CFD Analysis of a Small-Scale Solar Chimney Exposed to Ambient Crosswind
Abstract
1. Introduction
2. Materials and Methods
2.1. Governing Equations
2.2. Energy Balance
2.3. Computational Analysis
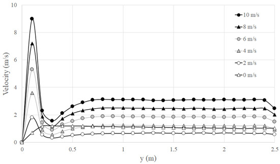
3. Results
4. Conclusions
- The atmosphere was disturbed by the air leaving the tower;
- The ground temperature decreased with the depth, and ambient temperature was reached at a distance of 0.2 m;
- The airflow detached from the wall in the connection between the collector and the tower;
- The crosswind significantly affected the airflow at the outlet of the solar chimney. The airflow was carried by the wind, reducing the velocity at the outlet;
- The airflow velocity inside the solar chimney increased with the wind speed, decreasing the temperature inside the solar chimney.
Author Contributions
Funding
Institutional Review Board Statement
Informed Consent Statement
Data Availability Statement
Conflicts of Interest
References
- Assad, M.E.H.; Nazari, M.A.; Rosen, M.A. Applications of renewable energy sources. In Design and Performance Optimization of Renewable Energy Systems; Academic Press: San Diego, CA, USA, 2021; pp. 1–15. [Google Scholar]
- Khosravi, A.; Malekan, M.; Pabon, J.J.G.; Assad, M.E.H. Solar power tower system. In Design and Performance Optimization of Renewable Energy Systems; Academic Press: San Diego, CA, USA, 2021; pp. 61–84. [Google Scholar]
- Mebarki, A.; Sekhri, A.; Assassi, A.; Hanafi, A.; Marir, B. CFD Analysis of Solar Chimney Power Plant: Finding a Relationship between Model Minimization and Its Performance Use in Urban Areas. SSRN Electron. J. 2021. [Google Scholar] [CrossRef]
- Fasel, H.F.; Meng, F.; Shams, E.; Gross, A. CFD analysis for solar chimney power plants. Sol. Energy 2013, 98, 12–22. [Google Scholar] [CrossRef]
- Maia, C.B.; Castro Silva, J.D.O. Thermodynamic assessment of a small-scale solar chimney. Renew. Energy 2022, 186, 35–50. [Google Scholar] [CrossRef]
- Maia, C.B.; Ferreira, A.G.; Cabezas-Gómez, L.; Castro Silva, J.D.O.; Hanriot, S.D.M. Thermodynamic analysis of the drying process of bananas in a small- scale solar updraft tower in Brazil. Renew. Energy 2017, 114, 1005–1012. [Google Scholar] [CrossRef]
- Monghasemi, N.; Vadiee, A. A review of solar chimney integrated systems for space heating and cooling application. Renew. Sustain. Energy Rev. 2018, 81, 2714–2730. [Google Scholar] [CrossRef]
- Maghrabie, H.M.; Abdelkareem, M.A.; Elsaid, K.; Sayed, E.T.; Radwan, A.; Rezk, H.; Wilberforce, T.; Abo-Khalil, A.G.; Olabi, A.G. A review of solar chimney for natural ventilation of residential and non-residential buildings. Sustain. Energy Technol. Assess. 2022, 52, 102082. [Google Scholar] [CrossRef]
- Maia, C.B.; Silva, F.V.M.; Oliveira, V.L.C.; Kazmerski, L.L. An overview of the use of solar chimneys for desalination Solar desalination. Sol. Energy 2019, 183, 83–95. [Google Scholar] [CrossRef]
- Das, P.; Chandramohan, V.P. A review on solar updraft tower plant technology: Thermodynamic analysis, worldwide status, recent advances, major challenges and opportunities. Sustain. Energy Technol. Assess. 2022, 52, 102091. [Google Scholar] [CrossRef]
- Maia, C.B.; Ferreira, A.G.; Valle, R.M.; Cortez, M.F.B. Theoretical evaluation of the influence of geometric parameters and materials on the behavior of the airflow in a solar chimney. Comput. Fluids 2009, 38, 625–636. [Google Scholar] [CrossRef]
- Schlaich, J. The Solar Chimney: Electricity from the Sun; Edition Axel Menges: Stuttgart, Germany, 2002. [Google Scholar]
- Haaf, W.; Friedrich, K.; MAYR†, G.; Schlaich, J. Part I: Principle and Construction of the Pilot Plant in Manzanares. Int. J. Sol. Energy 1983, 2, 3–20. [Google Scholar] [CrossRef]
- Haaf, W. Solar Chimneys—Part II: Preliminary Test Results from the Manzanares Pilot Plant. Int. J. Sol. Energy 1984, 2, 141–161. [Google Scholar] [CrossRef]
- Maia, C.B.; Ferreira, A.G.; Valle, R.M.; Cortez, M.F.B. Analysis of the Airflow in a Prototype of a Solar Chimney Dryer. Heat Transf. Eng. 2009, 30, 393–399. [Google Scholar] [CrossRef]
- Ghalamchi, M.; Kasaeian, A.; Ghalamchi, M.; Mirzahosseini, A.H. An experimental study on the thermal performance of a solar chimney with different dimensional parameters. Renew. Energy 2016, 91, 477–483. [Google Scholar] [CrossRef]
- Kasaeian, A.B.; Heidari, E.; Vatan, S.N. Experimental investigation of climatic effects on the efficiency of a solar chimney pilot power plant. Renew. Sustain. Energy Rev. 2011, 15, 5202–5206. [Google Scholar] [CrossRef]
- Zhou, X.; Yang, J.; Xiao, B.; Hou, G. Experimental study of temperature field in a solar chimney power setup. Appl. Therm. Eng. 2007, 27, 2044–2050. [Google Scholar] [CrossRef]
- Mehrpooya, M.; Shahsavan, M.; Sharifzadeh, M.M.M. Modeling, energy and exergy analysis of solar chimney power plant-Tehran climate data case study. Energy 2016, 115, 257–273. [Google Scholar] [CrossRef]
- Maia, C.B.; Castro Silva, J.O.; Cabezas-Gómez, L.; Hanriot, S.M.; Ferreira, A.G. Energy and exergy analysis of the airflow inside a solar chimney. Renew. Sustain. Energy Rev. 2013, 27, 350–361. [Google Scholar] [CrossRef]
- Petela, R. Thermodynamic study of a simplified model of the solar chimney power plant. Sol. Energy 2009, 83, 94–107. [Google Scholar] [CrossRef]
- Yapıcı, E.Ö.; Ayli, E.; Nsaif, O. Numerical investigation on the performance of a small scale solar chimney power plant for different geometrical parameters. J. Clean. Prod. 2020, 276, 122908. [Google Scholar] [CrossRef]
- Fallah, S.H.; Valipour, M.S. Numerical investigation of a small scale sloped solar chimney power plant. Renew. Energy 2022, 183, 1–11. [Google Scholar] [CrossRef]
- Cuce, E.; Sen, H.; Cuce, P.M. Numerical performance modelling of solar chimney power plants: Influence of chimney height for a pilot plant in Manzanares, Spain. Sustain. Energy Technol. Assess. 2020, 39, 100704. [Google Scholar] [CrossRef]
- Torabi, M.R.; Hosseini, M.; Akbari, O.A.; Afrouzi, H.H.; Toghraie, D.; Kashani, A.; Alizadeh, A. Investigation the performance of solar chimney power plant for improving the efficiency and increasing the outlet power of turbines using computational fluid dynamics. Energy Rep. 2021, 7, 4555–4565. [Google Scholar] [CrossRef]
- Pradhan, S.; Chakraborty, R.; Mandal, D.K.; Barman, A.; Bose, P. Design and performance analysis of solar chimney power plant (SCPP): A review. Sustain. Energy Technol. Assess. 2021, 47, 101411. [Google Scholar] [CrossRef]
- Kasaeian, A.B.; Molana, S.; Rahmani, K.; Wen, D. A review on solar chimney systems. Renew. Sustain. Energy Rev. 2017, 67, 954–987. [Google Scholar] [CrossRef]
- Ming, T.; Wang, X.; De Richter, R.K.; Liu, W.; Wu, T.; Pan, Y. Numerical analysis on the influence of ambient crosswind on the performance of solar updraft power plant system. Renew. Sustain. Energy Rev. 2012, 16, 5567–5583. [Google Scholar] [CrossRef]
- Ming, T.; Wang, X.; Gui, J.; De Richter, R.K.; Liu, W.; Xu, G.; Wu, T.; Pan, Y. The influence of ambient crosswind on the performance of solar updraft power plant system. In Solar Chimney Power Plant Generating Technology; Elsevier Inc.: New York, NY, USA, 2016; pp. 163–207. ISBN 9780128092934. [Google Scholar]
- Shen, W.; Ming, T.; Ding, Y.; Wu, Y.; de-Richter, R.K. Numerical analysis on an industrial-scaled solar updraft power plant system with ambient crosswind. Renew. Energy 2014, 68, 662–676. [Google Scholar] [CrossRef]
- Jafarifar, N.; Behzadi, M.M.; Yaghini, M. The effect of strong ambient winds on the efficiency of solar updraft power towers: A numerical case study for Orkney. Renew. Energy 2019, 136, 937–944. [Google Scholar] [CrossRef]
- RahimiLarki, M.; Abardeh, R.H.; Rahimzadeh, H.; Sarlak, H. Performance analysis of a laboratory-scale tilted solar chimney system exposed to ambient crosswind. Renew. Energy 2021, 164, 1156–1170. [Google Scholar] [CrossRef]
- Wang, J.; Nie, J.; Jia, J.; Su, H.; Tian, R.; Yan, S.; Gao, H. Structural optimization to reduce the environmental crosswind negative influence on the performance of a solar chimney power plant system. Sol. Energy 2022, 241, 693–711. [Google Scholar] [CrossRef]
- Esmail, M.F.C.; Khodary, A.; Mekhail, T.; Hares, E. Effect of wind speed over the chimney on the updraft velocity of a solar chimney power plant: An experimental study. Case Stud. Therm. Eng. 2022, 37, 102265. [Google Scholar] [CrossRef]
- Versteeg, H.K.; Malalasekera, W. An Introduction to Computational Fluid Dynamics: The Finite Volume Method; Pearson Education Limited: Upper Saddle River, NJ, USA, 2007; ISBN 9780131274983. [Google Scholar]
- Yazdi, M.H.; Solomin, E.; Fudholi, A.; Sopian, K.; Chong, P.L. Numerical analysis of the performance of a hybrid solar chimney system with an integrated external thermal source. Therm. Sci. Eng. Prog. 2021, 26, 101127. [Google Scholar] [CrossRef]
- Gholamalizadeh, E.; Kim, M.H. CFD (computational fluid dynamics) analysis of a solar-chimney power plant with inclined collector roof. Energy 2016, 107, 661–667. [Google Scholar] [CrossRef]
- Ayadi, A.; Nasraoui, H.; Bouabidi, A.; Driss, Z.; Bsisa, M.; Abid, M.S. Effect of the turbulence model on the simulation of the air flow in a solar chimney. Int. J. Therm. Sci. 2018, 130, 423–434. [Google Scholar] [CrossRef]
- Duffie, J.A.; Beckman, W.A. Solar Engineering of Thermal Processes: Fourth Edition; John Wiley & Sons: New York, NY, USA, 2013; ISBN 9780470873663. [Google Scholar]
- Pretorius, J.P. Optimization and Control of a Large-Scale Solar Chimney Power Plant. Ph.D. Thesis, University of Stellenbosch, Stellenbosch, South Africa, 2007. [Google Scholar]
- Li, J.Y.; Guo, P.H.; Wang, Y. Effects of collector radius and chimney height on power output of a solar chimney power plant with turbines. Renew. Energy 2012, 47, 21–28. [Google Scholar] [CrossRef]
- Menter, F.R.; Hemstrom, B.; Henriksson, M.; Karlsson, R.; Latrobe, A.; Martin, A.; Muhlbauer, P.; Scheuerer, M.; Smith, B.; Takacs, T.; et al. CFD Best Practice Guidelines for CFD Code Validation for Reactor-Safety Applications; Evol-Ecora-D 01; European Commission: Brussels, Belgium, 2002.
- White, F.M.; Ng, C.O.; Saimek, S. Fluid Mechanics; McGraw-Hill Series in Mechanical Engineering; McGraw-Hill: New York, NY, USA, 2011; ISBN 9780071311212. [Google Scholar]
- Lupi, F.; Borri, C.; Harte, R.; Krätzig, W.B.; Niemann, H.J. Facing technological challenges of Solar Updraft Power Plants. J. Sound Vib. 2015, 334, 57–84. [Google Scholar] [CrossRef]
- Harte, R.; Höffer, R.; Krätzig, W.B.; Mark, P.; Niemann, H.J. Solar updraft power plants: Engineering structures for sustainable energy generation. Eng. Struct. 2013, 56, 1698–1706. [Google Scholar] [CrossRef]

















| Region | Boundary Condition |
|---|---|
| Atmosphere–upper and bottom regions | No slip, adiabatic |
| Atmosphere–lateral | Opening, one face with prescribed velocity |
| Ground–bottom region | No slip, prescribed temperature |
| Ground–upper region | Interface without mass flow, prescribed heat flux |
| Ground–lateral | No slip, adiabatic |
| Solar collector–lateral | Opening, prescribed ambient temperature |
| Solar collector–upper surface | Interface without mass flow |
| Tower wall | No slip, adiabatic |
| Tower outlet | Opening |
Publisher’s Note: MDPI stays neutral with regard to jurisdictional claims in published maps and institutional affiliations. |
© 2022 by the authors. Licensee MDPI, Basel, Switzerland. This article is an open access article distributed under the terms and conditions of the Creative Commons Attribution (CC BY) license (https://creativecommons.org/licenses/by/4.0/).
Share and Cite
Maia, C.B.; Castro Silva, J.d.O. CFD Analysis of a Small-Scale Solar Chimney Exposed to Ambient Crosswind. Sustainability 2022, 14, 15208. https://doi.org/10.3390/su142215208
Maia CB, Castro Silva JdO. CFD Analysis of a Small-Scale Solar Chimney Exposed to Ambient Crosswind. Sustainability. 2022; 14(22):15208. https://doi.org/10.3390/su142215208
Chicago/Turabian StyleMaia, Cristiana Brasil, and Janaína de Oliveira Castro Silva. 2022. "CFD Analysis of a Small-Scale Solar Chimney Exposed to Ambient Crosswind" Sustainability 14, no. 22: 15208. https://doi.org/10.3390/su142215208
APA StyleMaia, C. B., & Castro Silva, J. d. O. (2022). CFD Analysis of a Small-Scale Solar Chimney Exposed to Ambient Crosswind. Sustainability, 14(22), 15208. https://doi.org/10.3390/su142215208

