Abstract
Radial gates are widely used for agricultural water management, flood controlling, etc. The existence of methods for the calculation of the discharge coefficient (Cd) of such gates are complex and they are based on some assumptions. The development of new usable and simple models is needed for the prediction of Cd. This study investigates the viability of a metaheuristic regression method, the Gaussian Process (GP), for the determination of the discharge coefficient of radial gates. For this purpose, a total of 2536 experimental data were compiled that cover a wide range of all the effective parameters. The results of GP were compared with the Group Method of Data Handling (GMDH), Multivariate Adaptive Regression Splines (MARS), and linear and nonlinear regression models for predicting Cd of radial gates in both free-flow and submerged-flow conditions. The results revealed that the radial basis function-based GP model performed the best in free-flow condition with a Correlation Coefficient (CC) of 0.9413 and Root Mean Square Error (RMSE) of 0.0190 while the best accuracy was obtained from the Pearson VII kernel function-based GP model for the submerged flow condition with a CC of 0.9961 and RMSE of 0.0132.
1. Introduction
Flow controller and flow regulator structures play important roles in flow distribution in irrigation systems and the success rate of irrigation systems depends on the performance of these structures [1]. The maximum discharge condition is the main criteria for designing irrigation systems, while in practice, in the majority of cases, the maximum discharge is not observed. So, in such systems, flow controller and flow regulator structures are used for providing gravity irrigation conditions and for setting the water level at required water levels [2]. Gates are the most common types of structures that are commonly utilized in irrigation networks [3]. In addition, flow discharge measurement is another important application of gates in these systems, and estimation of flow discharge under gates can be classified as one of the most important issues in hydraulic engineering [3]. In other words, the precision of flow discharge information has a direct influence on operational management and water-saving policies [4]. According to gate applications all over the world, the hydraulic performance of gates has been studied by many researchers. Gibson [5] and Henry [6] carried out the earliest studies on gates. Henry [6] presented the slice gate discharge coefficient (Cd) in the form of a graph considering a dimensionless form of effective parameters in both submerged and free-flow conditions. The study by Henry [6] is the basis of some other studies and some other Cd equations. After that, Rajaratnam and Subramanya [7], Rajaratnam and Subramanya [8] and Swamee [9] proposed new relationships for determining Cd in both submerged and free-flow conditions.
Radial gates alongside slice gates are the most common types of gates. The required force for the opening of gates is large, so hydraulic engineers use radial gates instead of other types of gates [10]. Because of the special shape of radial gates and existing cylindrical shells, entering water pressure passes through the axis of the gate, and pressure forces do not create a torque around it [10]. Bijankhan et al. [11] used dimensional analysis to analyze both submerged and free-flow conditions in a radial gate. In their study, the incomplete self-similarity concept and Buckingham theorem were used to propose a new dimensional equation for Cd. Salmasi, Nouri, and Abraham [10] used different types of sills under a radial gate and studied the influence of sills on the radial gate Cd. Circular, semicircular, rectangular, triangular, and trapezoidal sills were used in the study. Two different locations of sills were studied and outcomes revealed that sills could have both negative and positive effects on Cd. Bijankhan et al. [12] presented an analytical equation for distinguishing free-flow and submerged flow conditions and used the experimental data of Buyalski [13] for verification of the presented equation. Clemmens et al. [14] provided a new method to calibrate both the free-flow and submerged flow of radial gates. The provided method utilizes the momentum equation and energy equation on the downstream side and upstream side of the structure, respectively. Zheng et al. [15] established a new model using the least square method to calibrate the discharge in radial gates. In order to perform this, four discharge methods obtained from the energy equation and dimensionless analysis were used. Outcomes revealed that by using the presented parameter identification model, the accuracy of four methods increased and the value of maximum mean relative error decreased from 34.26% to 3.54%.
Recently, soft computing techniques and/or artificial intelligence (AI)-based models have been used for the estimation Cd of hydraulic structures [16,17,18]. Due to some negative issues in common methods, including a large quantity of influencing parameters and their interactions, a large number of assumptions, complexity of the solutions, high uncertainty, etc., these models can be utilized as a direct solution to the problem [19,20]. Salmasi and Abraham [21] used genetic programming for identifying the discharge coefficient for inclined slide gates. They conducted a series of laboratory experiments and used experimental results to produce new equations using genetic programming. Aydin and Kayisli [22] developed a neuro-fuzzy (ANFIS) model to predict the Cd of labyrinth side weirs. They used 285 experimental data to test the developed model and the outcomes of the research revealed that the ANFIS could be effectively used in practice. Piano Key weirs’ Cd was investigated by Majedi-Asl et al. [23]. For this purpose, SVM (support vector machines) and the GEP (gene expression programming) models were used. They reported that the GEP model results are in a good agreement with the experimental data [23]. In another study, the discharge coefficient of oblique sluice gates was assessed using some different techniques and the ANN (artificial neural network) approach was introduced as the most accurate model [24]. Roushangar et al. [25] used the hybrid Grey Wolf Optimization-based Kernel-depended Extreme Learning Machine (GWO-KELM) approach for the prediction of the Cd of submerged radial gates. The results of their studies showed that the GWO-KNL approach has a good ability to estimate the Cd of the radial gate under different submergence ratios. Salazar et al. [26] used the ANN and Finite Element methods (FEM) for estimation of the Cd of radial-gated spillway of the Oliana dam in Spain. The results of their investigations showed that the FEM method can be more useful in analyzing radial-gated spillway. Rady [27] applied the ANNs modeling method to investigate the discharge coefficient of the vertical and inclined sluice gates under free and submerged flow conditions. The results of his study indicated that the ANNs are powerful tools for modeling flow rates below both types of sluice gates within an accuracy of ±5%. Al-Talib and Kattab [28] studied the Cd using SPSS and ANN and compared them. Their results gave a good agreement compared with experimental data and they presented an equation to calculate the Cd. Sauida [29] simulated the relative energy loss downstream of the multi-sluice gate using ANN under submerged flow conditions and developed an empirical prediction equation using statistical Multiple Linear Regression (MLR). The results of his study showed that the ANN is more accurate than the MLR and can be utilized to determine the optimal multi-gate operation scenario for multi-vent regulators.
For the determination of radial gates’ Cd, simultaneously solving some nonlinear equations and some complex graphs is generally needed. Furthermore, a large number of equations for gates Cd are based on some assumptions that sometimes lead to outcomes which do not match reality. Hence, introducing alternative methods for predicting Cd of radial gates with good accuracy is essential. It is evident from the existing literature that the AI-based models are easy to apply and they produce accurate predictions. As alternatives to methods which solve the governing equations depending on boundary conditions, AI-based approaches can efficiently predict the Cd. Although the AI-based techniques have been widely used to estimate Cd of other hydraulic structures such as weirs; however, very few studies used these techniques in prediction of radial gates’ Cd. Here three AI-based models, namely, the Group Method of Data Handling (GMDH), Multivariate Adaptive Regression Splines (MARS) and Gaussian Process (GP) are employed to predict Cd in radial gates in both submerged and free discharge conditions. The existing experimental data in the literature are used as model inputs. The outcomes of the AI-based models are also compared with those of the linear and nonlinear regression-based models.
2. Materials and Methods
Figure 1 shows a schema of the radial gate in both free (Figure 1a) and submerged flow conditions (Figure 1b). As seen from the figure, Y0 = upstream water depth, W = gate opening height, h = trunnion-pin height, R = gate radius, Y1 = flow depth at vena contracta under free-flow conditions, and Yt = downstream water depth in submerged flow condition. As discussed above, the prediction of radial gates’ Cd is the main aim of the presented work. In order to perform this, the reported experimental results by Buyalski [13] were utilized for the models’ training and testing.
Figure 1.
Longitudinal cross-section of studied radial gate for (a) free-flow condition and (b) submerged flow condition.
The discharge coefficient of the radial gate (Cd) in both free-flow and submerged flow conditions is a function of flow properties and gate geometry. Upstream water depth and tailwater depth belong to flow properties and gate radius, trunnion–pin height, gate opening height, and gate width (B) belong to gate geometry. Therefore, for free-flow and submerged flow conditions, the dependency of radial gate Cd on the effective parameters is as in the Equations (1) and (2):
Considering sections 0 (upstream of the radial gate) and 1 (immediately downstream of the radial gate, see the location of Y1 in Figure 1a) and assuming rectangular channel, the following equations can be written using energy equilibrium as:
where Y1 and V1 are flow depth and flow velocity in Section 1, Y0 and V0 are flow depth and flow velocity in section 0, g is the gravity acceleration and E1 and E0 are the specific energy in two mentioned sections. By combination of continuity equation and Equation (4), it can be written as:
where Q is discharge flowing under the radial gate. As it can be seen, Equation (5) is not a direct result of Equation (4) and the continuity equation. In Equation (5), V0 is ignored by considering an assumption as the reservoir of the upstream side of the gate is large, it is presented for measuring the discharge of a complete orifice. This equation was firstly used by Henry [6] for the gates. The Cd is used to correct these assumptions. Henry [6] presented the sluice gate Cd in the form of a graph by considering the dimensionless form of effective parameters in both submerged and free-flow conditions. In the graph, discharge coefficient has been plotted against Y0/W for free-flow condition and for submerged flow condition, discharge coefficient has been plotted against Y0/W and YT/W. In the present study, Equation (5) was applied for the calculation of the discharge coefficient using the experimental data of Buyalski [13]. 2536 Cd in different conditions were obtained. These data were utilized for training and testing of Multiple Linear Regression (MLR), Nonlinear Regression (NLR), Multivariate Adaptive Regression Splines (MARS), GMDH, and Gaussian Process (GP) regression models.
2.1. Experimental Data by Buyalski [13]
Buyalski [13] employed an extensive experimental study for the determination of the Cd of radial gates in both submerged and free-flow conditions. He experimentally modeled a real canal ant its radial gates (the Tehama–Colusa canal) with a scale of 1:6. Experiments were carried out in a wide rectangular flume 3.05 m. In the study by Buyalski [13], gate-opening height (W), upstream water depth (Y0), tailwater depth in submerged flow condition (YT), trunnion–pin height (h), and types of gate sill were considered as study parameters. The gate width (B) and the gate radius (R) were constant and their corresponding values were 0.711 m and 0.702 m, respectively. Cd algorithms were developed by Buyalski [13] from a single-gate hydraulic laboratory model and they are applicable when the number of gates are varied from 1 to 5. The results of this experimental study are the basis of the majority of radial gates’ Cd equations. In order to determine Cd t of radial gates, 2536 experimental data were used. Table 1 shows the studied parameters by Buyalski [13] and their range.
Table 1.
Studied parameters by Buyalski [13].
2.2. Methods
2.2.1. Multiple Linear Regression (MLR)
MLR is a process based on least square technique used for developing the linear relationship between independent (input) and dependent (output) variables. The commonly used equation for MLR is (Equation (6)):
where x1, x2, …, xn are independent variables and c0, c1 …, cn are regression coefficients.
2.2.2. Nonlinear Regression (NLR)
In comparison to MLR, that is always used for simple issues, NLR is chosen for complex issues. In the present study, for the creation of the NLR, XLSTA software was used. In the common NLR equation (Equation (7)), The output variable is Cd and the input variables are: x1, x2, …, xn.
2.2.3. Multivariate Adaptive Regression Splines (MARS)
The MARS method uses a non–parametric approach that does not include any assumption about the independent and dependent data set of the relationship. The MARS system uses sub domains for input space and for a specified sub domain, a linear regression equation is considered. A boundary value between knots is called a sub domain. The fitted linear regression is defined as the base functions (BFs). The following forms are given by the BFs (Equation (8)), where x is a separate parameter, and k is a boundary value. The last mathematical expression of the used MARS technique for the desired phenomenon is (Equation (9)):
where y is a predicted output parameter by the function f(x). S0 is the value of a constant and n is the quantity of BFs. The coefficient multiplied in BFs is Sn. βn indicates the BFs. Mathematical modeling is sufficient to complete two phases using the MARS process. The BFs that were established in the previous phase and have no major impact on increasing the accuracy of the model are pruned on the basis of a criterion called Generalized Cross-Validation (GCV). In other words, the structure of the derived MARS model was adopted by GCV. The GCV is defined by Equation (10), where N is the data quantity, and C(H) is the penalty for complexity that is increased by the quantity of BFs. In Equation (10), for each BF, d indicates a penalty number and H is the quantity of BFs acquired by the MARS process [30,31].
2.2.4. Group Method of Data Handling (GMDH)
GMDH is a self–adapting approach that gradually maps any complicated system including a dynamic relationship between inputs and output. Ivakhnenko [32] first suggested this approach. Each pair of inputs is added to a neuron in the GMDH technique. As seen below, the governing equation is a quadratic polynomial (Equation (11)). Where and (i = 1 … 5) are coefficients and xi and xj are input pairs. From the Volterra sequence, the definition of GMDH provided stated that all the system can be calculated utilizing an infinite polynomial by Equation (12). The discrete form of Volterra series is presented as Kolmogorov–Gabor polynomial [33,34].
2.2.5. Gaussian Process Regression (GP)
According to Neal [35], Gaussian Processes (GP) may be termed as a natural generalization of the Gaussian distribution and here, vector is the mean and matrix serves as the covariance [36]. GP regression is an expedient approach of nonparametric regression owing to its theoretical simplicity as well as its worthy generalization capability and it provides an output which is probabilistic [37]. A major assumption in GP is y which can be identified by y ~ f(x) + ξ, where ξ ~ N(0,σ2). Here, the symbol ~ shows sampling. In regression of GP, for each input x there is an associated random variable f(x) and x is the value of the stochastic f function at that location. In this study, the assumption is that the measurement error ξ is normal independent and it is identically distributed, with a zero mean value (μ(x) = 0), a σ2 of variance and f(x) provided by the GP on χ identified by k. That is,
where , and I = identity matrix. For a provided test data vector, the predictive distribution of the output is Gaussian, where
Assume that the training data are n and test data are , then matrix of covariances evaluated by the all pairs of training and test data sets are represented by , and similarly, this holds true for the , and ; where X and Y show the vector of the training data and corresponding labels . To produce a semi–definite covariance matrix K which is positive, where , a quantified covariance function is needed. The term kernel function which is utilized in SVM as well as the covariance function that has been utilized in regression of GP are equivalent. If we know the noise degree , and the kernel, it would be ample having Equations (14) and (15) for the inference sake. It is a pre-requisite for the user throughout the training procedure of GP regression, to pick out an opposite covariance function, the parameters of it as well as the degree of noise. In the GP regression’s case with Gaussian noise involving a fixed value, a GP model can be accomplished by the employment of Bayesian inference, i.e., by maximizing the marginal likelihood. This provides the minimization of the negative log–posterior:
To discover the hyperparameters, the partial derivative of Equation (16) is obtained with respect to and k, and it can be minimized by gradient descent. Kuss [37] has reported a detailed account of the GP regression as well as different covariance functions.
2.2.6. Details of Kernel Function
The design of SVM and GP-based regression methods involves the kernel function (KF) idea. Different types of kernels have been discussed in the related literature [30,38,39]. Four most frequently used KFs: a polynomial kernel function (), radial basis kernel () and the Pearson VII kernel function , where , , and are specific kernel parameters.
2.3. Parameters for Performance Appraisal
For accuracy assessment of the implemented models, six different types of statistical parameters were considered. The Correlation Coefficient (CC), Root Mean Square Error (RMSE), Willmott’s Index (WI), Legates and McCabe’s Index (LMI), Mean Absolute Error (MAE), efficiency of the Nash Sutcliffe model (NS), Normalized Root Mean Square Error (NRMSE), and Root Mean Square Relative Error (RMSRE) were used for assessing the training and testing phases of prediction models [40,41,42,43,44,45,46,47,48,49]. It is possible to quantify the six performance assessment parameters used in this research using Equations (17)–(23).
Correlation Coefficient (CC): The correlation coefficient is a statistical measure of the degree of the association between two variables or groups. The range of CC is between –1.0 and 1.0. The equation of the CC is listed as follows [20]:
Root Mean Square Error (RMSE): RMSE is a standard method of calculating a model’s error in predicting quantitative data. The range of the RMSE is 0 to ∞. Its equation is as follows [20]:
Willmott’s Index (WI): Willmott [46] suggested a standardized measure of model prediction error called the index of agreement (WI), which ranges from 0 to 1. The ratio of the mean square error to the potential error is represented by the index of agreement. A value of 1 indicates a perfect match, whereas a value of 0 shows no agreement at all. The index of agreement may identify additive and proportional differences between observed and predicted means and variances; however, due to squared differences, WI is extremely sensitive to extreme values.
Legates and McCabe’s Index (LMI): Legates and McCabe Jr [40] proposed a new goodness-of-fit measure to evaluate the performance of developed model. The range of the LMI is from 0 to 1. LMI is very sensitive to outlier values.
Mean Absolute Error (MAE): MAE of prediction is defined as the absolute difference between the predicted and experimental (observed) values of relative coefficient of discharge, per residue [20]. Where summation is carried out for all residues and N is the total number of observations.
Nash–Sutcliffe efficiency index (NS): It is a widely used and potentially reliable statistic for assessing the goodness of fit of regression and soft computing models [38]. The range of the NS is—∞ to 1.
Normalized Root Mean Square Error (NRMSE): It relates the RMSE to the observed range of the variable. Thus, the NRMSE can be interpreted as a fraction of the overall range that is typically resolved by the model [20].
where and are, respectively, the observed and the predicted values, is the average of observed values and N is the quantity of observations
3. Results and Discussion
The investigation composed of two sections: submerged flow and free-flow conditions for the radial gate structure. For Cd prediction of the radial gate structure, the most important parameters include B/y0, W/ y0, R/y0, and h/y0 for free-flow and B/y0, W/y0, R/y0, h/y0, and yt/y0 for submerged flow conditions.
3.1. Free-flow Condition
In total, 400 experimental observations of free-flow conditions were used in this investigation for the prediction of Cd of radial gate. For training and testing of the models, total data were separated in two dissimilar groups. The criterion of separation of the data set is random. The training data set contains 263 observations whereas the remaining 137 observations are in testing the data set. The models were developed using training data set and the obtained models were assessed by the testing data set. The features of the input and output variables in the training and testing data set for predicting the discharge coefficients (Cd) of the radial gate structure at free-flow conditions are provided in Table 2. Moreover, uncertainty with 95% confidence levels [47,48,49] was also selected to collect more information about the data set.
Table 2.
Statistics of the training and testing data set for the prediction of discharge coefficients (Cd) for free-flow condition.
LR- and NLR-based models were developed using XLSTAT software using training data set. The basic concept behind the LR- and NLR-based models development is least square technique. The developed equations are listed in Equations (24) and (25) for LR and NLR, respectively.
In the development process of the GMDH-, MARS-, and GP-based models, the trial and error method was used. The GMDH model includes three hidden layers. The constant and coefficient values of transfer functions for the GMDH are summed up in Table 3.
Table 3.
The transfer function parameters calculated for the GMDH.
In the development of MARS, 30 BFs were chosen in the initial step and 10 BFs were pruned in the following step. Finally, the best MARS model having 7 BFs and 16 effective parameters were obtained. The basic form of MARS is provided by Equation (26). The final form of the implemented MARS model is given in Table 4. The pruning measure which was obtained by the GVC constraint in the training stage of MARS was acquired as 0.00050742.
Table 4.
Basic functions and their coefficients of the MARS model.
Normally, the performance evaluation of LR-, NLR-, GMDH-, MARS-, and GP-based models were carried out using eight performance assessment indices: CC, RMSE, MAE, WI, LMI, NRMSE, RMSRE, and NE. The accuracies of the soft computing and regression techniques in predicting Cd are compared in Table 5. Higher the value of CC, WI, LMI, and NE and lower the value of RMSE, NRMSE, MAE, and RMSRE confirm the superior models. If CC, WI, LI, and NE values are 1 and RMSE, NRMSE, MAE, and RMSRE values are zero, then the model is deemed ideal for prediction. For free-flow conditions, the radial basis kernel function-based GP model performs superior to the other regression and soft computing models with the CC value of 0.9413, RMSE value of 0.0190, WI value of 0.9707, NS value of 0.8806, LMI value of 0.6658, NRMSE value of 0.0305, MAE value of 0.0153, and RMSRE value of 0.0291. Among the regression models, the NLR-based equation outperforms the LR based equation in the training and testing stages.
Table 5.
Comparison of performance evaluation indices of Cd in free-flow condition.
A comparison of MARS and GMDH (Table 5) suggests that the MARS performs better than the GMDH. Overall, the MARS-based model performs better than the LR-, NLR-, GMDH-, GP_Poly-, and GP_PUK-based models with the CC value of 0.9383, RMSE value of 0.0195, WI value of 0.9691, NS value of 0.8743, LMI value of 0.6531, NRMSE value of 0.0313, MAE value of 0.0158, and RMSRE value of 0.0302. It can be said that the second best model in the prediction of Cd in free-flow conditions is MARS.
Figure 2 and Figure 3 show the agreement and performance plots between measures and predictions of the regression and soft computing models in the test stage. Predicted Cd using GP_RBF almost lies on the ideal line (45° line). Figure 3 illustrates that the predictions using GP_RBF follow the same path with the measured values. Figure 2 and Table 5 confirm that the GP_RBF is the most suitable model for the prediction of Cd values. Two graphical methods were utilized to assess the accuracy of developed models: box plot and Taylor diagram.
Figure 2.
Agreement plot between measured and predicted Cd in free-flow condition using various regression and soft computing models in the test phase.

Figure 3.
Performance plot between measured and predicted Cd in free-flow condition by various regression and soft computing models in the test phase.
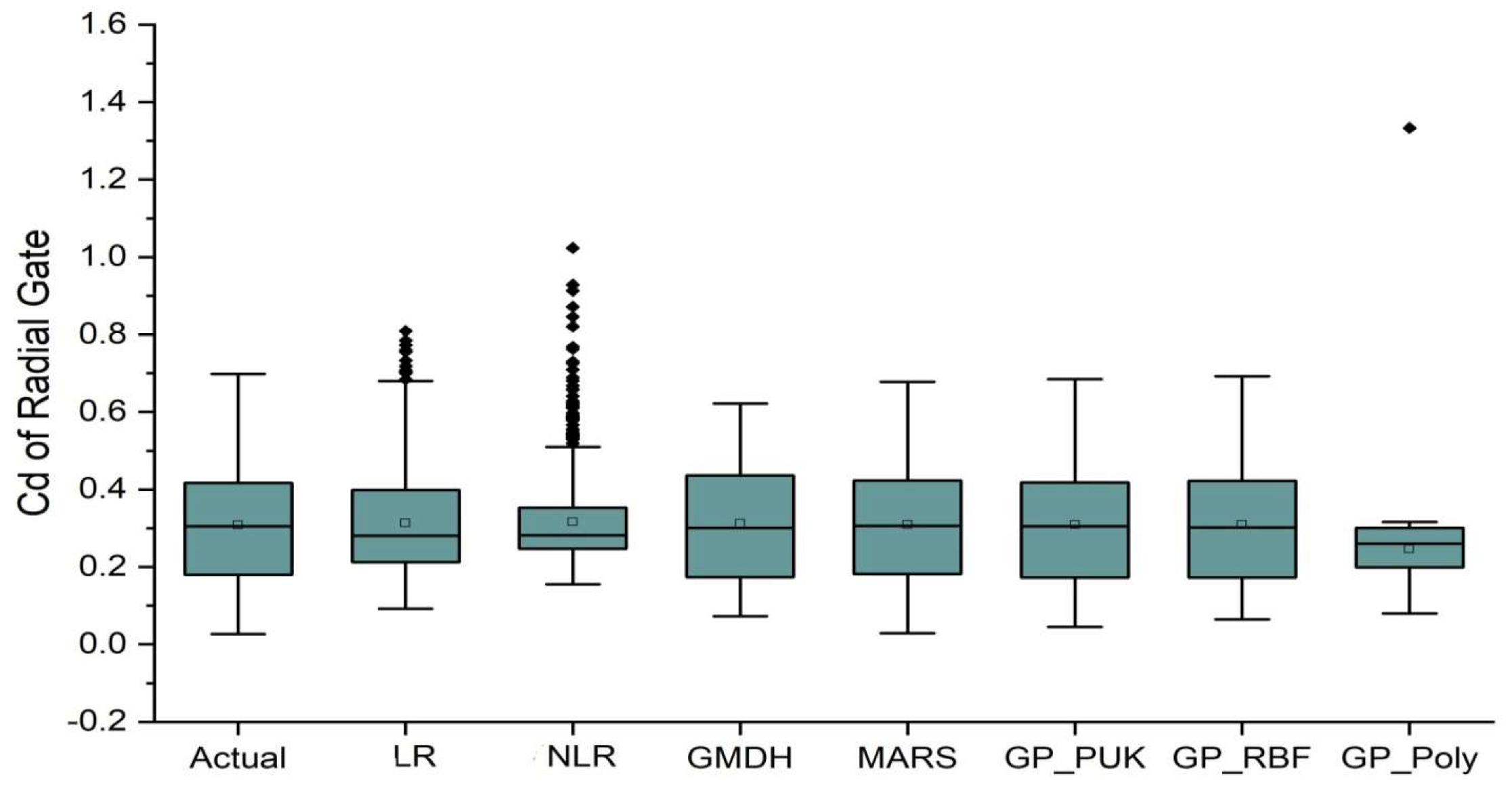
Figure 4 depicts the box plots of the models’ outcomes for the testing stage. The minimum and mean value of GP_RBF and actual values are very close to the actual value and lower box width of the actual and GP_RBF-based model is almost the same. It can be said that the GP_RBF is the most suitable model. Figure 5 shows the Taylor diagram for all developed models for free-flow conditions in the testing stage. The points of all developed models are located on nearly the same position except GP_Poly; the GP_RBF (yellow solid circle) is placed nearest to the actual point (hollow black circle) and it confirms that the GP_RBF model is superior to the other implemented models for free-flow condition.
Figure 4.
Box plot of the actual Cd and models’ predictions in the testing stage.
Figure 5.
Taylor diagram of the actual Cd and models’ predictions for free-flow condition in the testing stage.
3.2. Submerged Flow
A total of 2136 experimental observations for the submerged flow condition were used for Cd prediction in radial gate. Here, the total data set of submerged flow was randomly separated into two groups: training and testing. Training and testing data sets contain 1495 and 641 observations, respectively. The characteristics of all considered variables are listed in Table 6 for the training and testing data sets under the submerged flow condition.
Table 6.
Statistics of the training and testing data set for the prediction of discharge coefficients (Cd) in submerged flow condition.
The developed LR and NLR equations for the submerged flow condition are listed in the Equations (27) and (28), respectively.
Here, also the developed GMDH model includes three hidden layers. Constant and coefficient values of transfer functions are provided in Table 7 for the implemented GMDH.
Table 7.
Results of adjusted transfer function parameters for the GMDH.
In MARS development, 30 BFs were chosen in the initial step and 10 BFs were pruned in the following step. Finally, the best MARS with 9 BFs and 18 effective parameters were obtained. The basic MARS form is provided in Equation (29). The final MARS form is given in Table 8. The pruning measure in the training phase of MARS was computed as 0.0004235.
Table 8.
The BFs and corresponding coefficients of MARS.
Table 9 compares the accuracy of soft computing and regression methods in predicting Cd values. For submerged flow conditions, the Pearson VII kernel function-based GP model works better than the other regression and soft computing models with the CC value of 0.9961, RMSE value of 0.0132, WI value of 0.9981, NS value of 0.9922, LMI value of 0.9215, NRMSE value of 0.0428, MAE value of 0.0097, and RMSRE value of 0.0920 for the testing stage. Among the regression models, the LR-based equation performs superior to the NLR equation in the training and testing stages. Comparison of MARS and GMDH (Table 9) suggests that the MARS performs superior to the GMDH. Overall, the MARS-based model performs better than the LR, NLR, and GMDH with the CC value of 0.9898, RMSE value of 0.0216, WI value of 0.9949, NS value of 0.9791, LMI value of 0.8648, NRMSE value of 0.0699, MAE value of 0.0168 and RMSRE value of 0.1574 for the testing stage.
Table 9.
Comparison of performance evaluation indices of the implemented models for submerged flow condition.
Figure 6 and Figure 7 illustrate the scatterplot and time variation plot between measures and predictions of regression and applied soft computing models for submerged condition in the test phase. Cd predictions by the GP_PUK generally concentrate on the ideal line. Figure 6 shows that the Cd predictions of the GP_PUK closely follow the measurements. Figure 6 and Figure 7 and Table 9 confirm the superiority of the GP_PUK in Cd prediction for radial gates in submerged condition.

Figure 6.
Agreement plot between measured and predicted Cd in submerged flow by the regression and soft computing techniques in the test phase.

Figure 7.
Performance plot between measurements and Cd predictions in submerged flow by the regression and soft computing methods in the test phase.
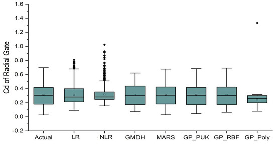
Figure 8 shows the box plot comparison of the developed models for testing stage. The minimum, maximum, and mean value of GP_PUK, GP_RBF, and target values are very close to each other and widths of the lower and upper box are almost the same. The GP_PUK and GP_RBF are the most suitable models. Figure 9 illustrates the Taylor diagram. The point of the GP_PUK-based model is placed nearest to the actual point and this reveals that the GP_PUK model performs better than the other models for the submerged flow condition.
Figure 8.
Box plot of actual and applied models for submerged condition using testing stage.
Figure 9.
Taylor diagram for actual and applied models using testing stage for submerged flow condition.
4. Conclusions
Radial gates are widely used for agricultural water management, flood controlling, etc. The development of usable models and equations for the prediction of their discharge coefficient is essential for these structures. In the current study, results of comprehensive research by Buyalski [13] on the radial gates discharge coefficient were used to train and test classical regression and soft computing-based approaches. The whole effective parameters on the radial gates discharge coefficient such as gate opening height (W), upstream water depth (Y0), tailwater depth (Y0), and trunnion–pin height (h) have been studied by Buyalski [13]. The non-dimension form of the effective parameters was used as inputs to the prediction models.
In the present study, the GP-, MARS-, GMDH-, NLR-, and LR-based models were used in estimating the discharge coefficient of radial gates for both free-flow and submerged flow conditions. In total, 400 and 2136 observations were used for model development and testing for the free-flow submerged flow conditions, respectively. The outcomes suggest that: 1. In the free-flow condition, the GP_RBF based model with the CC value of 0.9413, RMSE value of 0.0190, WI value of 0.9707, NS value of 0.8806, LMI value of 0.6658, NRMSE value of 0.0305, MAE value of 0.0153, and RMSRE value of 0.0291 is the most precise model among the considered models in the test phase, 2. In the submerged flow condition, the GP_PUK model outperforms the other applied models in the testing stage with the CC value of 0.9961, RMSE value of 0.0132, WI value of 0.9981, NS value of 0.9922, LMI value of 0.9215, NRMSE value of 0.0428, MAE value of 0.0097, and RMSRE value of 0.0920. For both free and submerged flow conditions, GP–PUK and GP–RBF perform superior to the other applied models in discharge coefficient prediction. MARS follows the GP models accuracy and it outperforms the GMDH models in both training and testing phases. Comparison of LR and NLR reveals that the NLR works better than the LR in the prediction of the discharge coefficient in free-flow condition whereas in submerged condition, the LR model is superior to the NLR-based model. Overall, the GP based models are performing superior to the other applied models in discharge coefficient prediction for free-flow and submerged conditions. The GP provides a universal and practical approach in learning using kernel machines. This method has advantages to other empirical methods due to its solid statistical learning foundation with Gaussian Processes. Thus, interpretability of model predictions and flexibility in model selection and model setting are possible in this method.
The existence methods reported by previous studies for the prediction of discharge coefficient in radial gates are based on some assumptions. Additionally, some of previous studies have developed complex algorithms and complex graphs to extract Cd for radial gates. The current study presented new simple and accurate models that can be used in radial gates design. To strengthen this study, more experimental data could be used in testing the GP method. In future studies, the GP models could be compared with other soft computing–based regression methods such as random forest, model tree, and genetic programming.
The presented study indicated the usefulness of the GP regression method for predicting the discharge coefficient which is essential in water resource management (WRM) such as flood controlling. Recently, use of MODIS data in WRM issues has been common and satellite data have enough quality with the advanced technology. For future work, MODIS data could be merged with the developed soft computing–based models in order to improve their accuracy in predicting the discharge coefficient which is essential for controlling water by providing beneficial information to decision makers and managers.
Author Contributions
All authors contributed to the study conception and design. Material preparation, writing first draft, data collection and analysis were performed by P.S., M.N., H.A. and A.S. The draft of the manuscript was reviewed, revised, and edited by O.K. and all authors commented on previous versions of the manuscript. All authors have read and agreed to the published version of the manuscript.
Funding
This research received no external funding.
Institutional Review Board Statement
Not applicable.
Informed Consent Statement
Not applicable.
Data Availability Statement
The data sets used and/or analyzed during the current study are available from the corresponding author on reasonable request.
Conflicts of Interest
The authors declare no conflict of interest.
References
- Repogle, J.A.; Clemmens, A.J. Automatic regulation of canal offtakes. Irrig. Drain. Syst. 1987, 1, 123–142. [Google Scholar] [CrossRef]
- Malaterre, P.-O. Regulation of irrigation canals. Irrig. Drain. Syst. 1995, 9, 297–327. [Google Scholar]
- Seyedzadeh, A.; Yasi, M.; Farhoudi, J.; Malcherek, A. Flow through a sluice gate over a broad crested weir under free- and submerged-flow conditions. ISH J. Hydraul. Eng. 2022, 1–13. [Google Scholar] [CrossRef]
- Sepúlveda, C.; Gómez, M.; Rodellar, J. Benchmark of discharge calibration methods for submerged sluice gates. J. Irrig. Drain. Eng. 2009, 135, 676–682. [Google Scholar]
- Gibson, A.H. Experiments on the Coefficients of Discharge under Rectangular Sluice Gates. (Abridged). Minutes Proc. Inst. Civ. Eng. 1919, 207, 427–434. [Google Scholar] [CrossRef]
- Henry, H. Discussion of Diffusion of Submerged Jets; Transactions of the American Society of Civil Engineers: Reston, VA, USA, 1950; pp. 687–694. [Google Scholar]
- Rajaratnam, N.; Subramanya, K. Flow equation for the slice gate. J. Irrig. Drain. Div. 1967, 93, 167–187. [Google Scholar]
- Rajaratnam, N.; Subramanya, K. Flow immediately below submerged sluice gate. J. Hydraul. Div. 1967, 93, 57–77. [Google Scholar]
- Swamee, P.K. Sluice-gate discharge equations. J. Irrig. Drain. Eng. 1992, 118, 56–60. [Google Scholar]
- Salmasi, F.; Nouri, M.; Abraham, J. Laboratory study of the effect of sills on radial gate discharge coefficient. KSCE J. Civ. Eng. 2019, 23, 2117–2125. [Google Scholar]
- Bijankhan, M.; Ferro, V.; Kouchakzadeh, S. New stage-discharge relationships for radial gates. J. Irrig. Drain. Eng. 2013, 139, 378–387. [Google Scholar]
- Bijankhan, M.; Kouchakzadeh, S.; Bayat, E. Distinguishing condition curve for radial gates. Flow Meas. Instrum. 2011, 22, 500–506. [Google Scholar] [CrossRef]
- Buyalski, C.P. Discharge Algorithms for Canal Radial Gates; Engineering and Research Center, U.S. Bureau of Reclamation: Denver, CO, USA, 1983. [Google Scholar]
- Clemmens, A.J.; Strelkoff, T.S.; Replogle, J.A. Calibration of Submerged Radial Gates. J. Hydraul. Eng. 2003, 129, 680–687. [Google Scholar] [CrossRef]
- Zheng, H.; Lei, X.; Shang, Y.; Cai, S.; Kong, L.; Wang, H. Parameter identification for discharge formulas of radial gates based on measured data. Flow Meas. Instrum. 2017, 58, 62–73. [Google Scholar] [CrossRef]
- Bilhan, O.; Emiroglu, M.E.; Kisi, O. Application of two different neural network techniques to lateral outflow over rectangular side weirs located on a straight channel. Adv. Eng. Softw. 2010, 41, 831–837. [Google Scholar] [CrossRef]
- Emiroglu, M.E.; Kisi, O.; Bilhan, O. Predicting discharge capacity of triangular labyrinth side weir located on a straight channel by using an adaptive neuro-fuzzy technique. Adv. Eng. Softw. 2010, 41, 154–160. [Google Scholar] [CrossRef]
- Kisi, O.; Emiroglu, M.E.; Bilhan, O.; Guven, A. Prediction of lateral outflow over triangular labyrinth side weirs under subcritical conditions using soft computing approaches. Expert Syst. Appl. 2012, 39, 3454–3460. [Google Scholar] [CrossRef]
- Seyedzadeh, A.; Maroufpoor, S.; Maroufpoor, E.; Shiri, J.; Bozorg-Haddad, O.; Gavazi, F. Artificial intelligence approach to estimate discharge of drip tape irrigation based on temperature and pressure. Agric. Water Manag. 2019, 228, 105905. [Google Scholar] [CrossRef]
- Nouri, M.; Sihag, P.; Salmasi, F.; Kisi, O. Energy Loss in Skimming Flow over Cascade Spillways: Comparison of Artificial Intelligence-Based and Regression Methods. Appl. Sci. 2020, 10, 6903. [Google Scholar] [CrossRef]
- Salmasi, F.; Abraham, J. Expert system for determining discharge coefficients for inclined slide gates using genetic programming. J. Irrig. Drain. Eng. 2020, 146, 06020013. [Google Scholar]
- Aydin, M.C.; Kayisli, K. Prediction of discharge capacity over two-cycle labyrinth side weir using ANFIS. J. Irrig. Drain. Eng. 2016, 142, 06016001. [Google Scholar]
- Majedi-Asl, M.; Fuladipanah, M.; Arun, V.; Tripathi, R.P. Using data mining methods to improve discharge coefficient prediction in Piano Key and Labyrinth weirs. Water Supply 2021, 22, 1964–1982. [Google Scholar] [CrossRef]
- Salmasi, F.; Nouri, M.; Sihag, P.; Abraham, J. Application of SVM, ANN, GRNN, RF, GP and RT models for predicting discharge coefficients of oblique sluice gates using experimental data. Water Supply 2020, 21, 232–248. [Google Scholar] [CrossRef]
- Roushangar, K.; Shahnazi, S.; Sadaghiani, A.A. An Efficient Hybrid Grey Wolf Optimization Based KELM Approach for Prediction of the Discharge Coefficient of Submerged Radial Gates. Res. Sq. 2021. [Google Scholar] [CrossRef]
- Salazar, F.; Morán, R.; Rossi, R.; Onate, E. Analysis of the discharge capacity of radial-gated spillways using CFD and ANN–Oliana Dam case study. J. Hydraul. Res. 2013, 51, 244–252. [Google Scholar] [CrossRef]
- Rady, R.A.E.-H. Modeling of flow characteristics beneath vertical and inclined sluice gates using artificial neural networks. Ain Shams Eng. J. 2016, 7, 917–924. [Google Scholar] [CrossRef]
- Al-Talib, A.N.; Kattab, N.I. Estimating discharge coefficient for sluice gate with debris. In Proceedings of the International Aegean Symposiums on Innovation Technologies & Engineering, Izmir, Turkey, 25–26 February 2022. [Google Scholar]
- Sauida, M.F. Simulation of relative energy loss downstream of multi-gate regulators using ANN. Cogent Eng. 2022, 9. [Google Scholar] [CrossRef]
- Sihag, P.; Jain, P.; Kumar, M. Modelling of impact of water quality on recharging rate of storm water filter system using various kernel function based regression. Model. Earth Syst. Environ. 2018, 4, 61–68. [Google Scholar] [CrossRef]
- Parsaie, A.; Haghiabi, A.H. Computational Modeling of Pollution Transmission in Rivers. Appl. Water Sci. 2015, 7, 1213–1222. [Google Scholar] [CrossRef]
- Ivakhnenko, A.G. Polynomial Theory of Complex Systems. IEEE Trans. Syst. Man Cybern. 1971, SMC-1, 364–378. [Google Scholar] [CrossRef]
- Najafzadeh, M.; Lim, S.Y. Application of improved neuro-fuzzy GMDH to predict scour depth at sluice gates. Earth Sci. Inform. 2014, 8, 187–196. [Google Scholar] [CrossRef]
- Alfaifi, M.Y.; Shati, A.A.; Elbehairi, S.E.I.; Fahmy, U.A.; Alhakamy, N.A. Shadab Anti-tumor effect of PEG-coated PLGA nanoparticles of febuxostat on A549 non-small cell lung cancer cells. 3 Biotech 2020, 10, 1–10. [Google Scholar] [CrossRef] [PubMed]
- Neal, R.M. Markov chain sampling methods for Dirichlet process mixture models. J. Comput. Graph. Stat. 2000, 9, 249–265. [Google Scholar]
- Elbeltagi, A.; Azad, N.; Arshad, A.; Mohammed, S.; Mokhtar, A.; Pande, C.; Etedali, H.R.; Bhat, S.A.; Islam, A.R.M.T.; Deng, J. Applications of Gaussian process regression for predicting blue water footprint: Case study in Ad Daqahliyah, Egypt. Agric. Water Manag. 2021, 255, 107052. [Google Scholar] [CrossRef]
- Kuss, M. Gaussian Process Models for Robust Regression, Classification, and Reinforcement Learning; Technische Universität Darmstadt: Darmstadt, Germany, 2006. [Google Scholar]
- Sihag, P.; Tiwari, N.K.; Ranjan, S. Prediction of unsaturated hydraulic conductivity using adaptive neuro- fuzzy inference system (ANFIS). ISH J. Hydraul. Eng. 2017, 25, 132–142. [Google Scholar] [CrossRef]
- Mehdipour, V.; Stevenson, D.S.; Memarianfard, M.; Sihag, P. Comparing different methods for statistical modeling of particulate matter in Tehran, Iran. Air Qual. Atmos. Health 2018, 11, 1155–1165. [Google Scholar] [CrossRef]
- Legates, D.R.; McCabe, G.L., Jr. Evaluating the use of “goodness-of-fit” measures in hydrologic and hydroclimatic model validation. Water Resour. Res. 1999, 35, 233–241. [Google Scholar] [CrossRef]
- Willmott, C.J.; Matsuura, K. Advantages of the mean absolute error (MAE) over the root mean square error (RMSE) in assessing average model performance. Clim. Res. 2005, 30, 79–82. [Google Scholar] [CrossRef]
- Mahmood, W.; Mohammed, A.S.; Sihag, P.; Asteris, P.G.; Ahmed, H. Interpreting the experimental results of compressive strength of hand-mixed cement-grouted sands using various mathematical approaches. Arch. Civ. Mech. Eng. 2021, 22, 1–25. [Google Scholar] [CrossRef]
- Almohammed, F.; Sihag, P.; Sammen, S.S.; Ostrowski, K.A.; Singh, K.; Prasad, C.V.S.R.; Zajdel, P. Assessment of Soft Computing Techniques for the Prediction of Compressive Strength of Bacterial Concrete. Materials 2022, 15, 489. [Google Scholar] [CrossRef]
- Sadeghifar, T.; Lama, G.; Sihag, P.; Bayram, A.; Kisi, O. Wave height predictions in complex sea flows through soft-computing models: Case study of Persian Gulf. Ocean Eng. 2022, 245, 110467. [Google Scholar] [CrossRef]
- Devi, S.; Esmaeilbeiki, F.; Karimi, S.M.; Sihag, P. Prediction of sulphur dioxide (SO2) in air by using bagging, ANN and M5P: A case study, Gaya and Tirupati, India. Arab. J. Geosci. 2022, 15, 1–16. [Google Scholar] [CrossRef]
- Willmott, C.J. On the validation of models. Phys. Geogr. 1981, 2, 184–194. [Google Scholar]
- Maroufpoor, S.; Maroufpoor, E.; Bozorg-Haddad, O.; Shiri, J.; Yaseen, Z.M. Soil moisture simulation using hybrid artificial intelligent model: Hybridization of adaptive neuro fuzzy inference system with grey wolf optimizer algorithm. J. Hydrol. 2019, 575, 544–556. [Google Scholar] [CrossRef]
- Gueymard, C.A. A review of validation methodologies and statistical performance indicators for modeled solar radiation data: Towards a better bankability of solar projects. Renew. Sustain. Energy Rev. 2014, 39, 1024–1034. [Google Scholar] [CrossRef]
- Behar, R.Z.; Hua, M.; Talbot, P. Puffing Topography and Nicotine Intake of Electronic Cigarette Users. PLoS ONE 2015, 10, e0117222. [Google Scholar] [CrossRef]
Publisher’s Note: MDPI stays neutral with regard to jurisdictional claims in published maps and institutional affiliations. |
© 2022 by the authors. Licensee MDPI, Basel, Switzerland. This article is an open access article distributed under the terms and conditions of the Creative Commons Attribution (CC BY) license (https://creativecommons.org/licenses/by/4.0/).