Next Article in Journal
Impact of Market Participation of Indigenous Crops on Household Food Security of Smallholder Farmers of South Africa
Next Article in Special Issue
Improving the Thermal Performance of Building Envelopes: An Approach to Enhancing the Building Energy Efficiency Code
Previous Article in Journal
Modeling and Simulation of Unmanned Driving System for Load Haul Dump Vehicles in Underground Mines
Previous Article in Special Issue
Development of Green Supermarket Evaluation Model Based on Green Process and Green Output—Case of Bangkok City
 
 
Font Type:
Arial Georgia Verdana
Font Size:
Aa Aa Aa
Line Spacing:
Column Width:
Background:
Article

Development of the Indian Future Weather File Generator Based on Representative Concentration Pathways

by
Naga Venkata Sai Kumar Manapragada
1,
Anoop Kumar Shukla
2,*,
Gloria Pignatta
3,*,
Komali Yenneti
4,
Deepika Shetty
2,
Bibhu Kalyan Nayak
5 and
Venkataramana Boorla
2
1
Environmental Performance and Design Lab, Faculty of Architecture and Town Planning, Technion-Israel Institute of Technology, Haifa 3200003, Israel
2
Manipal School of Architecture and Planning, Manipal Academy of Higher Education, Manipal 576104, Karnataka, India
3
School of Built Environment, Faculty of Arts, Design and Architecture, University of New South Wales (UNSW), Sydney, NSW 2052, Australia
4
School of Architecture and Built Environment, University of Wolverhampton, Wolverhampton WV1 1LY, UK
5
School of Architecture and Design, Manipal University Jaipur, Jaipur 303007, Rajasthan, India
*
Authors to whom correspondence should be addressed.
Sustainability 2022, 14(22), 15191; https://doi.org/10.3390/su142215191
Submission received: 4 August 2022 / Revised: 10 November 2022 / Accepted: 14 November 2022 / Published: 16 November 2022
(This article belongs to the Special Issue Sustainable Cities and Infrastructures)

Abstract

India’s fossil-fuel-based energy dependency is up to 68%, with the commercial and residential sectors contributing to the rise of building energy demand, energy use, and greenhouse gas emissions. Several studies have shown that the increasing building energy demand is associated with increased space-cooling ownership and building footprint. The energy demand is predicted to grow further with the conditions of global warming and the phenomenon of urban heat islands. Building designers have been using state-of-the-art transient simulation tools to evaluate energy-efficient envelopes with present-day weather files that are generated with historical weather datasets for any specific location. Designing buildings with historical climatic conditions makes the buildings vulnerable to the predicted climate change impacts. In this paper, a weather file generator was developed to generate Indian future weather files using a geo-filtering-based spatial technique, as well as the temporal downscaling and machine learning (ML)-based bias correction approach proposed by Belcher et al. The future weather files of the three representative concentration pathways of 2.6, 4.5, and 8.5 could be generated for the years 2030, 2050, 2070, 2090, and 2100. Currently, the outputs of the second-generation Canadian Earth System Model are being used to create future weather files that will aid architects, urban designers, and planners in developing a built environment that is resilient to climate change. The novelty lies in using observed historical data from present-day weather files on the typical meteorological year for testing and training ML models. The typical meteorological weather files are composed of the concatenation of the monthly weather datasets from different years, which are referred to for testing and training ML models for bias correction.

1. Introduction

India is the second most populous nation, with more than 17% of the world’s population [1]. It has been predicted that India’s population will surpass that of China by 2027 [2]. Based on a report by the United Nations, the surge will likely be concentrated in Indian cities, with a projected increase of 416 million urban dwellers between 2018 and 2050 [3]. The need for housing and the demand for industrial and commercial activities increase with urbanization. The Government of India has already launched initiatives such as Housing for All, Make in India, and Made in India to facilitate sustainable living. It has been reported that there will be an increase of around 7 billion square meters in residential floor area and 0.8 billion square meters in commercial floor area by 2027 in comparison with the built area in 2017 [4]. Keeping most of one’s eggs in a single basket increases the chances of risk, and this applies in the case of urbanization. The Intergovernmental Panel on Climate Change (IPCC) has already observed that the urban impacts, vulnerabilities, and risks of climate change have increased in urban areas worldwide in all dimensions, economic conditions, and site characteristics [5]. India is primarily a tropical peninsular nation; it has been experiencing frequent extreme events, such as heatwaves, floods, and cold waves, which are expected to increase with climate change [6].
One of the severe contributors to GHG emissions is fossil-fuel-based electricity generation. India’s electricity sector is the biggest consumer of raw coal and lignite, with a total coal and lignite consumption of 64.86% and 85.96%, respectively [7]. India’s industrial sector is the top consumer (42.7%) of electricity, followed by the building sector (32%). The projected increase in building area and appliance ownership will catalyze India’s energy use and demand [4], exacerbating the current urban challenges. Several policies and programs focusing on smart energy management strategies [8], renewable energy generation [9], and energy conservation have been developed and implemented in the country. India’s Ministry of Power launched the Energy Conservation (EC) Act in 2001 to promote energy conservation and renewable energy generation. Energy conservation building codes (ECBCs) for commercial [10] and residential (ENS) [11] buildings were launched under the EC Act to promote high-performance building designs. A building’s compliance with the ECBCs can be achieved by using either the prescriptive requirement approach or the whole-building performance simulation approach. The whole-building performance simulation approach uses state-of-the-art simulation tools, such as EnergyPlus (EP). However, both methods are intended to increase the energy performance of buildings for the present-day climatic conditions, and compliant buildings may or may not be resilient to climate change.
Most climate change impact studies that have been conducted to evaluate future building energy performance have concluded that the space-cooling requirements will increase in the future [12,13,14,15,16]. Global warming and micro-climatic impacts, such as urban heat islands (UHIs), will be the key factors that are responsible for thermal discomfort in the built environment. Thus, simulating building energy performance for climate change scenarios is necessary in order to recognize efficient energy conservation measures and achieve future climate-change-proof buildings. A popular open-source energy simulation tool is EP, which was developed by the US Department of Energy [17]. The EP weather file (EPW) structure is also used by other simulation tools, such as IES, TAS, and VCWG, making it a valuable source in the energy simulation industry [18,19,20].
Multiple public and private organizations are involved in developing and updating EPW files, a few of which are open to users. The development of an EPW file requires historical weather datasets [21]. Each historical year of a location may contain extreme events that are rarely observed for the site. These extreme events should not influence assessments of the energy performance of buildings or mislead the building designers into oversizing or undersizing the energy conservation measures. Thus, typical weather files are usually developed by using Finkelstein–Schafer (FS) statistics, which represent the near climatic conditions of a location [22]. There are two approaches available when creating a typical weather file. The USA’s first approach is called the test reference year [23]. In this approach, the FS statistics extract a single year from historic weather datasets containing the least severe events. On the other hand, the typical meteorological year is also constructed by using FS statistics [24]. It filters each representative month from a historical dataset and then concatenates them into a single year. Manuel Herrera et al. (2017) [25] reviewed existing approaches to the construction of present-day and future weather files. Hosseini et al. (2020) [26] developed a systematic approach to the creation of typical meteorological year weather files by using machine learning (ML) for clustering instead of FS statistics. Three future weather file generators are commonly referred to for the assessment of the impacts of climate change on the built environment. The Meteonorm future weather file generator produces future weather files for scenarios of the third assessment report (TAR) by using a climate data repository and stochastic weather generator [27]. The second tool is the CC World Weather File Generator, a Microsoft-Excel-based tool that generates future weather files based on the scenarios of the AR4 with the Hadley Center Coupled Model 3 (HadCM3). The WeatherShift TM is the third future weather file generator, and it was developed by ARUP and Argos Analytics to produce future weather files for the Representative Concentration Pathways 4.5 and 8.5 from the fourth assessment report (AR4) [28]. In the case of the Metenorm and the CC World Weather File Generator, the future files are only available for the scenarios from the TAR. Moreover, a study [29] revealed that the simulation results for a sample house model in a location with future weather files obtained from WeatherShift, Meteonorm, and CCWorldWeatherGen showed different results. AR4-scenario-based future weather files are available with WeatherShift, but only for RCP 4.5 and RCP 8.5. A future weather file generator that does not require a database and allows the user to choose any RCP scenario is required.
The present study is intended to develop an inexpensive and ML-correction-based future weather file generator using historical data for India. The IPCC scenarios of the AR4—the representative concentration pathways (RCPs)—would be available for users to choose from when generating the weather files. The first version of the generator included only one global climate model or global circulation model (GCM) with a minor relative error prediction. The current article intends to:
  • Review the recent updates in the IPCC scenarios and the GCMs.
  • Recognize the GCM with a minor relative error based on the global seasonal cycle climatology (1980–2005).
  • Develop the script for generating future weather files from representative present-day weather files.
The novel contribution of this study consists in the use of observed historical data from weather files on the present-day typical meteorological year for testing and training ML models for the first time. This produces the advantage of having a future weather file generator that, unlike existing generators, does not require a database. Additionally, it is flexible in the sense that it allows the user to choose any RCP scenario for use in simulations of building energy performance.
The use of the first version of the future weather generator is demonstrated and illustrated in this study by using a TMY weather file for New Delhi, India. However, the proposed generator can be used for any city, region, and climatic context.
Stakeholders are supported by this generator in the assessment of building thermal energy performance under future climatic conditions and are assisted by it in the decision-making process when evaluating urban design solutions.

2. Materials and Methods

A typical weather file represents the present-day climate. Morphing it into a future weather file requires the prediction of climate variables. Anthropogenic emissions affect a location’s climatic conditions irrespective of the spatial configurations [30]. So, there is a need for an international body to investigate climate change, its impacts, and mitigation measures. The IPCC, which was established by the World Meteorological Organization and United Nations Environment Program, started working towards this in three Working Groups. While the aim of Working Group I was to assess climate systems and climate change, Working Group II investigated the vulnerabilities of socioeconomic and natural systems, and Working Group III focused on mitigation options. Since 1990, the IPCC has published emission scenarios and their impact on radiative forcing for the world community. The third-generation scenario, SRES, is the first to include aerosol concentration as part of the emission scenario. However, it could not account for the impact of climate policies on emission pathways in the long term. Thus, the IPCC requested for research communities to contemplate the emission scenarios for the following generations [31]. Four representative concentration pathways (RCPs) were developed as next-generation emission scenarios and named after the radiative forcing levels—RCP 2.6, RCP 4.5, RCP 6.0, and RCP 8.5 [32].
The emission scenarios define the future timeline according to the GHG concentration pathways. The response of climate variables concerning emission intensity needs to be predicted in order to assess climate change and its impacts. GCMs are the primary tools in investigating the climate system’s response to various forcings [33]. Atmosphere–ocean general circulation models (AOGCMs) were the ‘standard’ climate models assessed in the AR4. AOGCMs are extensively used for seasonal to decadal climate predictions in which biogeochemical feedbacks are not critical. Earth system models (ESMs) are the current state-of-the-art models that provide the most comprehensive tools for simulating the past and future responses of the climate system to external forcing [34]. Climate change research organizations across the world are involved in developing the GCMs. The Coupled Model Intercomparison Project (CMIP) was started in 1995 under the World Climate Research Program (WCRP) to assess models’ performance and to open the multi-model output to the public in a standard format [35]. Around 20 research groups have collaborated in Phase 5 of the CMIP (CMIP) with 40 GCMs [36]. The outputs of CMIP5 include atmospheric, ozone, aerosol, carbon cycle, and ocean variables (Table 1) that are used to evaluate model performance. The relative error measures of the CMIP5 model’s performance are computed based on global seasonal cycle climatology experiments that are conducted for historical datasets between 1980 and 2005 [33].
The climate change impact studies reviewed in this article have referred to the IPCC scenarios of either the Third Assessment Report (TAR) [32] or the AR4 [37] to generate future weather files for building energy simulations. Thanks to the developers of the Climate Change World Weather Generator (CCWorldWeatherFileGen), researchers were enabled to create future weather files for the A2 scenario of the TAR [38]. In 2021, Hosseini developed a future weather file for four scenarios using a hybrid model with k-nearest-neighbor classification, and random forest regression was used to downscale the GCM data [39]. The two major drawbacks of this tool include the use of a single global climate model (GCM)—HadCM3—and a single scenario out of the four. Open-source tools such as CCWorldWeatherFileGen cannot generate the IPCC AR4 scenarios based on future weather files for building energy simulations. Few commercial future weather files are available, but they may not be affordable, especially for the stakeholders of building design in developing countries. Another significant gap for building designers is in choosing the scenario and the GCM. Researchers must rationally select the GCM(s) with the prediction rate with the least relative error for the required variable in the development of the model. The model selection for the first phase of the weather file generator is discussed in Section 2.1.
As shown in Figure 1, the Indian Weather File Generator algorithm takes a typical meteorological year (TMY) weather file. The daily data on the present-day hourly mean and data on the geolocation (latitude and longitude) are extracted from the TMY file. The geolocation data act as a key input for extracting historical and future mean daily datasets from the CanESM2 model’s output database by using the geo-filtering technique discussed in Section 2.2. The historical mean daily data extracted from the TMY file and the CanESM2 database are used to develop ML-based bias correction models, as explained in Section 2.3. The future mean daily data from the geo-filtered CanESM2 database are input into the ML-based bias correction models to generate the corrected future mean daily data. Using the morphing method, the future mean monthly weather data are temporally downscaled to future hourly weather data, as explained in Section 2.4. All of the climate variables required in the TMY weather file are temporally downscaled using the morphing approach, which is a validated approach developed by Belcher et al. [40]. The proposed Future Weather File Generator can be used to generate future weather files for India and any other country without affecting the prediction capabilities. This is because the geo-filtering, ML-based bias correction, and the morphing-based temporal downscaling approaches, as well as the accuracy of the climate predictions, do not change when the location is varied.

2.1. Model Selection

GCMs’ performance varies by region. Suchada and Chinnawat [41] already evaluated the errors of 40 CMIP5 GCMs for simulating temperature and precipitation in Southeast Asia. They observed the least total error for CNRM-CM5-2, followed by CNRM-CM5. The CNRM-CM5 series was developed by the Centre National de Recherches Meteorologiques (CNRM) and Centre Europeen de Recherche et Formation Avancees en Calcul Scientifique (CERFACS). The CNRM-CM5 series, other GCMs undergoing experimentation, and output clusters based on the RCPs are not yet available [42]. Therefore, this study intends to use the CanESM2 climate model developed by the Canadian Centre for Climate Modelling and Analysis (CCCma) for the first version of the weather file generator.

2.2. Geo-Filtering

The location details from the TMY file act as an input for the extraction of the climate data from the outputs of the CanESM2 model. The spatial resolution of the CanESM2 model’s climate outputs is low, and the location of the weather file could be between any four grid points of the model. Thus, this study adopted a geo-filtering approach that first compares the atmospheric pressures of the datasets of all nearby grid points with the actual atmospheric pressure at the location stated in the weather file. Suppose that only one grid point possesses an atmospheric pressure with less than or equal to a 10% error with respect to the actual atmospheric pressure. That grid point’s mean daily climate variable data are extracted in that case. Otherwise, the distance-based weighted average of all nearby grid points’ climate data is referred to. The historical mean and the future predicted mean daily climate data are extracted from the CanESM2 climate model’s output database. Figure 2 illustrates the geo-filtering technique discussed in this section.

2.3. ML-Based Bias Correction

A bias always exists between climate models and observed data. Thus, bias correction needs to be employed for the future mean daily data to improve the accuracy of the climate predictions. A bias was recognized between the observed mean daily climate data from the TMY file for New Delhi, India and the historical mean daily data from the CanESM2 model. As shown in Figure 3, the historical mean max (CanESM2_tas_max) and min (CanESM2_Tas_min) daily dry bulb temperature data of the CanESM2 model showed a high error when compared to the dry bulb temperature data (EPW_DBT) from the EPW. The historical mean average (CanESM2_tas_avg) daily dry bulb temperature data obtained by averaging CanESM2_tas_max and CanESM2_tas_min also showed minimum and maximum error percentages of −42 and 53, respectively. Similarly, other climate variables, such as RH and direct normal solar radiation, were also observed to have a high error rate.
Regression-based bias corrections are usually employed for climate models. However, most correction methods possess strong assumptions and limitations that do not allow the model outputs to be calibrated [43]. Today, machine learning (ML) algorithms are commonly employed for prediction, classification, and clustering problems, but can also be referred to for bias correction. This study employed novel ML algorithms for bias correction by using historical data from the typical meteorological year weather file of the chosen location. Firstly, the kNN, random forest, SVM, and linear regression algorithms were tested for bias correction by using the present-day mean daily climate data and historical CanESM2 mean daily climate data. As shown in Figure 4, the random forest (RF) showed lower mean square, root mean square, and mean absolute errors. The coefficient of determination (R2) of the random forest algorithm was observed to be high in comparison with those of the other ML algorithms. Thus, this study employed RF-based ML models for bias correction for each climate variable.

2.4. Temporal Downscaling

The climate variables of GCMs are usually available in monthly or daily temporal resolution. However, the hourly temporal resolution of climate variables, especially the dry bulb temperature (DBT), relative humidity (RH), atmospheric pressure (AP), wind speed (WS), and total sky cover (TSC), is required for building energy simulation tools. Temporal downscaling is required to morph climate variables from a monthly/daily resolution to an hourly resolution. Belcher et al. [40] developed the morphing approach, in which climate variables are shifted, stretched, or both to generate future weather files at an hourly resolution. The shifting action in Equation (1) adds the absolute change recognized between GCM’s output and the present-day hourly data point to the present-day value. The stretching action in Equation (2) involves the multiplication of the fraction of standard deviations by the change from the mean of the climate variable and the addition of this product to the mean of the climate variable. Finally, the combination in Equation (3) is the sum of the shifting and stretching actions that are usually performed to change the mean and variance of a future climate datapoint. This study adopted the morphing approach in order to downscale the temporal resolution and construct future weather files. Table 2 shows the details of the morphing approach chosen for each CanESM2 climate model’s output to predict the future EPW climate variables [44].
x = x o + Δ x d
x = α d x o
x = x o + Δ x d + α d ( x o x o d )  
where
x is the future hourly climate variable,
x o   is the present-day hourly climate variable,
Δ x d   is the shifting factor, or the difference between the mean values of the variable, and
α d is the stretching factor, or fractional change in the mean value of the variable.
Table 2. The morphing approach for the chosen GCM output for predicting future EPW climate variables.
Table 2. The morphing approach for the chosen GCM output for predicting future EPW climate variables.
EPW Climate VariableCNRM-CM5-2 Climate Model OutputMorphing Approach
Dry bulb temperature (°C)tasmin, tasmax (air temperature)Combined
Relative humidity (%)rhs (relative humidity)Stretch
Atmospheric pressure (Pa)pls (air pressure at sea level)Shift
Global horizontal radiation
(Wh/m2)
rsds (surface downwelling shortwave flux in the air)Stretch
Diffuse horizontal radiation
(Wh/m2)
-Stretch of above
Direct normal radiation (Wh/m2)-The relationship between the three radiation patterns remains constant.
Wind speed (m/s)uas: eastward wind
vas: northward wind
Stretch with the Pythagorean Theorem
Total sky cover
(tenths of the sky)
clt: cloud area fractionShift
The Indian Future Weather File Generator produces three typical future weather files with tasmin (DBTmin), tasmax (DBTmax), and tasavg (DBTavg) for the dry bulb temperature data from CanESM2.

3. Results and Discussion

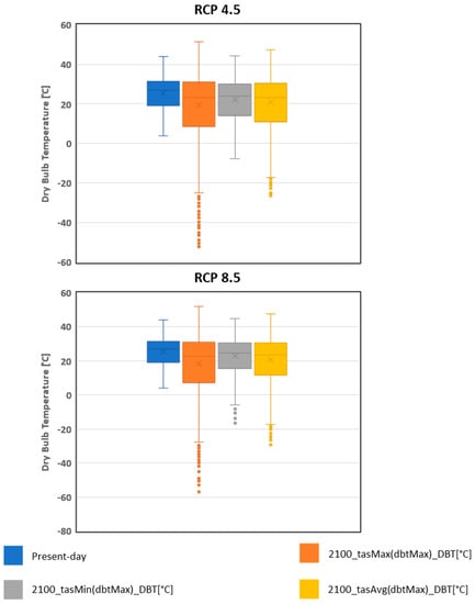
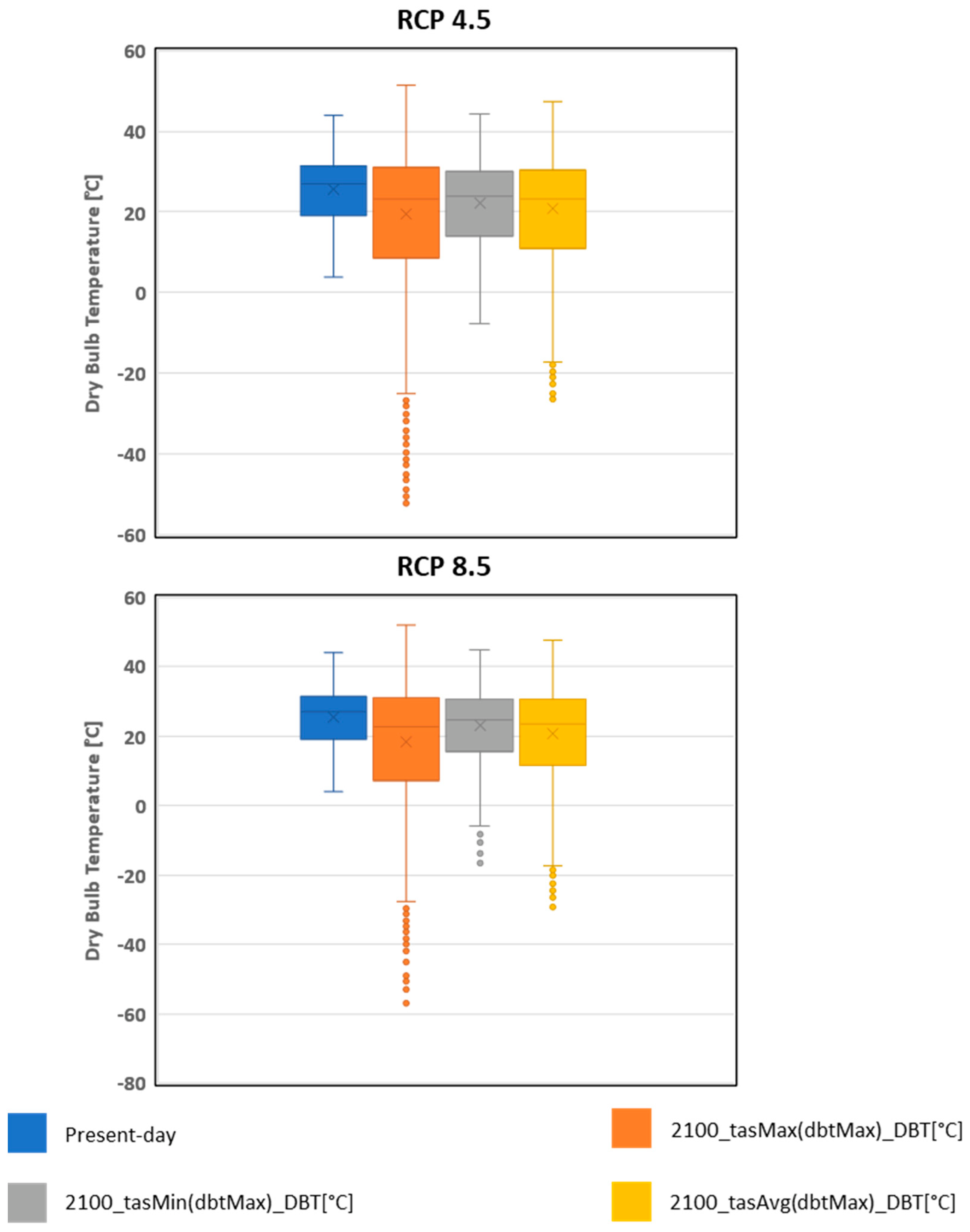
The TMY weather file of New Delhi was selected in this study to demonstrate the use of the first version of the Indian Future Weather File Generator to generate future weather files. A total of 36 weather files were developed for three RCP scenarios (RCP 2.6, 4.5, and 8.5), four future years (2030, 2050, 2070, and 2080), and three DBT cases (DBTmin, DBTmax, and DBTavg). The acceptability of the predictions depends on the range of the outputs. As shown in Figure 5, the maximum DBT for the tasMax (dbtMax) case for the RCP 2.6 scenario and all future years was above 50 °C. Even the maximum DBT for the tasAvg (dbtAvg) case was nearly 50 °C, which was unacceptable. As we discussed earlier, GCMs produce the mean daily maximum (tasMax) and minimum (tasMin) temperatures as an output, denoting the maximum and minimum temperatures of a day. However, while temporally downscaling the bias-corrected tasMax, tasMin, and average temperature (tasAvg), we individually considered the tasMax, tasAvg, and tasMin for dbtMax, as well as the dbtAvg and dbtMin. Therefore, the extremity present in the maximum daily temperature in tasMax and tasAvg (tasMax + tasMin/2) was reflected in the hourly dbtMax and dbtAvg that were generated. The maximum tasMin (dbtMin) of the DBT that was observed was above 40 °C, but below 46.5 °C (RCP 2.6 and 2050). Although small and large changes in the maximum and minimum temperatures were observed in the tasMin-based DBT predictions (dbtMin), the interquartile range was almost within the interquartile range of the present-day climate, except for low-temperature conditions. Due to the burning of biomass and the contributions of fossil fuel to black carbon concentrations in New Delhi, the city experiences the maximum values in the morning and evening/night hours and lower values around noon [45]. The minimum and maximum DBT for all future years varied for the tasMin RCP 2.6 scenario, but the interquartile range between quartiles 1 (Q1) and 3 (Q3) remained similar irrespective of the future year. However, the quartile range of Q1 and Q3 varied across the scenarios, as shown in Figure 6, along with the minimum and maximum DBT.
The DBT heatmaps were plotted for all years (2030, 2050, 2070, and 2100) for each scenario (RCP 2.6, RCP 4.5, and RCP 8.5) and compared against the DBT heatmap of the present day to understand the distribution and duration of extreme temperatures. This temporal distribution cannot be illustrated by using box plots. In the RCP 2.6 scenario, the maximum temperature occurred in 2050, followed by 2030, 2100, and 2070, in comparison with the present-day climate. The DBT heatmaps for RCP 2.6 for all future years (Figure 7) show an increase in the duration of heat stress from 10 months to almost 12 months. The heat intensity during winters is predicted to increase from mid-day to late evening.
A similar increase in the duration of heat stress across months and hours in a day was also noted for the RCP 4.5 (Figure 8) and RCP 8.5 (Figure 9) scenarios. Along with heat stress, the cold stress seems to increase in the future. While the RCP 4.5 and 8.5 DBT predictions showed an increasing trend from 2030 to 2100, the RCP 2.6 DBT prediction did not show the same trend of a sequential increase. Therefore, the year-wise CO2-equivalent levels of each scenario were compared with the year-wise annual mean DBT predictions for the same scenario. As shown in Figure 10, for each RCP scenario, the CO2-equivalent levels and predicted annual mean DBTs revealed similar trends. When there was a temperature increase between two future scenarios, this led to an increase in CO2-equivalent levels and vice versa (e.g., the increase in the annual mean DBT from 21.8 °C in 2030 to 25 °C in 2010 in the RCP 8.5 prediction was associated with an increase in CO2-equivalent levels from 480 and 1280 PPM, respectively). This confirms the directly proportional relationship between the two parameters (i.e., the DBT and CO2-equivalent level) that can be identified when trying to simplify complex meteorological and environmental phenomena without considering the impact of uncertainty and climate sensibility.

4. Conclusions and Future Work

Future weather files are required when simulating and making informed design decisions in order to achieve built forms that are resilient to climate change. Designing present-day responsive and future climate-resilient built forms is of fundamental importance for the reduction of GHG emission intensity and in order to ensure conditions of thermal comfort for occupants in the built environment. There are several global climate models and RCP scenarios with which the future climate is predicted, and it is up to the user to choose them. In this context, the Indian Future Weather File Generator was developed in order to enable building stakeholders to produce future weather files for scenarios from the AR4 of Intergovernmental Panel on Climate Change, and its use was illustrated for the city of New Delhi. This study shows that this is a data-inexpensive approach to the prediction of typical future weather files for the CanESM2 model’s outputs. It was observed in this study that the predictions of cold stress and heat stress will increase in the future. The random forest (RF) algorithm was shown to have lower mean square, root mean square, and mean absolute errors than those of other ML algorithms for CanESM2. While the RCP 4.5 and 8.5 DBT predictions showed an increasing trend from 2030 to 2100, the RCP 2.6 DBT prediction did not show the same trend of a sequential increase. The annual mean DBT trends predicted by the future weather file generator in this article met the CO2 emission trends of their respective RCP scenarios. Although the results discussed here are related to the city of New Delhi, they can be extended to cities and regions that show similar weather conditions and urban features.
To extend the applicability of the proposed Future Weather File Generator, the users must provide a base weather file for their selected location and choose the scenario in the future years of 2030, 2050, 2070, 2090, and 2100 in order to produce a future weather file. A weather file generator scan be executed online through the Google Colab notebook and offline in personal systems (PSs) with any operating system. Researchers have access in order to edit the source code and to automate the parametric generation of weather files for multiple locations, years, and scenarios due to the availability of the source code. Users need to install Python and a few libraries on their systems to run the generator. The dependency execution files allow users to install and run the weather file generator without installing Python and its libraries. Efforts are being made to host the weather file generator online to replace the requirements for Google applications and drive space for users. However, the source code is available for researchers to exploit the full use of the generator. This Future Weather File Generator aids architects, urban designers, and planners in assessing the climate change resilience of the built environments that they design for India. In addition, detailed studies of the region are limited due to the sparse network of stations that provide current data and the lack of records of detailed historical data. This causes gaps in the dataset and inherent variation among observational datasets. Further, questions urgently need to be answered regarding the impacts of climatic warming on various sectors, such as water resources, agriculture, livelihood patterns, and socioeconomic setups. Due to imminent changes in climatic patterns, these detailed climatic studies of the region can form a basis for strong climate change adaptation policies.

Author Contributions

Conceptualization, N.V.S.K.M. and A.K.S.; methodology, N.V.S.K.M., A.K.S. and G.P.; validation, N.V.S.K.M., K.Y. and A.K.S.; formal analysis, N.V.S.K.M., V.B., B.K.N. and A.K.S.; writing—original draft preparation, N.V.S.K.M. and A.K.S.; writing—review and editing, G.P., K.Y., A.K.S. and N.V.S.K.M.; supervision, A.K.S., G.P., D.S. and K.Y., All authors have read and agreed to the published version of the manuscript.

Funding

This research received no external funding.

Institutional Review Board Statement

Not applicable.

Informed Consent Statement

Not applicable.

Data Availability Statement

The data supporting this study’s findings are available from the corresponding author upon reasonable request.

Acknowledgments

The authors are also thankful to the anonymous reviewers for their constructive suggestions for improving the quality of the present work.

Conflicts of Interest

This manuscript has not been published or presented elsewhere in part or in entirety and is not under consideration by another journal. There are no conflict of interest to declare.

References

  1. MoSPI. Energy Statistics 2018 (Twenty Fifth Issue) CSO MOSPI New Delhi. 2018. Available online: http://mospi.nic.in/sites/default/files/publication_reports/Energy_Statistics_2018.pdf (accessed on 1 March 2022).
  2. United Nations Department of Economic and Social Affairs Population Division. World Population Prospects 2019 Highlights; United Nations: New York, NY, USA, 2019. [Google Scholar]
  3. United Nations. The World’s Cities in 2018. 2018. Available online: https://www.flickr.com/photos/thisisin (accessed on 1 March 2022).
  4. Alliance for an Energy Efficient Economy. Building Stock Modelling: Key Enabler for Driving Energy Efficiency at National Level. Available online: http://www.aeee.in/wp-content/uploads/2018/09/Building-Stock-Modeling-Revised-pager.pdf (accessed on 15 March 2022).
  5. Revi, A.; Satterthwaite, D.E.; Aragón-Durand, F.; Corfee-Morlot, J.; Kiunsi, R.B.R.; Pelling, M.; Roberts, D.C.; Solecki, W. Urban areas Climate Change 2014: Impacts, Adaptation, and Vulnerability. Part A: Global and Sectoral Aspects. Contribution of Working Group II to the Fifth Assessment Report of the Intergovernmental Panel on Climate Change; Intergovernmental Panel on Climate Change: Geneva, Switzerland, 2015; pp. 535–612. [Google Scholar] [CrossRef]
  6. Manton, M.J. Trends in climate extremes affecting human settlements. Curr. Opin. Environ. Sustain. 2010, 2, 151–155. [Google Scholar] [CrossRef]
  7. Ministry of Statistics. Energy Statistics Report 2021. 2021, p. 134. Available online: http://www.indiaenvironmentportal.org.in/files/file/Energy%20Statistics%20India%202021.pdf (accessed on 20 March 2022).
  8. Yenneti, K.; Rahiman, R.; Panda, A.; Pignatta, G. Smart Energy Management Policy in India—A Review. Energies 2019, 12, 3214. [Google Scholar] [CrossRef]
  9. Kumar J, C.R.; Majid, M.A. Renewable energy for sustainable development in India: Current status, future prospects, challenges, employment, and investment opportunities. Energy Sustain. Soc. 2020, 10, 2. [Google Scholar] [CrossRef]
  10. Bureau of Energy Efficiency and Ministry of Power. Energy Conservation Building Code 2017; Bureau of Energy Efficiency and Ministry of Power: New Delhi, India, 2017. Available online: https://beeindia.gov.in/sites/default/files/BEE_ECBC%202017.pdf (accessed on 4 July 2022).
  11. Bureau of Energy Efficiency and Ministry of Power. ECO-NIWAS SAMHITA 2018; Bureau of Energy Efficiency and Ministry of Power: New Delhi, India, 2018. [Google Scholar]
  12. Wang, L.; Liu, X.; Brown, H. Prediction of the impacts of climate change on energy consumption for a medium-size office building with two climate models. Energy Build. 2017, 157, 218–226. [Google Scholar] [CrossRef]
  13. Shen, P. Impacts of climate change on U.S. building energy use by using downscaled hourly future weather data. Energy Build. 2017, 134, 61–70. [Google Scholar] [CrossRef]
  14. Rubio-Bellido, C.; Pérez-Fargallo, A.; Pulido-Arcas, J.A. Optimization of annual energy demand in office buildings under the influence of climate change in Chile. Energy 2016, 114, 569–585. [Google Scholar] [CrossRef]
  15. Dino, I.G.; Akgül, C.M. Impact of climate change on the existing residential building stock in Turkey: An analysis on energy use, greenhouse gas emissions and occupant comfort. Renew. Energy 2019, 141, 828–846. [Google Scholar] [CrossRef]
  16. Bazazzadeh, H.; Pilechiha, P.; Nadolny, A.; Mahdavinejad, M. Hashemi Safaei SS. The impact assessment of climate change on building energy consumption in poland. Energies 2021, 14, 4084. [Google Scholar] [CrossRef]
  17. Crawley, D.B.; Lawrie, L.K.; Pedersen, C.O.; Winkelmann, F.C. EnergyPlus: Energy Simulation Program. ASHRAE J. 2000, 42, 49–56. [Google Scholar]
  18. Moradi, M.; Dyer, B.; Nazem, A.; Nambiar, M.K.; Nahian, M.R.; Bueno, B.; Mackey, C.; Vasanthakumar, S.; Nazarian, N.; Krayenhoff, E.S.; et al. The vertical city weather generator (vcwg v1.3.2). Geosci. Model Dev. 2021, 14, 961–984. [Google Scholar] [CrossRef]
  19. Aliabadi, A.A.; Moradi, M.; McLeod, R.M.; Calder, D.; Dernovsek, R. How much building renewable energy is enough? The vertical city weather generator (vcwg v1.4.4). Atmosphere 2021, 12, 882. [Google Scholar] [CrossRef]
  20. Moradi, M.; Krayenhoff, E.S.; Aliabadi, A.A. A comprehensive indoor–outdoor urban climate model with hydrology: The Vertical City Weather Generator (VCWG v2.0.0). Build. Environ. 2022, 207, 108406. [Google Scholar] [CrossRef]
  21. Libralato, M.; Murano, G.; de Angelis, A.; Saro, O.; Corrado, V. Influence of the meteorological record length on the generation of representative weather files. Energies 2020, 13, 2103. [Google Scholar] [CrossRef]
  22. Finkelstein, J.M.; Schafer, R.E. Improved goodness-of-fit tests. Biometrika 1971, 58, 641–645. [Google Scholar] [CrossRef]
  23. Lund, H. ‘Test Reference Year’, Weather Data for Environmental Engineering and Energy Consumption in Buildings; Thermal Insulation Laboratory, Technical University of Denmark: Lyngby, Denmark, 1975; Available online: https://backend.orbit.dtu.dk/ws/portalfiles/portal/234790725/lfv_067.pdf (accessed on 4 July 2022).
  24. Wilcox, S.; Marion, W. Innovation for Our Energy Future Users Manual for TMY3 Data Sets. 1994. Available online: http://www.osti.gov/bridge (accessed on 18 March 2022).
  25. Herrera, M.; Natarajan, S.; Coley, D.A.; Kershaw, T.; Ramallo-González, A.P.; Eames, M.; Fosas, D.; Wood, M. A review of current and future weather data for building simulation. Build. Serv. Eng. Res. Technol. 2017, 38, 602–627. [Google Scholar] [CrossRef]
  26. Hosseini, M.; Bigtashi, A.; Lee, B. A systematic approach in constructing typical meteorological year weather files using machine learning. Energy Build. 2020, 226, 110375. [Google Scholar] [CrossRef]
  27. Remund, J.; Kunz, S.; METEOTEST Swiss Federal Office of Energy. METEONORM—Global Meteorological Database for Engineers, Planners and Education. 2003. Available online: https://www.bibsonomy.org/bibtex/24293166f7a64e63ce261e71202dfa87 (accessed on 27 July 2022).
  28. Dickinson, R.; Brannon, B. Cities, Buildings, People: Towards Regenerative Environments Generating Future Weather Files for Resilience. 2016. Available online: https://www.weathershift.com/Generating%20Future%20Weather%20Files.pdf (accessed on 28 July 2022).
  29. Tootkaboni, M.P.; Ballarini, I.; Zinzi, M.; Corrado, V. A comparative analysis of different future weather data for building energy performance simulation. Climate 2021, 9, 37. [Google Scholar] [CrossRef]
  30. Intergovernmental Panel on Climate Change; Working Group III. Emissions Scenarios. Summary for Policymakers: A Special Report of IPCC Working Group III; Intergovernmental Panel on Climate Change: Geneva, Switzerland, 2000. [Google Scholar]
  31. Pachauri, M.R.K. Report of the 26th session of the IPCC. 2008. Available online: https://archive.ipcc.ch/meetings/session26/final_report_26.pdf (accessed on 29 July 2022).
  32. Van Vuuren, D.P.; Edmonds, J.; Kainuma, M.; Riahi, K.; Thomson, A.; Hibbard, K.; Hurtt, G.C.; Kram, T.; Krey, V.; Lamarque, J.F.; et al. The representative concentration pathways: An overview. Clim. Chang. 2011, 109, 5. [Google Scholar] [CrossRef]
  33. Stocker, T. Climate Change 2013: The Physical Science Basis: Working Group I Contribution to the Fifth Assessment Report of the Intergovernmental Panel on Climate Change; Cambridge University Press: Cambridge, UK, 2014. [Google Scholar]
  34. Flato, G.M. Earth system models: An overview. Wiley Interdiscip. Rev. Clim. Chang. 2011, 2, 783–800. [Google Scholar] [CrossRef]
  35. Moss, R.H.; Edmonds, J.A.; Hibbard, K.A.; Manning, M.R.; Rose, S.K.; Van Vuuren, D.P.; Carter, T.R.; Emori, S.; Kainuma, M.; Kram, T.; et al. The next generation of scenarios for climate change research and assessment. Nature 2010, 463, 747–756. [Google Scholar] [CrossRef]
  36. Taylor, K.E.; Stouffer, R.J.; Meehl, G.A. An overview of CMIP5 and the experiment design. Bull. Am. Meteorol. Soc. 2012, 93, 485–498. [Google Scholar] [CrossRef]
  37. Climate Change 2001: The Scientific Basis. Available online: https://www.ipcc.ch/site/assets/uploads/2018/03/WGI_TAR_full_report.pdf (accessed on 20 July 2022).
  38. Jentsch, M.F.; James, P.A.B.; Bourikas, L.; Bahaj, A.S. Transforming existing weather data for worldwide locations to enable energy and building performance simulation under future climates. Renew. Energy 2013, 55, 514–524. [Google Scholar] [CrossRef]
  39. Hosseini, M.; Bigtashi, A.; Lee, B. Generating future weather files under climate change scenarios to support building energy simulation—A machine learning approach. Energy Build. 2021, 230, 110543. [Google Scholar] [CrossRef]
  40. Belcher, S.E.; Hacker, J.N.; Powell, D.S. Constructing design weather data for future climates. Build. Serv. Eng. Res. Technol. 2005, 1, 49–61. [Google Scholar] [CrossRef]
  41. Kamworapan, S.; Surussavadee, C. Evaluation of CMIP5 global climate models for simulating climatological temperature and precipitation for southeast Asia. Adv. Meteorol. 2019, 2019. [Google Scholar] [CrossRef]
  42. Sénési, S.; Richon, J.; Franchistéguy, L.; Tyteca, S.; Moine, M.P.; Voldoire, A.; Sanchez-Gomez, E.; Salas y Mélia, D.; Decharme, B.; Cassou, C.; et al. CNRM-CM5-2 model output prepared for CMIP5 piControl, served by ESGF. World Data Cent. Clim. (WDCC) DKRZ 2014. [Google Scholar] [CrossRef]
  43. Passow, C.; Donner, R.V. Regression-based distribution mapping for bias correction of climate model outputs using linear quantile regression. Stoch. Environ. Res. Risk Assess. 2020, 34, 87–102. [Google Scholar] [CrossRef]
  44. Ek, M.; Murdock, T.; Sobie, S.; Cavka, B.; Coughlin, B.; Wells, R. Future weather files to support climate resilient building design in Vancouver. In Proceedings of the 1st International Conference on New Horizons in Green Civil Engineering (NHICE-01), Victoria, BC, Canada, 25–27 April 2018. [Google Scholar]
  45. Dumka, U.C.; Kaskaoutis, D.G.; Tiwari, S.; Safai, P.D.; Attri, S.D.; Soni, V.K.; Singh, N.; Mihalopoulos, N. Assessment of biomass burning and fossil fuel contribution to black carbon concentrations in Delhi during winter. Atmos. Environ. 2018, 194, 93–109. [Google Scholar] [CrossRef]
Figure 1. Flowchart for version I of the Indian Weather File Generator algorithm.
Figure 1. Flowchart for version I of the Indian Weather File Generator algorithm.
Sustainability 14 15191 g001
Figure 2. Illustration of the geo-filtering technique.
Figure 2. Illustration of the geo-filtering technique.
Sustainability 14 15191 g002
Figure 3. The difference between the observed DBT (EPW DBT) and the CanESM2 DBT data.
Figure 3. The difference between the observed DBT (EPW DBT) and the CanESM2 DBT data.
Sustainability 14 15191 g003
Figure 4. The accuracy of prediction with ML-based bias correction [39].
Figure 4. The accuracy of prediction with ML-based bias correction [39].
Sustainability 14 15191 g004
Figure 5. Box plots of the DBTmax, DBTmin, and DBTavg data for the present-day, 2030, 2050, 2070, and 2100 in the RCP2.6 scenario.
Figure 5. Box plots of the DBTmax, DBTmin, and DBTavg data for the present-day, 2030, 2050, 2070, and 2100 in the RCP2.6 scenario.
Sustainability 14 15191 g005
Figure 6. Box plot of the DBTmax, DBTmin, and DBTavg data for the year 2100 and the RCP 4.5 and 8.5 scenarios.
Figure 6. Box plot of the DBTmax, DBTmin, and DBTavg data for the year 2100 and the RCP 4.5 and 8.5 scenarios.
Sustainability 14 15191 g006
Figure 7. Present-day and RCP 2.6 DBT profiles for the years 2030, 2050, 2070, and 2100.
Figure 7. Present-day and RCP 2.6 DBT profiles for the years 2030, 2050, 2070, and 2100.
Sustainability 14 15191 g007
Figure 8. Present-day and RCP 4.5 DBT profiles for the years 2030, 2050, 2070, and 2100.
Figure 8. Present-day and RCP 4.5 DBT profiles for the years 2030, 2050, 2070, and 2100.
Sustainability 14 15191 g008
Figure 9. Present-day and RCP 8.5 DBT profiles for the years 2030, 2050, 2070, and 2100.
Figure 9. Present-day and RCP 8.5 DBT profiles for the years 2030, 2050, 2070, and 2100.
Sustainability 14 15191 g009
Figure 10. Year-wise and scenario-wise CO2-equivalent (PPM) levels and the annual mean DBT (°C) predicted by the weather file generator.
Figure 10. Year-wise and scenario-wise CO2-equivalent (PPM) levels and the annual mean DBT (°C) predicted by the weather file generator.
Sustainability 14 15191 g010
Table 1. Data description and properties.
Table 1. Data description and properties.
VariableAcronymVariableAcronym
AtmosphereOzone and Aerosols
Surface (2 m) air
temperature (°C)
TasAerosol optical depthand
Temperature (°C)TaTotal column ozonetro3
Zonal mean
wind (m s–1)
UaCarbon cycle
Zonal wind
stress (m s–1)
TauuAtmospheric CO2
(ppmv)
CO2
Meridional wind (m s–1)VaGlobal Land Carbon
Sink (PgC yr–1)
NBP
Geopotential height (m)ZgGlobal Ocean Carbon
Sink (PgC yr–1)
fg CO2
TOA reflected shortwave radiation (W m–2)RsutRegional Land Sinks
(PgC yr–1)
NBP
TOA longwave
radiation (W m–2)
RlutRegional Ocean
Sinks (PgC yr–1)
fg CO2
Clear-sky TOA shortwave cloud radiative effect (W m–2)SW CREOcean
Clear-sky TOA longwave cloud radiative effect (W m–2)LW CREAnnual mean
temperature
thetao
Total precipitation (mm day–1)PrAnnual mean salinityso
Precipitable waterPRWSea Surface Temperaturetos
Lower-tropospheric temperatureTLTGlobal ocean heat
content (0 to 700 m)
OHC
ExtremesMeridional heat
Transport
Hfnorth
Daily maximum and minimum surface air temperature fields (°C), Daily precipitation fields (mm day–1)tas, precip
Publisher’s Note: MDPI stays neutral with regard to jurisdictional claims in published maps and institutional affiliations.

Share and Cite

MDPI and ACS Style

Manapragada, N.V.S.K.; Shukla, A.K.; Pignatta, G.; Yenneti, K.; Shetty, D.; Nayak, B.K.; Boorla, V. Development of the Indian Future Weather File Generator Based on Representative Concentration Pathways. Sustainability 2022, 14, 15191. https://doi.org/10.3390/su142215191

AMA Style

Manapragada NVSK, Shukla AK, Pignatta G, Yenneti K, Shetty D, Nayak BK, Boorla V. Development of the Indian Future Weather File Generator Based on Representative Concentration Pathways. Sustainability. 2022; 14(22):15191. https://doi.org/10.3390/su142215191

Chicago/Turabian Style

Manapragada, Naga Venkata Sai Kumar, Anoop Kumar Shukla, Gloria Pignatta, Komali Yenneti, Deepika Shetty, Bibhu Kalyan Nayak, and Venkataramana Boorla. 2022. "Development of the Indian Future Weather File Generator Based on Representative Concentration Pathways" Sustainability 14, no. 22: 15191. https://doi.org/10.3390/su142215191

APA Style

Manapragada, N. V. S. K., Shukla, A. K., Pignatta, G., Yenneti, K., Shetty, D., Nayak, B. K., & Boorla, V. (2022). Development of the Indian Future Weather File Generator Based on Representative Concentration Pathways. Sustainability, 14(22), 15191. https://doi.org/10.3390/su142215191

Note that from the first issue of 2016, this journal uses article numbers instead of page numbers. See further details here.

Article Metrics

Back to TopTop