtschaft (accessed on 25 October 2022).
- Landesbetrieb Landwirtschaft Hessen. Nmin-Wert zu Vegetationsbeginn. Available online: https://llh.hessen.de/pflanze/boden-und-duengung/n-duengung/nmin-wert-zu-vegetationsbeginn/ (accessed on 25 October 2022).
- Landesamt für innere Verwaltung Mecklenburg-Vorpommern. Land & Forstwirtschaft, Fischerei. Available online: https://www.laiv-mv.de/Statistik/Zahlen-und-Fakten/Wirtschaftsbereiche/Land%E2%80%93-und-Forstwirtschaft,-Fischerei (accessed on 25 October 2022).
- LMS Agrarberatung GmbH. Ergebnisse der Nmin-Untersuchungen für Mecklenburg-Vorpommern—Winterungen 2021. Available online: https://www.lms-beratung.de/export/sites/lms/de/.galleries/Downloads_LFB/DueV/Nmin-Winterungen-2021.pdf (accessed on 25 October 2022).
- Landesamt für Statistik Niedersachsen. Erntestatistik Online—Ernteergebnisse in Niedersachsen seit 1991. Available online: https://www.statistik.niedersachsen.de/landwirtschaft_forstwirtschaft_fischerei/landwirtschaft_in_niedersachsen/wachstum_und_ernte/erntestatistik_online/ernteergebnisse_seit_1991/erntestatistik-online-ernteergebnisse-in-niedersachsen-seit-1991-152870.html (accessed on 30 October 2021).
- Landwirtschaftskammer Niedersachsen. Nmin-Richtwerte für das Jahr 2021. Available online: https://www.lwk-niedersachsen.de/index.cfm/portal/duengebehoerde/nav/2280/article/37824.html (accessed on 25 October 2022).
- Intergovernmental Panel on Climate Change. 2006 IPCC Guidelines for National Greenhouse Gas Inventories; Agriculture, Forestry and Other Land Use; Institute for Global Environmental Strategies (IGES): Hayama, Japan, 2006; Volume 4. [Google Scholar]
- Nemecek, T.; Schnetzer, J.; Reinhard, J. Updated and harmonised greenhouse gas emissions for crop inventories. Int. J. Life Cycle Assess. 2016, 21, 1361–1378. [Google Scholar] [CrossRef]
- Rösemann, C.; Hänel, H.-D.; Dämmgen, U.; Voss, C.; Freibauer, A.; Wulf, S.; Eurich-Menden, B.; Döhler, H.; Schreiner, C.; Döring, U.; et al. Calculations of Gaseous and Particulate Emissions from German Agriculture 1990–2019: Report on Methods and Data (RMD) Submission 2021; Johann-Heinrich-von-Thünen-Institut: Braunschweig, Germany, 2021. [Google Scholar]
- Audsley, E.; Alber, S.; Clift, R.; Cowell, S.; Crettaz, P.; Gaillard, G.; Hausheer, J.; Jolliet, O.; Kleijn, R.; Mortensen, B. Harmonisation of Environmental Life Cycle Assessment for Agriculture; Final Report, Concerted Action AIR3-CT94-2028. European Commission, DG VI Agriculture; European Commission: Brussels, Belgium, 1997. [Google Scholar]
- European Environment Agency. EMEP/EEA Air Pollutant Emission Inventory Guidebook 2019: Technical Guidance to Prepare National Emission Inventories; Publications Office: Luxemburg, 2019. [Google Scholar]
- Emmenegger, M.F.; Reinhard, J.; Zah, R. Sustainability Quick Check for Biofuels—Intermediate Background Report; EMPA: Dübendorf, Switzerland, 2009. [Google Scholar]
- Nemecek, T.; Kägi, T.; Blaser, S. Life Cycle Inventories of Agricultural Production Systems; Final Report Ecoinvent v2.0 No; Agroscope Reckenholz-Taenikon Research Station ART, Swiss Centre for Life Cycle Inventories: Zurich, Switzerland, 2007. [Google Scholar]
- European Commission. PEFCR Guidance Document: Guidance for the Development of Product Environmental Footprint Category Rules (PEFCRs), Version 6.3. Available online: https://ec.europa.eu/environment/eussd/smgp/pdf/PEFCR_guidance_v6.3.pdf (accessed on 10 October 2022).
- Rosenbaum, R.K.; Georgiadis, S.; Fantke, P. Uncertainty Management and Sensitivity Analysis. In Life Cycle Assessment: Theory and Practice; Hauschild, M.Z., Rosenbaum, R.K., Olsen, S.I., Eds.; Springer International Publishing: Cham, Switzerland, 2018; pp. 271–321. ISBN 978-3-319-56475-3. [Google Scholar]
- Nemecek, T.; Huguenin-Elie, O.; Dubois, D.; Gaillard, G. Ökobilanzierung von Anbausystemen im Schweizerischen Acker-und Futterbau; Agroscope FAL Reckenholz: Zürich, Switzerland, 2005; ISBN 3905608820. [Google Scholar]
- Bundesnetzagentur. Power Plant List (from 15 November 2021). Available online: https://www.bundesnetzagentur.de/EN/Areas/Energy/Companies/SecurityOfSupply/GeneratingCapacity/PowerPlantList/start.html (accessed on 1 May 2022).
- Nemecek, T.; Huguenin-Elie, O.; Dubois, D.; Gaillard, G.; Schaller, B.; Chervet, A. Life cycle assessment of Swiss farming systems: II. Extensive and intensive production. Agric. Syst. 2011, 104, 233–245. [Google Scholar] [CrossRef]
- Nemecek, T.; Dubois, D.; Huguenin-Elie, O.; Gaillard, G. Life cycle assessment of Swiss farming systems: I. Integrated and organic farming. Agric. Syst. 2011, 104, 217–232. [Google Scholar] [CrossRef]
- Câmara-Salim, I.; Almeida-García, F.; Feijoo, G.; Moreira, M.T.; González-García, S. Environmental consequences of wheat-based crop rotation in potato farming systems in galicia, Spain. J. Environ. Manag. 2021, 287, 112351. [Google Scholar] [CrossRef]
- Knudsen, M.T.; Meyer-Aurich, A.; Olesen, J.E.; Chirinda, N.; Hermansen, J.E. Carbon footprints of crops from organic and conventional arable crop rotations—Using a life cycle assessment approach. J. Clean. Prod. 2014, 64, 609–618. [Google Scholar] [CrossRef]
- González-García, S.; Almeida, F.; Moreira, M.T.; Brandão, M. Evaluating the environmental profiles of winter wheat rotation systems under different management strategies. Sci. Total Environ. 2021, 770, 145270. [Google Scholar] [CrossRef]
- Noya, I.; Gonzalez-Garcia, S.; Bacenetti, J.; Arroja, L.; Moreira, M.T. Comparative life cycle assessment of three representative feed cereals production in the Po Valley (Italy). J. Clean. Prod. 2015, 99, 250–265. [Google Scholar] [CrossRef]
- Bacenetti, J.; Fusi, A.; Negri, M.; Guidetti, R.; Fiala, M. Environmental assessment of two different crop systems in terms of biomethane potential production. Sci. Total Environ. 2014, 466, 1066–1077. [Google Scholar] [CrossRef]
- Mousavi-Avval, S.H.; Rafiee, S.; Sharifi, M.; Hosseinpour, S.; Notarnicola, B.; Tassielli, G.; Renzulli, P.A.; Khanali, M. Use of LCA indicators to assess Iranian rapeseed production systems with different residue management practices. Ecol. Indic. 2017, 80, 31–39. [Google Scholar] [CrossRef]
- Basosi, R.; Spinelli, D.; Fierro, A.; Jez, S. Mineral nitrogen fertilizers: Environmental impact of production and use. In Fertilizers: Components, Uses in Agriculture and Environmental Impacts; Lòpez-Valdez, F., Luqueno, F.F., Eds.; NOVA Science Publishers: New York, NY, USA, 2014; pp. 3–44. [Google Scholar]
- Leach, A.M.; Galloway, J.N.; Bleeker, A.; Erisman, J.W.; Kohn, R.; Kitzes, J. A nitrogen footprint model to help consumers understand their role in nitrogen losses to the environment. Environ. Dev. 2012, 1, 40–66. [Google Scholar] [CrossRef]







| Name and NUTS Identification | Emsland (DE949) | Mecklenburgische Seenplatte (DE80J) | Kassel (DE734) | Spree-Neiße (DE40G) | Ansbach (DE256) |
|---|---|---|---|---|---|
| Region | Lower Saxony | Mecklenburg-Western Pomerania | Hesse | Brandenburg | Bavaria |
| Population (amount) a) | 325,657 | 259,130 | 236,633 | 114,429 | 183,949 |
| Total land area (in ha) | 288,366 | 549,560 | 129,333 | 165,698 | 197,133 |
| Agricultural area (in ha) b) | 174,440 | 316,597 | 57,704 | 57,942 | 111,284 |
| Soil characteristics | Para-brown earths, pseudogley characterized by periodically stagnated surface water, with soils of mainly sand to loamy sands, poor to moderate in nutrients, well-drained | Pseudogley and para-brown earths with loamy sands to sandy loam structure, moderate nutrient demand | Para-brown earths, Podzolic brown earths, with clay slit to slit clay textures, good water and nutrient capacity | Podzolic brown earths, para-brown earths, with mainly sand to loamy sand structure, dry and excessively drained, acidic and nutrient-poor | Podzolic brown earths with slit-clay to clay sand texture, moderate nutrients, well-drained |
| Clay amount (in %) c) | 0–8 | 5–12; 8–17 | 17–30; 8 – 17 | 0–8 | 25–45; 8 – 17 |
| Precipitation (average in mm) d) | ~782 | ~530 | ~622 | ~603 | ~625 |
| Related criteria selection | iii | ii | iv | i | iv |
| Ansbach | Spree-Neiße | Kassel | Mecklenburgische Seenplatte | Emsland | ||||||||||||||||
|---|---|---|---|---|---|---|---|---|---|---|---|---|---|---|---|---|---|---|---|---|
| N Base | N Man | N cc | N Org | N Base | N Man | N cc | N Org | N Base | N Man | N cc | N Org | N Base | N Man | N cc | N Org | N Base | N Man | N cc | N Org | |
| Yield potential | high | 3-year average middle f) | high | 3-year average middle h) | high | 3-year average middle j) | high | 3-year average middle l) | high | 3-year average middle n) | ||||||||||
| Yield rapeseed [tha−1] | 4 | 3.55 | 3.55 | 3.55 | 4 | 1.74 | 1.74 | 1.74 | 4 | 3.29 | 3.29 | 3.29 | 4 | 4.04 | 4.04 | 4.04 | 4 | 3.21 | 3.21 | 3.21 |
| Yield dependent N demand a) [kg Nha−1] | 200 | 187 | 187 | 187 | 200 | 132 | 132 | 132 | 200 | 179 | 179 | 179 | 200 | 201 | 201 | 201 | 200 | 176 | 176 | 176 |
| Nmin [kg NO3-Nha−1] | 44 g) | 18 i) | 32 k) | 7 m) | 35 o) | |||||||||||||||
| N demand [minus Nmin kg Nha−1] | 156 | 143 | 143 | 143 | 182 | 114 | 114 | 114 | 168 | 147 | 147 | 147 | 193 | 194 | 194 | 194 | 165 | 141 | 141 | 141 |
| Catch crop [minus 40 kg Nha−1] b) | - | - | ✓ | ✓ | - | - | ✓ | ✓ | - | - | ✓ | ✓ | - | - | ✓ | ✓ | - | - | ✓ | ✓ |
| Organic fertilizer previous year [minus 5.4 kg Nha−1] | - | - | - | ✓ | - | - | - | ✓ | - | - | - | ✓ | - | - | - | ✓ | - | - | - | ✓ |
| Humus amount more than 4% [minus 20 kg Nha−1] c) | - | ✓ | ✓ | ✓ | - | - | - | - | - | ✓ | ✓ | ✓ | - | - | - | - | - | - | - | ✓ |
| N-requirement for fertilization [kg Nha−1] | 156 | 123 | 83 | 77.6 | 182 | 114 | 74 | 68.6 | 168 | 127 | 87 | 81.6 | 193 | 194 | 154 | 148 | 165 | 141 | 101 | 95.6 |
| Fertilization | ||||||||||||||||||||
| Mineral fertilizer [kg Nha−1] d) | ||||||||||||||||||||
| CAN | 76 | 60 | 41 | 22 | 91 | 57 | 37 | 18 | 146 | 110 | 76 | 43 | 33 | 34 | 26 | 20 | 49 | 42 | 30 | 19 |
| UAN | 3 | 3 | 2 | 1 | 46 | 28 | 19 | 9 | 7 | 6 | 3 | 2 | 17 | 17 | 14 | 10 | 31 | 27 | 19 | 12 |
| Urea | 77 | 60 | 40 | 22 | 45 | 29 | 18 | 9 | 15 | 11 | 8 | 4 | 143 | 143 | 114 | 86 | 85 | 72 | 52 | 32 |
| Liquid manure [kg Nha−1] e) | 32.4 | 32.4 | 32.4 | 32.4 | 32.4 | |||||||||||||||
| Mineral N [kg Nha−1] | 156 | 123 | 83 | 45.2 | 182 | 114 | 74 | 36.2 | 168 | 127 | 87 | 49 | 193 | 194 | 154 | 116 | 165 | 141 | 101 | 63.2 |
Publisher’s Note: MDPI stays neutral with regard to jurisdictional claims in published maps and institutional affiliations. |
© 2022 by the authors. Licensee MDPI, Basel, Switzerland. This article is an open access article distributed under the terms and conditions of the Creative Commons Attribution (CC BY) license (https://creativecommons.org/licenses/by/4.0/).
Share and Cite
Wowra, K.; Zeller, V.; Schebek, L. Evaluation of the Environmental Performance of Cropping Systems under Different Nitrogen Management Scenarios Considering Regional Nitrogen Resilience. Sustainability 2022, 14, 15286. https://doi.org/10.3390/su142215286
Wowra K, Zeller V, Schebek L. Evaluation of the Environmental Performance of Cropping Systems under Different Nitrogen Management Scenarios Considering Regional Nitrogen Resilience. Sustainability. 2022; 14(22):15286. https://doi.org/10.3390/su142215286
Chicago/Turabian StyleWowra, Karoline, Vanessa Zeller, and Liselotte Schebek. 2022. "Evaluation of the Environmental Performance of Cropping Systems under Different Nitrogen Management Scenarios Considering Regional Nitrogen Resilience" Sustainability 14, no. 22: 15286. https://doi.org/10.3390/su142215286
APA StyleWowra, K., Zeller, V., & Schebek, L. (2022). Evaluation of the Environmental Performance of Cropping Systems under Different Nitrogen Management Scenarios Considering Regional Nitrogen Resilience. Sustainability, 14(22), 15286. https://doi.org/10.3390/su142215286

